Using Machine Learning to Shorten and Adapt Fall Risk Assessments for Older Adults
Abstract
1. Introduction
2. Previous Work
3. Methods
3.1. Measures
- 1.
- The Berg Balance Scale (BBS) is a 14-item measure that assesses static and dynamic balance. Each item is scored from 0 (unable to perform) to 4 (normal performance). A score under 36 indicates a high fall risk. The BBS is widely used in clinical practice, especially during rehabilitation. Recently, due to ceiling effects, the use of the BBS as a single measure of fall risk is being questioned [23].
- 2.
- The Mini-Balance Evaluation Systems Test (MBT) includes 14 items, each scored from 0 (severe balance impairment) to 2 (no balance impairment). A score of 20 points or below indicates a high risk of fall [23].
- 3.
- The timed up and go test (TUG) assesses mobility, balance, and fall risk. The test measures the time (in seconds) required for a subject to rise from a sitting position, walk 3 m, turn, walk back, and sit down. A score of 12 s or more indicates a risk of fall [24].
- 4.
- The Four-Stage Balance Test (4SBT) assesses static balance in four standing positions that are progressively challenging. The inability to maintain the pose without support for at least 10 s indicates an increased risk of fall [24]. We only considered the 4th stage—standing on one foot—as the first 3 tests are at ceiling given the relatively strong subjects that were recruited.
- 5.
- The Four-Meter Walk Test (4MW) measures walking speed (in meter/second) across 4 m. Speeds lower than 1.0 m/s are considered a strong predictor of falls [25].
- 6.
- The sit-to-stand test (STS) assesses the functional strength of the lower limbs, as well as fall risk, by assessing the number of sit-to-stand repeats in 30 s. A count lower than expected by age and sex indicates a high risk of fall [26].
- The Berg Balance Scale (BBS) final score.
- The Mini-Balance Evaluation Systems Test (MBT) final score.
- The timed up and go (TUG).
- The Four-Stage Balance Test (4SBT).
- The Four-Meter Walk Test (4MW).
- The sit-to-stand test (STS).
3.2. Data Collection
- Dataset 1 consisted of 256 tested subjects. Each subject performed the 14 BBS tasks. Performance was assessed by two physiotherapists using the BBS scoring system, and a final BBS score was assigned. The physiotherapists’ scores served to train and test the ML models.
- Dataset 2 consisted of 155 tested subjects. Each completed a large battery of 32 tasks, comprising the 14 tasks of the MBT, the 14 tasks of the BBS, the TUG, the 4SBT, the 4MW, and the STS. Scoring was performed by a physiotherapist [27]. These scores were used to train and test the ML models.
3.3. ML-CAT Model
- 1.
- Determine the samples in the database that are most similar to the subject in the scores . Collect the D% most similar samples.
- 2.
- For each task T that is not among the k tasks that the subject has completed, train an ML model on the similar samples selected in Step 1, using as input features their scores on tasks and T.
- 3.
- Test the accuracy of all models trained in Step 2 in predicting the score S on similar samples.
- 4.
- Choose the next task T to be administered as that for which the model accuracy is the highest.
- 5.
- Administer task T to the subject. Denote this task and the score .
- 6.
- If the algorithm’s stopping criteria have not been reached and there is a task that has not yet been administered, then return to Step 1 with .
- 7.
- Otherwise, use to predict the score S using the model with the highest accuracy (from Step 4). Report the results.
3.4. ML-CAT Algorithm—Details
3.4.1. ML Model
3.4.2. Starting Task
3.4.3. Stopping Criterion
- 1.
- Stop after a specified number of tasks have been selected and administered.
- 2.
- Stop when a set level of confidence in the prediction has been reached. Confidence was assessed as the performance of the predicting model (computed in Step 3). In all cases, the mean absolute error (MAE) was used to evaluate performance.
3.4.4. Similar Data Selection
3.4.5. Measure of Model Accuracy
3.5. Non-Feasible Tasks
- Reaching forward with an outstretched arm (the BBS).
- Compensatory step correction forward (the MBT).
- Compensatory step correction backward (the MBT).
- Compensatory step correction lateral (the MBT).
- Change in speed (the MBT).
- Walk with head turned horizontal (the MBT).
- Walk with pivot turns (the MBT).
- Step over obstacles (the MBT).
- Timed up and go with a dual task (the MBT).
- Timed up and go test (TUG).
- Four-Meter Walk Test (4MW).
4. Results
- 1.
- Part A: ML-CAT models that predict the BBS and MBT final scores using the 14 tasks of the BBS (Dataset 1) and MBT (Dataset 2), respectively. The results are compared with the BBS predictions in [22].
- 2.
- Part B: An ML-CAT model restricted to feasible tasks only and trained on Dataset 1 to predict the BBS final score. The results are compared with the results of Part A.
- 3.
- Part C: ML-CAT models restricted to feasible tasks only and trained on Dataset 2 to predict the MBT and other non-feasible tasks.
4.1. Results Part A
4.2. Results Part B
4.3. Results Part C
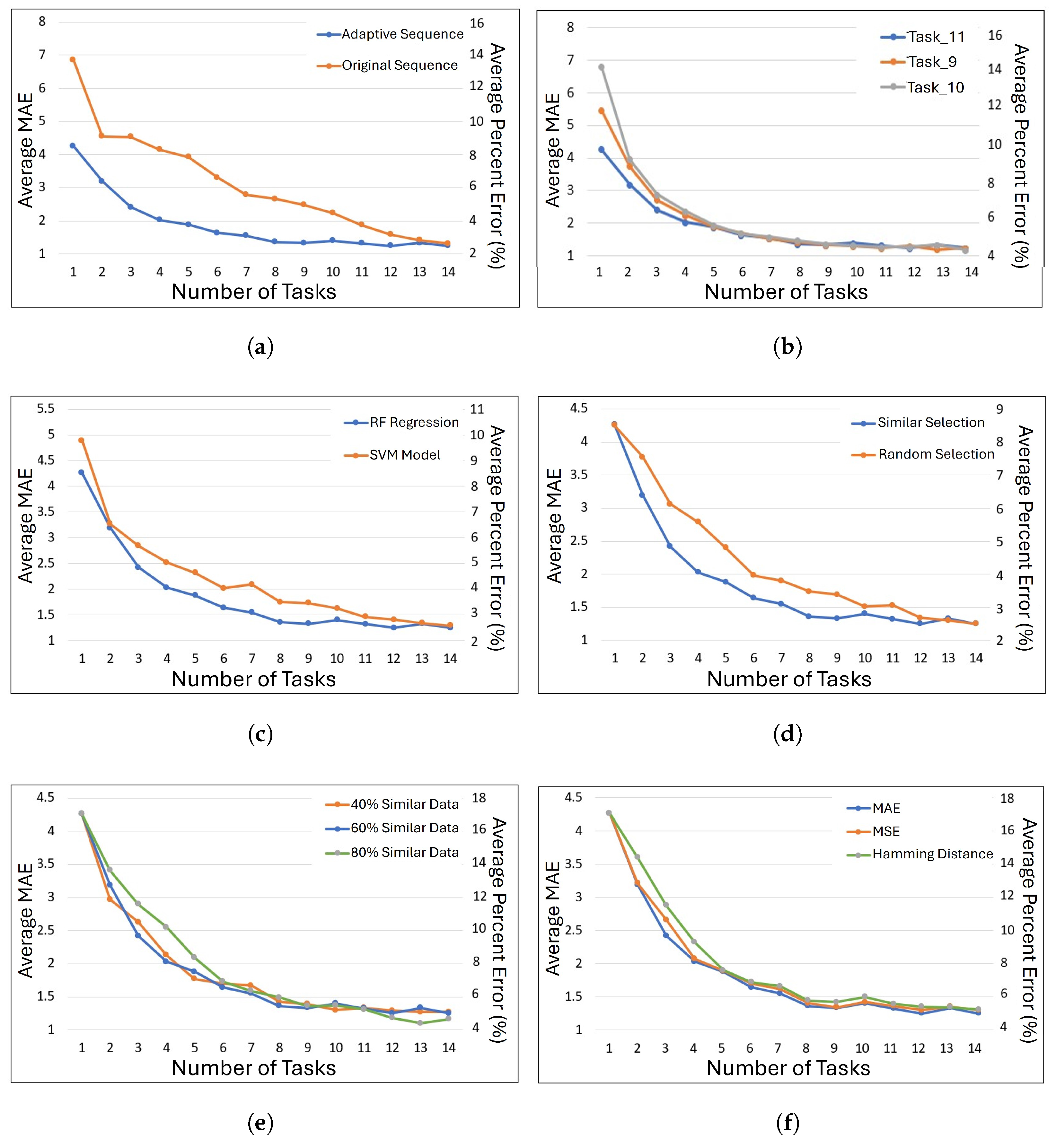
5. Ablation and Comparison Study
5.1. Adaptive vs. Standard Order of Tasks
5.2. Starting Task
5.3. ML Model Comparison
5.4. Training on Similar Data
5.5. Choice of Training Set Size
5.6. Similar Data Selection Metric
6. Conclusions
Author Contributions
Funding
Institutional Review Board Statement
Informed Consent Statement
Data Availability Statement
Conflicts of Interest
References
- White, M.P.; Hartig, T.; Martin, L.; Pahl, S.; van den Berg, A.E.; Wells, N.M.; Costongs, C.; Dzhambov, A.M.; Elliott, L.R.; Godfrey, A.; et al. Nature-based biopsychosocial resilience: An integrative theoretical framework for research on nature and health. Environ. Int. 2023, 181, 108234. [Google Scholar] [CrossRef] [PubMed]
- LeLaurin, J.H.; Shorr, R.I. Preventing falls in hospitalized patients: State of the science. Clin. Geriatr. Med. 2019, 35, 273–283. [Google Scholar] [CrossRef] [PubMed]
- Cunningham, C.; O’Sullivan, R.; Caserotti, P.; Tully, M.A. Consequences of physical inactivity in older adults: A systematic review of reviews and meta-analyses. Scand. J. Med. Sci. Sport. 2020, 30, 816–827. [Google Scholar] [CrossRef] [PubMed]
- Collins, S.; Casey, R. Falls Prevention: National, State, and Local Solutions to Better Support Seniors; Special Committee on Aging United State Senate: Washington, DC, USA, 2019. [Google Scholar]
- Omaña, H.; Bezaire, K.; Brady, K.; Davies, J.; Louwagie, N.; Power, S.; Santin, S.; Hunter, S.W. Functional reach test, single-leg stance test, and tinetti performance-oriented mobility assessment for the prediction of falls in older adults: A systematic review. Phys. Ther. 2021, 101, pzab173. [Google Scholar] [CrossRef]
- Nithman, R.W. Use of a Telerehabilitation Delivery System for Fall Risk Screening 2018. Available online: https://www.semanticscholar.org/paper/Use-of-a-Telerehabilitation-Delivery-System-for-Nithman/2ea20a374cea66cc10c1d114ff25b75b806e06cd (accessed on 28 January 2025).
- Wang, T.; Lund, B.D.; Marengo, A.; Pagano, A.; Mannuru, N.R.; Teel, Z.A.; Pange, J. Exploring the potential impact of artificial intelligence (AI) on international students in higher education: Generative AI, chatbots, analytics, and international student success. Appl. Sci. 2023, 13, 6716. [Google Scholar] [CrossRef]
- Yao, L. Item selection methods for computer adaptive testing with passages. Front. Psychol. 2019, 10, 240. [Google Scholar] [CrossRef]
- Rahimi, S.; Almond, R.; Ramírez-Salgado, A.; Wusylko, C.; Weisberg, L.; Song, Y.; Lu, J.; Myers, T.; Wang, B.; Wang, X.; et al. Competency model development: The backbone of successful stealth assessments. J. Comput. Assist. Learn. 2024, 40, 2772–2789. [Google Scholar] [CrossRef]
- Choi, S.W.; Grady, M.W.; Dodd, B.G. A new stopping rule for computerized adaptive testing. Educ. Psychol. Meas. 2011, 71, 37–53. [Google Scholar] [CrossRef]
- Horak, F.B.; Wrisley, D.M.; Frank, J. The balance evaluation systems test (BESTest) to differentiate balance deficits. Phys. Ther. 2009, 89, 484–498. [Google Scholar] [CrossRef]
- Franchignoni, F.; Horak, F.; Godi, M.; Nardone, A.; Giordano, A. Using psychometric techniques to improve the Balance Evaluation System’s Test: The mini-BESTest. J. Rehabil. Med. Off. J. UEMS Eur. Board Phys. Rehabil. Med. 2010, 42, 323. [Google Scholar]
- Huang, M.; Pang, M.Y. Psychometric properties of Brief-Balance Evaluation Systems Test (Brief-BEST est) in evaluating balance performance in individuals with chronic stroke. Brain Behav. 2017, 7, e00649. [Google Scholar] [CrossRef] [PubMed]
- Vabalas, A.; Gowen, E.; Poliakoff, E.; Casson, A.J. Machine learning algorithm validation with a limited sample size. PLoS ONE 2019, 14, 0224365. [Google Scholar] [CrossRef] [PubMed]
- Lo, J.; Chan, L.; Flynn, S. A systematic review of the incidence, prevalence, costs, and activity and work limitations of amputation, osteoarthritis, rheumatoid arthritis, back pain, multiple sclerosis, spinal cord injury, stroke, and traumatic brain injury in the United States: A 2019 update. Arch. Phys. Med. Rehabil. 2021, 102, 115–131. [Google Scholar] [PubMed]
- Rokach, L.; Maimon, O. Top-down induction of decision trees classifiers-a survey. IEEE Trans. Syst. Man Cybern. Part C Applications Rev. 2005, 35, 476–487. [Google Scholar] [CrossRef]
- Breiman, L. Random forests. Mach. Learn. 2001, 45, 5–32. [Google Scholar] [CrossRef]
- Zhou, Z.H. Ensemble Methods: Foundations and Algorithms; CRC Press: Boca Raton, FL, USA, 2025. [Google Scholar]
- Chandrashekar, G.; Sahin, F. A survey of feature selection techniques. In Encyclopedia of Data Warehousing and Mining, Second Edition; IGI Global: Hershey, PA, USA, 2009; pp. 1888–1895. [Google Scholar]
- Huang, H.; Shi, G.; He, H.; Duan, Y.; Luo, F. Dimensionality reduction of hyperspectral imagery based on spatial–spectral manifold learning. IEEE Trans. Cybern. 2019, 50, 2604–2616. [Google Scholar] [CrossRef]
- Obaid, H.S.; Dheyab, S.A.; Sabry, S.S. The impact of data pre-processing techniques and dimensionality reduction on the accuracy of machine learning. In Proceedings of the 2019 9th Annual Information Technology, Electromechanical Engineering and Microelectronics Conference (IEMECON), Jaipur, India, 13–15 March 2019; pp. 279–283. [Google Scholar]
- Eichler, N.; Masalha, A.; Raz, S.; Toledano-Shubi, A.; Livne, D.; Hel-Or, H.; Shimshoni, I. Automatic and Efficient Fall Risk Assessment based on Machine Learning. Sensors 2022, 22, 1557. [Google Scholar] [CrossRef]
- Jácome, C.; Cruz, J.; Oliveira, A.; Marques, A. Validity, reliability, and ability to identify fall status of the Berg Balance Scale, BESTest, Mini-BESTest, and Brief-BESTest in patients with COPD. Phys. Ther. 2016, 96, 1807–1815. [Google Scholar] [CrossRef]
- Garcia, M.; Lipskiy, N.; Tyson, J.; Watkins, R.; Esser, E.S.; Kinley, T. Centers for Disease Control and Prevention 2019 novel coronavirus disease (COVID-19) information management: Addressing national health-care and public health needs for standardized data definitions and codified vocabulary for data exchange. J. Am. Med Inform. Assoc. 2020, 27, 1476–1487. [Google Scholar] [CrossRef]
- Kyrdalen, I.L.; Thingstad, P.; Sandvik, L.; Ormstad, H. Associations between gait speed and well-known fall risk factors among community-dwelling older adults. Physiother. Res. Int. 2019, 24, e1743. [Google Scholar] [CrossRef]
- Smith, W.N.; Rossi, G.D.; Adams, J.B.; Abderlarahman, K.; Asfour, S.A.; Roos, B.A.; Signorile, J.F. Simple equations to predict concentric lower-body muscle power in older adults using the 30-second chair-rise test: A pilot study. Clin. Interv. Aging 2010, 5, 173–180. [Google Scholar] [PubMed]
- Toledano-Shubi, A.; Hel-Or, H.; Sarig-Bahat, H. Remote versus face-to-face fall risk assessment in home dwelling older adults: A reliability study. Physiother. Theory Pract. 2024. [Google Scholar] [CrossRef] [PubMed]
- Veldkamp, B.P.; van der Linden, W.J. Designing Item Pools for Computerized Adaptive Testing; Springer: Berlin/Heidelberg, Germany, 2000. [Google Scholar]
- Bischl, B.; Binder, M.; Lang, M.; Pielok, T.; Richter, J.; Coors, S.; Thomas, J.; Ullmann, T.; Becker, M.; Boulesteix, A.L.; et al. Hyperparameter optimization: Foundations, algorithms, best practices, and open challenges. Wiley Interdiscip. Rev. Data Min. Knowl. Discov. 2023, 13, e1484. [Google Scholar] [CrossRef]
- Fawagreh, K.; Gaber, M.M.; Elyan, E. Random forests: From early developments to recent advancements. Syst. Sci. Control Eng. Open Access J. 2014, 2, 602–609. [Google Scholar] [CrossRef]
- Cha, G.W.; Moon, H.J.; Kim, Y.C. Comparison of random forest and gradient boosting machine models for predicting demolition waste based on small datasets and categorical variables. Int. J. Environ. Res. Public Health 2021, 18, 8530. [Google Scholar] [CrossRef]
- Chizi, B.; Maimon, O. Dimension reduction and feature selection. Data Min. Knowl. Discov. Handb. 2010, 3940, 83–100. [Google Scholar]
- Hunter, D.J.; Holmes, C. Where medical statistics meets artificial intelligence. N. Engl. J. Med. 2023, 389, 1211–1219. [Google Scholar] [CrossRef]
- Toledano-Shubi, A.; Hel-Or, H.; Sarig Bahat, H. Remote fall prevention training for community-dwelling older adults: Comparison with face-to face and effect of delivery sequence. Geriatr. Nurs. 2025, submitted.
- Herman, T.; Giladi, N.; Hausdorff, J.M. Properties of the ‘timed up and go’test: More than meets the eye. Gerontology 2011, 57, 203–210. [Google Scholar] [CrossRef]
- Li, S.Z.; Jain, A. Hamming Distance. In Encyclopedia of Biometrics; Springer: Boston, MA, USA, 2009; p. 668. [Google Scholar]
- Oliveri, M. Functional Capacity Evaluation (FCE). Vocat. Rehabil. 2006, 69–93. [Google Scholar] [CrossRef]
- Edemekong, P.F.; Bomgaars, D.; Sukumaran, S.; Levy, S.B. Activities of Daily Living; StatPearls Publishing LLC.: St. Petersburg, FL, USA, 2019. [Google Scholar]
- Doedens, W.J.; Meteyard, L. Measures of functional, real-world communication for aphasia: A critical review. Aphasiology 2020, 34, 492–514. [Google Scholar] [CrossRef]











| Characteristic | Dataset 1 | Dataset 2 |
|---|---|---|
| Age in years: mean (SD) | 73.2 (4.0) | XXX |
| Sex: female (%) | 190 (74.5) | XXX |
| Physical measures: mean (SD) | ||
| BBS (range 0–56) | 38.8 (12.5) | 54.7 (1.5) |
| MBT (range 0–28) | - | 25.1 (2.0) |
| TUG (s) | - | 10.9 (3.4) |
| 4SBT (s) | - | 12.0 (7.1) |
| 4MW (m/s) | - | 3.3 (0.5) |
| STS (s) | - | 14.0 (4.4) |
| Confidence Threshold (%) | Average Prediction Error (%) | Average Number of Tasks |
|---|---|---|
| Model A-BBS | ||
| 95.00 | 7.59 | 3.54 |
| 96.00 | 6.02 | 5.34 |
| 97.00 | 4.99 | 8.07 |
| 98.00 | 4.58 | 10.99 |
| Model A-MBT | ||
| 91.00 | 4.03 | 2.93 |
| 92.50 | 3.31 | 4.10 |
| 94.50 | 2.54 | 5.45 |
| 97.00 | 2.00 | 8.42 |
| Model B-BBS | ||
|---|---|---|
| Confidence Threshold (%) | Average Percentage Error (%) | Average Number of Tasks |
| 94.00 | 8.42 | 3.53 |
| 95.00 | 7.51 | 5.07 |
| 96.00 | 6.52 | 6.98 |
| Model Name | Top Ranking Features | Predictive Factor |
|---|---|---|
| Sit-to-stand test (STS) | 23 | |
| Model | Fourth stage (4SBT) | 21 |
| C_MBT | Stance eyes closed (MBT) | 16 |
| Sit-to-stand test (STS) | 41 | |
| Model | Fourth stage (4SBT) | 23 |
| C_TUG | Standing on one leg (BBS) | 6 |
| Standing on one leg (BBS) | 86 | |
| Model | Sit-to-stand test (STS) | 6 |
| C_4SBT | Stand on one leg (MBT) | 3 |
| Sit-to-stand test (STS) | 44 | |
| Model | Fourth stage (4SBT) | 21 |
| C_4MW | Turn to look behind (BBS) | 7 |
| Confidence Threshold (%) | Average Prediction Error (%) | Average Number of Tasks |
|---|---|---|
| Model C_MBT | ||
| 85.00 | 5.96 | 2.94 |
| 87.50 | 5.61 | 6.24 |
| 90.63 | 5.59 | 14.58 |
| Model C_TUG | ||
| 88.89 | 13.70 | 2.06 |
| 90.00 | 12.81 | 2.54 |
| 92.22 | 11.37 | 6.17 |
| Model C_4SBT | ||
| 92.00 | 10.16 | 3.62 |
| 93.00 | 9.80 | 4.72 |
| 94.00 | 9.92 | 6.55 |
| Model C_4MW | ||
| 86.00 | 10.95 | 3.26 |
| 87.00 | 11.32 | 4.54 |
| 88.00 | 11.88 | 6.95 |
Disclaimer/Publisher’s Note: The statements, opinions and data contained in all publications are solely those of the individual author(s) and contributor(s) and not of MDPI and/or the editor(s). MDPI and/or the editor(s) disclaim responsibility for any injury to people or property resulting from any ideas, methods, instructions or products referred to in the content. |
© 2025 by the authors. Licensee MDPI, Basel, Switzerland. This article is an open access article distributed under the terms and conditions of the Creative Commons Attribution (CC BY) license (https://creativecommons.org/licenses/by/4.0/).
Share and Cite
Khatib, L.; Toledano-Shubi, A.; Bahat, H.S.; Hel-Or, H. Using Machine Learning to Shorten and Adapt Fall Risk Assessments for Older Adults. Appl. Sci. 2025, 15, 1690. https://doi.org/10.3390/app15041690
Khatib L, Toledano-Shubi A, Bahat HS, Hel-Or H. Using Machine Learning to Shorten and Adapt Fall Risk Assessments for Older Adults. Applied Sciences. 2025; 15(4):1690. https://doi.org/10.3390/app15041690
Chicago/Turabian StyleKhatib, Lilyana, Adi Toledano-Shubi, Hilla Sarig Bahat, and Hagit Hel-Or. 2025. "Using Machine Learning to Shorten and Adapt Fall Risk Assessments for Older Adults" Applied Sciences 15, no. 4: 1690. https://doi.org/10.3390/app15041690
APA StyleKhatib, L., Toledano-Shubi, A., Bahat, H. S., & Hel-Or, H. (2025). Using Machine Learning to Shorten and Adapt Fall Risk Assessments for Older Adults. Applied Sciences, 15(4), 1690. https://doi.org/10.3390/app15041690

