Next Article in Journal
Deep Learning for Automated Sewer Defect Detection: Benchmarking YOLO and RT-DETR on the Istanbul Dataset
Previous Article in Journal
Artificial Intelligence and Bioinformatics in the Malignant Progression of Gastric Cancer
 
 
Font Type:
Arial Georgia Verdana
Font Size:
Aa Aa Aa
Line Spacing:
Column Width:
Background:
Article

Hierarchical Markov Chain Monte Carlo Framework for Spatiotemporal EV Charging Load Forecasting

1
Shandong Key Laboratory of Smart Buildings and Energy Efficiency, School of Information and Electrical Engineering, Shandong Jianzhu University, Jinan 250101, China
2
Institute of Automation, Chinese Academy of Sciences, Beijing 100190, China
*
Author to whom correspondence should be addressed.
Appl. Sci. 2025, 15(20), 11094; https://doi.org/10.3390/app152011094
Submission received: 3 September 2025 / Revised: 2 October 2025 / Accepted: 14 October 2025 / Published: 16 October 2025

Abstract

With the advancement of battery technology and the promotion of the “dual carbon” policy, electric vehicles (EVs) have been widely used in industrial, commercial, and civil fields, and the charging infrastructure of highway service areas across the country has also shown a rapid development trend. However, the charging load of electric vehicles in highway scenarios exhibits strong randomness and uncertainty. It is affected by multiple factors such as traffic flow, state of charge (SOC), and user charging behavior, and it is difficult to accurately model it through traditional mathematical models. This paper proposes a hierarchical Markov chain Monte Carlo (HMMC) simulation method to construct a charging load prediction model with spatiotemporal coupling characteristics. The model hierarchically models features such as traffic flow, SOC, and charging behavior through a hierarchical structure to reduce interference between dimensions; by constructing a Markov chain that converges to the target distribution and an inter-layer transfer mechanism, the load change process is deduced layer by layer, thereby achieving a more accurate charging load prediction. Comparative experiments with mainstream methods such as ARIMA, BP neural networks, random forests, and LSTM show that the HMMC model has higher prediction accuracy in highway scenarios, significantly reduces prediction errors, and improves model stability and interpretability.

1. Introduction

With the advancement of battery technology and the implementation of the “dual carbon” policy, electric vehicles (EVs) have been widely adopted in industrial, commercial, and civil sectors, while charging infrastructure in highway service areas across China has also experienced rapid development. However, EV charging load in highway scenarios exhibits strong randomness and uncertainty, as it is simultaneously influenced by traffic flow, vehicle state of charge (SOC), and user charging behavior. These complex dynamics make it challenging to achieve accurate predictions using traditional mathematical models, yet precise forecasting is critical for power system planning and real-time operation.
Recent studies have increasingly emphasized the necessity of incorporating spatial, temporal, and contextual factors into EV load forecasting. Yang et al. [1] developed a spatiotemporal distribution model within a transportation–power coupled network, highlighting the interdependence between traffic flow and grid demand. Tang et al. [2] proposed a weighted measurement fusion UKF algorithm to improve prediction accuracy across heterogeneous functional areas, while Feng et al. [3] integrated traffic conditions and temperature, demonstrating the importance of external dynamic factors. Together, these works indicate that multi-source information fusion is essential for accurate load forecasting.
Complementary efforts have explored forecasting from diverse methodological perspectives. Arias et al. [4] examined charging demand under realistic urban traffic networks, underscoring the influence of mobility patterns. Rassaei et al. [5] employed statistical approaches to analyze residential charging demand in smart grids, while Iversen et al. [6] applied a Markov decision process to optimize charging strategies, showing the potential of stochastic control in reducing system costs. Tang and Wang [7] further introduced a probabilistic nodal demand model based on spatiotemporal EV dynamics, providing flexible representations of uncertainty. Collectively, these studies laid essential methodological foundations for probabilistic and data-driven approaches.
Building upon these foundations, more recent research has incorporated user heterogeneity, real-time dynamics, and infrastructure considerations. Bian et al. [8] proposed a forecasting approach integrating user portrait information with traffic flow to capture evolving charging behaviors. Guo et al. [9] developed a multithreaded acceleration framework to enhance computational efficiency in large-scale functional area prediction. Li et al. [10] emphasized user behavior in spatiotemporal modeling, while Ma et al. [11] investigated battery swap station location planning, highlighting the interplay between infrastructure layout and load forecasting. These works illustrate a clear trend toward integrating behavioral, spatial, and infrastructural dimensions.
At the same time, methodological advances have significantly enriched the modeling toolkit. Sun and Che [12] applied a Monte Carlo-based framework to couple multiple information sources, improving probabilistic accuracy. Wang et al. [13] enhanced SOC estimation and peak power prediction via unscented Kalman filtering, offering insights for load allocation. Li et al. [14] proposed DiffPLF, a conditional diffusion model for probabilistic forecasting, while Pan et al. [15] utilized a variational auto-encoder to generate data-driven EV load profiles. On a broader scale, Farhadi et al. [16] provided a comprehensive review of stochastic modeling strategies, and Faridimehr et al. [17] developed a stochastic programming approach linking forecasting with network design. At the system level, Boudina et al. [18] evaluated the grid impacts of large-scale EV integration, emphasizing the need for accurate forecasting to ensure stability. Taken together, these works underscore the growing role of stochastic, probabilistic, and machine learning techniques in capturing the multifaceted dynamics of EV charging demand.
Nevertheless, traditional statistical methods, such as stochastic programming, remain limited in capturing dynamic user behavior and complex spatiotemporal dependencies. Although recent deep learning and probabilistic forecasting models, such as DiffPLF [14], have advanced predictive accuracy and uncertainty quantification, they often lack the ability to explicitly represent hierarchical dynamics across multiple levels of demand formation, particularly in highway scenarios characterized by strong randomness.
To address these challenges, this paper proposes a hierarchical Markov chain Monte Carlo (H-MMC) framework for spatiotemporal EV charging load forecasting. The framework integrates Markov processes and Monte Carlo simulations with hierarchical modeling techniques to capture multi-level dynamics ranging from individual charging behavior to macro-level spatiotemporal patterns. By constructing a Markov chain converging to the target distribution and designing an inter-layer transfer mechanism, the framework progressively derives the load evolution process while reducing interference across dimensions. Comparative experiments against ARIMA, BP neural networks, random forest, and LSTM demonstrate that the proposed H-MMC achieves higher predictive accuracy in highway scenarios, significantly reduces forecasting errors, and improves model stability and interpretability.
The main contributions of this paper are summarized as follows:
  • Spatiotemporal coupling in hierarchical modeling—The HMMC framework explicitly decouples macro–meso–micro-factors, enabling finer-grained load prediction and reducing the confounding effects that plague monolithic models.
  • Markov-based probabilistic simulation—By integrating Monte Carlo sampling into a Markov chain framework, the method achieves stable convergence to the target distributions of individual features while preserving stochasticity, thereby better reflecting real-world uncertainties.
  • Scenario-based adaptability—The model incorporates heterogeneous operational scenarios, including seasonal traffic patterns, toll-free holiday surges, and extreme weather conditions, ensuring robustness and generalizability across diverse highway environments.
Comparative experiments with state-of-the-art methods—including ARIMA, BP neural networks, random forests, and LSTM networks—demonstrate that the proposed HMMC approach achieves higher predictive accuracy, reduces error variance, and enhances interpretability. These results suggest that the HMMC framework provides a viable and scalable solution for EV charging load forecasting in highway multi-energy systems, supporting more efficient charging station deployment, energy scheduling, and grid stability management.

2. Methodology

2.1. Highway Charging Demand Analysis

The charging load of highway multi-energy systems is primarily influenced by three factors: electric vehicle (EV) traffic flow, state of charge (SOC), and user charging behavior. Each factor comprises several sub-features with interdependencies that shape their respective distributions. These distributions, in turn, collectively determine the charging load profile. Accordingly, the analysis can be structured in a “macro–meso–micro” hierarchy, where traffic flow, SOC, and charging behavior are defined and examined sequentially.

2.1.1. Charging Demand Analysis Considering Traffic Volume

The traffic flow of electric vehicles (EVs) is defined as the number of EVs traversing the multi-energy system at a highway service area within a specified unit of time. To capture their distributional characteristics, traffic flow patterns can be statistically modeled based on historical observations. In highway contexts, EV traffic flow demonstrates pronounced temporal dependence, with significant variations observed across weekdays, weekends, and holidays, as well as distinct intraday peak–valley dynamics [19]. Furthermore, meteorological conditions play a critical role, as extreme weather events, such as heavy rainfall or snowstorms, can cause abrupt decreases in both conventional and electric vehicle traffic volumes. To address these influences, this study develops coupled scenarios that jointly incorporate temporal and weather-related factors, and it models the probability distribution of EV traffic flow under different conditions. In particular, temporal scenarios are categorized into three types: weekdays, weekends (including regular holidays with toll charges), and statutory toll-free holidays (e.g., Spring Festival, Qingming Festival, Labor Day, National Day, and Mid-Autumn Festival). The annual occurrence of these categories is summarized in Table 1.
Traffic flow is generally higher on toll-free holidays than on weekdays and weekends. Although extreme weather events occur infrequently, they significantly reduce traffic flow by lowering vehicle speed and safety levels. Therefore, meteorological factors are incorporated into the model to account for deviations from normal traffic patterns.
By coupling different time types and weather types, four typical scenarios are obtained. The electric vehicle traffic model can be described by a mixed Gaussian model on a typical day in any scenario. The traffic distribution model is as follows [20]:
p ( d | t , s ) = i = 1 K w i ( t , s ) N ( d | μ i ( t , s ) , σ i 2 ( t , s ) )
i = 1 K w i ( t , s ) = 1
where d represents the traffic flow, which represents the number of vehicles in a unit time period; t represents time; and s represents the scene type, including discrete variables such as working days, rest days, and holidays. p ( d | t , s ) is the conditional probability density function of w i ( t , s ) , which represents the traffic flow under d at a given time t and in a given scene; s is the weight coefficient of the i Gaussian component, and it satisfies the constraints of Formula (2); N ( d | μ i ( t , s ) , σ i 2 ( t , s ) ) represents the Gaussian distribution function K with mean μ i ( t , s ) and variance; and σ i 2 ( t , s ) is the number of Gaussian components.
When the time type is weekdays, the traffic volume of electric vehicles is similar to a double-peak Gaussian mixture distribution model, where the two Gaussian components correspond to two groups of means and variances:
μ 1 ( t ) = μ b a s e + A 1 exp ( t t m o r ) 2 2 σ m 2
μ 2 ( t ) = μ b a s e + A 2 exp ( t t e v e ) 2 2 σ e 2
where μ 1 ( t ) and μ 2 ( t ) represent the mean function of traffic flow during the morning and evening rush hours on weekdays; μ b a s e is the basic traffic flow mean; A 1 and A 2 are the amplitude coefficients of the morning and evening rush hours; t m o r and t e v e represent the central moments of the morning and evening rush hours; and σ m and σ e represent the standard deviation of the duration of the morning and evening rush hours, in hours.
When the time type is a holiday, the electric vehicle traffic flow is similar to a unimodal Gaussian distribution:
μ x ( t ) = μ b a s e + A 3 exp ( t t n o o n ) 2 2 σ n 2
where μ x ( t ) represents the mean function of traffic flow on weekends; A 3 is the amplitude coefficient of the noon peak on weekends; t n o o n represents the central time of the noon peak; and σ n represents the standard deviation of the duration of the noon peak, in hours.
When the time type is holidays, the traffic flow will change based on the unimodal Gaussian distribution due to the exemption of tolls. The specific distribution model is as follows:
μ h ( t ) = β t o l l μ b a s e + A 4 exp ( t t n o o n ) 2 3 σ n 2
where μ h ( t ) represents the mean function of holiday traffic flow; A 4 is the peak amplitude coefficient at noon on holidays; and β t o l l is the coefficient of the additional traffic increase caused by toll exemption.
Considering the differential impact of extreme weather on three time types, namely, weekdays, weekends, and holidays, the impact of weather factors on traffic flow is introduced, and a conditional probability model is established [21]:
p ( d | t , s , W e ) = p ( d | t , s , W e = 0 ) ( 1 W e ) + p ( d | t , s , W e = 1 ) W e
p ( d | t , s , W e = 0 ) = p ( d | t , s )
p ( d | t , s , W e = 1 ) = α e x t p ( d | t , W e = 0 )
W e = 1 0 u < p e x t ( s ) 0 p e x t ( s ) u 1
p e x t ( s ) = p b a s e γ s
where p ( d | t , s , W e ) represents the conditional probability density function of traffic flow at a given time, time scenario type, and weather condition; p ( d | t , s , W e = 0 ) represents the conditional probability density function of traffic flow in a specific time scenario under normal weather conditions; p ( d | t , s , W e = 1 ) represents the conditional probability density function of traffic flow in a specific time scenario under extreme weather conditions; W e represents the type of weather under any scenario type, where the value of 0 represents a normal day, and the value of 1 represents extreme weather; p e x t ( s ) is the probability of occurrence of extreme weather under different time types; p b a s e is the standard probability of occurrence of extreme weather; γ s is the adjustment coefficient of the three time scenarios, and the value can be adjusted according to historical statistical results; and α e x t is the extreme weather impact coefficient, and its value is less than 1, indicating the degree of reduction in traffic flow caused by extreme weather.

2.1.2. Charging Demand Analysis Considering State of Charge (SOC)

Examining traffic flow allows for a macro-analysis of charging load demand, but, for each vehicle participating in high-speed traffic, its charging demand is largely limited by its own energy consumption. Factors affecting vehicle energy consumption mainly include the time of entering the highway, the initial SOC state, the type of vehicle, and the travel path and distance.
The initial state of charge affects the electric vehicle’s range and charging decision-making behavior, and this value is also an important indicator that affects the vehicle’s energy consumption. Usually, the initial SOC of an electric vehicle follows a uniform distribution S O C 0 ~ U ( a , b ) , and its probability density function is
f s o c ( S O C 0 ) = 1 b a
The type of vehicle mainly includes three influencing factors: vehicle charging power, battery capacity, and power consumption per unit mileage. Although electric vehicle charging types include fast charging and slow charging types, in the time-oriented transportation mode of highways, most vehicles are charged by DC fast charging, so the charging power will be relatively large. This article divides electric vehicles into three types, as shown in Table 2.
Travel path and driving distance are important factors affecting the power consumption of a car. The driving distance can determine the current SOC of the car. The remaining mileage and remaining power can be calculated based on the initial SOC and driving distance. The game between the remaining distance and the remaining power can reflect the user’s psychological anxiety and affect the occurrence of charging behavior. The OD matrix is usually used to simulate the travel path of an electric car:
O i j = O 11 O 12 O 1 N O 21 O 22 O 2 N O N 1 O N 2 O N N
where i and j represent the starting and ending points of the car’s trip up to the current moment, N represents the number of charging stations in a certain section of the highway multi-energy system, and each parameter in the matrix represents the station where the car travels to. Through the OD matrix and combined with the actual road network information, the topological structure of all stations and the distance between them can be obtained. The OD matrix can simulate the vehicle’s travel path and simulate the driving distance and remaining distance of the vehicle at any station. The current state of charge of the car can be calculated based on the driving distance and vehicle characteristic parameters.
S O C j = S O C i d i j ω v ζ ( T ) C b a t , v
ζ ( T ) = 1 + α T ( T 25 )
where d i j is the distance the car travels from i to j ; ω v is the energy consumption per unit mileage of the car; C b a t , v is the car battery capacity; ζ ( T ) is the temperature efficiency correction factor, which represents the impact of temperature on the battery power consumption; and α T is the temperature sensitivity coefficient of the car battery.

2.1.3. Charging Demand Analysis Considering User Behavior

For traffic participants, charging demand is also subjectively influenced by individual behavioral decisions [22]. Therefore, this paper introduces the quantification of psychological anxiety and adopts the “anxiety power threshold” as a parameter to measure the degree of such anxiety. This threshold is defined as the minimum remaining power that a user can tolerate when passing a charging station, ensuring that the vehicle can travel to the next charging station or highway exit.
θ a n x = θ b a s e + γ e D r e m C b a t , v / ω v
Here, θ b a s e is the basic threshold for generating battery anxiety; γ e is the anxiety coefficient of the remaining journey and is greater than 0; and D r e m is the remaining distance of each car in its total path.
The greater the remaining distance, the greater the anxiety power coefficient and the greater the probability that the electric vehicle user will choose to charge. In order to quantify the impact of anxiety power on charging behavior and more realistically simulate the user’s sensitivity to power, this paper introduces the prospect theory equation for analysis [23]. Prospect theory emphasizes that users are more sensitive to losses than to equal benefits, which is reflected in the nonlinearity of users’ anxiety about remaining power. In particular, when the SOC is close to or lower than the set anxiety threshold, the user’s anxiety will increase sharply, which may cause the user to choose to charge in advance, even when the battery power is not low. This anxiety-induced early charging behavior will cause a surge in peak load at the charging station, affecting the spatiotemporal distribution of the charging load. Therefore, the prospect theory equation is introduced to simulate the user’s perception of anxiety power:
V ( S O C ) = ( θ a n x S O C ) γ 1 , S O C θ a n x ϕ s ( S O C θ a n x ) γ 2 , S O C > θ a n x
where γ 1 is the risk preference coefficient in the loss domain; γ 2 is the risk preference coefficient in the gain domain; and ϕ s is the loss aversion coefficient, which represents the degree of aversion to loss.
In addition to the anxiety threshold, the user’s waiting time is also an important factor affecting charging decision-making behavior. The total waiting time is determined by the number of cars entering the charging station and the charging rate of the charging station. The behavior of electric vehicles entering the service area to charge follows a Poisson distribution with parameter λ w :
λ w = ε w d d ~ p ( d | t , s , W e )
where d is the electric vehicle traffic volume mentioned above, which is affected by time type and weather type, and ε w is the entry rate of electric vehicles into the service area of the multi-energy system. λ w can directly reflect the number of electric vehicles entering the charging station per hour.
In addition, the charging rate of the charging station in the service area directly affects the charging time of the car and the waiting time of the vehicles waiting in the queue. Assume that each charging station is independent of each other and the charging rate follows a negative exponential distribution with parameter μ w :
μ w = P c h a _ a v S O C c h a _ a v
where P c h a _ a v is the average charging power of the charging station, and S O C c h a _ a v is the average charging capacity of all charging stations, which uses the ratio of charging power to battery capacity. μ w can directly reflect the number of electric vehicles that complete charging per hour at the charging station.
To calculate the total waiting time for each car, it is necessary to first calculate the waiting time in the queue and the charging time.
T t o t a l = T w a i t + T c h a
where T w a i t is the waiting time of the car in the queue, and T c h a is the charging time of the car.
Based on M/M/S queuing theory, the service process of the charging station of the highway multi-energy system is simulated, and the system queue service rate and queue waiting time are calculated T w a i t . Assuming that the number of charging stations included in the system is c w , the service rate of the charging station of the system is
ρ w = λ w c w μ w
Queuing theory can be used to calculate the waiting time of users at charging stations:
T w a i t = P w ( c w ρ w μ w ) c w c w ! ( 1 ρ w ) 2
where p w is the probability that the system is in a queue state (that is, at least one car is waiting). This probability value can also be obtained through queuing theory:
p w = ( c w ρ w μ w ) c w c w ! k = 0 c w 1 ( c w ρ w / μ w ) k k ! + ( c w ρ w μ w ) c w ( 1 1 ρ w )
where k is the number of cars waiting in line and charging.
The charging time T c h a depends on the charging power of different models. The charging power of specific models has been discussed in a previous article, and the distribution of the SOC at the end of charging is the same as the initial SOC distribution of the car trip, which follows a uniform distribution but with increased upper and lower limits.
T c h a = ( S O C e c h a - S O C s c h a ) × C b a t , v P o c S O C e c h a ~ U ( a * , b * ) S O C s c h a = S O C j , j Ω i , j
where S O C s c h a and S O C e c h a are the charge states at the start and end of vehicle charging; P o c is the charging power of the electric vehicle; and Ω i , j is the set of charging stations in the travel path. The charge state of the vehicle when it reaches a charging station can be obtained as shown in Formula (13).
Combining the anxiety power threshold and the total waiting time can simulate the decision-making process of user charging behavior. Anxiety power affects charging demand through the value function. When the SOC is low, the anxiety power will increase the probability of charging selection, but this effect will also be negatively constrained by the total waiting time. The longer the total waiting time, the greater the negative impact of queuing, resulting in a lower probability of choosing to charge, especially when the anxiety power is small. The two show an alternating influence. When the battery power is low, electric vehicles may be more able to tolerate a longer waiting time. Conversely, when the battery power is high, the increase in waiting time will rapidly reduce the probability of charging. Its selection probability is expressed as
p c h o o s e = 1 1 + exp [ k ( V ( S O C ) υ T t o t a l ) ]
where this paper uses the Logistic regression model to simulate the process of two influencing factors making decisions on charging behavior, with k being the Logistic growth rate, and υ being the time value coefficient. k and υ adjust the sensitivity of the two influencing factors to the charging decision-making choice.
The logistic function is suitable for solving binary decision-making problems and can constrain the range of charging selection probability to [0, 1] [24]. When the above two influencing factors are in different ranges, the probability of charging selection changes nonlinearly. Specifically, when the anxiety power coefficient is too large and exceeds the SOC, the charging probability will increase rapidly, while when the anxiety power coefficient is too small, the charging probability will be close to 0. The length of waiting time will make the charging behavior continue or be cancelled, which will have a nonlinear impact on the choice of charging probability. The logistic function has an “S”-shaped structure, which can better handle nonlinear changes. It can not only represent the suddenness of charging decisions when the remaining power and the anxiety power are close, but it can also represent the inevitability of decisions in extreme cases. The logistic function can quantify the user’s charging behavior and input it into the prediction model as the influencing feature of the charging load.

2.2. Load Forecasting Model Based on HMMC

Since there are too many factors affecting the charging load of electric vehicles in the highway multi-energy system and they are not completely independent of each other, the traditional Monte Carlo simulation method adopts an independent approach, which will lead to a poor convergence effect, ignoring the difference in feature importance and the difficulty in capturing the spatiotemporal coupling relationship when the model is predicted. This will make it difficult for the prediction results to reflect the spatiotemporal dynamic characteristics of the load. As the influencing features increase, the prediction results will produce a repeatedly fluctuating curve that is inconsistent with the actual situation. To solve the above problems, this paper adopts the Markov chain Monte Carlo method (Markov chain Monte Carlo, MMC) and combines the idea of stratified sampling to construct a hierarchical Markov chain Monte Carlo load forecasting model (hierarchical Markov chain Monte Carlo, HMMC). The three influencing features are classified according to the macroscopic (traffic flow), mesoscopic (vehicle SOC), and microscopic (charging behavior) methods, and the three features are associated according to the Markov state transfer matrix so that the load forecast results have spatiotemporal dynamic characteristics. By taking the typical distribution as the target, a Markov chain with three layers of features converging to the target distribution is constructed, and the final load distribution is fitted through inter-layer transfer.

2.2.1. Hierarchical Markov Chain Monte Carlo Algorithm

The Markov chain Monte Carlo simulation method { X t } t = 0 can sample from any distribution or state through the Markov chain. Unlike the traditional Monte Carlo method that obtains the approximate distribution of random samples by obtaining the expected value, MMC defines the transfer matrix of random variables and finally converges to a stable distribution after multiple iterations, which is the target distribution of the corresponding variable [25]. The charging load of electric vehicles on highways is affected by many random factors and is subject to time and space constraints. The load state at the current moment is dependent on the state at the previous moment. The Markov Monte Carlo simulation solves the transition probability of the sample sequence by formulating the transition rules and the state transition matrix, which can avoid the calculation errors caused by high-dimensional problems.
In view of the different influences of the three characteristic factors of charging load, a single Markov chain cannot incorporate these characteristic quantities into one set. Therefore, the state sequences of the three characteristics can be expressed from the macro-, meso-, and micro-perspectives based on hierarchical theory. The macro-level state sequence { F 1 1 , F 1 2 , , F 1 T } is the traffic flow in each period of the day, which is mainly affected by parameters such as time type and weather type. The meso-level state sequence { F 2 1 , F 2 2 , , F 2 T } is the SOC of each vehicle arriving at the target charging station in each period of the day, which is mainly affected by parameters such as travel time, the initial SOC, OD travel path matrix, and vehicle type. The micro-level sequence { F 3 1 , F 3 2 , , F 3 T } is the charging behavior decision of driving users in each period of the day. The anxiety power threshold and waiting time are combined through the Logistics function to form the charging selection probability. The state sequence is mainly affected by the charging selection probability. The three state sequences correspond to their respective state transition probability matrices:
P ( F 1 t | D , W ) is the state transition probability of traffic flow at the macro-level, where D , W represent the time type and weather type, respectively; P ( F 2 t + 1 | F 2 t , F 1 t + 1 , d , S f , T f , C e v ) is the state transition probability of the vehicle SOC d , S f , T f , C e v at the meso-level, which represent the travel distance, initial power, travel time, and type of tram, respectively; and P ( F 3 t + 1 | F 3 t , F 2 t + 1 , F 1 t + 1 , p c h o o s e ) is the state transition probability of user charging behavior at the micro-level. The state transition mechanism of each layer is different: The transfer rule of traffic flow is that the probability of the traffic flow state changing to a high density is greater during peak traffic hours. The probability of the vehicle SOC transitioning to a low state increases with the increase in driving distance, and this state will also be affected by traffic flow. User charging behavior will be limited by both traffic flow and the vehicle’s own SOC, and it will change synchronously with the charging selection probability.
According to the characteristics of Markov chain, we can obtain the relationship between three probability distributions:
P ( F m t + 1 | F m t , F m t 1 , , F m 1 ) = P ( F m t + 1 | F m t , F m 1 t + 1 , F m 2 t + 1 , Π )
In the formula, m { 1 , 2 , 3 } represents the level. When m is 1, the right side of the formula F m 1 t + 1 , F m 2 t + 1 does not exist. When m is 2, the right side F m 1 t + 1 of Formula (26) does not exist. Π is the set of influencing factors corresponding to the characteristics of each layer. This formula shows that the state distribution of any level depends on its previous state and the states of the previous levels of the current time sequence.
After learning the transition probability matrix of each layer in a hierarchical manner, the transition matrix is used to randomly sample the state evolution and generate multiple possible system trajectories. The charging load is defined as a function of the state L ( F 1 , F 2 , F 3 ) , which expresses everything from the traffic density to the user’s charging behavior decision. All features are quantified to form three sets of state sequences, each of which corresponds to a set of load values. The expected value of the load is approximated by averaging the load values on the sampled trajectory based on the law of large numbers and Monte Carlo integration theory [26].

2.2.2. Charging Load Forecasting Model

Through the principle of the three-layer Markov chain Monte Carlo simulation, by inputting historical traffic data and load data, the OD matrix of traffic flow is reversely deduced, and the corresponding path matrix is constructed according to the number of service areas of the actual system to determine the traffic flow probability on each matrix. Each time the traffic flow is simulated, the scene is initialized according to the frequency of occurrence of historical data. Different scenes correspond to different traffic densities. The traffic flow distribution of each simulation can be determined by the state transition matrix. After obtaining the traffic flow distribution, the model of each electric vehicle, the corresponding initial SOC, travel time, path distance, and other parameters are randomly simulated, and the remaining SOC when arriving at a certain station is calculated. Then, the anxiety power and waiting time are simulated, and the calculation of the charging probability of the Logistics fitting function is combined with the prospect theory idea and the Logistics fitting function. The charging load of the car is calculated using the charging probability and SOC, and the final load curve can be obtained by superposition. The charging load prediction algorithm is presented with Algorithm 1.
Algorithm 1: EV Charging Forecasting with HMMC
Input:
    •
K : number of simulation rounds
    •
C : number of EVs
    •
Road network G = ( V , E ) and charger set S
    •
Historical traffic and load data
Output:
    •
System load trajectory L ( t )
    •
SOC trajectories { SOC c ( t ) } c = 1 C
Algorithm Steps
Step 1: Offline Pre-processing
1.1 Build OD matrix from historical data; estimate OD pairs, link-choice probabilities, vehicle classes, and node flows.
1.2 Learn Markov-chain parameters: transition matrices for traffic state, SOC state, and charging state.
1.3 For each EV c { 1 , , C } , sample a daily trip plan (OD pair, path, activities such as work, rest, home).
Step 2: Simulation
For k = 1 to K :
 2.1 Generate traffic demand; assign flows to links by OD; obtain link loads O i j .
 2.2 For c = 1 to C :
  (a) Initialize battery energy E c ( 0 ) and SOC c ( 0 ) ; set starting node and activity.
  (b) While EV has not reached destination:
   i. Select next segment ( i , j ) or stop based on plan and current traffic state.
   ii. Compute driving energy consumption Δ E c ( t ) ; update E c ( t ) and SOC c ( t ) .
   iii. Compute charging probability p c ( t ) via logistic function.
   iv. If DecideToCharge( p c ( t ) ) then:
       -
If E c t E 1 : enter mandatory charging state; add charging load P c ( t ) to system load L ( t ) .
       -
Else if E 1 < E c t E 2 : opportunistic charging; superimpose partial charging load profile.
       -
Else: skip charging and continue trip.
   v. Else: continue driving; update traffic load on links; advance simulation time.
   vi. Update Markov states (traffic, SOC, charging) and context features z c ( t ) .
  (c) End While
 2.3 End For
 2.4 End For
Step 3: Output
Return system load trajectory L ( t ) and SOC trajectories { SOC c ( t ) } c = 1 C .

3. Case Study

3.1. Parameter Settings

This study considers a combined section composed of four highway multi-energy systems, each containing one service area charging station and several toll station nodes, resulting in a total of sixteen stations along a west–east corridor (Figure 1). All four service areas are equipped with fast-charging facilities, assumed to consist of 80 kW chargers. For instance, the K + 43 service area represents Charging Station No. 1, located 43 km from the starting point, with Stations No. 2, No. 3, and No. 4 distributed sequentially eastward along the main highway. Different vehicle types are assigned distinct charging powers, as summarized in Table 2, and the EV penetration rate on the highway is assumed to be 18%, with a vehicle-type ratio of 6:3:1 (small, medium, and large), derived from Ministry of Transport of the People’s Republic of China statistics indicating that EVs account for about 20% of total highway traffic during peak travel periods [27]. This value is conservatively adjusted downward to better represent average, non-peak conditions.
To capture realistic load characteristics for this section, the dataset was first constructed from 30 consecutive days of measured traffic and charging load data at a representative highway charging station. This base dataset was then expanded to incorporate diverse operating conditions. Specifically, four representative daily patterns—workdays, weekends, holidays, and extreme weather days—were extracted from empirical traffic flow images, normalized, and scaled to the observed peak values. Each day in the 30-day period was assigned a type consistent with the actual calendar, and the corresponding flow and load profiles were generated using Gaussian perturbations (≤3% of the mean flow) and Monte Carlo simulations (100 iterations per scenario). Vehicle composition, state-of-charge distributions, and user charging behaviors were modeled according to empirical ratios and behavioral patterns, ensuring that the generated data preserved the statistical properties of the measured dataset while extending its variability across traffic, weather, and vehicle scenarios. Based on these data, the charging loads of the four service area stations within the combined section were predicted, providing the foundation for comparative analysis in subsequent sections.

3.2. Results Analysis

According to hierarchical theory, the traffic flow characteristics of the macroscopic layer serve as conditional variables for the state transition matrices of the other two layers. Based on the frequency of occurrence in historical data, four representative scenarios—workdays, weekends, holidays, and extreme weather days—are selected in each simulation. These scenarios exhibit distinct trends and amplitudes in the charging load curves. The forecasting model is applied to predict the total charging load across the four highway service areas within this section, and the scenario-specific load profiles are illustrated in Figure 2.
According to the predicted load results, it can be seen that the charging load changes in different scenarios are different. The charging load curves for holidays and rest days are similar, showing a single-peak distribution within the day and generally after 15:00 in the afternoon, when the charging load of the highway multi-energy system reaches its maximum value. However, due to the policy of toll exemption on highways during holidays, the traffic flow increases, so the charging load increases accordingly. The probability of occurrence in system operation on weekdays is the highest, and its load distribution presents a bimodal distribution, with peaks mainly at around 8 am and 17:00 pm. When extreme weather occurs, there is no obvious peak change in the load distribution, but its value is generally low. Given that the example in this article takes the Shandong Peninsula as an example, the frequency of disastrous meteorological outbreaks is not high, so the extreme weather is mainly heavy rain and snow weather, so the charging load still fluctuates. If more destructive weather conditions such as typhoons occur, the load in this scenario will be lower.
To prove the effect of charging load prediction, the historical data of the charging load of this road section is used for a comparison. The loads of four scenarios are classified, and typical curves are extracted through data analysis. Taking the charging station of service area No. 1 as an example, the load prediction curves and actual loads under four typical scenarios are compared to compare the accuracy of the prediction. The comparison between the predicted values and actual values of the charging load under four typical scenarios is shown in Figure 3.
By comparing the four common prediction curves, it can be seen that they are very close to the actual load value in terms of trend and amplitude. In order to further prove the optimization effect of the hierarchical Markov chain Monte Carlo simulation method, this paper selected typical scenarios on weekdays and used ARIMA, the random forest method, a BP neural network, and an LSTM neural network to compare the prediction results, using evaluation indicators such as the MAPE and R2. The ARIMA model was configured with orders (p, d, q) and seasonal components P , Q , D 24 , where the optimal parameters were selected using AIC/BIC and estimated by maximum likelihood. The random forest baseline consisted of 500 regression trees with a maximum depth of 12, a minimum leaf size of 5, the mean squared error as the split criterion, d features per split, and bootstrap sampling with out-of-bag evaluation. The BP neural network was implemented as a multilayer perceptron with three hidden layers (with 128-64-32 neurons and ReLU activation), a dropout of 0.2, and L2 regularization 1 × 10 4 and trained using Adam (with a learning rate of 0.001 and a batch size of 128) for up to 200 epochs with early stopping. The LSTM model consisted of two stacked layers with 128 hidden units, a sequence length of 24, and a dropout of 0.2 and was trained with Adam (with a learning rate of 0.001, weight decay of 1 × 10 4 , gradient clipping of 1.0, and batch size of 64) for 150 epochs, using cosine learning rate decay and early stopping. The specific comparison is shown in Table 3 and Figure 4.
By comparing the results in the charts, it can be seen that, when dealing with the charging load of electric vehicles in highway scenarios under the influence of complex characteristics, the hierarchical Markov chain Monte Carlo simulation method can better take into account the time series characteristics and the coordination relationship of various parameters. Compared with methods such as auto-regressive models, random forests, and BP neural networks, the load data predicted by Markov Monte Carlo is closer to the actual load situation in terms of change trend. This is mainly because the model describes the distribution of each layer of features and sub-features, and this can better reflect the accuracy of its prediction in subtle time periods. From the evaluation index, this paper selects two indicators, the mean absolute percentage error and the coefficient of determination. It can be seen that the Markov Monte Carlo method has the lowest prediction data error (MAPE) and the highest coefficient of determination (R2). This result shows that the Markov Monte Carlo prediction method has a better fitting effect and higher prediction accuracy.
It can be observed in Figure 5 that the charging load distributions of the four stations are generally consistent with the overall load curve predictions while also exhibiting scenario-specific differences. On workdays, the charging load demonstrates a bimodal distribution, with peaks concentrated around 8:00 and 15:00, reflecting typical commuting patterns. The loads across the four stations remain relatively balanced. On weekends, however, the distribution shifts to a unimodal pattern with a higher overall peak, and Station No. 2 records a significantly greater load than the others, suggesting a higher traffic density and concentrated travel demand along its corresponding OD path.
During holidays, the charging demand across all four stations increases, and the charging times become more concentrated. Notably, Stations No. 3 and No. 4 exhibit larger loads, indicating heavier traffic volumes along their respective road sections, likely linked to large-scale vehicle transfers and directional holiday travel patterns. Under extreme weather conditions, the charging loads of all stations decrease markedly, with reduced variability both across stations and throughout the day. Although the absolute demand is lower in this case, the temporal dynamics of load change still reveal the influence of shifting user decisions and traffic flow characteristics.

3.3. Feature Analysis

According to the theory of hierarchical Markov chain Monte Carlo simulation, the distribution of charging load corresponds to the probability distribution of traffic flow and affects the SOC distribution of individual vehicles under different traffic flow conditions and the charging behavior decision-making state of individual users. Taking the traffic flow density distribution as an example, five traffic flow states can be obtained through the state transition probability matrix of the Markov chain, namely, very low, low, medium, high, and very high. The transfer rule is that the car flow density cannot change abruptly and should be continuous in the peak stage. Therefore, the problem can be explained by drawing the Markov chain state transition matrix of the traffic flow state:
As can be seen in Figure 6, the transfer of the traffic flow density from the initial state to the target state shows regularity, and the probability of transferring from an extremely low state to a high state is very small, which avoids the possibility of sudden changes in traffic flow during the valley period. This ensures that the load peak stage can be maintained for a certain period of time, thereby ensuring a gradual change from the peak value to the flat value. The introduction of the state transition probability matrix can effectively solve the actual characteristics of ignoring variables in time series prediction. By predicting the size of the state change probability, instead of predicting by regression fitting, it can avoid the prediction deviation caused by the prediction result being only related to the time series and enhance the authenticity of the prediction result. The Markov transition probability matrix of traffic flow shows the non-instantaneous nature of traffic flow changes, and its changes are stable. As a direct influencing feature of charging load, the stability of traffic flow can ensure the smooth change of prediction results.
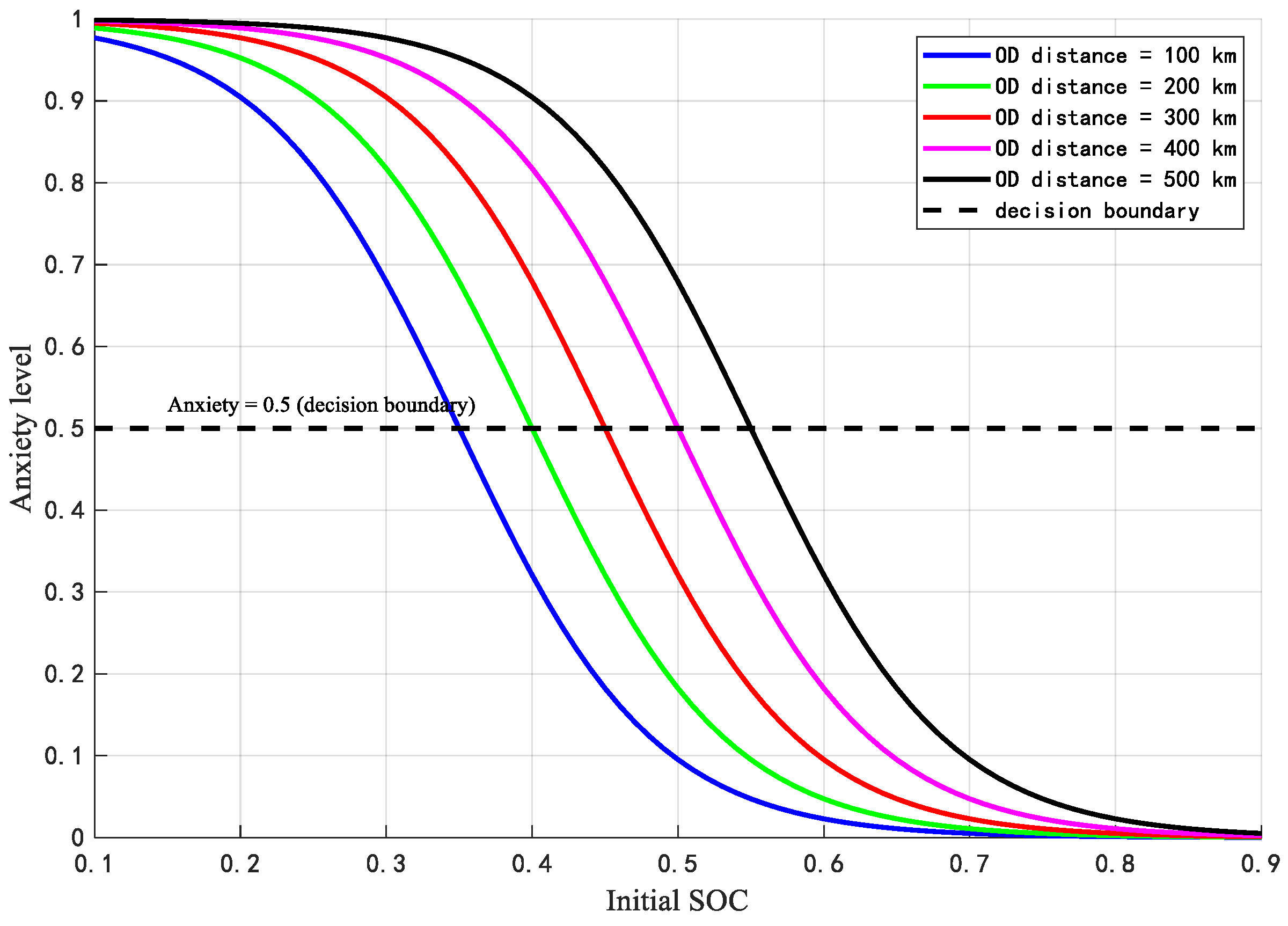
The state transition probability matrix not only directly affects the traffic flow state at the macro-level but also indirectly affects the SOC of the vehicle. The charging load of each vehicle in any path is affected by its own SOC, and this state is different under different traffic flow conditions. For example, when the traffic density is too high, vehicles will travel off-peak, charge in advance, and change routes. For the same type of vehicle, assuming that the travel time is the same, the changes in its initial SOC and path distance will affect the SOC value of the individual vehicle passing through the charging station. This state can directly affect the choice of charging probability, and the overall impact is shown in Figure 7.
Under the same driving distance, the higher the initial SOC of the electric vehicle, the greater the user’s tolerance for the remaining power, that is, the lower the threshold of the anxiety power and the lower the probability of charging; if the vehicle travels a shorter distance under the same initial SOC, the lower the threshold of the anxiety power, the lower the probability of charging, and vice versa.
The anxiety power can be valued through prospect theory, and, combined with the waiting time, it can be substituted into the logistics fitting function to calculate the specific probability of charging selection. However, the specific impact of the anxiety power threshold cannot be directly reflected in the formula. Therefore, by comparing the charging ratio and charging time of electric vehicles under different anxiety power values, the impact of the anxiety power coefficient can be intuitively reflected, as shown in Figure 8.
It can be seen in the figure that, when the anxiety power increases, the charging ratio increases, and the average charging time decreases. This is mainly because the anxiety power reflects the user’s sensitivity to the minimum power. The threshold reflects the critical value for the user to choose to charge. If the value is too high, the user will choose to charge when the remaining power is high. However, since charging is chosen when the current remaining power is high, the charge state itself is high, so the charging time will be shortened.

4. Discussion

The proposed hierarchical Markov chain Monte Carlo (HMMC) method demonstrates significant advantages in EV charging load forecasting under complex highway scenarios. By explicitly integrating macro-level traffic flow states, vehicle SOC dynamics, and user charging decisions through layered state transition matrices, the model captures temporal dependencies while preserving cross-level interactions often neglected in traditional approaches. This hierarchical structure, combined with scenario-based simulations (weekdays, weekends, holidays, and extreme weather days), enables the model to reproduce realistic load patterns across diverse operating conditions. Comparative experiments further confirm its superiority, with HMMC achieving the lowest MAPE and highest R2 among benchmark models such as ARIMA, RF, BPNN, and LSTM. Moreover, the introduction of “range anxiety thresholds” and logistic-based behavioral modeling adds interpretability, linking user decision-making with observed charging demand.
Compared with other baseline models, the HMMC framework maintains a relatively modest computational burden. In the training phase, the workload grows linearly with the size of the historical dataset while also requiring additional processing for route decomposition and charging station allocation. During forecasting, the macroscopic level involves state updating and path allocation for each time step, whereas the microscopic level, if conducted at the vehicle scale, grows in proportion to the number of simulated vehicles. Despite these requirements, runtime efficiency is effectively ensured through vectorization and Monte Carlo parallelization. By contrast, LSTM models are computationally more expensive, as their training depends heavily on the number of iterations, network depth, hidden unit size, and time sequence length, often requiring hours of computation on standard hardware. Tree-based methods, such as CatBoost, also incur significant cost, as their complexity grows with dataset size, tree depth, and the number of trees. Taken together, these comparisons demonstrate that the HMMC framework achieves a favorable balance of computational efficiency, interpretability, and predictive accuracy, making it particularly suitable for large-scale highway charging demand applications.
Beyond transport systems, recent studies on enterprise energy consumption forecasting have shown the effectiveness of hybrid neural models [28] and gradient boosting approaches, such as CatBoost, achieving up to 92% accuracy [29], offering a complementary benchmark to our probabilistic HMMC framework. Despite these strengths, several limitations remain. First, the method relies heavily on detailed historical traffic, weather, and charging data, which may not be consistently available across regions, restricting large-scale applicability. Second, extreme weather scenarios in this study primarily account for heavy rain and snow; more disruptive events such as typhoons or earthquakes could induce discontinuous transitions not well represented by the current framework. Third, while range anxiety is incorporated, broader socioeconomic and psychological factors influencing user behavior remain simplified, limiting generalizability. Finally, the layered Monte Carlo simulation requires substantial computation, posing challenges for real-time applications or large-scale deployment.
In summary, the HMMC approach offers clear improvements in accuracy, adaptability, and interpretability, particularly in capturing peak load dynamics. However, its data dependence, simplified behavior modeling, limited extreme-event coverage, and computational cost highlight areas for further refinement. Future work should explore multi-source data fusion, richer behavioral representations, and efficient parallel computation to enhance the method’s scalability and practical impact.

5. Conclusions

This paper presents a systematic analysis of EV charging load characteristics in multi-energy systems and proposes a prediction model based on the HMMC method. By incorporating a hierarchical structure, the model effectively mitigates cross-dimensional interference among traffic flow, SOC, and user charging behavior. A spatiotemporal load prediction framework is established by deriving the traffic flow distribution via Markov chains and further modeling the joint distribution of the SOC and user behavior through inter-layer state transitions. The proposed model improves both the temporal stability and interpretability of charging load forecasting compared with conventional approaches. Benchmark studies against ARIMA, BPNN, RF, and LSTM confirm that the HMMC model achieves lower relative errors and higher accuracy in highway scenarios. These results demonstrate the effectiveness and reliability of the proposed method, highlighting its potential for practical deployment in multi-energy system planning and operation.
Future work will focus on extending the model’s applicability and adaptability. First, incorporating real-time traffic and weather data is expected to enhance prediction accuracy under dynamic conditions. Second, applying the model to urban distribution networks and integrating renewable energy uncertainty will broaden its practical relevance. Third, the scalability of HMMC will be investigated for large-scale EV penetration scenarios. Finally, coupling HMMC with advanced deep learning techniques may further improve its capability in capturing complex spatiotemporal patterns.

Author Contributions

Conceptualization and writing—original draft preparation, X.Z.; methodology, Y.Z.; supervision, M.W.; validation, B.L.; writing—review and editing, Y.L. All authors have read and agreed to the published version of the manuscript.

Funding

This research received no external funding.

Institutional Review Board Statement

Not applicable.

Informed Consent Statement

Not applicable.

Data Availability Statement

The raw data supporting the conclusions of this article will be made available by the authors on request.

Acknowledgments

The authors gratefully acknowledge He Gao of Shandong Zhengchen Technology Co., Ltd. for providing essential resources and relevant application scenarios that contributed to the completion of this study.

Conflicts of Interest

The authors declare no conflicts of interest.

Abbreviations

The following abbreviations are used in this manuscript:
HMMCHierarchical Markov Chain Monte Carlo
SOCState of Charge
MAPEMean Absolute Percentage Error
ARIMAAuto-Regressive Integrated Moving Average
EVElectric Vehicle
LSTMLong Short-Term Memory Network
BPNNBack-Propagation Neural Network
RFRandom Forest
ODOrigin–Destination

References

  1. Yang, X.; Yun, J.; Zhou, S.; Lie, T.T.; Han, J.; Xu, X.; Wang, Q.; Ge, Z. A spatiotemporal distribution prediction model for electric vehicles charging load in transportation power coupled network. Sci. Rep. 2025, 15, 4022. [Google Scholar] [CrossRef] [PubMed]
  2. Tang, M.; Guo, X.; Qiu, J.; Li, J.; An, B. Electric Vehicle Charging Load Demand Forecasting in Different Functional Areas of Cities with Weighted Measurement Fusion UKF Algorithm. Energies 2024, 17, 4505. [Google Scholar] [CrossRef]
  3. Feng, J.; Chang, X.; Fan, Y.; Luo, W. Electric Vehicle Charging Load Prediction Model Considering Traffic Conditions and Temperature. Processes 2023, 11, 2256. [Google Scholar] [CrossRef]
  4. Arias, M.B.; Kim, M.; Bae, S. Prediction of electric vehicle charging-power demand in realistic urban traffic networks. Appl. Energy 2017, 195, 738–753. [Google Scholar] [CrossRef]
  5. Rassaei, F.; Soh, W.-S.; Chua, K.-C. A Statistical Modelling and Analysis of Residential Electric Vehicles’ Charging Demand in Smart Grids. In Proceedings of the 2015 IEEE Power & Energy Society Innovative Smart Grid Technologies Conference (ISGT), Washington, DC, USA, 18–20 February 2015; pp. 1–5. [Google Scholar] [CrossRef]
  6. Iversen, E.B.; Morales, J.M.; Madsen, H. Optimal charging of an electric vehicle using a Markov decision process. Appl. Energy 2014, 123, 1–12. [Google Scholar] [CrossRef]
  7. Tang, D.; Wang, P. Probabilistic Modeling of Nodal Charging Demand Based on Spatial-Temporal Dynamics of Moving Electric Vehicles. IEEE Trans. Smart Grid 2016, 7, 627–636. [Google Scholar] [CrossRef]
  8. Bian, H.; Bing, S.; Ren, Q.; Li, C.; Zhang, Z.; Chen, J. Electric vehicle charging load forecasting based on user portrait and real-time traffic flow. Energy Rep. 2025, 13, 2316–2342. [Google Scholar] [CrossRef]
  9. Guo, Z.; Bian, H.; Zhou, C.; Ren, Q.; Gao, Y. An electric vehicle charging load prediction model for different functional areas based on multithreaded acceleration. J. Energy Storage 2023, 73, 108921. [Google Scholar] [CrossRef]
  10. Li, Y.; Jiang, T.; Shu, J.; Zheng, C.; Xie, P.; Luo, L.; Liu, H.; Hu, D.; Long, Y.; Xiong, S. Prediction of Spatiotemporal Distribution of Electric Vehicle Charging Load Based on User Behavior. In Proceedings of the 2024 International Conference on Artificial Intelligence and Power Systems (AIPS), Chengdu, China, 19–21 April 2024; pp. 368–371. [Google Scholar] [CrossRef]
  11. Ma, P.; Zhang, S.; Zhou, B.; Shao, W.; Li, H.; Ma, T.; Guo, D. Research on Location Planning of Battery Swap Stations for Operating Electric Vehicles. World Electr. Veh. J. 2025, 16, 332. [Google Scholar] [CrossRef]
  12. Sun, C.; Che, Y. Monte Carlo-based Prediction of Electric Vehicle Charging Load and Coupling Mechanisms of Multiple Information Sources. Int. J. Renew. Energy Res. 2025, 15, 42–55. [Google Scholar] [CrossRef]
  13. Wang, W.; Wang, X.; Xiang, C.; Wei, C.; Zhao, Y. Unscented Kalman Filter-Based Battery SOC Estimation and Peak Power Prediction Method for Power Distribution of Hybrid Electric Vehicles. IEEE Access 2018, 6, 35957–35965. [Google Scholar] [CrossRef]
  14. Li, S.; Xiong, H.; Chen, Y. DiffPLF: A conditional diffusion model for probabilistic forecasting of EV charging load. Electr. Power Syst. Res. 2024, 235, 110723. [Google Scholar] [CrossRef]
  15. Pan, Z.; Wang, J.; Liao, W.; Chen, H.; Yuan, D.; Zhu, W.; Fang, X.; Zhu, Z. Data-Driven EV Load Profiles Generation Using a Variational Auto-Encoder. Energies 2019, 12, 849. [Google Scholar] [CrossRef]
  16. Farhadi, P.; Moghaddas-Tafreshi, S.M.; Shahirinia, A. A comprehensive review on stochastic modeling of electric vehicle charging load demand regarding various uncertainties. Smart Sci. 2024, 12, 679–714. [Google Scholar] [CrossRef]
  17. Faridimehr, S.; Venkatachalam, S.; Chinnam, R.B. A Stochastic Programming Approach for Electric Vehicle Charging Network Design. IEEE Trans. Intell. Transp. Syst. 2019, 20, 1870–1882. [Google Scholar] [CrossRef]
  18. Boudina, R.; Wang, J.; Benbouzid, M.; Khoucha, F.; Boudour, M. Impact evaluation of large scale integration of electric vehicles on power grid. Front. Energy 2020, 14, 337–346. [Google Scholar] [CrossRef]
  19. Liu, D.; Shi, Z.; Ai, W.H. Modeling for micro traffic flow with the consideration of lateral vehicle’s influence. J. Adv. Transp. 2020, 2020, 8340283. [Google Scholar] [CrossRef]
  20. Wang, C.; Shang, Q.; Liu, K.; Zhang, W. Traffic congestion recognition based on convolutional neural networks in different scenarios. Eng. Appl. Artif. Intell. 2025, 148, 110372. [Google Scholar] [CrossRef]
  21. Zhang, W.; Yao, R.; Yuan, Y.; Du, X.; Wang, L.; Sun, F. A traffic-weather generative adversarial network for traffic flow prediction for road networks under bad weather. Eng. Appl. Artif. Intell. 2024, 137, 109125. [Google Scholar] [CrossRef]
  22. Oonsivilai, A.; Boribun, B.; Pao-la-or, P. Integration of Distributed Generation and Plug-in Electric Vehicles on Power Distribution System by Using Queuing Theory. Energies 2023, 16, 3146. [Google Scholar] [CrossRef]
  23. Li, Y.; Su, S.; Liu, B.; Yamashita, K.; Li, Y.; Du, L. Trajectory-driven planning of electric taxi charging stations based on cumulative prospect theory. Sustain. Cities Soc. 2022, 86, 104125. [Google Scholar] [CrossRef]
  24. Salmani, F.; Taheri, S.M.; Abadi, A. A Forward Variable Selection Method for Fuzzy Logistic Regression. Int. J. Fuzzy Syst. 2019, 21, 1259–1269. [Google Scholar] [CrossRef]
  25. Lecchini-Visintini, A.; Lygeros, J.; Maciejowski, J.M. Stochastic Optimization on Continuous Domains with Finite-Time Guarantees by Markov Chain Monte Carlo Methods. IEEE Trans. Autom. Control 2010, 55, 2858–2863. [Google Scholar] [CrossRef]
  26. Shen, H.; Wang, Z.; Zhou, X.; Lamantia, M.; Yang, K.; Chen, P.; Wang, J. Electric Vehicle Velocity and Energy Consumption Predictions Using Transformer and Markov-Chain Monte Carlo. IEEE Trans. Transp. Electrif. 2022, 8, 3836–3847. [Google Scholar] [CrossRef]
  27. Luo, W.; Zhao, Y. China Braces for Holiday Travel Surge. 29 September 2025. Available online: https://mobile.chinadaily.com.cn/cn/html5/2025-09/29/content_004_68d9a3e5ed50ccabe151a538.htm (accessed on 20 September 2025).
  28. Lai, C.; Wang, Y.; Fan, K.; Cai, Q.; Ye, Q.; Pang, H.; Wu, X. An improved forecasting model of short-term electric load of papermaking enterprises for production line optimization. Energy 2022, 245, 123225. [Google Scholar] [CrossRef]
  29. Morgoeva, A.D.; Morgoev, I.D.; Klyuev, R.V.; Gavrina, O.A. Forecasting of electric energy consumption by an industrial enterprise using machine learning methods. Bull. Tomsk. Polytech. Univ. Geo Assets Eng. 2022, 333, 115–125. [Google Scholar] [CrossRef]
Figure 1. Schematic diagram of road network structure.
Figure 1. Schematic diagram of road network structure.
Applsci 15 11094 g001
Figure 2. Charging load prediction results under different scenarios (workday, weekend, holiday, and extreme weather day).
Figure 2. Charging load prediction results under different scenarios (workday, weekend, holiday, and extreme weather day).
Applsci 15 11094 g002
Figure 3. Comparison of predicted charging load and actual load.
Figure 3. Comparison of predicted charging load and actual load.
Applsci 15 11094 g003
Figure 4. Comparison of different prediction methods.
Figure 4. Comparison of different prediction methods.
Applsci 15 11094 g004
Figure 5. Scenario-based charging load profiles of four service area stations.
Figure 5. Scenario-based charging load profiles of four service area stations.
Applsci 15 11094 g005
Figure 6. Traffic flow state transition probability.
Figure 6. Traffic flow state transition probability.
Applsci 15 11094 g006
Figure 7. Impact of vehicle SOC on charging probability.
Figure 7. Impact of vehicle SOC on charging probability.
Applsci 15 11094 g007
Figure 8. Effect of anxiety power on charging parameters.
Figure 8. Effect of anxiety power on charging parameters.
Applsci 15 11094 g008
Table 1. Annual distribution of typical scenarios based on time type.
Table 1. Annual distribution of typical scenarios based on time type.
Scenario TypeWeekdaysWeekendsHolidays
Days per year23510525
Table 2. Comparison of characteristics of different electric vehicle models.
Table 2. Comparison of characteristics of different electric vehicle models.
Car TypeCharging Power
(kW)
Power Consumption
(kWh/100 km)
Battery Capacity
(kWh)
Electric cars50~15012~1840~100
Electric SUV100~20020~2560~120
Electric heavy truck150~300100~300180~500
Note: Data obtained from [Energy consumption of full electric vehicles] (accessed on 20 September 2025, https://ev-database.org/cheatsheet/energy-consumption-electric-car) and processed by the authors.
Table 3. Comparison of prediction performance of different prediction methods.
Table 3. Comparison of prediction performance of different prediction methods.
MethodsMAPER2
MMC5.01%0.9958
ARIMA11.71%0.9805
RF10.61%0.9662
BPNN12.21%0.9695
LSTM6.25%0.9941
Disclaimer/Publisher’s Note: The statements, opinions and data contained in all publications are solely those of the individual author(s) and contributor(s) and not of MDPI and/or the editor(s). MDPI and/or the editor(s) disclaim responsibility for any injury to people or property resulting from any ideas, methods, instructions or products referred to in the content.

Share and Cite

MDPI and ACS Style

Zheng, X.; Zhu, Y.; Wang, M.; Lv, B.; Lv, Y. Hierarchical Markov Chain Monte Carlo Framework for Spatiotemporal EV Charging Load Forecasting. Appl. Sci. 2025, 15, 11094. https://doi.org/10.3390/app152011094

AMA Style

Zheng X, Zhu Y, Wang M, Lv B, Lv Y. Hierarchical Markov Chain Monte Carlo Framework for Spatiotemporal EV Charging Load Forecasting. Applied Sciences. 2025; 15(20):11094. https://doi.org/10.3390/app152011094

Chicago/Turabian Style

Zheng, Xuehan, Yalun Zhu, Ming Wang, Bo Lv, and Yisheng Lv. 2025. "Hierarchical Markov Chain Monte Carlo Framework for Spatiotemporal EV Charging Load Forecasting" Applied Sciences 15, no. 20: 11094. https://doi.org/10.3390/app152011094

APA Style

Zheng, X., Zhu, Y., Wang, M., Lv, B., & Lv, Y. (2025). Hierarchical Markov Chain Monte Carlo Framework for Spatiotemporal EV Charging Load Forecasting. Applied Sciences, 15(20), 11094. https://doi.org/10.3390/app152011094

Note that from the first issue of 2016, this journal uses article numbers instead of page numbers. See further details here.

Article Metrics

Back to TopTop