Adaptive Pre-Distortion Compensation for LED Nonlinear Distortion in VLC-OFDM Systems Using Frequency Symbol Spreading
Abstract
1. Introduction
2. System Model
2.1. VLC-OFDM
2.2. LED Characteristic
- White LED: = 0.582.
- IR LED: = 0.541.
- Red LED: = 0.732.
3. Proposed Methods
3.1. Adaptive Pre-Distortion System
3.1.1. Least Squares Method (LSM)
3.1.2. Median Based Method (MBM)
3.2. Adaptive Pre-Distortion System Using FSS
4. Computer Simulation
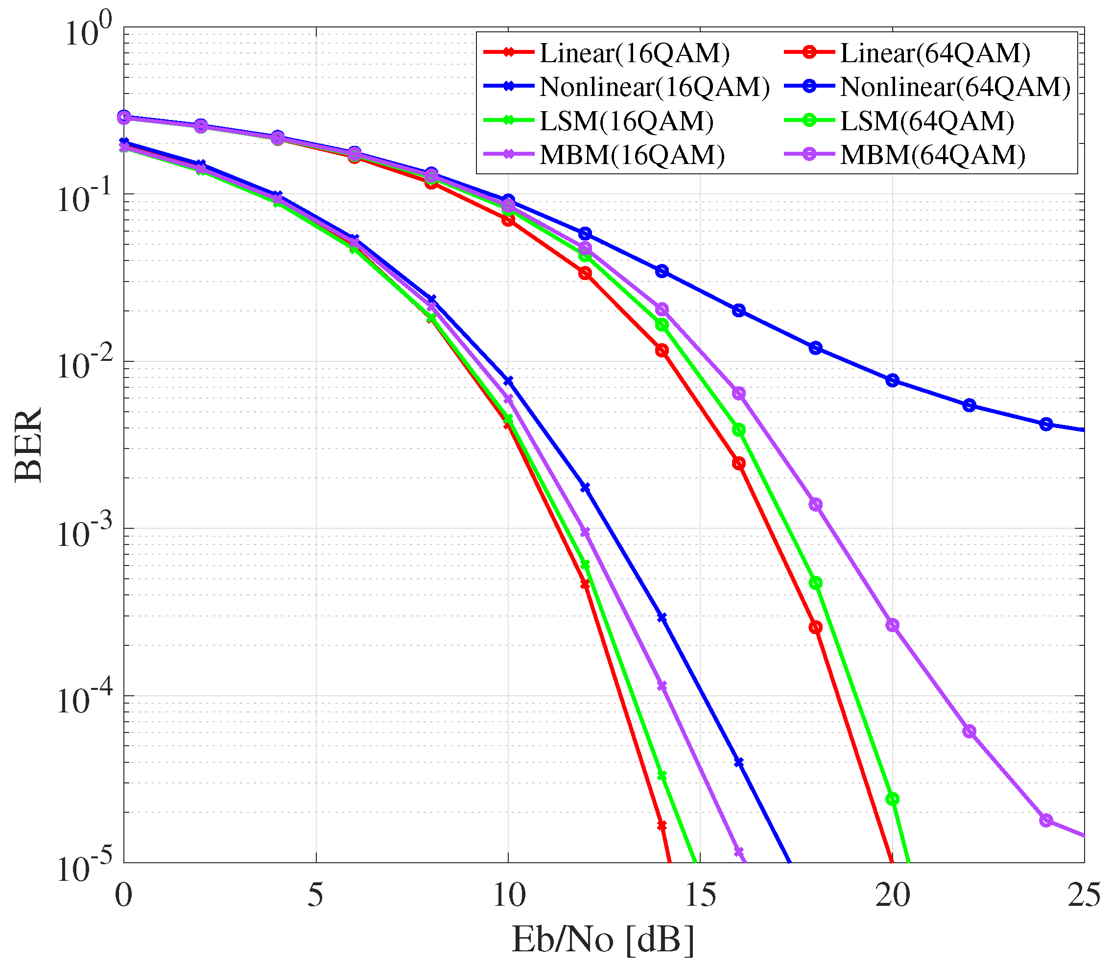
4.1. Comparison of the Proposed Methods
4.2. Evaluation of Rician Fading Impact on and Effectiveness of Proposed Method Using FSS
4.3. Feasibility of Applying the Proposed Method to Realistic Illumination Models
5. Conclusions
6. Future Research and Work
6.1. Adaptation to VLC-OFDM-Based Indoor Positioning Techniques
6.2. Reduction in Required Number of Reference Signals N
6.3. Application to Adaptive Modulation Techniques
Author Contributions
Funding
Institutional Review Board Statement
Informed Consent Statement
Data Availability Statement
Conflicts of Interest
References
- Dogra, A.; Jha, R.K.; Jain, S. A Survey on Beyond 5G Network with the Advent of 6G: Architecture and Emerging Technologies. IEEE Access 2021, 9, 67512–67547. [Google Scholar] [CrossRef]
- Eryilmaz, A.; Srikant, R. Fair Resource Allocation in Wireless Networks Using Queue-Length-Based Scheduling and Congestion Control. IEEE/ACM Trans. Netw. 2007, 15, 1333–1344. [Google Scholar] [CrossRef]
- Andras, C.M.; Barb, G.; Alexa, F.; Balint, C. Congestion Analysis of Transport Layer in a Multicell 5G DL Communication System. Sensors 2023, 23, 6111. [Google Scholar] [CrossRef] [PubMed]
- Al Hasnawi, R.; Marghescu, I. A Survey of Vehicular VLC Methodologies. Sensors 2024, 24, 598. [Google Scholar] [CrossRef] [PubMed]
- Rehman, S.U.; Ullah, S.; Chong, P.H.J.; Yongchareon, S.; Komosny, D. Visible Light Communication: A System Perspective—Overview and Challenges. Sensors 2019, 19, 1153. [Google Scholar] [CrossRef] [PubMed]
- Geng, Z.; Khan, F.N.; Guan, X.; Dong, Y. Advances in Visible Light Communication Technologies and Applications. Photonics 2022, 9, 893. [Google Scholar] [CrossRef]
- Matus, V.; Maturana, N.; Azurdia-Meza, C.A.; Montejo-Sánchez, S.; Rojas, J. Hardware design of a prototyping platform for vehicular VLC using SDR and exploiting vehicles CAN bus. In Proceedings of the 2017 First South American Colloquium on Visible Light Communications (SACVLC), Santiago, Chile, 13 November 2017; pp. 1–4. [Google Scholar]
- Marshoud, H.; Sofotasios, P.C.; Muhaidat, S.; Karagiannidis, G.K. Multi-user techniques in visible light communications: A survey. In Proceedings of the 2016 International Conference on Advanced Communication Systems and Information Security (ACOSIS), Marrakesh, Morocco, 17–19 October 2016; pp. 1–6. [Google Scholar]
- Loureiro, P.A.; Guiomar, F.P.; Monteiro, P.P. Visible Light Communications: A Survey on Recent High-Capacity Demonstrations and Digital Modulation Techniques. Photonics 2023, 10, 993. [Google Scholar] [CrossRef]
- Inan, B.; Jeffrey Lee, S.C.; Randel, S.; Neokosmidis, I.; Koonen, A.M.J.; Walewski, J.W. Impact of LED Nonlinearity on Discrete Multitone Modulation. J. Opt. Commun. Netw. 2013, 1, 439–451. [Google Scholar] [CrossRef]
- Laakso, M.; Dowhuszko, A.A.; Wichman, R. Empirical evaluation of OFDM waveforms for VLC in the presence of LED nonlinearities. In Proceedings of the 2021 IEEE 32nd Annual International Symposium on Personal, Indoor and Mobile Radio Communications (PIMRC), Helsinki, Finland, 13–16 September 2021; pp. 465–470. [Google Scholar]
- Elgala, H.; Mesleh, R.; Haas, H. A study of LED nonlinearity effects on optical wireless transmission using OFDM. In Proceedings of the 2009 IFIP International Conference on Wireless and Optical Communications Networks, Cairo, Egypt, 28–30 April 2009; pp. 1–5. [Google Scholar]
- Zhang, X.; Liu, P.; Liu, J.; Liu, S. An advanced A-law companding algorithm in VLC-OFDM. In Proceedings of the 2014 IEEE 3rd Global Conference on Consumer Electronics (GCCE), Tokyo, Japan, 7–10 October 2014; pp. 721–722. [Google Scholar]
- Mathias, L.C.; Marinello Filho, J.C.; Abrao, T. Predistortion and Pre-equalization for Nonlinearities and Low-pass Effect Mitigation in OFDM-VLC Systems. Appl. Opt. 2019, 58, 5328–5338. [Google Scholar] [CrossRef] [PubMed]
- Lu, H.; Jin, J.; Wang, J. Alleviation of LED Nonlinearity Impact in Visible Light Communication Using Companding and Predistortion. IET Commun. 2019, 13, 818–821. [Google Scholar] [CrossRef]
- Wu, X.; Hu, F.; Zou, P.; Chi, N. Application of Gaussian Mixture Model to Solve Inter-Symbol Interference in PAM8 Underwater Visible Light System Communication. IEEE Photonics J. 2019, 11, 1–10. [Google Scholar] [CrossRef]
- Wu, X.; Hu, F.; Zou, P.; Lu, X.; Chi, N. The Performance Improvement of Visible Light Communication Systems Under Strong Nonlinearities Based on Gaussian Mixture Model. Microw. Opt. Technol. Lett. 2020, 62, 547–554. [Google Scholar] [CrossRef]
- Ahn, C.-J.; Harada, H. Superimposed Frequency Symbol Based Adaptive Downlink OFDM with Frequency Spreading and Equalization. In Proceedings of the 2005 Asia-Pacific Conference on Communications, Perth, WA, Australia, 5 October 2005; pp. 1068–1072. [Google Scholar]
- Dissanayake, S.D.; Armstrong, J. Comparison of ACO-OFDM, DCO-OFDM and ADO-OFDM in IM/DD Systems. J. Lightw. Technol. 2013, 31, 1063–1072. [Google Scholar] [CrossRef]
- Liu, S.; Tang, P.; Zhang, J.; Yin, Y.; Tong, Y.; Liu, B.; Liu, G.; Xia, L. Statistical channel modeling for indoor VLC communications based on channel measurements. China Commun. 2024, 21, 131–147. [Google Scholar] [CrossRef]
- Skarżyński, K.; Żagan, W.; Krajewski, K. LED Luminaires: Many Chips—Many Photometric and Lighting Simulation Issues to Solve. Energies 2021, 14, 4646. [Google Scholar] [CrossRef]
- Terças, L.; Alves, H.; de Lima, C.H.M.; Juntti, M. Bayesian-Based Indoor Factory Positioning Using AOA, TDOA, and Hybrid Measurements. IEEE Internet Things J. 2024, 11, 21620–21631. [Google Scholar] [CrossRef]
- Nikonowicz, J.; Mahmood, A.; Ashraf, M.I.; Björnson, E.; Gidlund, M. Indoor Positioning in 5G-Advanced: Challenges and Solution Toward Centimeter-Level Accuracy with Carrier Phase Enhancements. IEEE Wirel. Commun. 2024, 31, 268–275. [Google Scholar] [CrossRef]
- Bastiaens, S.; Alijani, M.; Joseph, W.; Plets, D. Visible Light Positioning as a Next-Generation Indoor Positioning Technology: A Tutorial. IEEE Commun. Surv. Tutor. 2024, 26, 2867–2913. [Google Scholar] [CrossRef]
- Ghimire, B.; Seitz, J.; Mutschler, C. Indoor Positioning Using OFDM-Based Visible Light Communication System. In Proceedings of the 2018 International Conference on Indoor Positioning and Indoor Navigation (IPIN), Nantes, France, 24–27 September 2018; pp. 1–8. [Google Scholar]
- Aminikashani, M.; Gu, W.; Kavehrad, M. Indoor positioning with OFDM Visible Light Communications. In Proceedings of the 2016 13th IEEE Annual Consumer Communications & Networking Conference (CCNC), Las Vegas, NV, USA, 9–12 January 2016; pp. 505–510. [Google Scholar]
- Tettey, D.K.; Elamassie, M.; Uysal, M. Implementation of Software-Defined Adaptive DCO-OFDM for Vehicular Visible Light Communication. In Proceedings of the 2023 2nd International Conference on 6G Networking (6GNet), Paris, France, 18–20 October 2023; pp. 1–3. [Google Scholar]
- Wu, L.; Zhang, Z.; Dang, J.; Liu, H. Adaptive Modulation Schemes for Visible Light Communications. J. Lightw. Technol. 2015, 33, 117–125. [Google Scholar] [CrossRef]














| Modulation | 16QAM, 64QAM |
|---|---|
| Transmission bandwidth | 20 MHz |
| FFT size | 128 |
| Number of subcarriers | 128 |
| Number of data symbols | 32 |
| Guard interval | 16 |
| Channel model | AWGN |
| Number of pilot symbols | 2 |
| LED type | White LED ( = 0.582) |
| Number of reference signals (N) | LSM (16QAM): 50 |
| MBM (16QAM): 600 | |
| LSM MBM (64QAM): 750 | |
| Normalized bias current () | 0.5 |
Disclaimer/Publisher’s Note: The statements, opinions and data contained in all publications are solely those of the individual author(s) and contributor(s) and not of MDPI and/or the editor(s). MDPI and/or the editor(s) disclaim responsibility for any injury to people or property resulting from any ideas, methods, instructions or products referred to in the content. |
© 2025 by the authors. Licensee MDPI, Basel, Switzerland. This article is an open access article distributed under the terms and conditions of the Creative Commons Attribution (CC BY) license (https://creativecommons.org/licenses/by/4.0/).
Share and Cite
Seimiya, K.; Oshima, R.; Kang, G.; Ahn, C.-J. Adaptive Pre-Distortion Compensation for LED Nonlinear Distortion in VLC-OFDM Systems Using Frequency Symbol Spreading. Appl. Sci. 2025, 15, 4221. https://doi.org/10.3390/app15084221
Seimiya K, Oshima R, Kang G, Ahn C-J. Adaptive Pre-Distortion Compensation for LED Nonlinear Distortion in VLC-OFDM Systems Using Frequency Symbol Spreading. Applied Sciences. 2025; 15(8):4221. https://doi.org/10.3390/app15084221
Chicago/Turabian StyleSeimiya, Koichi, Ren Oshima, Geonuk Kang, and Chang-Jun Ahn. 2025. "Adaptive Pre-Distortion Compensation for LED Nonlinear Distortion in VLC-OFDM Systems Using Frequency Symbol Spreading" Applied Sciences 15, no. 8: 4221. https://doi.org/10.3390/app15084221
APA StyleSeimiya, K., Oshima, R., Kang, G., & Ahn, C.-J. (2025). Adaptive Pre-Distortion Compensation for LED Nonlinear Distortion in VLC-OFDM Systems Using Frequency Symbol Spreading. Applied Sciences, 15(8), 4221. https://doi.org/10.3390/app15084221

