Next Article in Journal
LSTM-Based Neural Network Controllers as Drop-In Replacements for PI Controllers in a Wastewater Treatment Plant
Next Article in Special Issue
Physical Match Performance of Professional Men’s Football Players from Different Competitive Levels During Direct Competition
Previous Article in Journal
HDPNet: A Hybrid Dynamic Perception Network for Robust Object Detection in Low-Light and Deformed Environments
Previous Article in Special Issue
Backward Locomotion as a Novel Strategy for Enhancing Obesity Management
 
 
Font Type:
Arial Georgia Verdana
Font Size:
Aa Aa Aa
Line Spacing:
Column Width:
Background:
Article

In-Season Physical and Physiological Variations in Junior Basketball: A Longitudinal Analysis

by
Milan Zelenović
1,
Radenko Arsenijević
2,
Cristina Ioana Alexe
3,*,
Nikola Aksović
2,
Marilena Cojocaru
4,
Denis Čaušević
5,
Halil Ibrahim Ceylan
6 and
Dan Iulian Alexe
7,*
1
Faculty of Physical Education and Sport, University of East Sarajevo, 71123 Istočno Sarajevo, Bosnia and Herzegovina
2
Faculty of Sport and Physical Education, University of Pristina, 43500 Leposavic, Serbia
3
Department of Physical Education and Sports Performance, “Vasile Alecsandri” University of Bacău, 600115 Bacău, Romania
4
Faculty of Physical Education and Sport, Spiru Haret University of Bucharest, 041905 Bucharest, Romania
5
Faculty of Sport and Physical Education, University of Sarajevo, 71000 Sarajevo, Bosnia and Herzegovina
6
Physical Education of Sports Teaching Department, Ataturk University, 25240 Erzurum, Türkiye
7
Department of Physical and Occupational Therapy, “Vasile Alecsandri” University of Bacău, 600115 Bacău, Romania
*
Authors to whom correspondence should be addressed.
Appl. Sci. 2025, 15(22), 12045; https://doi.org/10.3390/app152212045
Submission received: 7 September 2025 / Revised: 8 November 2025 / Accepted: 11 November 2025 / Published: 12 November 2025

Abstract

This longitudinal study aimed to examine the in-season variations in morphological, cardiorespiratory, muscular, and motor fitness components in junior male basketball players during an 8-month competitive season. Eighteen male basketball players (16.56 ± 0.90 years) were tested at three time points (T1, T2, T3). Assessed variables included body fat (BF), fat-free mass (FFM), muscle mass (MM), total body water (TBW), maximal oxygen uptake (VO2max), final running speed in the 30-15 Intermittent Fitness Test (VIFT), maximum and average heart rate (HRmax, HRavg), squat jump (SJ), countermovement jump with arm swing (CMJmax), drop jump (DJ), 20 m sprint with 5 m and 10 m splits, T-test (TT), and Lane Agility Drill (LAD). Significant improvements were observed in body mass (T1–T3, p = 0.002; T2–T3, p = 0.039), along with reductions in BF (T1–T2 and T1–T3, p < 0.05) and increases in FFM and MM (especially T2–T3, p < 0.05). VO2max increased significantly from T1 to T2 and T3 (p < 0.01), while HRaverage decreased across all intervals (p < 0.001), and HRmax declined slightly from T1 to T3 (p = 0.031). VIFT improved significantly between T1 and both T2 and T3 (p < 0.001). Measures of explosive strength (SJ, CMJmax, DJ) and agility (TT, LAD) showed consistent improvement across the season (p < 0.001), with moderate gains from T2 to T3 (p < 0.01 for SJ). These findings suggest meaningful physical and physiological adaptations during the competitive season, highlighting the importance of structured and continuous training throughout critical phases of athletic development in junior basketball players.

1. Introduction

Basketball is a dynamic and complex sport that requires a high level of physical fitness, technical precision, and tactical knowledge. It is characterized by an intermittent game structure that alternates between offensive and defensive phases and combines intense activities—such as sprints, jumps, and frequent changes of direction—with periods of moderate or low intensity, making it a typical anaerobic–aerobic sport [1,2]. Consequently, the ability to sustain intermittent high-intensity efforts and produce power are important physical determinants of basketball performance [3]. Performance in basketball depends on multiple factors, including morphological characteristics, cardiorespiratory fitness, muscular strength, motor skills, and psychological attributes [4,5,6,7,8,9]. Monitoring training loads is essential for identifying athletes’ adaptations to training programs and their readiness to train or compete, as for reducing the risk of excessive overload, injury, or illness [10]. Therefore, it is necessary to monitor variations in all abilities to react in time and prevent adverse effects. Moreover, assessing physical fitness throughout the season provides insights into the effectiveness of the fitness program and allows for quantification of changes in the fitness status of the players at different stages of the season [5]. The greatest improvements are expected during the preparation period following the off-season break [5,11]; during the competitive season, training programs should aim primarily to maintain fitness levels, which may slightly increase or decrease depending on individual factors [12]. In addition, different individual responses to basketball training can be expected among players on the same team [13] for several reasons, such as playing time, injuries, and fatigue state. Therefore, strength and conditioning coaches should consider the physical fitness of their players when developing individualized training or load-reduction strategies.
Monitoring the physical development of young basketball players is a key aspect in the process of sports education and training, especially during puberty and adolescence, when intense and dynamic changes occur in morphological functional, muscular, and motor characteristics. This requires the use of control tests in order to track the development of these parameters in relation to sport-specific performance [14,15,16]. Systematic and continuous monitoring of these changes during the season allows for adjustment and optimization of the training process, timely prevention of injuries, as well as more efficient individualization of the approach to the development of sports abilities. The use of modern technologies and diagnostic tools contributes to more precise and reliable measurement of the monitored areas, which significantly improves the quality of feedback within the training system and allows for more objective decisions in the process of planning and implementing training.
Previous research indicates that during the competitive season in different sports, specific changes occur in the physical and motor abilities of athletes, which depend to a significant extent on the type of sport, gender, competitive level, and structure of the training process [17]. In basketball players, it has been noted that the greatest progress in aerobic and high-intensity capacities occurs during the preparatory period, while changes within the season itself are significantly more variable and more pronounced at the individual level [17]. Comparable patterns have also been reported in both male and female athletes, where improvements in cardiorespiratory and explosive abilities are often recorded during the first half of the season, while later phases bring stagnation or decline in fitness, emphasizing the importance of proper training periodization [18,19]. Studies on elite male and female handball players have further confirmed that certain components—such as muscle mass, strength, and throwing speed—can be improved within a single season, whereas anaerobic and explosive abilities often remain unchanged or even decline if not specifically trained [20,21,22]. These findings highlight the need for continuous monitoring and adjustment of the training process using modern technologies to optimize training and achieve maximum performance.
Although there is a relatively large body of work that has examined seasonal changes in physical capacity in team sports athletes, most studies have focused on adult populations, while studies that include younger age groups, especially in basketball, are still scarce. Several have investigated changes in physical fitness in junior and collegiate (NCAA) basketball players [5,23], but rarely with a focus on a single club or simultaneously monitoring multiple aspects of physical performance. In addition, most existing studies focus on isolated components, while integrated approaches that monitor morphological, cardiorespiratory, muscular, and motor characteristics within a single longitudinal design remain rare.
Therefore, there is a clear need for a comprehensive study monitoring simultaneous changes in key physical components in young basketball players throughout the entire competitive season. This research aims to fill this gap in the literature and provide empirical evidence useful for coaches and sport scientists in planning and individualizing the training process. By employing modern technologies for precise performance measurement, the work has the potential to contribute to a better understanding of natural and training-induced variations in the physical status of young athletes during a competitive season. Therefore, the aim of this longitudinal study is to examine intra-season variations in morphological, cardiorespiratory, muscular, and motor components in junior basketball players. This study provides a novel contribution by simultaneously monitoring morphological, cardiorespiratory, muscular, and motor components within a single team of junior male basketball players throughout a full competitive season. Unlike most previous studies that focused on isolated variables or short preparatory phases, this work integrates multiple domains under real-world competitive conditions, offering a comprehensive view of in-season adaptations in youth basketball.

2. Materials and Methods

2.1. Participants

The study was conducted on a group of 18 junior basketball players (n = 18, age = 16.56 ± 0.90 years) from an elite regional club in Bosnia and Herzegovina. Prior to the start of the study, all participants underwent a comprehensive medical examination, which confirmed that they were healthy and had no restrictions regarding participation in the training, competition, and experimental testing. Players, their parents or legal guardians, and coaches were informed about the objectives and methods of the study, as well as potential risks and signed written informed consent forms in accordance with ethical standards. Additionally, approval for the implementation of the testing procedures was obtained from the club’s management. The study was conducted in accordance with the Declaration of Helsinki and approved by the Ethics Committee of the Faculty of Physical Education and Sport, University of East Sarajevo (Approval No. 1121/24, dated 24 April 2024). Although all players were of similar chronological age (16.56 ± 0.90 years), they were still undergoing adolescent growth and maturation. Biological maturation status (e.g., years from peak height velocity) was not directly assessed, which may have influenced changes in body height, body composition, and performance across the season.

2.2. Experimental Approach to the Problem and Testing Protocol

This longitudinal study involved a junior men’s basketball team in Bosnia and Herzegovina, competing in an official league, which finished the season undefeated and in first place. The research spanned the eight-month competitive season, including both the regular championship and the postseason rounds (18 championship games plus the federation semifinals and national final).
The players’ morphological, cardiorespiratory, muscular, and motor components were monitored at three time points during the season: T1—initial testing (September), T2—mid-season testing (January), T3—final testing (May). Such a comprehensive assessment allowed for detailed monitoring of intra-season changes and a better understanding of the effects of training on player development. Detailed descriptions of the specific variables and testing procedures are provided in the following sections.
Throughout the study, players continued their regular training and competitive schedules. Testing sessions were integrated into the training calendar and coordinated with the coaching staff to minimize interference with game preparation. All tests were conducted in a standardized order, using consistent protocols, modern technology, and the same trained evaluators to ensure reliability and validity of the measurements.
The training program was periodized with an average weekly workload of approximately 490 min, consisting of training sessions from Tuesday through Saturday, competitive matches on Sundays, and rest on Mondays. Training intensity and activity types were monitored following established protocols from previous team-sport studies, quantifying time spent in 11 distinct activity categories, including various running intensities, ball drills, sprints, sport-specific strength training, practice games, and official matches [20,21,22]. In addition to the total training volume, internal load and intensity were continuously monitored using the Polar Team Pro system, which provided real-time heart rate data during training sessions and matches. Training intensity was expressed as relative percentages of individual maximal heart rate (HRmax) and further complemented by results of the 30–15 Intermittent Fitness Test (30–15 IFT). This ensured that both external workload and internal physiological responses were captured, allowing for accurate interpretation of individual conditioning loads.
Furthermore, individualized conditioning programs were developed based on 30–15 IFT results. Each player performed a personalized conditioning session once per week, aligned with their individual aerobic capacities. These sessions were supplemented with plyometric and agility-focused training. This individualized approach ensured that each player trained within their optimal intensity zone, which is essential for the development of functional capacities and enhancement of sport-specific performance. The combination of standardized team training and targeted individual work enabled the monitoring of intra-seasonal variations and facilitated the identification of adaptations to various training stimuli throughout the competitive season.

Seasonal Training and Competition Volume

During the first part of the season (T1 to T2), which spanned approximately 16 weeks, each player participated in an average of 80 training sessions (five per week) and nine official games, accumulating around 7840 min of combined training and competition. The average weekly training volume was approximately 490 min, including one competitive game per week. The distribution of training activities was as follows: low-intensity endurance running (2.6%), moderate-intensity endurance running (4.3%), high-intensity endurance running (6.0%), ball exercises of varying intensity (34.9%), sprint running (6.0%), sport-specific strength training (plyometrics, agility, change of direction) (19.1%), training games (6.5%), and official games (8.2%) [11,21].
In the second part of the season (T2 to T3), which lasted 18 weeks, players completed an average of 90 training sessions and participated in 11 official matches, including league and playoff games. The total training and competition volume during this phase was approximately 8820 min. While the training structure remained similar, a slight shift toward tactical and maintenance-oriented sessions was observed due to the increased competitive demands of the season’s final phase. Importantly, the weekly training volume remained consistent throughout the season (~490 min), contrasting with previous studies that reported fluctuating loads across different phases.

2.3. Body Composition

Body height (BH) was measured using a Martin anthropometer (GPM, Zurich, Switzerland) following standardized anthropometric protocols, with a precision of 0.1 cm. Body mass (BM), body mass index (BMI), body fat percentage (BF), fat-free mass (FFM), muscle mass (MM), and total body water (TBW) were assessed using a validated multi-frequency bioelectrical impedance analyzer (Tanita DC–430MA III, Tokyo, Japan), which provides measurements accurate to 0.1 kg for weight-related parameters and 0.1 kg/m2 for BMI.

2.4. Cardiorespiratory Component

Cardiorespiratory fitness was assessed using the Polar Team Pro system (Polar Electro, Kempele, Finland) which combines high-accuracy GPS-derived movement data, baseline sensor metrics, and integrated heart-rate monitoring into a single mobile tracking platform. The validity and reliability of the Polar Team Pro system have been confirmed in previous studies [24]. The 30–15 Intermittent Fitness Test (30–15 IFT), adapted for basketball, was used in this study. The test took place on a 28 m track, matching the length of a standard basketball court. It consisted of 30 s of shuttle running followed by 15 s of passive recovery. The starting speed was 10 km/h and increased by 0.5 km/h every 45 s. Players ran back and forth between the court baselines, guided by audio signals from a pre-recorded file on a tablet. A beep signaled when players should reach one of the 3 m zones located in the middle and at both ends of the court. During the 15 s recovery, participants walked toward the nearest line, where they would start the next running phase. The next starting point (lines A, B, or C) was also announced by the audio. The test ended when a participant failed to reach the required zone at the beep three times or was unable to maintain the prescribed pace.
For the purposes of analysis, the following variables were included: the maximum velocity achieved at the end of the test (VIFT), maximum and average heart rate (HRmax, HRavg), and maximum oxygen consumption were taken, which was calculated using the following formula:
VO2max = 28.3 − 2.15 × G − 0.741 × A − 0.0357 × BM + 0.058 × A × VIFT + 1.03 × VIFT
where G is gender (male = 1, female = 2), A is age (in years), BM is body mass (kg), and VIFT is the final running speed (km/h) achieved at the end of the 30–15 IFT. This predictive equation was proposed and validated by Buchheit (2008) [24] for the 30–15 IFT. It demonstrated a very high correlation (r ≈ 0.90) with directly measured VO2max values obtained from laboratory treadmill testing, confirming its strong validity for estimating aerobic capacity in intermittent team-sport athletes.

2.5. Jumping Performance

For assessment jumping performances, countermovement jump with free arms (CMJ), squat jump (SJ), and drop jump (DJ) from a height of 60 cm were performed. All three protocols included two trials that were measured by using the Optojump Next system (Microgate, Bolzano, Italy). The validity and reliability of the Optojump Next system have been confirmed in previous studies [24,25]. For CMJ, players began the test from an upright standing position, with feet shoulder-width apart and arms positioned alongside the body to allow for a natural arm swing. They performed a preparatory downward countermovement by flexing the hips and knees to a self-selected depth, followed by an immediate and explosive extension of the lower limbs to execute a vertical jump. After landing, they returned to the initial standing position in preparation for the next trial [26].
For SJ, players began the test in an upright standing position with hands placed firmly on the hips to eliminate the influence of arm swing. From this position, they descended into a half-squat, maintaining approximately a 90° angle at the knee joints. This position was held for two seconds, after which a sound signal prompted the execution of a maximal vertical jump. Upon landing, participants slightly flexed the knees to absorb the impact and then returned to the starting position to prepare for the next trial.
The DJ was performed from a 60 cm wooden box, following the protocol recommended by a previous study [27]. Athletes began by standing on the box with their hands fixed on their hips throughout the movement to eliminate the influence of arm swing. They were instructed to step off the box using one foot at a time (in a self-selected order) and, upon ground contact, to immediately perform a maximal vertical jump with minimal ground contact time. Trials were considered invalid if the athlete jumped off the box instead of stepping down or removed their hands from their hips at any point. After each attempt, participants returned to the starting position [27]. The procedure was repeated twice, and the better of the two trials was used for analysis.

2.6. Sprint Performance

Sprint performance was assessed using a 20 m sprint test with split times recorded at 5 and 10 m. Timing was conducted with four electronic photocell gates (Witty, Microgate, Bolzano, Italy), positioned at a height of 1 m at the starting line, as well as at 5 m, 10 m, and 20 m [26]. Participants began from a standing position, 0.3 m behind the starting line, and initiated the sprint upon a verbal cue, running at maximal effort over the entire 20 m distance. Each player performed two valid trials, with a three-minute rest period between attempts, and the better result was used for analysis.

2.7. Agility Performance

Agility performance was assessed using the same photocells timing system (Microgate, Bolzano, Italy) through the Lane agility drill and t-test, as recommended by previous studies [28,29].
For the Lane agility drill, players began in a standing position with their lead foot positioned 20 cm behind the first photocell. The test sequence included sprinting 5.79 m forward to the top left cone, side shuffling 4.87 m to the top right cone, backpedaling 5.79 m to the bottom right cone, and side shuffling 4.87 m to the bottom left cone. From there, participants returned to the starting point by reversing the same movement sequence (shuffle right, sprint forward, shuffle left, backpedal). Two valid trials were completed by each participant, with a three-minute rest interval between attempts.
For the t-test, players began the test from a standing position, with their lead foot positioned 20 cm behind the first photocell. Players sprinted forward 9.14 m to the center cone and touched it with the tip of their right hand. They then shuffled 4.57 m to the left to touch the second cone, proceeded 9.50 m to the right to the third cone, and shuffled back 4.75 m to touch the center cone with their left hand. Finally, athletes ran backward to the starting position. Each player performed two trials, separated by a three-minute recovery period, with the best time recorded for analysis.

2.8. Statistical Analysis

Descriptive statistics were expressed as mean ± standard deviations (SD). The normality of data distribution was verified using the Shapiro–Wilk test. Differences between individual parameters across time points were analyzed using a one-way repeated-measures analysis of variance (ANOVA). When significant main effects were detected, Bonferroni-adjusted post hoc tests were applied to identify specific differences between the three measurement points (T1, T2, and T3) for the within-subject factor time. Effect sizes were calculated using partial eta squared (η2), with the following thresholds used to interpret the magnitude of effects [19]: no effect (η2 < 0.04), small effect (0.04 ≤ η2 < 0.25), moderate effect (0.25 ≤ η2 < 0.64), and large effect (η2 ≥ 0.64). All statistical analyses were performed using IBM SPSS Statistics version 22.0 (SPSS Inc., Chicago, IL, USA), with the significance level set at p ≤ 0.05.

3. Results

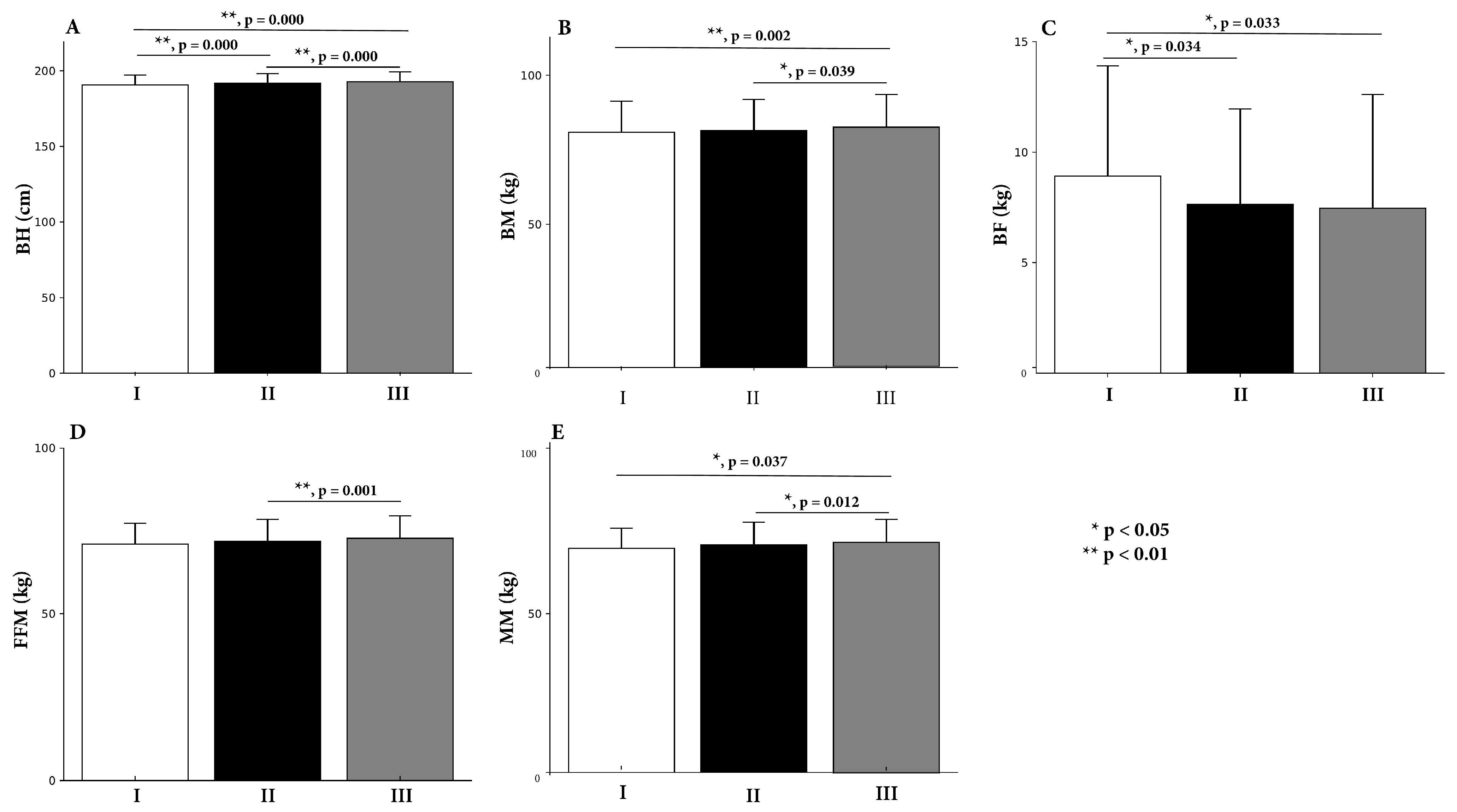
Table 1 presents the body composition variables measured at three time points. The analysis revealed statistically significant changes over time in BH, BM, BF, FFM, and MM (p < 0.05). In contrast, no significant differences were observed in BMI and TBW (p > 0.05). Effect size analysis indicated a large effect for BH (η2 = 0.695), moderate effects (η2 = 0.267–0.382) for BM, BF, and MM, and a small effect for FFM (η2 = 0.267) (Figure 1).
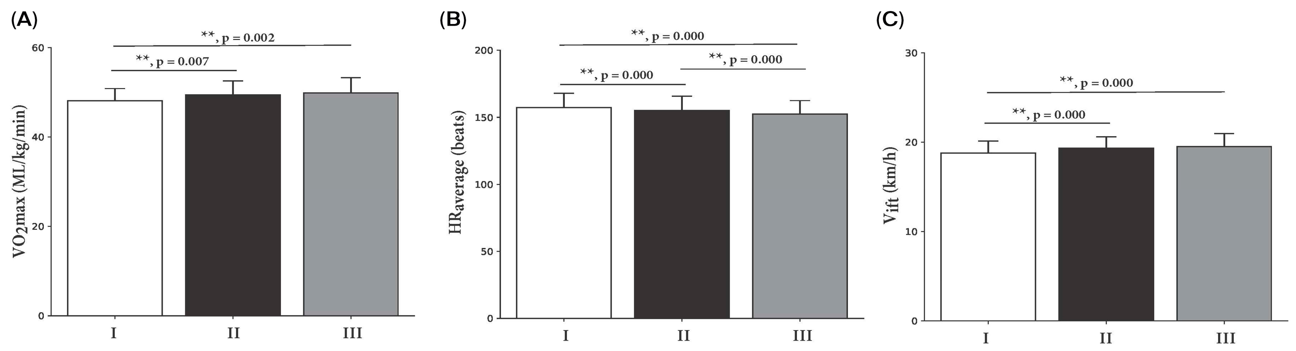
Cardiorespiratory performance demonstrated significant improvements over the course of the season (Table 2). Notable changes were observed in maximal oxygen uptake (VO2max), average heart rate (HRaverage), maximal heart rate (HRmax), and maximal aerobic speed (VIFT), with all variables reaching statistical significance (p < 0.05). Effect size analysis revealed a large effect for HRaverage (η2 = 0.661), moderate effects for VO2max (η2 = 0.384) and VIFT (η2 = 0.542), and a small effect for HRmax (η2 = 0.214) (Figure 2).
In tests assessing lower-body power (Table 3), all three vertical jump tests—drop jump (DJ), countermovement jump (CMJmax), and squat jump (SJ)—demonstrated significant improvements over time (p < 0.01). The greatest effect size was noted for CMJmax (η2 = 0.733), with DJ (η2 = 0.576) and SJ (η2 = 0.614) showing moderate effects (Figure 3).
Sprint performance over 5, 10, and 20 m (S5, S10, and S20) did not show significant changes throughout the season (p > 0.05).
However, both agility tests revealed significant improvements across the season, with large effect sizes (T-test—η2 = 0.673; Lane agility—η2 = 0.644), suggesting that in-season training and regular competitive exposure may have contributed to improved agility performance.

4. Discussion

The main finding of this study suggests that during the competitive season, significant intra-seasonal variations occur in several components of physical fitness in young basketball players. This consistent training load maintained throughout the season appears to have supported gradual improvements in players’ physical and motor abilities, highlighting the importance of consistent workload management in adolescent athletes. Specifically, statistically significant changes were found in morphological (BH, BM, MM, FFM, and BF), cardiorespiratory (VO2max, VIFT, HRaverage), and muscular and motor abilities (jumps and agility tests), indicating that an adequately planned and monitored training process during the season may contribute to positive physiological and functional adaptations, while natural maturation likely played an additional role. The absence of significant changes in speed abilities and BMI aligns with previous findings and indicates the need for a more specific approach in the development of these parameters.
The results further emphasize that systematic monitoring and adaptation of training throughout the season can facilitate improvements in selected physical abilities. The observed changes likely reflect the cumulative time spent in specific training regimes. These findings support the importance of continuous monitoring within the season to optimize training, improve sports performance, and prevent injuries in young athletes.
The results of the analysis showed that significant changes occurred in most morphological variables during the season. BH showed a consistent increase, which reflects the expected growth and development of young basketball players. A similar trend was observed in BM, which suggests that the changes may reflect both natural maturation processes and a possible increase in muscle mass influenced by systematic training. It is important to note that, given the players’ adolescent age, part of these morphological adaptations likely reflects natural growth and maturation rather than training effects alone. Therefore, the interpretation of intra-seasonal changes should consider both biological development and sport-specific workload. It should also be noted that inter-individual variability in maturity timing may influence physical and physiological adaptations during the season, as players of the same chronological age can differ considerably in their biological development. Such variability may partly confound observed within-season changes, even when training exposure is identical.
At the same time, BF decreased, while FFM and MM increased, representing important and practically relevant adaptations during the season. In contrast, BMI and TBW remained largely stable, indicating consistency of these parameters over the observed period. The stability of BMI and TBW suggests that body composition changes were proportionate to growth in BH and FFM, maintaining overall balance in hydration and relative weight status. Considering that BMI remained stable, the observed increase in BM is likely explained by normal stature growth rather than disproportionate mass gain, indicating functional and proportional physical development throughout the season.
Observed differences in the morphological variables of young basketball players during one competitive season can be rationally explained through the natural processes of growth and maturation during adolescence, but also through the effects of systematic training and competitive load. The largest effect size was observed for BH, indicating that nearly 70% of the variance in height changes occurred during the in-season period, which aligns with physiological expectations for this age group. A similar trend was reported by Santos et al. [30], who also recorded a significant increase in BH and mass in elite juniors during one season. The BM variable also showed a strong effect, which may reflect both age-related growth and systematic training adaptations, particularly in the development of muscle mass. This interpretation is consistent with previous longitudinal findings in adolescent basketball players [17,30]. Ferioli et al. [17] confirmed that BM in young basketball players increases significantly during the season, with varying degrees of adaptation depending on the role in the team and the individual training program.
A positive trend of BF reduction with simultaneous growth of MM and FFM indicates adaptation to the physical demands of sport. These changes confirm the findings of Santos et al. [30] and Milanese et al. [31], who reported that regular training contributes to such adaptations in adolescents. Also, similar intraseasonal morphological changes were observed in other sports, which additionally confirms the validity of the findings obtained in this research. Gorostiaga et al. [21] recorded an increase in FFM with a decrease in BF in elite handball players, while Granados et al. [22] showed in elite handball players that such changes are also possible in the female population, which further emphasizes the importance of a high-quality and programmed training process.
Changes in TBW are consistent with the findings of Ostojic et al. [4], who found a correlation between increased muscle mass and hydration levels, which is an important indicator of optimal physiological adaptation of the organism. The findings of Masanovic et al. [32] also confirm that elite basketball players have a more favorable ratio of muscle mass to BF compared to control groups. Together, these findings indicate that sports training promotes body composition improvements that are functionally significant for basketball performance.
The most important finding in the cardiorespiratory component is a significant improvement in indicators such as VO2max, VIFT, and HRaverage, which suggests positive aerobic adaptations of young basketball players throughout the competitive season. High effects, especially in the HRaverage and VIFT domains, confirm the strong influence of training and competitive load on improving fitness and recovery capacity.
The increase in VO2max indicates a clear aerobic adaptation, with the magnitude of the change being classified as moderate-to-pronounced effects. Similar findings were reported by Buchheit et al. [24] and Santos et al. [30], who noted an increase in VO2max in young soccer and basketball players after a high-intensity interval training program. In addition, the increase in VIFT values indicates an improvement in intermittent endurance, while HRaverage showed a tendency to decrease, which confirms the more efficient functioning of the cardiovascular system. In contrast, HRmax did not change significantly, which is in accordance with the findings of Midgley et al. [33], who emphasize that this parameter is relatively stable and only minimally affected by training.
These changes likely reflect cardiorespiratory adaptations to the specific demands of basketball training, though the effects of natural growth cannot be entirely excluded. Such adaptations can be attributed to an increase in stroke volume and more efficient oxygen delivery, as suggested by Daussin et al. [34], while Bok [35] noted out that VO2max depends on a combination of central and peripheral mechanisms. The decrease in HRmax further confirms the higher cardiac output and more efficient parasympathetic regulation. Buchheit et al. [24] demonstrated that high-intensity interval training significantly improves VO2max and VIFT, as well as the speed of recovery, while Santos et al. [30] reported similar findings in young basketball players. Gabbett [36] emphasizes that the specifics of basketball training contribute to such cardiovascular adaptations. When the results are compared with other sports, a similar trend is observed. Gorostiaga et al. [21] reported increases in VO2max among handball players during the season, while Granados et al. [22] have confirmed the same pattern in female handball players, and in both cases no significant changes in HRmax, which aligns with the present results. Pavlović et al. [23] also found an increase in VO2max and improvement in functional abilities of handball players during the season, which further supports these results. Unlike some studies [37,38,39], which reported a decline in VO2max during the final testing phase, in this case there was no end-of-season decrease. Stabilization of VO2max and VIFT values in the later phase may, however, indicate the effects of fatigue and high workload. These observations are further supported by Buchheit and Laursen [40], who reported significant VO2max improvements following HIIT protocols, and by Datson et al. [41], who observed comparable adaptations in male and female soccer players.
The most important findings within the muscular and motor components concern the significant improvements observed in lower-limb explosive power and agility among young basketball players during the competitive season. All variables related to jumping, including DJ, CMJmax, and SJ, exhibited consistent and clear progress, which suggests the effectiveness of the training process in developing explosive power, although natural maturation processes may also have contributed. Agility also improved significantly, as confirmed by the reduction in the time required to perform tests measuring direction change and movement coordination. In contrast, short sprint speed (5, 10, and 20 m) remained stable, without significant changes during the season, indicating that speed abilities were not further developed in the absence of specific sprint training stimuli.
When analyzing individual jump tests, the most pronounced improvement was observed in CMJmax, indicating an improved ability of the extensor muscles, especially the quadriceps and gluteus, to generate force in fast and explosive movements. This test is considered one of the most relevant for assessing explosive lower extremity strength in basketball players, as it mimics specific sports situations such as defensive and offensive jumps [42,43]. With CMJmax, both DJ and SJ showed improvement, confirming that the training process had a strong impact on the development of explosive power. Future studies could complement kinematic and performance assessments with electromyography (EMG) to better capture muscle activation patterns during jump performance.
Differences in jumping performance in young basketball players can be directly associated with training programs that incorporate regular plyometric and sport-specific strength training. Vertical jumps such as CMJ, DJ, and SJ are key movements in basketball, are used in both phases of the game, and are widely regarded as most important indicators of explosive abilities [4]. Research shows that a combination of different types of jumps gives better results than isolated execution [44]. Santos and Janeira [45] confirmed that complex training lasting ten weeks with a twice-weekly frequency leads to improvements in the SJ test in young basketball players. Numerous studies emphasize the importance of anthropometric and functional attributes such as height, weight, speed, agility, and jumping ability in young athletes [6,9], with needs varying depending on age, training level, and gender [46]. The optimal development of explosive strength, agility, and cardiorespiratory fitness is essential for achieving high levels of athletic performance [47]. Findings from other sports further support the importance of these abilities. Gorostiaga et al. [21] observed improvements in muscle strength and explosiveness among handball players during the season, while Granados et al. [22] found similar adaptations in elite female handball players. Pavlović et al. [23] also reported seasonal improvements in lower-limb strength and motor skills in handball players, underscoring the importance of targeted training during the competitive period.
When it comes to speed, no significant changes were observed in sprint performance over short distances among young basketball players during the season. The maintenance of stable values suggests that baseline speed abilities were preserved, but without further improvement in the absence of specific training stimuli. These results are consistent with the findings of Ferioli et al. [2] and Matulaitis et al. [48], who emphasized that sprint speed over short distances remains stable unless specific training interventions targeting its development are applied. Similarly, Papaevangelou et al. [49] and Ramos et al. [50] reported that continuous training processes help maintain physical capacities with minimal fluctuations; however, without targeted stimulation, no significant improvements in speed performance are expected. The observed stability of sprint performance in young basketball players throughout the season aligns with these findings and indicates that regular training and competition cycles are effective in maintaining baseline levels of speed and explosiveness but do not promote further development.
The results also indicate a clear improvement in agility among young basketball players during the season. Shorter completion times in agility tests suggest better reaction ability, improved movement control, and more efficient changes in direction. These findings are in line with previous research [2,48], which confirmed that sport-specific training content and speed–agility drills contribute to agility development. The achieved values are comparable to national and international reference data, indicating that the motor readiness of these young basketball players is at a satisfactory level.
The main limitation of this study is that the sample included only male junior basketball players, which prevents generalization of the results to other sports or to the female population. Moreover, the body composition assessment method—bioelectrical impedance—while practical and rapid, is less accurate than reference methods such as DEXA. In addition, biological maturation was not directly assessed, although the players were still in adolescence and showed a measurable increase in BH. This limitation is important because some of the observed changes in body composition and performance may be related to normal growth and maturation rather than training effects alone. Furthermore, the absence of a control or comparison group prevents a clear distinction between training-induced adaptations and growth-related changes. Factors such as nutrition, sleep quality, psychological state, and motivation were not controlled for, which may have contributed to the variability of the results. For future research, it is recommended to include control groups, expand the sample to athletes of different ages and sport disciplines, monitor additional factors such as nutrition and recovery, and apply varied training approaches to better understand the effectiveness of specific training processes and to develop optimal programs for improving morphological, cardiorespiratory, muscular, and motor performance in young athletes.

5. Conclusions

The present study demonstrated significant intra-seasonal changes in key physical fitness components in junior basketball players during one competitive season. Morphological parameters such as BH, BM, MM, and FFM significantly increased, while BF significantly decreased, reflecting positive adaptations to a well-structured training program. Cardiorespiratory fitness, evidenced by improvements in maximal oxygen uptake (VO2max), maximal aerobic speed (VIFT), and average heart rate, also showed significant enhancement, indicating improved aerobic capacity. Furthermore, explosive power of the lower extremities and agility improved significantly throughout the season, whereas sprint performance remained stable, suggesting the need for more specific speed training interventions. These results suggest meaningful physical and physiological adaptations during the competitive season in young basketball players. The findings emphasize the importance of systematic and well-planned training programs that consider both competitive demands and ongoing physical development. Future research should continue to monitor seasonal variations and apply multi-dimensional approaches to optimize training and performance development in this age group.

Author Contributions

Conceptualization, M.Z., D.I.A., and D.Č.; methodology, M.Z., D.Č., C.I.A., and R.A.; software, M.Z., H.I.C., and R.A.; validation, D.Č., M.C., H.I.C., and N.A.; formal analysis, R.A., M.C., and N.A.; investigation, M.Z. and D.Č.; resources M.Z., D.Č., C.I.A., D.I.A., M.C., H.I.C., and N.A.; data curation, M.Z., M.C., and D.I.A.; writing—original draft preparation, M.Z. and D.Č.; writing—review and editing, R.A., D.Č., C.I.A., D.I.A., M.C., H.I.C., and N.A.; visualization, C.I.A., D.I.A., M.C., H.I.C., R.A., and N.A.; supervision, M.Z., D.I.A., and R.A.; project administration, M.Z., D.Č., and D.I.A.; funding acquisition, C.I.A., M.C., H.I.C., and D.I.A. All authors have read and agreed to the published version of the manuscript.

Funding

This research received no external funding.

Institutional Review Board Statement

The study was conducted in accordance with the Declaration of Helsinki, and approved by Faculty of Physical Education and Sports, University of East Sarajevo (protocol code 1121/24 and date of approval 24 April 2024).

Informed Consent Statement

Informed consent was obtained from all subjects involved in the study.

Data Availability Statement

The original contributions presented in the study are included in the article, further inquiries can be directed to the corresponding author.

Conflicts of Interest

The authors declare no conflicts of interest.

References

  1. Delextrat, A.; Cohen, D. Strength, power, speed, and agility of women basketball players according to playing position. J. Strength Cond. Res. 2009, 23, 1974–1981. [Google Scholar] [CrossRef]
  2. Ferioli, D.; Rucco, D.; Rampinini, E.; La Torre, A.; Manfredi, M.M.; Conte, D. Combined Effect of Number of Players and Dribbling on Game-Based-Drill Demands in Basketball. Int. J. Sports Physiol. Perform. 2020, 15, 825–832. [Google Scholar] [CrossRef]
  3. Ziv, G.; Lidor, R. Physical attributes, physiological characteristics, on-court performances and nutritional strategies of female and male basketball players. Sports Med. 2009, 39, 547–568. [Google Scholar] [CrossRef]
  4. Ostojic, S.M.; Mazic, S.; Dikic, N. Profiling in basketball: Physical and physiological characteristics of elite players. J. Strength Cond. Res. 2006, 20, 740–744. [Google Scholar] [CrossRef] [PubMed]
  5. Drinkwater, E.J.; Pyne, D.B.; McKenna, M.J. Design and interpretation of anthropometric and fitness testing of basketball players. Sports Med. 2008, 38, 565–578. [Google Scholar] [CrossRef] [PubMed]
  6. Torres-Unda, J.; Zarrazquin, I.; Gil, J.; Ruiz, F.; Irazusta, A.; Kortajarena, M.; Seco, J.; Irazusta, J. Anthropometric, physiological and maturational characteristics in selected elite and non-elite male adolescent basketball players. J. Sports Sci. 2013, 31, 196–203. [Google Scholar] [CrossRef] [PubMed]
  7. Torres-Unda, J.; Zarrazquin, I.; Gravina, L.; Zubero, J.; Seco, J.; Gil, S.M.; Gil, J.; Irazusta, J. Basketball Performance Is Related to Maturity and Relative Age in Elite Adolescent Players. J. Strength Cond. Res. 2016, 30, 1325–1332. [Google Scholar] [CrossRef]
  8. Ramos, S.; Volossovitch, A.; Ferreira, A.P.; Barrigas, C.; Fragoso, I.; Massuça, L. Differences in Maturity, Morphological, and Fitness Attributes Between the Better- and Lower-Ranked Male and Female U-14 Portuguese Elite Regional Basketball Teams. J. Strength Cond. Res. 2020, 34, 878–887. [Google Scholar] [CrossRef]
  9. Ramos, S.; Volossovitch, A.; Ferreira, A.P.; Fragoso, I.; Massuça, L. Differences in maturity, morphological and physical attributes between players selected to the primary and secondary teams of a Portuguese Basketball elite academy. J. Sports Sci. 2019, 37, 1681–1689. [Google Scholar] [CrossRef]
  10. Halson, S.L. Monitoring training load to understand fatigue in athletes. Sports Med. 2014, 44 (Suppl. S2), S139–S147. [Google Scholar] [CrossRef]
  11. Ferioli, D.; Bosio, A.; Bilsborough, J.C.; La Torre, A.; Tornaghi, M.; Rampinini, E. The Preparation Period in Basketball: Training Load and Neuromuscular Adaptations. Int. J. Sports Physiol. Perform. 2018, 13, 991–999. [Google Scholar] [CrossRef] [PubMed]
  12. Ferioli, D.; Rampinini, E.; Bosio, A.; La Torre, A.; Maffiuletti, N.A. Peripheral Muscle Function During Repeated Changes of Direction in Basketball. Int. J. Sports Physiol. Perform. 2019, 14, 739–746. [Google Scholar] [CrossRef] [PubMed]
  13. Gonzalez, A.M.; Hoffman, J.R.; Rogowski, J.P.; Burgos, W.; Manalo, E.; Weise, K.; Fragala, M.S.; Stout, J.R. Performance changes in NBA basketball players vary in starters vs. nonstarters over a competitive season. J. Strength Cond. Res. 2013, 27, 611–615. [Google Scholar] [CrossRef] [PubMed]
  14. Kuzuhara, K.; Shibata, M.; Iguchi, J.; Uchida, R. Functional Movements in Japanese Mini-Basketball Players. J. Hum. Kinet. 2018, 61, 53–62. [Google Scholar] [CrossRef]
  15. Ryan, D.; Lewin, C.; Forsythe, S.; McCall, A. Developing world-class soccer players: An example of the academy physical development program from an English premier league team. Strength Cond. J. 2018, 40, 2–11. [Google Scholar] [CrossRef]
  16. Myburgh, G.K.; Cumming, S.P.; Coelho, E.S.M.; Malina, R.M. Developmental fitness curves: Assessing sprint acceleration relative to age and maturity status in elite junior tennis players. Ann. Hum. Biol. 2020, 47, 336–345. [Google Scholar] [CrossRef]
  17. Ferioli, D.; Bosio, A.; Zois, J.; La Torre, A.; Rampinini, E. Seasonal changes in physical capacities of basketball players according to competitive levels and individual responses. PLoS ONE 2020, 15, e0230558. [Google Scholar] [CrossRef]
  18. Field, A. Discovering Statistics Using IBM SPSS Statistics; Sage Publications Limited: London, UK, 2024. [Google Scholar]
  19. Häkkinen, K. Changes in physical fitness profile in female basketball players during the competitive season including explosive type strength training. J. Sports Med. Phys. Fitness 1993, 33, 19–26. [Google Scholar]
  20. Karahan, M.; Çolak, M. Changes in physical performance characteristics of female volleyball players during regional division competitions. Sport TK-Rev. Euroam. De Cienc. Del Deporte 2022, 11, 12. [Google Scholar] [CrossRef]
  21. Gorostiaga, E.M.; Granados, C.; Ibañez, J.; González-Badillo, J.J.; Izquierdo, M. Effects of an entire season on physical fitness changes in elite male handball players. Med. Sci. Sports Exerc. 2006, 38, 357–366. [Google Scholar] [CrossRef]
  22. Granados, C.; Izquierdo, M.; Ibáñez, J.; Ruesta, M.; Gorostiaga, E.M. Effects of an entire season on physical fitness in elite female handball players. Med. Sci. Sports Exerc. 2008, 40, 351–361. [Google Scholar] [CrossRef]
  23. Pavlović, L.; Bojic, I.; Stojiljković, N.; Djordjevic, D.; Radovanovic, D. Seasonal changes in selected physical and physiological variables in male handball players. Acta Fac. Medicae Naissensis 2018, 35, 226–235. [Google Scholar]
  24. Buchheit, M. The 30-15 intermittent fitness test: Accuracy for individualizing interval training of young intermittent sport players. J. Strength Cond. Res. 2008, 22, 365–374. [Google Scholar] [CrossRef] [PubMed]
  25. Acero, R.M.; Sánchez, J.A.; Fernández-del-Olmo, M. Tests of vertical jump: Countermovement jump with arm swing and reaction jump with arm swing. Strength Cond. J. 2012, 34, 87–93. [Google Scholar] [CrossRef]
  26. Alexe, D.I.; Čaušević, D.; Čović, N.; Rani, B.; Tohănean, D.I.; Abazović, E.; Setiawan, E.; Alexe, C.I. The Relationship between Functional Movement Quality and Speed, Agility, and Jump Performance in Elite Female Youth Football Players. Sports 2024, 12, 214. [Google Scholar] [CrossRef]
  27. Čović, N.; Čaušević, D.; Alexe, C.I.; Rani, B.; Dulceanu, C.R.; Abazović, E.; Lupu, G.S.; Alexe, D.I. Relations between specific athleticism and morphology in young basketball players. Front. Sports Act. Living 2023, 5, 1276953. [Google Scholar] [CrossRef]
  28. Bae, J.Y. Positional Differences in Physique, Physical Strength, and Lower Extremity Stability in Korean Male Elite High School Basketball Athletes. Int. J. Environ. Res. Public Health 2022, 19, 3416. [Google Scholar] [CrossRef]
  29. Čaušević, D.; Čović, N.; Abazović, E.; Rani, B.; Manolache, G.M.; Ciocan, C.V.; Zaharia, G.; Alexe, D.I. Predictors of speed and agility in youth male basketball players. Appl. Sci. 2023, 13, 7796. [Google Scholar] [CrossRef]
  30. Santos, D.A.; Matias, C.N.; Rocha, P.M.; Minderico, C.S.; Allison, D.B.; Sardinha, L.B.; Silva, A.M. Association of basketball season with body composition in elite junior players. J. Sports Med. Phys. Fit. 2014, 54, 162–173. [Google Scholar]
  31. Milanese, C.; Cavedon, V.; Corradini, G.; De Vita, F.; Zancanaro, C. Seasonal DXA-measured body composition changes in professional male soccer players. J. Sports Sci. 2015, 33, 1219–1228. [Google Scholar] [CrossRef]
  32. Masanovic, B.; Popovic, S.; Bjelica, D. Comparative study of anthropometric measurement and body composition between basketball players from different competitive levels: Elite and sub-elite. Pedagog. Psychol. Med.-Biol. Probl. Phys. Train. Sports 2019, 23, 176–181. [Google Scholar] [CrossRef]
  33. Midgley, A.W.; McNaughton, L.R.; Jones, A.M. Training to enhance the physiological determinants of long-distance running performance: Can valid recommendations be given to runners and coaches based on current scientific knowledge? Sports Med. 2007, 37, 857–880. [Google Scholar] [CrossRef]
  34. Daussin, F.N.; Ponsot, E.; Dufour, S.P.; Lonsdorfer-Wolf, E.; Doutreleau, S.; Geny, B.; Piquard, F.; Richard, R. Improvement of VO2max by cardiac output and oxygen extraction adaptation during intermittent versus continuous endurance training. Eur. J. Appl. Physiol. 2007, 101, 377–383. [Google Scholar] [CrossRef] [PubMed]
  35. Bok, D. Učinci dva Trenažna Protokola Ponavljanih Sprintova na Pokazatelje Kondicijske Pripremljenosti. Ph.D. Thesis, Kineziološki fakultet u Zagrebu, Zagreb, Croatia, 2014. [Google Scholar]
  36. Gabbett, T.J. Influence of fatigue on tackling technique in rugby league players. J. Strength Cond. Res. 2008, 22, 625–632. [Google Scholar] [CrossRef] [PubMed]
  37. Narazaki, K.; Berg, K.; Stergiou, N.; Chen, B. Physiological demands of competitive basketball. Scand. J. Med. Sci. Sports 2009, 19, 425–432. [Google Scholar] [CrossRef]
  38. Scanlan, A.T.; Dascombe, B.J.; Reaburn, P.; Dalbo, V.J. The physiological and activity demands experienced by Australian female basketball players during competition. J. Sci. Med. Sport 2012, 15, 341–347. [Google Scholar] [CrossRef]
  39. Caldwell, B.P.; Peters, D.M. Seasonal variation in physiological fitness of a semiprofessional soccer team. J. Strength Cond. Res. 2009, 23, 1370–1377. [Google Scholar] [CrossRef]
  40. Buchheit, M.; Laursen, P.B. High-intensity interval training, solutions to the programming puzzle: Part I: Cardiopulmonary emphasis. Sports Med. 2013, 43, 313–338. [Google Scholar] [CrossRef]
  41. Datson, N.; Hulton, A.; Andersson, H.; Lewis, T.; Weston, M.; Drust, B.; Gregson, W. Applied physiology of female soccer: An update. Sports Med. 2014, 44, 1225–1240. [Google Scholar] [CrossRef]
  42. Ibáñez, S.J.; Sampaio, J.; Feu, S.; Lorenzo, A.; Gómez, M.A.; Ortega, E. Basketball game-related statistics that discriminate between teams’ season-long success. Eur. J. Sport Sci. 2008, 8, 369–372. [Google Scholar] [CrossRef]
  43. Mancha-Triguero, D.; García-Rubio, J.; Antúnez, A.; Ibáñez, S.J. Physical and Physiological Profiles of Aerobic and Anaerobic Capacities in Young Basketball Players. Int. J. Environ. Res. Public Health 2020, 17, 1409. [Google Scholar] [CrossRef]
  44. Zelenović, M.; Bjelica, B.; Lučić, S.; Đorđević, D. The impact of plyometric training on explosive strength in sports. In Proceedings of the VII International Scientific Conference “Anthropological and Teo-Anthropological Views on Physical Activity from the Time of Constantine the Great to Modern Times”, Kopaonik, Serbia, 19–20 March 2020; pp. 24–32. [Google Scholar]
  45. Santos, E.J.; Janeira, M.A. Effects of complex training on explosive strength in adolescent male basketball players. J. Strength Cond. Res. 2008, 22, 903–909. [Google Scholar] [CrossRef]
  46. Latzel, R.; Hoos, O.; Stier, S.; Kaufmann, S.; Fresz, V.; Reim, D.; Beneke, R. Energetic Profile of the Basketball Exercise Simulation Test in Junior Elite Players. Int. J. Sports Physiol. Perform. 2018, 13, 810–815. [Google Scholar] [CrossRef]
  47. Gantois, P.; Aidar, F.J.; De Matos, D.G.; De Souza, R.F.; Da Silva, L.M.; De Castro, K.R.; De Medeiros, R.C.; Cabral, B.G. Repeated sprints and the relationship with anaerobic and aerobic fitness of basketball athletes. J. Phys. Educ. Sport 2017, 17, 910. [Google Scholar]
  48. Matulaitis, K.; Sirtautas, D.; Kreivytė, R.; Butautas, R. Seasonal changes in physical capacities of elite youth basketball players. J. Phys. Educ. Sport 2021, 21, 3238–3243. [Google Scholar]
  49. Papaevangelou, E.; Papadopoulou, Z.; Michailidis, Y.; Mandroukas, A.; Nikolaidis, P.T.; Margaritelis, N.V.; Metaxas, T. Changes in cardiorespiratory fitness during a season in elite female soccer, basketball, and handball players. Appl. Sci. 2023, 13, 9593. [Google Scholar] [CrossRef]
  50. Ramos, S.A.; Massuça, L.M.; Volossovitch, A.; Ferreira, A.P.; Fragoso, I. Morphological and Fitness Attributes of Young Male Portuguese Basketball Players: Normative Values According to Chronological Age and Years from Peak Height Velocity. Front. Sports Act. Living 2021, 3, 629453. [Google Scholar] [CrossRef]
Figure 1. Changes in body composition parameters across three testing periods (I—beginning of the season, II—mid-season, III—end of the season). (A) Body height (BH); (B) Body mass (BM); (C) Body fat (BF); (D) Fat-free mass (FFM); (E) Muscle mass (MM).
Figure 1. Changes in body composition parameters across three testing periods (I—beginning of the season, II—mid-season, III—end of the season). (A) Body height (BH); (B) Body mass (BM); (C) Body fat (BF); (D) Fat-free mass (FFM); (E) Muscle mass (MM).
Applsci 15 12045 g001
Figure 2. Changes in cardiorespiratory performance parameters across three testing periods (I—beginning of the season, II—mid-season, III—end of the season). (A) Maximal oxygen uptake (VO2max); (B) Average heart rate during the test (HRaverage); (C) Final running velocity in the 20 m shuttle run test (Vift). ** p < 0.01.
Figure 2. Changes in cardiorespiratory performance parameters across three testing periods (I—beginning of the season, II—mid-season, III—end of the season). (A) Maximal oxygen uptake (VO2max); (B) Average heart rate during the test (HRaverage); (C) Final running velocity in the 20 m shuttle run test (Vift). ** p < 0.01.
Applsci 15 12045 g002
Figure 3. Changes in jumping and agility performance across three testing periods (I—beginning of the season, II—mid-season, III—end of the season). (A) Drop jump (DJ); (B) Countermovement jump (CMJmax); (C) Squat jump (SJ); (D) 10-m sprint time (TT); (E) Lateral agility test (LAD). ** p < 0.01.
Figure 3. Changes in jumping and agility performance across three testing periods (I—beginning of the season, II—mid-season, III—end of the season). (A) Drop jump (DJ); (B) Countermovement jump (CMJmax); (C) Squat jump (SJ); (D) 10-m sprint time (TT); (E) Lateral agility test (LAD). ** p < 0.01.
Applsci 15 12045 g003
Table 1. Descriptive statistics (Mean ± SD) and ANOVA difference parameters between first (T1), second (T2), and third (T3) measurement in body composition of junior basketball players.
Table 1. Descriptive statistics (Mean ± SD) and ANOVA difference parameters between first (T1), second (T2), and third (T3) measurement in body composition of junior basketball players.
VariablesFirst (T1)
Measurement
Second (T2)
Measurement
Third (T3)
Measurement
Fpη2
Body height (cm)190.73 ± 6.40191.81 ± 6.45192.83 ± 6.5138.710.000 **0.695
Body mass (kg)79.02 ± 10.3979.62 ± 10.3780.37 ± 10.9210.510.000 **0.382
BMI (kg/m2)21.92 ± 2.7321.66 ± 2.5921.58 ± 2.751.550.2320.083
Body fat (%)8.91 ± 5.007.64 ± 4.317.46 ± 5.156.80.003 **0.286
Fat-free mass (kg)71.04 ± 6.2571.87 ± 6.6472.83 ± 6.744.660.042 *0.215
Muscle mass (kg)67.4 ± 6.0968.41 ± 6.8669.53 ± 6.966.210.015 *0.267
Total body water (kg)52.36 ± 4.3152.86 ± 4.9653.31 ± 4.831.940.1760.102
BMI—body mass index; F—f value; p—statistical significance; η2—eta square; * p < 0.05; ** p < 0.01.
Table 2. Descriptive statistics (Mean ± SD) and ANOVA difference parameters between first (T1), second (T2), and third (T3) measurement in cardiorespiratory tests variables of junior basketball players.
Table 2. Descriptive statistics (Mean ± SD) and ANOVA difference parameters between first (T1), second (T2), and third (T3) measurement in cardiorespiratory tests variables of junior basketball players.
VariablesFirst (T1)
Measurement
Second (T2)
Measurement
Third (T3)
Measurement
Fpη2
VO2max (mL/kg/min)48.11 ± 2.7549.47 ± 3.1049.85 ± 3.4510.610.000 **0.384
HRmax (beats)201.61 ± 10.63201.22 ± 10.42200.72 ± 10.184.640.031 *0.214
HRaverage (beats)157.22 ± 10.70155.11 ± 10.65152.50 ± 9.9933.180.000 **0.661
VIFT18.78 ± 1.3419.33 ± 1.2719.50 ± 1.4620.110.000 **0.542
VO2max—maximal oxygen consumption test; HRmax—maximal heart rate; HRaverage—average heart rate; VIFT—maximal aerobic speed in 30–15 intermittent fitness test; F—f value; p—statistical significance; η2—eta square; * p < 0.05; ** p < 0.01.
Table 3. Descriptive statistics (Mean ± SD) and ANOVA difference parameters between first (T1), second (T2), and third (T3) measurement in jumping, sprint, and agility of junior basketball players.
Table 3. Descriptive statistics (Mean ± SD) and ANOVA difference parameters between first (T1), second (T2), and third (T3) measurement in jumping, sprint, and agility of junior basketball players.
VariablesFirst (T1)
Measurement
Second (T2)
Measurement
Third (T3)
Measurement
Fpη2
Drop jump (cm)43.29 ± 7.1246.18 ± 7.9547.85 ± 9.0823.080.000 **0.576
CMJ (cm)44.73 ± 6.3548.09 ± 6.9950.38 ± 7.3346.640.000 **0.733
Squat jump (cm)35.41 ± 4.2936.92 ± 4.2338.02 ± 4.3859.930.000 **0.614
Sprint 5m (s)1.07 ± 0.081.07 ± 0.061.08 ± 0.070.6480.5290.037
Sprint 10m (s)1.82 ± 0.101.82 ± 0.101.84 ± 0.100.6510.4690.037
Sprint 20m (s)3.14 ± 0.133.14 ± 0.133.13 ± 0.120.5190.5190.03
T-test (s)10.69 ± 0.7610.26 ± 0.8910.23 ± 0.8934,9590.000 **0.673
Lane agility (s)12.14 ± 0.7211.68 ± 0.8011.69 ± 0.7530,7120.000 **0.644
** p < 0.01.
Disclaimer/Publisher’s Note: The statements, opinions and data contained in all publications are solely those of the individual author(s) and contributor(s) and not of MDPI and/or the editor(s). MDPI and/or the editor(s) disclaim responsibility for any injury to people or property resulting from any ideas, methods, instructions or products referred to in the content.

Share and Cite

MDPI and ACS Style

Zelenović, M.; Arsenijević, R.; Alexe, C.I.; Aksović, N.; Cojocaru, M.; Čaušević, D.; Ceylan, H.I.; Alexe, D.I. In-Season Physical and Physiological Variations in Junior Basketball: A Longitudinal Analysis. Appl. Sci. 2025, 15, 12045. https://doi.org/10.3390/app152212045

AMA Style

Zelenović M, Arsenijević R, Alexe CI, Aksović N, Cojocaru M, Čaušević D, Ceylan HI, Alexe DI. In-Season Physical and Physiological Variations in Junior Basketball: A Longitudinal Analysis. Applied Sciences. 2025; 15(22):12045. https://doi.org/10.3390/app152212045

Chicago/Turabian Style

Zelenović, Milan, Radenko Arsenijević, Cristina Ioana Alexe, Nikola Aksović, Marilena Cojocaru, Denis Čaušević, Halil Ibrahim Ceylan, and Dan Iulian Alexe. 2025. "In-Season Physical and Physiological Variations in Junior Basketball: A Longitudinal Analysis" Applied Sciences 15, no. 22: 12045. https://doi.org/10.3390/app152212045

APA Style

Zelenović, M., Arsenijević, R., Alexe, C. I., Aksović, N., Cojocaru, M., Čaušević, D., Ceylan, H. I., & Alexe, D. I. (2025). In-Season Physical and Physiological Variations in Junior Basketball: A Longitudinal Analysis. Applied Sciences, 15(22), 12045. https://doi.org/10.3390/app152212045

Note that from the first issue of 2016, this journal uses article numbers instead of page numbers. See further details here.

Article Metrics

Back to TopTop