Experimental Study on the True-Triaxial Mechanical Properties and Fracture Mechanisms of Granite Subjected to Cyclic Thermal Shock
Abstract
1. Introduction
2. Materials and Methods
2.1. Specimen Preparation
2.2. Experimental Apparatus
2.3. Experimental Procedure
2.3.1. Thermal Shock Test
2.3.2. True-Triaxial Compression Test
3. Results and Discussion
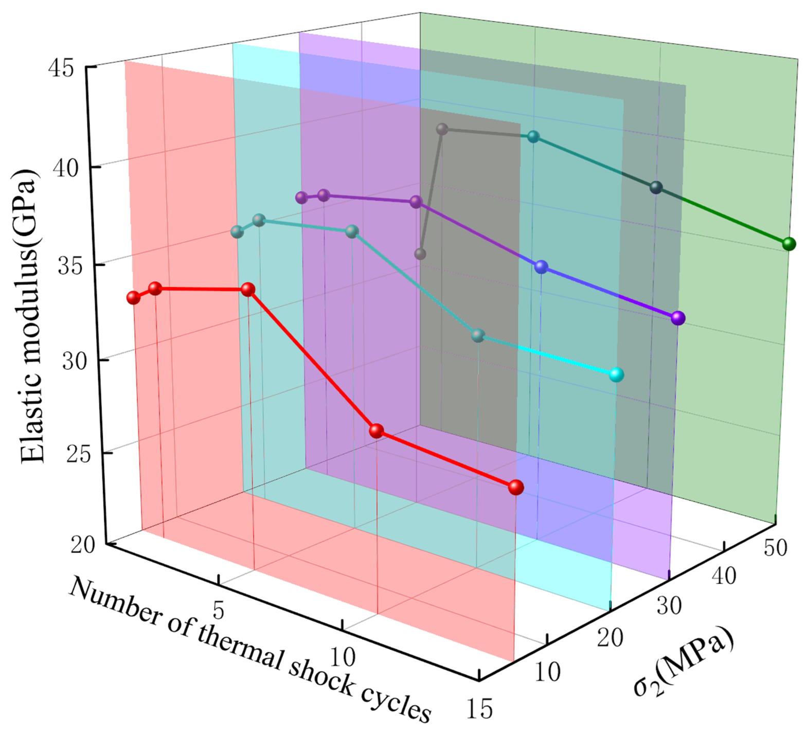
3.1. P-Wave Velocity
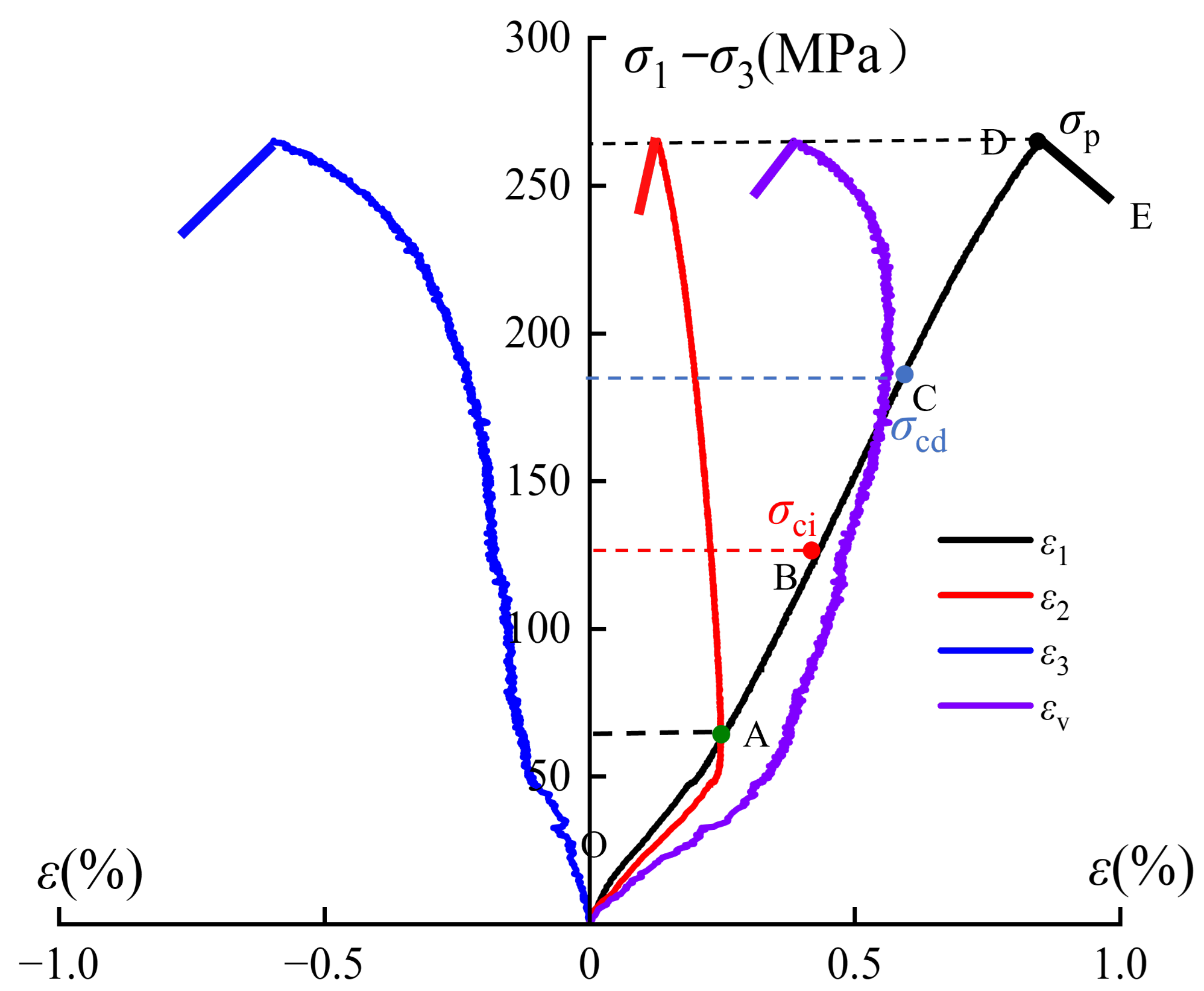
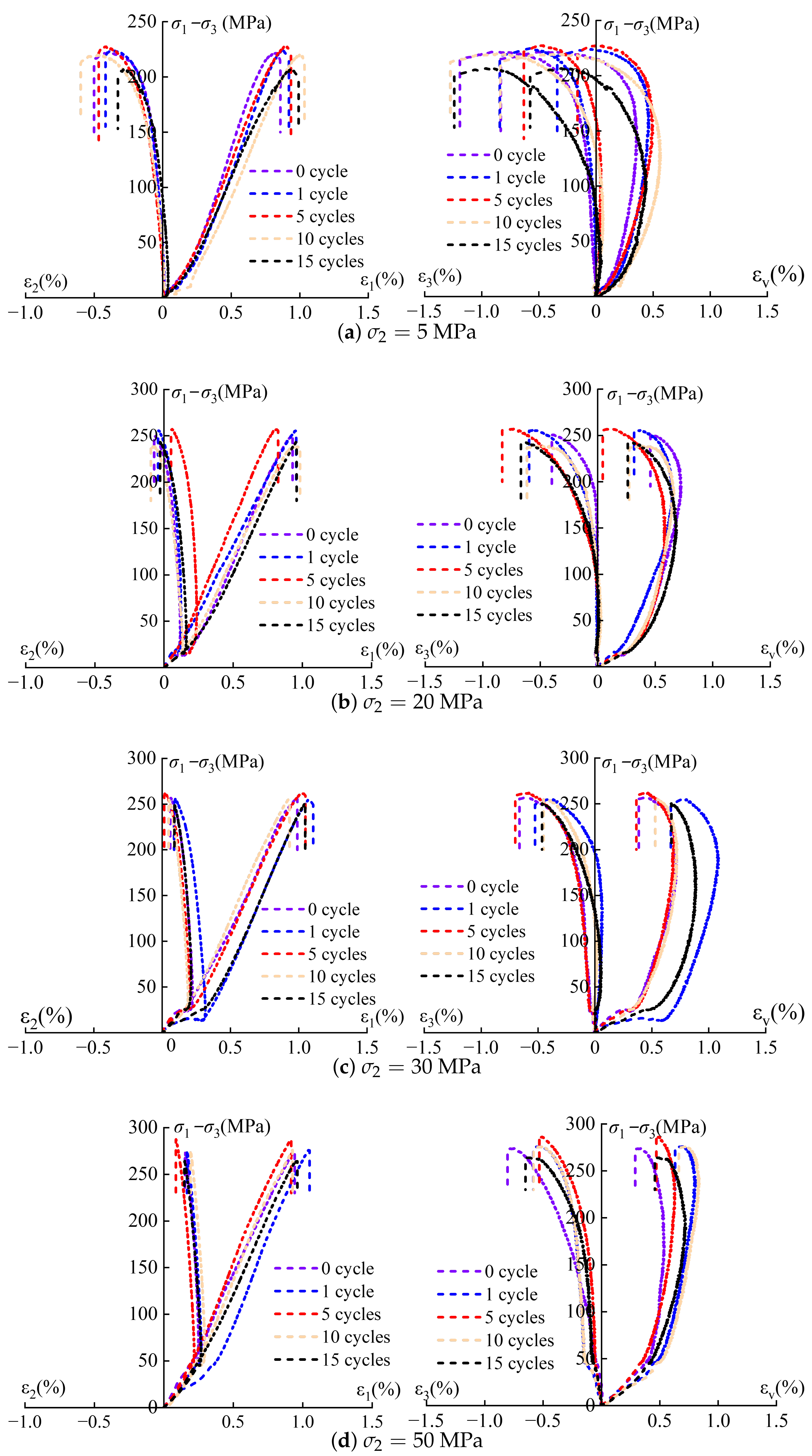
3.2. True-Triaxial Stress–Strain Curves
- 1.
- Microcrack compaction and closure (OA): At low stress levels, pre-existing microcracks and micropores are progressively compressed and closed, resulting in a nonlinear compaction response in the stress–strain curve.
- 2.
- Elastic deformation (AB): With increasing load, the stress–strain relationship becomes approximately linear, indicating that the internal structure of the specimen remains essentially intact. When the applied stress reaches the crack initiation stress at point B, new microcracks begin to nucleate and propagate.
- 3.
- Stable microcrack growth (BC): Between and the damage stress , microcracks propagate in a stable manner. As the applied stress approaches , crack interaction intensifies, and the material gradually transitions toward unstable behavior. Point C corresponds to the damage stress , marking the onset of unstable crack growth.
- 4.
- Unstable microcrack growth (CD): Once the applied stress exceeds , crack propagation becomes unstable and accelerates rapidly. Microcracks coalesce and form dominant fracture zones, leading to a significant reduction in load-bearing capacity as the stress approaches the peak strength .
- 5.
- Post-peak behavior (DE): After reaching the peak stress , a rapid stress drop occurs due to the coalescence of microcracks into macroscopic fractures, accompanied by a pronounced loss of load-bearing capacity.

3.3. Strength Characteristics
3.4. Macroscopic Failure Modes
3.5. Microstructural Analysis
3.6. Modified Mogi–Coulomb Strength Criterion
4. Engineering Implications
5. Conclusions
- 1.
- The peak strength of granite exhibits a strong dependence on the intermediate principal stress, increasing systematically with higher . In contrast, its evolution with thermal shock cycling is non-monotonic, showing an initial increase followed by a gradual decrease. The maximum peak strength is attained after five thermal shock cycles. At relatively low thermal shock levels (), strength enhancement is mainly associated with particle rearrangement and microcrack closure promoted by intermediate stress confinement. With continued thermal cycling, progressive accumulation of thermally induced microcracks becomes dominant, and the strengthening effect of intermediate stress is no longer sufficient to offset thermal damage.
- 2.
- Macroscopic failure is characterized by asymmetric V-shaped fracture patterns with dominant fracture planes oriented approximately parallel to the direction. Increasing leads to a gradual transition from tensile–shear mixed failure toward shear-dominated behavior. Nevertheless, cyclic thermal shock facilitates the persistence of tensile–shear cracking even under relatively high intermediate principal stress. The fracture angle decreases with increasing and varies nonlinearly with the number of thermal shock cycles.
- 3.
- Cyclic thermal shock induces pronounced microstructural degradation in granite. With increasing thermal shock cycles, microcrack density rises markedly, and the dominant cracking mode evolves from predominantly intergranular to a mixed intergranular–transgranular pattern. Progressive linkage of dispersed microcracks results in the formation of an interconnected fracture network, which is consistent with the observed reduction in P-wave velocity and the associated decline in mechanical strength at the macroscopic scale.
- 4.
- By incorporating thermal shock-related damage into the strength parameters, the modified Mogi–Coulomb criterion proposed in this study provides a quantitative description of granite strength evolution under coupled true-triaxial stress and cyclic thermal shock conditions. The formulation offers a practical basis for evaluating strength variations of granite in geothermal reservoirs and other high-temperature rock engineering applications.
Author Contributions
Funding
Data Availability Statement
Conflicts of Interest
Abbreviations
| Maximum principal stress | |
| Intermediate principal stress | |
| Minimum principal stress | |
| Crack initiation stress | |
| Crack damage stress | |
| Peak stress | |
| XRD | X-ray diffraction |
| E | Elastic modulus |
| Axial strain | |
| Intermediate principal strain | |
| Minimum principal strain | |
| SEM | Scanning electron microscopy |
References
- Cheng, Y.; Zhang, Y.; Yu, Z.; Hu, Z. Investigation on Reservoir Stimulation Characteristics in Hot Dry Rock Geothermal Formations of China during Hydraulic Fracturing. Rock Mech. Rock Eng. 2021, 54, 3817–3845. [Google Scholar] [CrossRef]
- Olasolo, P.; Juárez, M.C.; Morales, M.P.; DÁmico, S.; Liarte, I.A. Enhanced Geothermal Systems (EGS): A Review. Renew. Sustain. Energy Rev. 2016, 56, 133–144. [Google Scholar] [CrossRef]
- Li, T.; Zhou, K.; Li, J.; Yang, H. Dynamic Performance of Supercritical and Transcritical CO2 Cycle for Combined Heating and Power from Hot Dry Rock. Case Stud. Therm. Eng. 2025, 74, 106950. [Google Scholar] [CrossRef]
- Wang, G.; Yin, Q.; Jia, H.; Feng, G.; Ma, H.; Wang, L.; Klitzsch, N.; Yan, C.; Liu, S.; Hu, Z.; et al. Experimental Study on Real-Time Seepage-Heat Transfer Characteristics of Fractured Granite during the Cyclic Liquid Nitrogen Injecting the Hot Dry Rock Reservoir. Case Stud. Therm. Eng. 2025, 76, 107424. [Google Scholar] [CrossRef]
- Li, M.; Liu, X.; Pan, Y.; Qiao, S.; Hao, Z.; Qian, L.; Luo, X. Mechanical Properties of Fractured Sandstone after Cyclic Thermal Shock. Rock Soil Mech. 2023, 44, 1260–1270. [Google Scholar] [CrossRef]
- Cui, L.; Zhang, F.; An, M.; Zhuang, L.; Elsworth, D.; Zhong, Z. Frictional stability and permeability evolution of fractures subjected to repeated cycles of heating-and-quenching: Granites from the Gonghe Basin, northwest China. Geomech. Geophys. Geo-Energy Geo-Resour. 2023, 9, 18. [Google Scholar] [CrossRef]
- Zhou, X.; Liu, Q.; Hu, W.; Ren, Q.; Zhang, S. Damage Evolution in High-Temperature-Treated Granite: Combined DIC and AE Experimental Study. Processes 2025, 13, 1082. [Google Scholar] [CrossRef]
- Chen, Y.; Wang, S.; Ni, J.; Azzam, R.; Fernández-steeger, T.M. An Experimental Study of the Mechanical Properties of Granite after High Temperature Exposure Based on Mineral Characteristics. Eng. Geol. 2017, 220, 234–242. [Google Scholar] [CrossRef]
- Shen, Y.J.; Hou, X.; Yuan, J.-q.; Wang, S.-f.; Zhao, C.-h. Thermal Cracking Characteristics of High-Temperature Granite Suffering from Different Cooling Shocks. Int. J. Fract. 2020, 225, 153–168. [Google Scholar] [CrossRef]
- Hu, J.; Xie, H.; Sun, Q.; Li, C.; Liu, G. Changes in the Thermodynamic Properties of Alkaline Granite after Cyclic Quenching Following High Temperature Action. Int. J. Min. Sci. Technol. 2021, 31, 843–852. [Google Scholar] [CrossRef]
- Jin, A.; Wang, S.; Wei, Y.; Sun, H.; Wei, L. Effect of Different Cooling Conditions on Physical and Mechanical Properties of High-Temperature Sandstone. Rock Soil Mech. 2020, 41, 3531–3539+3603. [Google Scholar] [CrossRef]
- Liu, H.; Zhang, K.; Liu, T.; Cao, H.; Wang, Y. Experimental and Numerical Investigations on Tensile Mechanical Properties and Fracture Mechanism of Granite after Cyclic Thermal Shock. Geomech. Geophys. Geo-Energy Geo-Resour. 2021, 8, 18. [Google Scholar] [CrossRef]
- Xie, H.; Lü, J.; Li, C.; Li, M.; Gao, M. Experimental study on the mechanical and failure behaviors of deep rock subjected to true triaxial stress: A review. Int. J. Min. Sci. Technol. 2022, 32, 915–950. [Google Scholar] [CrossRef]
- Liu, Z.; Wang, C.; Zhang, M.; Shao, J. Cracking Property and Brittleness Evaluation of Granite under High-Temperature True Triaxial Compression in Geothermal Systems. Geomech. Geophys. Geo-Energy Geo-Resour. 2023, 9, 99. [Google Scholar] [CrossRef]
- Ma, X.; Wang, G.l.; Hu, D.w.; Zhou, H. Hydraulic Fracturing of Granite under Real-Time High Temperature and True Triaxial Stress. J. Cent. South Univ. 2023, 30, 243–256. [Google Scholar] [CrossRef]
- Feng, X.; Kong, R.; Zhang, X.; Yang, C. Experimental Study of Failure Differences in Hard Rock under True Triaxial Compression. Rock Mech. Rock Eng. 2019, 52, 2109–2122. [Google Scholar] [CrossRef]
- He, S.; Cheng, H.; Cheng, L.; Yuan, F.; Zhang, M. Comparison and Analysis for Prediction Accuracy of True Triaxial Rock Strength Criterion. Front. Earth Sci. 2024, 12, 1416979. [Google Scholar] [CrossRef]
- Wang, S.; Wang, L.g.; Ren, B.; Ding, K.; Jiang, C.y.; Guo, J.x. Mechanical Behavior and Fracture Characteristics of High-Temperature Sandstone under True Triaxial Loading Conditions. J. Mater. Res. Technol. 2024, 28, 569–581. [Google Scholar] [CrossRef]
- Zhang, J.Z.; Long, Y.D.; Zhang, T.; Zhou, X.P. A True Triaxial Experiment Investigation of the Mechanical and Deformation Failure Behaviors of Flawed Granite after Exposure to High-Temperature Treatment. Eng. Fract. Mech. 2024, 306, 110273. [Google Scholar] [CrossRef]
- Feng, X.; Haimson, B.; Li, X.; Chang, C.; Ma, X.; Zhang, X.; Ingraham, M.; Suzuki, K. ISRM Suggested Method: Determining Deformation and Failure Characteristics of Rocks Subjected to True Triaxial Compression. Rock Mech. Rock Eng. 2019, 52, 2011–2020. [Google Scholar] [CrossRef]
- Wu, X.; Xu, J.; Chen, X.; Zhang, Z.; Zhong, X.; Wang, S.; Sha, P.; Li, K.; Sun, Q.; Cheng, F.; et al. Effect of Cooling Methods on the Mechanical Properties and Microstructural Damage of High-Temperature Granite. Theor. Appl. Fract. Mech. 2026, 141, 105328. [Google Scholar] [CrossRef]
- Zhou, F.; Wang, G.; Jia, H.; Feng, G.; Wang, L.; Klitzsch, N.; Yan, C.; Liu, S.; Hu, Z.; Heng, S.; et al. Investigating the Effects of Real-Time High Temperature and Circulating Liquid Nitrogen Cooling on the Granite Brazilian Splitting Test Specimens. Eng. Fract. Mech. 2025, 328, 111574. [Google Scholar] [CrossRef]
- Yu, L.; Peng, H.; Li, G.; Zhang, Y.; Han, Z.; Zhu, H. Experimental Study on Granite under High-Temperature Water-Cooling Cycles. Rock Soil Mech. 2021, 42, 1025–1035. [Google Scholar] [CrossRef]
- Zhang, Y.; Zhang, F.; Liu, S.; Lv, C.; Xu, S. Tensile Properties of Granite Under Cyclic Thermal Shock and Loading. Appl. Sci. 2025, 15, 4385. [Google Scholar] [CrossRef]
- Gao, D.; Peng, J.; Kwok, F.C.Y.; Wang, H.; Wang, L. Influence of Intermediate Principal Stress on Mechanical and Failure Properties of Anisotropic Sandstone. Rock Mech. Rock Eng. 2024, 57, 7795–7812. [Google Scholar] [CrossRef]
- Feng, X.; Zhang, X.; Yang, C.; Kong, R.; Liu, X.; Peng, S. Evaluation and Reduction of the End Friction Effect in True Triaxial Tests on Hard Rocks. Int. J. Rock Mech. Min. Sci. 2017, 97, 144–148. [Google Scholar] [CrossRef]
- Zhou, X.P.; Peng, S.L.; Zhang, J.Z.; Berto, F. Failure Characteristics of Coarse and Fine Sandstone Containing Two Parallel Fissures Subjected to True Triaxial Stresses. Theor. Appl. Fract. Mech. 2021, 112, 102932. [Google Scholar] [CrossRef]
- Feng, F.; Zhang, T.; Chen, S.; Peng, S.; Xie, Z.; Zhao, Y. Analysis of Failure Properties of Red Sandstone with Structural Plane Subjected to True Triaxial Stress Paths. Eng. Fract. Mech. 2024, 310, 110490. [Google Scholar] [CrossRef]
- Ma, X.; Dong, W.b.; Hu, D.w.; Zhou, H. Mechanical Properties of Granite at High Temperature Subjected to True Triaxial Compression. Int. J. Rock Mech. Min. Sci. 2023, 164, 105313. [Google Scholar] [CrossRef]
- Gao, Y.; Feng, X.; Zhang, X.; Feng, G.; Jiang, Q.; Qiu, S.L. Characteristic Stress Levels and Brittle Fracturing of Hard Rocks Subjected to True Triaxial Compression with Low Minimum Principal Stress. Rock Mech. Rock Eng. 2018, 51, 3681–3697. [Google Scholar] [CrossRef]
- Rong, G.; Peng, J.; Cai, M.; Yao, M.d.; Zhou, C.b.; Sha, S. Experimental Investigation of Thermal Cycling Effect on Physical and Mechanical Properties of Bedrocks in Geothermal Fields. Appl. Therm. Eng. 2018, 141, 174–185. [Google Scholar] [CrossRef]
- Liu, Q.; Wei, L.; Lei, G.; Liu, Q.; Peng, X.; Liu, H. Experimental study on damage strength of crack initiation and evaluation of brittle parameters of sandstone. Chin. J. Geotech. Eng. 2018, 40, 1782–1789. [Google Scholar] [CrossRef]
- Zhou, H.; Liu, Z.; Shen, W.; Feng, T.; Zhang, G. Mechanical property and thermal degradation mechanism of granite in thermal-mechanical coupled triaxial compression. Int. J. Rock Mech. Min. Sci. 2022, 160, 105270. [Google Scholar] [CrossRef]
- Yin, T.; Li, Q.; Li, X. Experimental Investigation on Mode I Fracture Characteristics of Granite after Cyclic Heating and Cooling Treatments. Eng. Fract. Mech. 2019, 222, 106740. [Google Scholar] [CrossRef]
- Liu, X.F.; Feng, X.T.; Zhou, Y.y. Influences of Schistosity Structure and Differential Stress on Failure and Strength Behaviors of an Anisotropic Foliated Rock under True Triaxial Compression. Rock Mech. Rock Eng. 2022, 56, 1273–1287. [Google Scholar] [CrossRef]
- Gu, Q.; Huang, Z.; Zhao, K.; Zhong, W.; Liu, L.; Li, X.; Wu, Y.; Dan, M. Effects of High Temperature and Thermal Cycles on Fracture Surface’s Roughness of Granite: An Insight on 3D Morphology. J. Rock Mech. Geotech. Eng. 2025, 17, 810–826. [Google Scholar] [CrossRef]
- Al-Ajmi, A.M.; Zimmerman, R.W. Relation between the Mogi and the Coulomb Failure Criteria. Int. J. Rock Mech. Min. Sci. 2005, 42, 431–439. [Google Scholar] [CrossRef]
- Mogi, K. Fracture and Flow of Rocks under High Triaxial Compression. J. Geophys. Res. 1971, 76, 1255–1269. [Google Scholar] [CrossRef]
- Liolios, P.A.; Exadaktylos, G.E. Comparison of a Hyperbolic Failure Criterion with Established Failure Criteria for Cohesive-Frictional Materials. Int. J. Rock Mech. Min. Sci. 2013, 63, 12–27. [Google Scholar] [CrossRef]
- Xiao, P.; Zheng, J.; Tian, H.; Ge, L.; Dou, B. Changes in Thermal Characteristics of Granites Due to Cyclic High-Temperature Treatment. Thermochim. Acta 2023, 719, 179391. [Google Scholar] [CrossRef]












| (MPa) | Thermal Shock Cycles | E (GPa) | (MPa) | (MPa) | (MPa) |
|---|---|---|---|---|---|
| 5 | 0 | 32.76 | 77.59 | 161.55 | 226.50 |
| 1 | 33.54 | 76.39 | 157.11 | 229.72 | |
| 5 | 34.69 | 47.84 | 147.87 | 232.39 | |
| 10 | 29.30 | 60.49 | 126.64 | 224.69 | |
| 15 | 28.52 | 30.07 | 103.69 | 211.62 | |
| 20 | 0 | 34.83 | 95.00 | 175.00 | 255.00 |
| 1 | 35.74 | 128.81 | 185.68 | 260.54 | |
| 5 | 36.19 | 80.54 | 160.13 | 261.16 | |
| 10 | 32.28 | 103.36 | 174.77 | 250.74 | |
| 15 | 31.98 | 79.90 | 147.47 | 248.17 | |
| 30 | 0 | 35.84 | 146.49 | 186.96 | 261.62 |
| 1 | 36.22 | 150.80 | 188.88 | 263.00 | |
| 5 | 36.87 | 134.00 | 213.00 | 266.94 | |
| 10 | 34.76 | 109.20 | 200.68 | 259.91 | |
| 15 | 33.65 | 75.07 | 161.14 | 255.35 | |
| 50 | 0 | 30.69 | 161.51 | 193.12 | 278.87 |
| 1 | 38.41 | 194.72 | 240.38 | 280.86 | |
| 5 | 38.85 | 153.06 | 222.67 | 292.40 | |
| 10 | 37.17 | 169.41 | 207.68 | 270.29 | |
| 15 | 35.42 | 145.46 | 188.39 | 269.24 |
| Thermal Shock Cycles | Mogi Criterion | Mogi–Coulomb Criterion | ||||
|---|---|---|---|---|---|---|
| A | n | R2 | a | b (MPa) | R2 | |
| 0 | 4.202 | 0.677 | 0.988 | 0.594 | 36.092 | 0.986 |
| 1 | 4.318 | 0.673 | 0.976 | 0.591 | 37.006 | 0.973 |
| 5 | 3.425 | 0.721 | 0.997 | 0.633 | 32.401 | 0.996 |
| 10 | 4.919 | 0.643 | 0.982 | 0.565 | 39.065 | 0.980 |
| 15 | 3.095 | 0.737 | 0.982 | 0.648 | 27.683 | 0.980 |
Disclaimer/Publisher’s Note: The statements, opinions and data contained in all publications are solely those of the individual author(s) and contributor(s) and not of MDPI and/or the editor(s). MDPI and/or the editor(s) disclaim responsibility for any injury to people or property resulting from any ideas, methods, instructions or products referred to in the content. |
© 2026 by the authors. Licensee MDPI, Basel, Switzerland. This article is an open access article distributed under the terms and conditions of the Creative Commons Attribution (CC BY) license.
Share and Cite
Zhang, F.; Quan, S.; Liu, S.; Li, M.; Zhou, Q. Experimental Study on the True-Triaxial Mechanical Properties and Fracture Mechanisms of Granite Subjected to Cyclic Thermal Shock. Appl. Sci. 2026, 16, 1892. https://doi.org/10.3390/app16041892
Zhang F, Quan S, Liu S, Li M, Zhou Q. Experimental Study on the True-Triaxial Mechanical Properties and Fracture Mechanisms of Granite Subjected to Cyclic Thermal Shock. Applied Sciences. 2026; 16(4):1892. https://doi.org/10.3390/app16041892
Chicago/Turabian StyleZhang, Fan, Shaohui Quan, Shengyuan Liu, Man Li, and Qian Zhou. 2026. "Experimental Study on the True-Triaxial Mechanical Properties and Fracture Mechanisms of Granite Subjected to Cyclic Thermal Shock" Applied Sciences 16, no. 4: 1892. https://doi.org/10.3390/app16041892
APA StyleZhang, F., Quan, S., Liu, S., Li, M., & Zhou, Q. (2026). Experimental Study on the True-Triaxial Mechanical Properties and Fracture Mechanisms of Granite Subjected to Cyclic Thermal Shock. Applied Sciences, 16(4), 1892. https://doi.org/10.3390/app16041892

