A Sub-50nW Implantable Body Temperature Sensor and Its Application to a Rat
Abstract
1. Introduction
2. System Design
2.1. System Top Configuration
2.2. Body Temperature Measurement Channel (CH_T) Design
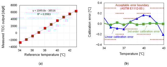
3. Characterization of Fabricated Temperature Measurement Channel (CH_T)
4. In Vivo Application
4.1. Implantable Device (DEV_NA10)
4.2. Flexible PCB (FPCB_ELEC10)
4.3. Animal Surgery
4.4. In Vivo Measurement Result
5. Discussion
6. Conclusions
Author Contributions
Funding
Institutional Review Board Statement
Informed Consent Statement
Data Availability Statement
Acknowledgments
Conflicts of Interest
References
- Oh, S.; Jekal, J.; Liu, J.; Kim, J.; Park, J.U.; Lee, T.; Jang, K.I. Bioelectronic Implantable Devices for Physiological Signal Recording and Closed-loop Neuromodulation. Adv. Funct. Mater. 2024, 34, 2403562. [Google Scholar] [CrossRef]
- Gulino, M.; Kim, D.; Pané, S.; Santos, S.D.; Pêgo, A.P. Tissue Response to Neural Implants: The Use of Model Systems Toward New Design Solutions of Implantable Microelectrodes. Front. Neurosci. 2019, 13, 689. [Google Scholar] [CrossRef]
- Shin, J.; Liu, Z.; Bai, W.; Liu, Y.; Yan, Y.; Xue, Y.; Kandela, I.; Pezhouh, M.; MacEwan, M.R.; Huang, Y.; et al. Bioresorbable optical sensor systems for monitoring of intracranial pressure and temperature. Sci. Adv. 2019, 5, eaaw1899. [Google Scholar] [CrossRef]
- Lu, D.; Yan, Y.; Avila, R.; Kandela, I.; Stepien, I.; Seo, M.H.; Bai, W.; Yang, Q.; Li, C.; Haney, C.R.; et al. Bioresorbable, Wireless, Passive Sensors as Temporary Implants for Monitoring Regional Body Temperature. Adv. Healthc. Mater. 2020, 9, 2000942. [Google Scholar] [CrossRef] [PubMed]
- Madhvapathy, S.R.; Wang, J.J.; Wang, H.; Patel, M.; Chang, A.; Zheng, X.; Huang, Y.; Zhang, Z.J.; Gallon, L.; Rogers, J.A. Implantable bioelectronic systems for early detection of kidney transplant rejection. Science 2023, 381, 1105–1112. [Google Scholar] [CrossRef]
- Yokota, T.; Inoue, Y.; Terakawa, Y.; Reeder, J.; Kaltenbrunner, M.; Ware, T.; Yang, K.; Mabuchi, K.; Murakawa, T.; Sekino, M.; et al. Ultraflexible, large-area, physiological temperature sensors for multipoint measurements. Proc. Natl. Acad. Sci. USA 2015, 112, 14533–14538. [Google Scholar] [CrossRef] [PubMed]
- Bergmann, G.; Graichen, F.; Dymke, J.; Rohlmann, A.; Duda, G.N.; Damm, P. High-tech hip implant for wireless temperature measurements in vivo. PLoS ONE 2012, 7, e43489. [Google Scholar] [CrossRef]
- Wang, J.; Xie, H.; Chung, T.; Chan, L.L.H.; Pang, S.W. Neural Probes with Integrated Temperature Sensors for Moni-toring Retina and Brain Implantation and Stimulation. IEEE Trans. Neural Syst. Rehabil. Eng. 2017, 25, 1663–1673. [Google Scholar] [CrossRef] [PubMed]
- Yang, Z.; Zhang, Y.; Itoh, T.; Maeda, R. Flexible Implantable Microtemperature Sensor Fabricated on Polymer Capillary by Programmable UV Lithography With Multilayer Alignment for Biomedical Applications. J. Microelectromechanical Syst. 2014, 23, 21–29. [Google Scholar] [CrossRef]
- Goncalves, S.B.; Palha, J.M.; Fernandes, H.C.; Souto, M.R.; Pimenta, S.; Dong, T.; Yang, Z.; Ribeiro, J.F.; Correia, J.H. LED Optrode with Integrated Temperature Sensing for Optogenetics. Micromachines 2018, 9, 473. [Google Scholar] [CrossRef] [PubMed]
- Texas Instruments. ADS1148-Q1 Automotive,16-Bit, 2-kSPS, Analog-to-Digital Converter with Integrated Programmable Gain Amplifier (PGA), Reference, and Oscillator datasheet (Rev. A). Available online: https://www.ti.com/product/ko-kr/ADS1148-Q1 (accessed on 17 February 2025).
- Chang, K.M.; Lin, Y.J.; Wei, C.L.; Chang, S.J. Resistor-Based Temperature Sensing Chip with Digital Output. In Proceedings of the 2020 International Symposium on VLSI Design Automation and Test (VLSI-DAT), Hsinchu, Taiwan, 10–13 August 2020; pp. 1–4. [Google Scholar]
- Lim, J.; Kim, J. Ultra-Low Power Readout Circuit Design and Simulation using Dynamic Wheatstone Bridge Technique for Implantable Body Temperature Sensor Application. J. Semicond. Technol. Sci. 2024; revision in progress. [Google Scholar]
- ASTM E1112-00; Standard Specification for Electronic Thermometer for Intermittent Determination of Patient Temperature. ASTM Standards: West Conshohocken, PA, USA, 2018.
- Li, J.; Kang, L.; Long, Y.; Wei, H.; Yu, Y.; Wang, Y.; Ferreira, C.A.; Yao, G.; Zhang, Z.; Carlos, C.; et al. Implanted Battery-Free Direct-Current Micro-Power Supply from in Vivo Breath Energy Harvesting. Am. Chem. Soc. Appl. Mater. Interfaces 2018, 10, 42030–42038. [Google Scholar] [CrossRef]
- Kim, C.Y.; Ku, M.J.; Qazi, R. Soft subdermal implant capable of wireless battery charging and programmable controls for applications in optogenetics. Nat. Commun. 2021, 12, 535. [Google Scholar] [CrossRef] [PubMed]
- Kim, S.; Oh, Y.S.; Lee, K.; Kim, S.; Maeng, W.Y.; Kim, K.S.; Kim, G.B.; Cho, S.; Han, H.; Park, H.; et al. Battery-Free, Wireless, Cuff-Type, Multimodal Physical Sensor for Continuous Temperature and Strain Monitoring of Nerve. Nano·Micro Small 2023, 19, 2206839. [Google Scholar] [CrossRef] [PubMed]
- Choi, W.; Park, H.; Oh, S.; Seok, S.; Yoon, D.S.; Kim, J. High-Porosity Sieve-Type Neural Electrodes for Motor Function Recovery and Nerve Signal Acquisition. Micromachines 2024, 15, 862. [Google Scholar] [CrossRef]
- Ji, B.; Sun, F.; Guo, J. Brainmask: An ultrasoft and moist micro-electrocorticography electrode for accurate positioning and long-lasting recordings. Microsyst. Nanoeng. 2023, 9, 126. [Google Scholar] [CrossRef] [PubMed]
- Rufiange, M.; Leung, V.S.Y.; Simpson, K.; Pang, D.S.J. Pre-warming before general anesthesia with isoflurane delays the onset of hypothermia in rats. PLoS ONE 2020, 15, e0219722. [Google Scholar] [CrossRef]
- Kiryu, S.; Inoue, Y.; Watanabe, M.; Ohtomo, K. Effect of isoflurane anesthesia and hypothermia on the hepatic kinetics of Gd-EOB-DTPA: Evaluation using MRI of conscious mice. J. Magn. Reson. Imaging 2011, 34, 354–360. [Google Scholar] [CrossRef]
- Luo, Y.; Teng, K.H.; Li, Y.; Mao, W.; Lian, Y.; Heng, C.H. A 74-μW 11-Mb/s wireless vital signs monitoring SoC for three-lead ECG, respiration rate, and body temperature. IEEE Trans. Biomed. Circuits Syst. 2019, 13, 907–917. [Google Scholar] [CrossRef]
- Pan, S.; Makinwa, K.A.A. A 6.6-μW Wheatstone-Bridge Temperature Sensor for Biomedical Applications. IEEE Solid-State Circuits Lett. 2020, 3, 334–337. [Google Scholar] [CrossRef]
- Yu, S.; Chou, T.H.; Cook, J.; Park, J.; Johnston, M.L. A Reconfigurable Tri-Mode Frequency-Locked Loop Readout Circuit for Biosensor Interfaces. In Proceedings of the 2022 IEEE Biomedical Circuits and Systems Conference, Taipei, Taiwan, 13–15 October 2022; pp. 125–129. [Google Scholar]
- Minto, S.; Cable, A.; Saadeh, W. A 206 μW Vital Signs Monitoring System on Chip for Measuring Five Vitals. IEEE Trans. Very Large Scale Integr. (VLSI) Syst. 2024, 32, 1652–1660. [Google Scholar] [CrossRef]
- Dewhirst, M.W.; Viglianti, B.L.; Lora-Michiels, M.; Hanson, M.; Hoopes, P.J. Basic principles of thermal dosimetry and thermal thresholds for tissue damage from hyperthermia. Int. J. Hyperth. 2003, 19, 267–294. [Google Scholar] [CrossRef]
- Singh, A.V.; Alapan, Y.; Jahnke, T.; Laux, P.; Luch, A.; Aghakhani, A.; Kharratian, S.; Onbasli, M.C.; Billb, J.; Sitti, M. Seed-mediated synthesis of plasmonic gold nanoribbons using cancer cells for hyperthermia applications. J. Mater. Chem. B 2018, 6, 7573–7581. [Google Scholar] [CrossRef] [PubMed]
- Zhang, Y.; Li, Z.; Huang, Y.; Zou, B.; Xu, Y. Amplifying cancer treatment: Advances in tumor immunotherapy and nanoparticle-based hyperthermia. Front. Immunol. 2023, 14, 1258786. [Google Scholar] [CrossRef]










| This Work | TBCAS’19 [22] Yuxuan Luo | SSCL’20 [23] Sining Pan | TCAS-I’23 [24] Siyuan Yu | TVLSI’24 [25] Sameen Minto | |
|---|---|---|---|---|---|
| Transducer type | Thermistor | Thermistor | On-chip resistor | Thermistor | On-chip resistor |
| Transducer resistance [Ω] | 100 k | 600 k | 600 k | 100 k | 66 k |
| Transducer driving | Dynamic | Static | Dynamic | Static | Static |
| Architecture | Virtual Wheatstone bridge, VCO, TDC | Direct temperature to digital converter based on ΔΣ modulation | Wheatstone bridge, ΔΣ modulator | Wheatstone bridge, LPF, VCO, TDC | Wheatstone bridge, ΔΣ modulator |
| Fabrication technology [nm] | 180 | 130 | 180 | 180 | 180 |
| Supply voltage [V] | 0.6, 1.8 | 0.9 | 1.6 | 1.2 | 1.5 |
| Area [mm2] | 0.118 | N.A. | 0.12 | 0.5 | N.A. |
| Temperature range [°C] | 34~43 | 32~42 | 27.5~47.5 | 0~75 | 32~42 |
| Inaccuracy [°C] | ±0.1 a, +0.17/−0.21 b | ±0.13 | +0.2/−0.1 | N.A. | ±0.09 |
| Power consumption [nW] | 40.9 | 1800 | 700 | 9200 | 35,000 |
| Verification level | Rat sciatic nerve in vivo | External body skin | Chip | Chip | External body skin |
Disclaimer/Publisher’s Note: The statements, opinions and data contained in all publications are solely those of the individual author(s) and contributor(s) and not of MDPI and/or the editor(s). MDPI and/or the editor(s) disclaim responsibility for any injury to people or property resulting from any ideas, methods, instructions or products referred to in the content. |
© 2025 by the authors. Licensee MDPI, Basel, Switzerland. This article is an open access article distributed under the terms and conditions of the Creative Commons Attribution (CC BY) license (https://creativecommons.org/licenses/by/4.0/).
Share and Cite
Lim, J.; Lee, S.; Jang, S.; Cho, Y.S.; Kim, J.P. A Sub-50nW Implantable Body Temperature Sensor and Its Application to a Rat. Appl. Sci. 2025, 15, 2269. https://doi.org/10.3390/app15052269
Lim J, Lee S, Jang S, Cho YS, Kim JP. A Sub-50nW Implantable Body Temperature Sensor and Its Application to a Rat. Applied Sciences. 2025; 15(5):2269. https://doi.org/10.3390/app15052269
Chicago/Turabian StyleLim, Jounghoon, Sieun Lee, Seonae Jang, Young Sang Cho, and Jong Pal Kim. 2025. "A Sub-50nW Implantable Body Temperature Sensor and Its Application to a Rat" Applied Sciences 15, no. 5: 2269. https://doi.org/10.3390/app15052269
APA StyleLim, J., Lee, S., Jang, S., Cho, Y. S., & Kim, J. P. (2025). A Sub-50nW Implantable Body Temperature Sensor and Its Application to a Rat. Applied Sciences, 15(5), 2269. https://doi.org/10.3390/app15052269

