Next Article in Journal
A Robust Optimization Approach for the Multi-Period Strip Cutting Problem with Multi-Cutter Slitting Machines
Next Article in Special Issue
An Intelligent Process Planning Method for Shaft Parts Based on Multi-Graph Fusion: From Feature Recognition to Process Route Generation
Previous Article in Journal
Design of Multi-Task Parallel Model Based on Fuzzy Neural Networks and Joint Gradient Descent Algorithm
Previous Article in Special Issue
Analytical and Graphical Profiling of Thread-Milling Cutters for Forming Internal Threads
 
 
Font Type:
Arial Georgia Verdana
Font Size:
Aa Aa Aa
Line Spacing:
Column Width:
Background:
Article

Development of Customized Algorithms for the Semi-Automatic Generation of Gradient, Conformal Strut-Based Lattice Structures Using Rhino 8 and Grasshopper: Application and Flexural Testing

by
Sebastian Geyer
1,2,*,
Richard Giefing
2 and
Christian Hölzl
3,*
1
Institute of Material Science and Technology, Faculty of Mechanical and Industrial Engineering, TU Wien, Getreidemarkt 9, 1060 Wien, Austria
2
High Tech Manufacturing, Department of Engineering, University of Applied Sciences, Hochschule Campus Wien, Favoritenstraße 226, 1100 Wien, Austria
3
Civil Engineering and Construction Management, Department of Building and Design, University of Applied Sciences, Hochschule Campus Wien, Favoritenstraße 226, 1100 Wien, Austria
*
Authors to whom correspondence should be addressed.
Appl. Sci. 2025, 15(19), 10364; https://doi.org/10.3390/app151910364
Submission received: 1 September 2025 / Revised: 18 September 2025 / Accepted: 19 September 2025 / Published: 24 September 2025
(This article belongs to the Special Issue Computer-Aided Design in Mechanical Engineering)

Abstract

In recent years, significant advancements have been made in the field of design for additive manufacturing (DfAM). These advancements have focused on key aspects such as topology optimization (TO), generative design (GD), lattice structures, and AI-based algorithms. This paper presents a methodology for developing custom Grasshopper® algorithms to create strut-based, gradient, and conformal lattice structures. Two test geometries were devised and imported into Grasshopper®, and different lattice structures with varying settings, such as conformity, lattice topology, and strut diameter gradient and cell size gradient, were generated and manufactured. A series of experiments was conducted to assess the impact of input parameters on the formation of lattice structures, their performance in three-point bending tests, and their effect on functionality, applicability, and usability. The experimental investigation yielded clear findings regarding the usability and functionality of the proposed algorithm. However, the findings indicate that although the overall process is usable, improvements are required to streamline the algorithm in order to avoid geometry generation errors and to make it more user-friendly. This approach presents a low-cost, customizable alternative to commercial lattice generation tools, with direct integration in Rhino 8 and Grasshopper®.

1. Introduction

In a manner analogous to timber or steel truss construction, lattice and support structures are employed in AM to achieve the desired product properties. Support structures facilitate the fabrication of freely suspended, thin, or protruding features with minimal additional material input. Strut-based lattice structures are the typical components of these structures [1]. These elements are incorporated manually by the user or automatically by the relevant program during the component preparation process [2,3]. This method is designed to ensure the most stable and distortion-free production possible [4,5]. Following the manufacturing process, the porous design enables the user to either manually remove or machine away the supports. Processes such as RENA® HIRTISATION® employ specifically developed support structures that can be electro-chemically removed without causing damage to the part.
The implications for design freedom and form freedom of AM are significant factors in the development of suitable parametric CAD solutions [6]. These solutions employ design mechanisms such as topology optimization (TO) [7,8], generative design (GD) [9,10], and lattice structures [11,12,13]. The objective of implementing these mechanisms is to reduce weight, minimize the number of components in assemblies, and enhance the performance of the individual components. All of the aforementioned mechanisms require substantial computational capabilities. Lattice structures present a particularly challenging aspect in this regard [14,15,16]. Consequently, the current software tool landscape offers limited capabilities in assisting with the creation of complex lattice structures that incorporate varying conformity or gradients in cell size or strut diameter. Examples of such solutions include nTopology nTop [17], Altair® Sulis™ [18], Altair® Inspire™ [19], Carbon® Design Engine Pro [20], Autodesk Netfabb Ultimate [21], and Metafold [22]. However, these tools are costly, have steep learning curves, and offer limited control over conformal and gradient features, motivating the development of a custom Grasshopper-based solution.
In the context of Design for Additive Manufacturing (DfAM), the utilization of such structures is equally applicable to filling material into volumes of components or in the context of connecting two walls [23,24]. Determining the degree of filling is imperative for minimizing production time, material usage, and weight. The lattice structures generated in the component-volume are generally constant, frequently manifesting cubic base cells that remain consistent irrespective of the CAD-model at hand. The generation of these lattice structures is not based on the shape of the component itself; rather, it is based on external factors, such as the intended stiffness-to-weight ratio, favorable acoustic [25], dampening [26,27], or heat transfer characteristics [28].
Previously mentioned software tools are characterized by their advanced capabilities; however, they are not inherently accessible due to the complexity of their learning curves. Moreover, these tools frequently carry a substantial financial investment [15].
This contribution aims to present an innovative and readily accessible lattice design approach that utilizes the parametric CAD software Rhino 8 (Version 8 SR23, 8.23.25251.13001, 8 September 2025) and the visual programming editor plug-in Grasshopper. This approach is designed to facilitate the development of customized algorithms for the purpose of automatically filling imported CAD geometry with conformal gradient strut-based lattice structures. Apart from the desired input file, the user can choose from a variety of input commands such as voxel size, number of voxels, unit cell topology, conformal or non-conformal design, gradient or constant design, mesh quality and output file type.

2. Materials and Methods

The subsequent sections address the identification and acquisition of all necessary assets, including the requisite software tools and plugins. These sections will also encompass the development of the test series, the specification of the 3-point bending test setup, and the manufacturing of the test specimens.

2.1. Software and Hardware

The custom algorithms were developed in Grasshopper® [29], a visual programming plug-in available in the parametric CAD tool Rhino 8 [30]. Given the range of functions available in Grasshopper®, there are multiple approaches or options for developing an algorithm that can achieve the desired outcome. Ref. [31] proposes an algorithm for the corporation of Voronoi Lattices into CAD models. Other methods of designing custom lattice topologies are shown in refs. [32,33,34], while [35] showcases a novel approach with a novel type of base cell topology utilizing curved struts as well as pointing out the limitations of available software tools and Grasshopper-based open source algorithms.
In this particular instance, the majority of the functions from the Grasshopper® native library were utilized, with select key components being derived from the plugins Crystallon [36], Dendro [37], IntraLattice [38] and Pufferfish [39].

2.1.1. Crystallon

This plugin is an open-source Grasshopper® toolkit for creating lattice structures. Unlike plugins with independently programmed function blocks, Crystallon v2.0.1 offers editable clusters based on native Grasshopper® components that can be adapted to specific applications and needs by the user. Its modular structure allows for easy integration with other plugins and components. In this work, the components were used to create different cell types and divide geometry into a grid structure based on various input parameters and strut diameter modifications.

2.1.2. Dendro

This is a volumetric modeling plugin based on the OpenVDB library. Dendro v1.0.0. offers several ways to enclose points, curves and meshes as a volumetric data type so that various operations such as smoothing, offsets and unions can then be performed on these volumes. This makes it possible to quickly create mesh bodies with the desired settings and export them in STL format for AM. Certain components use all available processor cores through multithreading, which saves a lot of time in creating the volumes and converting them into a mesh body compared to other native Grasshopper® components or plugins, depending on the hardware used. In this work, the most diverse components for conversion, filtering and merging were used as the final step of lattice structure generation.

2.1.3. IntraLattice

This Grasshopper® plugin is used to generate fixed lattice structures within a 3D design space. Developed in 2015, IntraLattice 0.7.6 served as an open-source, extensible alternative to the commercial solutions available at the time for 3D modeling software for AM applications, a field that was growing rapidly. The plugin was a valuable research tool that served as a platform for breakthroughs in design and optimization. In this work, its components were used to create various unit cells, cell types, and mesh body analysis tools.

2.1.4. Pufferfish

Similarly to a pufferfish, the main focus of the included components of this plugin is enabling shape changes, such as fades, transitions, averages, transformations, and interpolations. The 330 available components in Pufferfish v3.0.0 primarily use parameters and factors as inputs to provide greater control over processes. There are also additional components that simplify common Grasshopper® operations and convert Rhino 8 functions into Grasshopper® function blocks. For this work, geometry-changing components such as “Shell polysurface”, but also support components such as “Is Surface Trimmed” were used.
As demonstrated in [15,16], the design of complex lattice structures necessitates substantial computational capabilities. The following hardware was used to compute all predefined lattice topologies for the two test series:
  • Processor: AMD Ryzen 9 5900X, 12C/24T, SC@5 GHz, MC@4.5 GHz
  • RAM: 64 GB (4x 16 GB Kit), DDR4-3600, CL16-18-18-38
  • Graphics: GeForce RTX 3060 OC, 12 GB GDDR6
  • HDD: Samsung SSD 980 PRO 2 TB, M.2
  • OS: Microsoft Windows 10 Professional (x64) Build 19045.3208
Two test geometries with varying complexity were defined in order to quantify the algorithm’s different setting capabilities. As illustrated in Figure 1a the geometry and primary dimensions of the test specimen “arch” are relatively uncomplicated. The test geometry comprises a basic, uniform, and symmetrical arch shape, exhibiting uniform thickness throughout the entire cross-section of the model.
The more complex dimensions of the test geometry “wing profile insert” are shown in Figure 1b. This model is part of a more complex assembly of a formula student race car’s rear wing assembly.

2.2. Test Series

Two test series were devised each with a different focus on both test components and the depth of the investigation:
  • Test series 1: Partial factorial test with test geometry arch
  • Test series 2: Open test with test geometry wing insert (use case Formula Student)
Different base cell topologies were used in the development of the algorithm and the formulation of the test specimens for the two test series. As illustrated in Figure 2a,b, the base cell topologies BCCXYZ and FCCXYZ were utilized in test series 1. A variant of the Diamond base cell topology (Figure 2c) is utilized among the two aforementioned topologies in test series 2.
Each variation, irrespective of its origin in the test series, was subjected to five iterations of production and subsequent testing. The arithmetic mean, median and confidence intervals were subsequently calculated to obtain meaningful numerical value.

2.2.1. Test Series 1

The parameters investigated exhibit varying degrees of influence on the component’s stability (arch and wing profile insert), enabling a good understanding of the parameter’s influence on component performance. However, the number and possible gradations of configurable and adjustable parameters that can be used to determine the geometry of the lattice structure and the resulting diversity of variants exceed all test capacities. Consequently, with the help of partial factorial design of experiments, a comprehensive framework was established, encompassing six core factors (A–F), each of which was meticulously evaluated across two distinct levels or settings:
  • A (base cell topology): In this series of tests, only BCCXYZ and FCCXYZ were utilized because these cell types are well documented in the literature [27,40,41].
  • B (conformity): This factor was instrumental in determining whether the structure conforms to the geometry’s surface(s) or not. The surfaces that the lattice structure follows are the upper and lower arch surfaces.
  • C (gradient cell size): This parameter was employed to delineate the continuity or gradation of the unit cell size in all principal directions. In principle, further subdivisions could be made based on the axis directions (X, Y, and Z). However, the same defined progression curve was always selected for reasons of simplification.
  • D (gradient strut diameter): This factor was employed to ascertain whether the diameter of the struts is uniform or gradually varying. In the case of gradually varying struts, the maximum deviation from the actual diameter was set at 0.2 mm in both the upward and downward directions. Therefore, the smallest value (0.8 mm or 1.22 mm) was designated as the minimum dimension, and the largest value (1.2 mm or 1.62 mm) entered in line E was designated as the maximum dimension. In the event that the bar diameter was uniform, the original value, which was entered in the middle in each case (1 mm or 1.42 mm), was utilized.
  • E (strut diameter, when gradient): This parameter served to dictate the selection of the lower or upper diameter range. The upper value is equivalent to twice the cross-sectional area of the lower value.
  • F (cell size relative to total volume of design space, when gradient): The average unit cell size, otherwise known as the unit cell volume, is specified as a percentage of the total volume of the design space (input CAD model) in order to ensure the comparability of different component sizes, as well as conformal and non-conformal lattices. The F factor was utilized as the means to control the aforementioned unit cell size. The division of the structure into X, Y, and Z axes was always set so that the calculated percentage value returned in the algorithm corresponds to 0.8 or 1.6%.
Table 1 presents a comprehensive list of these factors, along with their respective levels and the corresponding setting values.
In order to create uniform and comparable unit cell sizes and reasonably manufacturable test specimen, the number of cells and resulting struts that could be implemented for conforming and non-conforming structures for the respective percentage to be achieved was tested in advance. Table 2 presents the resulting values that were utilized for the structures. The mean percentage of correct responses was 0.793% for the lower level and 1.606% for the upper level.
Achieving optimal consistency and comparability in structural outcomes necessitated meticulous coordination and minimal deviation. This ensured that conformal and non-conformal structures could be reliably and validly compared. The strut diameter exerted a minor influence on this phenomenon, as the available design space experienced a reduction in proportion with larger cross-sections in comparison to the total volume. This was attributable to the corresponding strut radius of the outermost struts.
A full factorial test design with six factors and two levels would result in 26 = 64 different test components. Given the necessity of manufacturing and testing each component multiple times, this approach is not viable given the available resources. Consequently, a partial factorial test plan with six factors and two stages was selected, according to the scheme 2(6−2) = 16 distinct test components. The test design encompasses six factors and 16 distinct test components. As illustrated in Table 3, the classification of the lower (−) and upper (+) levels is also delineated. [42,43].
The experimental design has a resolution of IV and thus has the following properties according to Siebertz: “Haupteffekte sind mit Dreifachwechselwirkungen vermengt und Zweifachwechselwirkungen untereinander. Das Feld ist geeignet, um Haupteffekte sicher zu bestimmen, Zweifachwechselwirkungen lassen sich jedoch nicht eindeutig zuordnen” [The main effects are interwoven with triple interactions and double interactions with each other. The field is suitable for reliably determining main effects, but double interactions cannot be clearly assigned] [42].
Table 4 presents a comprehensive list of the 16 components and their respective configurations. The utilization of this table facilitates the precise creation of each component in accordance with the specified settings of the algorithm, enabled by the adaptable parameters.

2.2.2. Test Series 2

The test geometry “wing profile insert” was utilized in the open experiments category without the use of an extensive partial factorial experiment design and consisted of a real-world application in the form of a winglet insert for a race car. As illustrated in Figure 1b, the primary dimensions of the solid body (design space) of the winglet profile insert are presented. The distinct geometry configurations were devised by leveraging the insights derived from the initial test series. Given the potential variability in the optimization among different 3D designs and the dynamic nature of the factors in relation to initial tests, the possibility of identifying additional, potentially superior structural variants is possible.

2.3. Test Setup and Manufacturing

All test specimens, that were derived from the two test series and developed from the proposed Grasshopper® algorithm were manufactured out of PA2200 [44] using a Formiga P110 SLS (LPBF) machine by EOS GmbH (Krailling, Germany). The process parameter for the SLS process utilized was the standard “EOS” parameter with a layer thickness of 100 µm. The parts were subsequently processed using a blasting with the use of glass beads. Temperature and humidity conditions were not taken into account.
The load tests were carried out using 3-point bending tests because there is already ample work on tensile and compression tests of lattice structures [27,45,46]. The bending test is also ideal for investigating whether non-conformal or conformal and constant or gradient lattice structures can have a superior force/weight ratio. The 3-point bending tests were conducted using a Testmatic System Z5-X1200 (Nürnberg, Germany) materials testing machine.
The ISO 178:2019 standard was predominantly utilized for the design of the test procedure [47]. In order to ensure the reliability of testing on the test specimen, a specimen holder was developed that deviates from the standard. As illustrated in Figure 3a, the specimen holder and the compression fin affixed within the testing apparatus are depicted from a frontal perspective. Figure 3b presents a visual representation of the specimen holder and the pressure fin positioned at an angle from above, with a test specimen integrated into the assembly. For the lower contact surfaces, a small metal plate was placed between the specimen holder and the test specimen on the left and right. By reducing the friction between the specimen and the holder, the deformation space is not excessively restricted because the support surfaces can slip freely when a load is applied. To mitigate the potential for slippage or forward or backward deviation of the specimens in the X-direction, which could occur with specimens exhibiting imperfect symmetry, the specimens are positioned within a 1 mm deep, transverse groove along the y-axis.
The configuration of the testing machine was established through a series of preliminary tests conducted prior to the formal test series. Therefore, the subsequent settings shown in Table 5 were established for all test series as a compromise between data quality, the requisite test time, and the various specimens (arch, wing insert) and their specific properties.

3. Results

The next sections delineate the methodologies for identifying and obtaining all required assets, including the required software plugins, development of the algorithm, and testing and validation of the proposed test geometries (partial factorial tests as well as the open tests of both the arch and the wing insert). Additionally, the sections discuss the im-plications and limitations of the proposed algorithm as well as the used software plugins.

3.1. Algorithm

The fundamental principle guiding the algorithm’s design was to ensure its accessibility, even for users with no prior experience with Rhino 8 or Grasshopper®. Consequently, all components and functions necessary for the control of output were arranged in chronological order, with the more complex calculation clusters positioned subsequent to the components that should ideally be defined first, in order to achieve a reliable result. In the subsequent section, the algorithm’s excerpts and their respective outcomes are presented for several pivotal components and clusters. This approach aims to offer insight into the algorithm’s design structure.
The creation and integration of the unit cells and the lattice structure are based on the components of the Crystallon plugin. The plugin’s entire structure is predicated on the use of voxels, which are a spatial unit into which a single unit cell fits. In this context, a voxel serves as the representation of a unit cell within a three-dimensional grid.
The proposed algorithm is divided into eight steps, as illustrated in Figure 4:
  • The process initiates with the definition of the input CAD model as the design space, followed by
  • The subsequent subdivision of this model into voxels.
  • Following the selection of the unit cell topology and its properties conformity and gradients in cell size or strut diameter,
  • The unit cell is integrated into the previously defined voxels.
  • Following the implementation of optional adjustments and fine-tuning such as trimming, addition of material such as shells or closed surfaces, and text labeling,
  • The entirety of the lattice structure and its data set become available for the purpose of documentation.
  • Subsequently, the lattice structure can be meshed and output using the Dendro plugin,
  • Or output (baked) as a 3D model using the Grasshopper function “pipe”.
Voxel dimensions were defined via user-adjustable parameters. As illustrated in Figure 5a, the adjustable parameters for the number of divisions into voxels of the input CAD model in each principal direction are displayed. Furthermore, the number of surfaces to which the resulting lattice structure should conform is selected via the input menu. Due to the random numbering of surfaces in each imported CAD model by Rhino 8, users must additionally select the preferred surfaces in Grasshopper® with optical feedback from the Rhino 8 model view. The resulting conformal voxels are shown in Figure 5b, highlighting surfaces 1 and 2 of the input CAD model in the Rhino 8 model view.
Additionally, factors A to F are selected in Grasshopper®. As illustrated in Figure 5c, the setting parameters for factors A to D for test series 2 are clearly defined. Please note that factor E is directly dependent on the selected base cell topology (factor A) as well as on the selection of the strut diameter gradient (factor D). Please note that Factor F was not implemented in test series 2. Figure 5d illustrates the populated voxels of the input CAD model’s design space, represented by the struts of the resulting FCCXYZ lattice before the selected gradient strut thickness is added.
To facilitate a range of desirable configurations, including conformal or gradient lattice structures, the algorithm can adopt multiple paths at this stage in the algorithm. These elements are then integrated in accordance with the user’s designated selection.
In order to enable uniform gradients for the gradual variation in voxel dimensions, the user can adjust the respective distance between the corner points via the “Graph Mapper-component”. The input is invariably a sequence of numbers that delineates the distance between the corner points of the voxels. In the “Graph Mapper” components, this sequence of numbers undergoes a transformation according to the selected curve in the diagram, ensuring its mapping in the sequence of numbers. For example, a sinusoidal curve in the Graph Mapper changes voxel spacing along the x-axis from 5 mm at one end to 2 mm at the other.
Once the topology meets the user’s requirements, the final step involves correctly merging the individual 3D bodies and generating the mesh for export, thereby obtaining a part with a high-quality output design. Consequently, there are multiple variants in the algorithm to obtain the final output topology. The appropriate variant and the associated topology type are determined by the respective further processing steps. One of the potential methodologies enables the integration of components from the Dendro plugin.
These geometries undergo a series of processes, including trimming, export, and export verification. In the absence of errors attributable to defective bodies, the part can subsequently be saved as a file. In Figure 6a,c, the input geometry, arc, and wing profile are represented, respectively. In Figure 6b,d, the output models of the lattice structures arch and wing profile inserts are depicted, respectively.

3.2. 3-Point Bending Tests

The following subsections contain the results of the 3-point bending tests, which have been calculated and derived from the test evaluation. The findings presented herein enable the design of lattice structures based on empirical evidence, utilizing designated reference points and corresponding parameter settings. This development eliminates the necessity for conducting simulations and tests to a certain extent.

3.2.1. Test Series 1

The evaluation and results of the partial factorial test series are essential for understanding the individual influencing factors and their effect on component stability. In the process of engineering lattice structures, it is imperative to consider the factors and effects in accordance with the constituent geometry. This approach ensures the optimization of structural stability or weight reduction, thereby maximizing the structure’s potential. Table 6 shows the settings used for the 16 individual test specimens of test series 1.
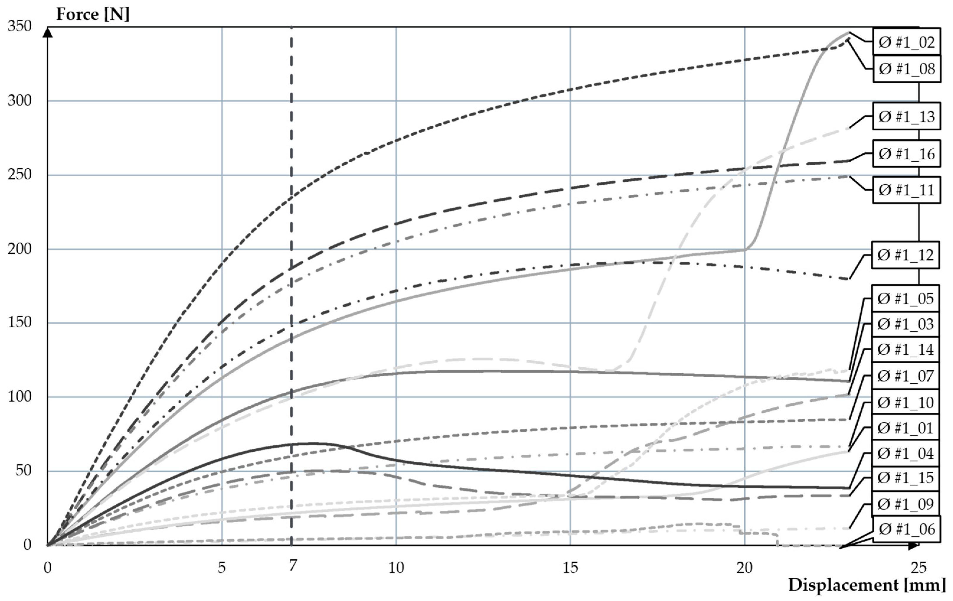
As illustrated in Figure 7, the mean values of the load curves for the 16 distinct geometries are presented in a force-displacement diagram. The component designated as “#1_08” demonstrated the capacity to withstand the maximum force, while the component identified as “#1_06” exhibited the least resistance. For the test parts designated as #1_02, #1_13, #1_05, #1_14, and #1_01, which are all composed of non-conforming structures, anomalies emerge in comparison to the other parts in the subsequent load curve. Subsequent to the initial ascent of the curve, the force abruptly escalates at a high rate in certain instances. The faulty force curve resulting from excessive deformation is not associated with the actual load-bearing capacity and is therefore ignored.
According to ISO 178:2019, the load tests should test up to a bending load εf of 5%. According to the formula stipulated in the standard, the maximum deformation for the arch geometry is estimated to be approximately 7 mm (see the vertical dotted line in Figure 7). When this is considered, all anomalies in the load curves are eliminated, rendering them non-decisive for further evaluation. Figure 8a,b show the different behavior of test specimens with different settings under load.
The specimen’s weak points, due to excessive deformation, cause the contact surfaces to bend upwards, and the middle section of the arch to jam in the specimen holder (Figure 8c). This results in incorrect, excessive force values, as the structure has already failed beforehand.
In order to effectively categorize the components according to their effectiveness in reducing weight while maintaining the same load-bearing capacity, a comparison with the full body is necessary. As illustrated in Figure 9, the respective weight and maximum force achieved by the 16 test parts are compared to the full body as a percentage. It is evident that the components failed to maintain a proportional balance between the reduction in maximum force and the decrease in weight. The component designated as #1_08 exhibited a weight percentage of 63.1% and a maximum force percentage of 46.1%, while component #1_16 demonstrated a weight percentage of 48.5% and a maximum force percentage of 33.9%. These components exhibited optimal performance.
It is imperative to consider factors beyond the fundamental load capacity, namely the force/weight ratio and the impact of individual parameter settings on this ratio. To obtain this, the force/weight ratio was calculated at the maximum force reached in each case. Then, the statistical evaluation of the mean values and effects at this maximum point was conducted. Table 7 presents a comprehensive list of the individual components, along with the respective level settings for the factors and the interactions. In the lower section, the respective mean values are calculated for the upper and lower levels. The subsequent section details the effect calculation, which is derived from the difference between the (+) and (−) mean values. Therefore, the effect signifies the magnitude and direction of the effect that a factor has when either the lower (−) or upper (+) level is integrated into a component. In the event that factor B is utilized as a point of reference, it can be deduced that the incorporation of the upper level (+) into a component, which serves as an indication of the structure’s conformity, results in an average enhancement of the force/weight ratio by 15.69 when compared to the utilization of the lower level (−) for the same component. Conversely, in the case of factor F, for example, smaller unit cells (−) provide an average force/weight ratio that is 6.79 times greater than if larger unit cells are used.
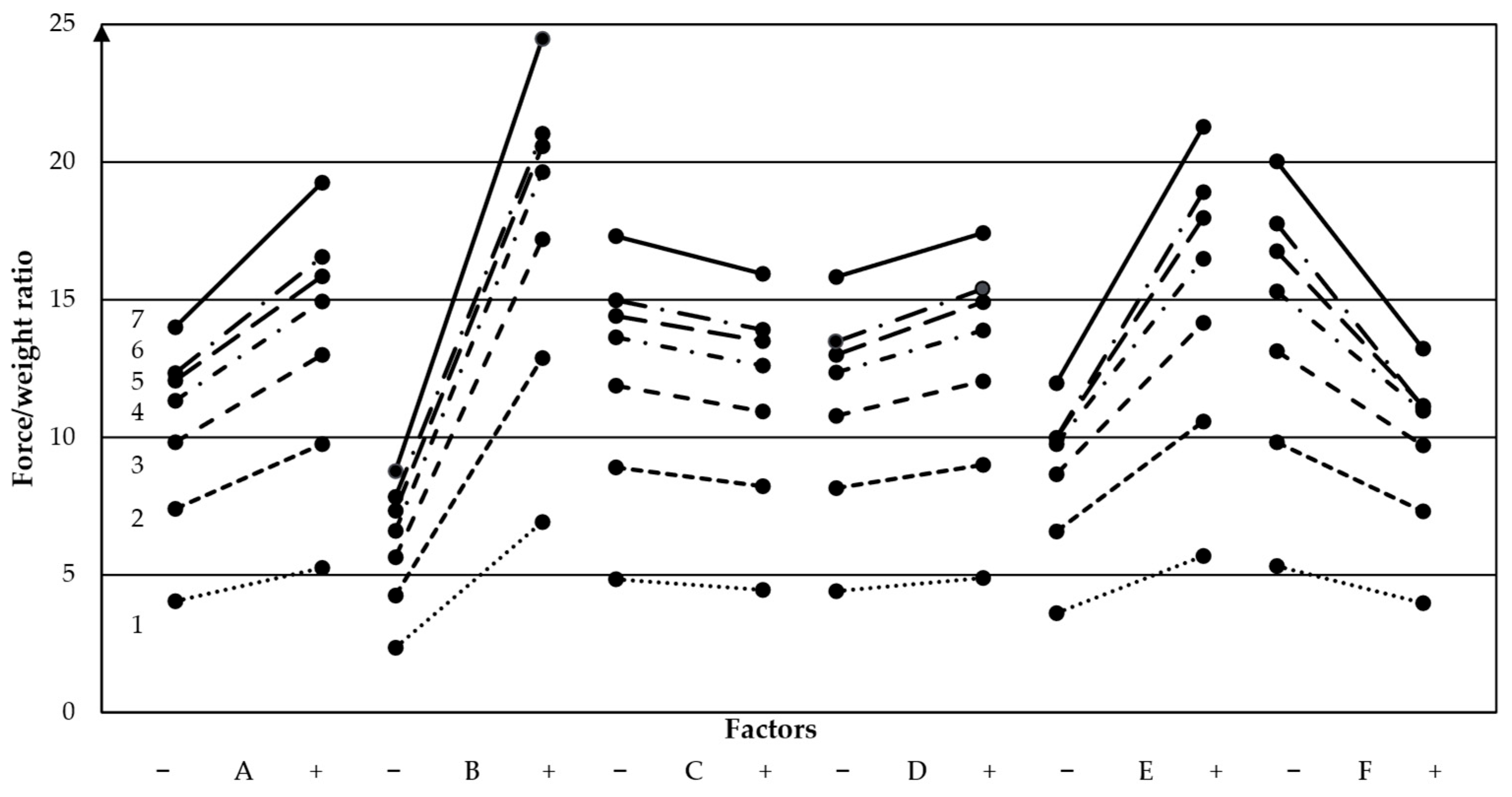
The observed range of interaction values extends from 3.85 for AB to 0 for AF. The precise effects of the respective interactions are not enumerated here due to the scope. The force/weight ratio was also determined at 2, 4, 6, 8, 10, and 12 mm so that the influence of the effects can also be seen at different load or, in this case, deformation values. The mean values of the individual stages and the resulting effects were also calculated from this. As illustrated in Figure 10, the resulting effect diagram of factors A–F is based on the force/weight ratio at deformations of 2, 4, 6, 8, 10, and 12 mm, as well as the maximum force. The lower mean value corresponds to the value determined for the negative step, while the upper mean value corresponds to the value determined for the positive step. The effect corresponds to the difference between these values and thus provides an indication of a positive or negative course, as well as the magnitude of the effect. It is evident that factors (C) and (D) exert no significant influence on the force/weight ratio in the context of these investigations. The situation is distinct for factors (A), (B), (E), and (F), some of which exhibit pronounced tendencies. The analysis indicates a favorable outcome in terms of the efficacy of FCCXYZ unit cells in comparison to BCCXYZ cells. The factor (B) demonstrates a clear enhancement in the load-bearing capacity of the components due to the presence of conformal lattice structures. The variation in the parameter (E) indicates that average strut diameters of 1.42 mm compared to 1 mm have a positive effect on component strength. The factor (F) indicates that smaller unit cells are preferable for stability over larger cells.
It is imperative to ascertain whether the observed effects emanate from the varied parameter settings or if they are merely a consequence of chance, resulting from extraneous influences. To this end, a normal probability plot can be utilized to ascertain whether the values in a data set are approximately normally distributed or not. Figure 11 displays the standard probability distribution of the primary effects and interaction effects. It is evident that the effects F, E, and B deviate significantly from a normal probability distribution or a random distribution. Consequently, these deviations can be attributed to the change in the factor. Conversely, the majority of the effects are in the positive range, indicating that the “steps/adjustments” have a greater positive effect on the force/weight ratio of the structures than the “- steps/adjustments.”

3.2.2. Test Series 2

The knowledge acquired from preceding tests was integrated into the development of the geometries of the wing profile inserts. Table 8 shows the settings used for the 6 individual test specimens of test series 2.
Consequently, it was feasible to enhance the structures in a preliminary iteration to such a degree that certain structures exhibited enhancements in the load tests (Figure 12a) in comparison to the manually optimized original component (Figure 12b).
As illustrated in Figure 13a, the weight and maximum force of the wing profile inserts during the bending test are expressed as a percentage of the solid body. A thorough examination reveals that none of the components exhibit a higher force/weight ratio in comparison to the full body (Ø #3_T1). For this scenario to be applicable, the gray bar on the right must exceed the black bar on the left. For the component (Ø #3_T4), which has conformal FCCXYZ unit cells with a continuous strut diameter with an average thickness of 1.42 mm, a ratio of almost 1:1 is achieved. It has been determined that, at 58.5% of the full body weight, 58% of the force could be absorbed. This would create a load-bearing alternative corresponding to the lighter weight.
As illustrated in Figure 13b, the weight and maximum force of the wing profile inserts during the bending test are represented as a percentage of the manually optimized and currently utilized component. It is imperative to underscore that component (Ø #3_T4) exhibited the capacity to absorb a 28% greater force compared to a manually optimized component (Ø #3_T2) that possessed an equivalent mass. In a similar manner, the component (Ø #3_T5), which exhibited 86% of the weight, demonstrated the capacity to absorb 28% more force compared to the manually optimized component (Ø #3_T2). This outcome underscores the efficacy of integrating lattice structures within existing components, a concept that holds considerable promise for further refinement through additional optimization of the structural design.

4. Discussion

A thorough examination of the advantages, disadvantages, and limitations of Rhino 8 and Grasshopper®, which became evident during the development, implementation, and optimization of the algorithm, as well as a comparison of the newly developed algorithm with existing programs and approaches, is essential to ascertain the novelty and added value of the present study’s findings.

4.1. Advantages of Rhino 8 and Grasshopper®

The design possibilities are extensive: The visual programming paradigm is known for being flexible and simple. This makes it possible to implement a wide range of operations. The wide variety of components available allows for easy changes to the lattice parameters. It is thought that users who already know the basics of how to use the system will be able to create or edit data in the right way, although there might be a few small problems along the way.
It has been demonstrated that there are numerous paths that can lead to the same outcome. This dynamic process is a continuous source of novel concepts for the development, adaptation, and optimization of specific functions for various applications.
The software offers a multitude of plugins and extensions, providing users with a wide range of customization options, thereby resulting in a vast array of functional capabilities. The subsequent evolution and incorporation of novel functionalities is dependent not only on the efforts of the developers, but also on the proactive engagement and contribution of the user (open source) community.
A significant amount of literature is available on the subject. The wealth of online resources, including explanatory videos and active forums, ensures that users can acquire the necessary knowledge without reliance on external courses or product support. The diversity of existing application examples also serves as a source of inspiration for one’s own implementations, thereby ensuring that the range of tested algorithms and the collective knowledge of the community are in a state of perpetual growth.
The software is characterized by its ability to function seamlessly with a wide array of file formats. The import and export of geometries is not confined to a limited number of file types; rather, it offers a wide range of options that cater to diverse application areas. Consequently, there is no requirement for conversions, which often entail the loss of information. The exportation of STL or STEP files, for instance, is a swift and straightforward process.
With a maximum cost of around EUR 1000 for a permanent license, Rhino 8 and Grasshopper® are competitively priced compared to CAD software on the market, which frequently have much higher price points. There are also more affordable options available for students and individuals pursuing training.

4.2. Disadvantages of Rhino 8 and Grasshopper®

The system’s capacity for multithreading is limited. The components in Grasshopper use one CPU core. Additionally, components and function blocks connected in series can only be calculated sequentially. Consequently, the utilization of sophisticated algorithms can result in extended calculation times, during which the program becomes unresponsive, thereby compromising the user experience.
The creation of mesh bodies and “meshes” can lead to a very high RAM requirement for Grasshopper if the level of detail is set too high. Given that Rhino 7 and Grasshopper do not have very high minimum hardware requirements, 16 GB of RAM can quickly become scarce.
In some cases, the reason for a system’s functionality or failure can be unclear, particularly when specific parameters have been altered. It is also imperative to exercise caution when combining certain components and the data required by some modules as inputs, ensuring that they do not result in an endless calculation loop.
At sharp corners and edges, notch effects can lead to load peaks, which should therefore be avoided in order not to weaken the structure. However, achieving smooth transitions between individual struts or at junctions can require significant effort or may not be feasible with Grasshopper. While the native Grasshopper feature “Multipipe” provides gradual transitions, it is not fully compatible with gradient strut diameters and gradient cell sizes.
The upper limit of 3D bodies or geometry elements that can be used sensibly with the PC configuration used in this study is approximately 3.000 individual struts. This corresponds to approximately 500 voxels, which may not be sufficient for larger bodies that are to be provided with small unit cells.

4.3. Comparison with Other Software Tools

As previously shown in refs. [15,16], the range of software solutions designed for the creation of 3D CAD models with incorporated lattice structures for AM is now extensive. nTopology’s nTop [17] is based on unique software elements that make it possible to exploit the full potential of AM through innovative component design. This makes the software particularly suitable for TO and lattice structure generation. The workflow of the algorithm developed in the course of this work is very similar, in the sense that parts can be imported and lattice structures can be integrated in further steps.
In nTop the processes do not have to be created anew for each design or each component, but function blocks that have been inserted and adapted once can be reused. This approach ensures significant time efficiency by integrating the same operations and associated structures into different parts. The selection of ready-made function blocks, with a variety of setting options, offers easy access to component optimization, which also allows very detailed and specific requests. In contrast to the Grasshopper® algorithm, which was developed from the ground up and now only requires parameter setting, the shown approach involves leveraging existing functions.
In nTop gradients can be embedded in components in a number of ways, making it easier for the user to implement them. For instance, it is possible to insert an image with a grayscale value corresponding to the gradient into the background. This image can then be used as a reference value for adjusting the structure. The program does not offer any simple conversion options for conformal structures. The scope of geometry optimization is defined by the program’s functional capabilities and cannot be extended by adding or creating new components, as is possible with Grasshopper®.
Autodesk® Fusion 360 [48], for instance, provides straightforward access to lattice structures for users familiar with the Autodesk® ecosystem. In contrast, Autodesk® Netfabb [21] offers a more in-depth exploration of the realm of gradient lattice structure design.
Altair® Sulis™ 1.12 [18] is a good choice for users looking to enter the field of lattice structures due to its straightforward and user-friendly interface, along with its capacity to swiftly generate satisfactory results in structural integration within a matter of minutes. More complex sequences and combinations can also be implemented with a more advanced understanding of the program.
Carbon® Design Engine Pro [20] is regarded as one of the most advanced tools available on the contemporary market for designing lattice structures. As demonstrated in previous publications, the software tool has the capacity to integrate diverse strut-based lattice structures within a single CAD design space. These structures encompass varied relative density values, distinct gradient values (both cell size and strut diameter), and different conformity levels. The workflow is readily comprehensible and provides effective visual feedback. Furthermore, it enables the incorporation of sensor data, including pressure values measured in millibar, thus providing a multifaceted approach to data integration. The software functions within a browser window on a cloud service, thereby ensuring independence from the computational capabilities of the user’s personal hardware.

4.4. Comparison to Prior Research

The investigation of the designed test specimen and the subsequent testing showed typical limitations as well as desirable outcomes when comparing with prior research on this matter. This is particularly relevant when investigating functionally graded lattice structures. Preliminary investigations indicate that for applications requiring high stiffness, strength, or energy absorption (e.g., protective structures, crash absorption, medical implants), it is advantageous to use a smaller unit cell size and sufficiently large strut diameter [49]. However, it is essential to maintain a balance with the manufacturability of the designed structures. If weight is a limiting factor or if material costs are significant, it is essential to maintain strut thickness at a minimum while ensuring the integrity of the design to prevent local instabilities [50]. Functionally graded lattice structures have the potential to meet different requirements within a single component. These structures can be designed with high density in areas where loads are high and with thinner areas where weight can be saved. It is essential to ensure that transitions are as smooth as possible to avoid stress peaks [51]. Manufacturing technology and parameters are critical, and discrepancies often arise between planned values (strut thickness, cell size) and manufactured values [52].

5. Conclusions

This work comprised two major tasks. The initial step involved the creation and implementation of algorithms using Rhino 8 and Grasshopper®. These algorithms have the capacity to semi-automatically integrate lattice structures into chosen 3D designs. The subsequent step entailed the determination of the effects of the individual adjustable parameters on both the algorithms as well as the output lattice designs. The implementation of both of these tasks was successful, as thoroughly delineated in Section 3. The respective conclusions and a general overview and outlook are summarized in the following sections.

5.1. Algorithms

Following a period of familiarization and the implementation of the aforementioned plugins, the comprehensive array of Grasshopper® functions could be utilized to address a wide range of settings, in order to meet user expectations. The resulting algorithms enable the provision of lattice structures tailored to individual preferences. The algorithms function reliably and have been tested with a variety of input 3D models. The quality of the output structures can be adapted accordingly for AM production, and the ability to support a large number of file formats enables free further processing. The tailored algorithms present an alternative solution to existing programs on the market, offering a customizable and expandable range of functions that is not readily available in any other design program today [15,16,53].
Section 4 enumerates the potential extensions to the proposed algorithms and the respective advantages and disadvantages of the Grasshopper® environment. Another potential avenue for exploration pertains to the cross-section geometry of the struts. To illustrate, the implementation of oval struts could facilitate the realization of specific component properties for anisotropic loads and bodies. The implementation of smoothed and adjustable transitions between the individual struts at the crossing points has the potential to enhance the load-bearing capacity of the structures while maintaining a negligible increase in weight.
Furthermore, the proposed algorithms could be made available to the public upon request, which would serve to further enhance performance and user-friendliness.

5.2. 3-Point Bending Tests

The experimental tests and subsequent evaluation of the results provide a clear illustration of the behavior exhibited by the various lattice structures and the respective advantages and disadvantages of the parameters. The failure patterns identified are consistent with the load results. It was demonstrated that, in specific applications, the implementation of conformal lattice structures can yield superior outcomes compared to conventional methods such as increasing strut thickness or reducing unit cell size.
Due to the limited scope of the investigation, it is possible that certain aspects and factors do not fully reflect reality and thus their magnitude. Due to the two-dimensional experimental design, the effects are always linear. However, it is probable that the factors E or F in particular are not linear. To investigate this issue in greater depth, it would be necessary to conduct measurements at multiple stages. A meticulous analysis and representation of all interactions are imperative to draw conclusions about the mutual influence of the factors. The substantial effort required, particularly in the context of experimental designs with numerous parameters, generates the necessary content for an independent study.
The utilization of anisotropic unit cells, exemplified by the FCCZ cell, which were also investigated in refs. [54,55,56,57], in accordance with the direction of force holds promise for enhancing the potential for further weight reduction while preserving stability. In addition to the material savings, structures with a superior force-to-weight ratio compared to the corresponding solid body would likely be feasible.
The test subject’s small component sizes and the subsequent formation of exceedingly thin struts contribute to the part’s remarkable flexibility and “softness.” This complicates the distinction between elastic and plastic deformation, and tests rarely result in complete failure, i.e., breakage. This characteristic renders it advantageous when the necessity is for an easily deformable structure or a flexible component. However, it is not useful if the component is required to assume a rigid role. The tests themselves, as well as the evaluation, were also made more difficult because the components easily pushed away or “gave way.” It is posited that the implementation of a test force at a reduced velocity could mitigate the adverse effects, thereby facilitating the acquisition of more precise measurement outcomes. However, this approach entails a substantial increase in the time required for the tests, a circumstance that was not feasible over the course of this work.

Author Contributions

Conceptualization, S.G., R.G. and C.H.; methodology, S.G. and R.G.; investigation, S.G. and R.G.; data curation, S.G., R.G. and C.H.; writing, S.G. and R.G.; visualization, S.G. and R.G.; supervision, C.H. All authors have read and agreed to the published version of the manuscript.

Funding

The research leading to these results was partly funded under the cooperative doctoral program “Digiphot” between Hochschule Campus Wien and TU Wien. Open Access Funding by TU Wien.

Institutional Review Board Statement

Not applicable.

Informed Consent Statement

Not applicable.

Data Availability Statement

The raw data supporting the conclusions of this article will be made available by the authors on request.

Acknowledgments

We would like to express our gratitude to David Nechi for his assistance with the manufacturing and post-processing of the SLS components, which were built by our EOS Formiga P110. I would like to thank Jürgen Stampfl for the supervision of this work and for the supervision of my dissertation at TU Wien. The authors acknowledge TU Wien Bibliothek for financial support and Open Access Funding by TU Wien.

Conflicts of Interest

The authors declare no conflicts of interest.

Correction Statement

This article has been republished with a minor correction to the reference 34. This change does not affect the scientific content of the article.

References

  1. Griffiths, L. Tctmagazine. Available online: https://www.tctmagazine.com/additive-manufacturing-3d-printing-news/materialisee-%20stage-support-generation-for-metal-3d-printing/ (accessed on 18 April 2025).
  2. Dimopoulos, A.; Salimi, M.; Gan, T.-H.; Chatzakos, P. Support Structures Optimisation for High-Quality Metal Additive Manufacturing with Laser Powder Bed Fusion: A Numerical Simulation Study. Materials 2023, 16, 7164. [Google Scholar] [CrossRef]
  3. Stanciu Birlescu, A.; Balc, N. Computational Model for Tree-like Fractals Used as Internal Structures for Additive Manufacturing Parts. Appl. Sci. 2023, 13, 11187. [Google Scholar] [CrossRef]
  4. Subedi, S.C.; Shahba, A.; Thevamaran, M.; Thoma, D.J.; Suresh, K. Towards the optimal design of support structures for laser powder bed fusion-based metal additive manufacturing via thermal equivalent static loads. Addit. Manuf. 2022, 57, 102956. [Google Scholar] [CrossRef]
  5. Didier, P.; Le Coz, G.; Robin, G.; Lohmuller, P.; Piotrowski, B.; Moufki, A.; Laheurte, P. Consideration of SLM additive manufacturing supports on the stability of flexible structures in finish milling. Manuf. Process. 2021, 62, 213. [Google Scholar] [CrossRef]
  6. Egan, P.F. Design for Additive Manufacturing: Recent Innovations and Future Directions. Designs 2023, 7, 83. [Google Scholar] [CrossRef]
  7. Stiefelbauer, A. Application of Biomimetics and Computational Structure Optimization Process for Product Development-Using the Example of an Additive Manufactured Skibinding. Master’s Thesis, University of Applied Sciences Vienna-Hochschule Campus Wien. Available online: https://pub.hcw.ac.at/obvfcwmetaonly/content/titleinfo/6612994 (accessed on 22 July 2025).
  8. Tyflopoulos, E.; Flem, D.T.; Steinert, M.; Olsen, A. State of the Art of Generative Design and Topology Optimization and Potential Research Needs. NordDesign. 2018. Available online: http://hdl.handle.net/11250/2586059 (accessed on 12 September 2025).
  9. General Motors Seat Clamp. Available online: https://www.sculpteo.com/de/3d-lernzentrum/erstellung-einer-druckbaren-3d-datei/generatives-design/ (accessed on 18 July 2025).
  10. Szabó, K.; Hegedűs, G. Brief overview of generative design support software. Des. Mach. Struct. 2020, 10, 123. [Google Scholar] [CrossRef]
  11. Panesar, A.; Abdi, M.; Hickman, D.; Ashcroft, I. Strategies for functionally graded lattice structures derived using topology optimisation for Additive Manufacturing. Addit. Manuf. 2018, 19, 81–94. [Google Scholar] [CrossRef]
  12. Suzuki, A.; Nakatani, H.; Nakagawa, S.; Kobashi, M.; Tsuji, Y. Architected materials informatics: Construction and application to cellular-structured heat sink optimization. Acta Mater. 2025, 283, 120557. [Google Scholar] [CrossRef]
  13. Korshunova, N.; Alaimo, G.; Hosseini, S.B.; Carraturo, M.; Reali, A.; Niiranen, J.; Auricchio, F.; Rank, E.; Kollmannsberger, S. Bending behavior of octet-truss lattice structures: Modelling options, numerical characterization and experimental validation. Mater. Des. 2021, 205, 109693. [Google Scholar] [CrossRef]
  14. Majari, P.; Olvera-Trejo, D.; Estrada-Díaz, J.A.; Elías-Zúñiga, A.; Martinez-Romero, O.; Ramírez-Herrera, C.A.; Perales-Martínez, I.A. Enhanced Lightweight Structures Through Brachistochrone-Inspired Lattice Design. Polymers 2025, 17, 654. [Google Scholar] [CrossRef]
  15. Geyer, S.; Hölzl, C. Comparison of CAD Software for Designing Cellular Structures for Additive Manufacturing. Appl. Sci. 2024, 14, 3306. [Google Scholar] [CrossRef]
  16. Geyer, S.; Schwemmer, J.; Hölzl, C. Development and Evaluation of Customized Bike Saddle Pads Using Innovative Design for AM Approaches and Suitable Additive Manufacturing Processes. Appl. Sci. 2025, 15, 472. [Google Scholar] [CrossRef]
  17. nTopology, Inc. nTop. Available online: https://www.ntop.com/ (accessed on 8 July 2025).
  18. Altair Engineering Inc. Sulis. Available online: https://www.altair.com/sulis/ (accessed on 8 July 2025).
  19. Altair Engineering Inc. Inspire. Available online: https://altair.com/inspire/ (accessed on 8 July 2025).
  20. Carbon Inc. Design Engine Pro. Available online: https://www.carbon3d.com/products/carbon-design-engine (accessed on 8 July 2025).
  21. Autodesk Netfabb Ultimate. Available online: https://www.autodesk.com/de/products/netfabb/overview?plc=F360NFP&term=1-YEAR&support=ADVANCED&quantity=1&tab=subscription (accessed on 8 July 2025).
  22. Metafold 3D. Metafold. Available online: https://www.metafold3d.com/ (accessed on 8 July 2025).
  23. Shields, G. All3DP. Available online: https://all3dp.com/1/3d-printing-lattice-structures-the-ultimate-guide/ (accessed on 19 April 2024).
  24. Boschetto, A.; Bottini, L.; Macera, L.; Vatanparast, S. Additive Manufacturing for Lightweighting Satellite Platform. Appl. Sci. 2023, 13, 2809. [Google Scholar] [CrossRef]
  25. Suárez, L.; Del Mar Espinosa, M. Assessment on the use of additive manufacturing technologies for acoustic applications. Int. J. Adv. Manuf. Technol. 2020, 109, 2691. [Google Scholar] [CrossRef]
  26. Dong, G.; Tessier, D.; Zhao, Y.F. Design of Shoe Soles Using Lattice Structures Fabricated by Additive Manufacturing. Proc. Des. Soc. Int. Conf. Eng. Des. 2019, 1, 719. [Google Scholar] [CrossRef]
  27. Harish, A.; Alsaleh, N.A.; Ahmadein, M.; Elfar, A.A.; Djuansjah, J.; Hassanin, H.; El-Sayed, M.A.; Essa, K. Designing Lightweight 3D-Printable Bioinspired Structures for Enhanced Compression and Energy Absorption Properties. Polymers 2024, 16, 729. [Google Scholar] [CrossRef] [PubMed]
  28. Chen, L.; Zhang, R.; Chu, X.; Liu, H. Multiscale Design of Graded Stochastic Cellular Structures for the Heat Transfer Problem. Appl. Sci. 2023, 13, 4409. [Google Scholar] [CrossRef]
  29. Grasshopper 3D, Grasshopper. Available online: https://www.grasshopper3d.com/ (accessed on 8 July 2025).
  30. Robert McNeel & Associates, Rhino 7. Available online: https://www.rhino3d.com/ (accessed on 8 July 2025).
  31. Efstathiadis, A.; Symeonidou, I.; Tsongas, K.; Tzimtzimis, E.K.; Tzetzis, D. Parametric Design and Mechanical Characterization of 3D-Printed PLA Composite Biomimetic Voronoi Lattices Inspired by the Stereom of Sea Urchins. Compos. Sci. 2023, 7, 3. [Google Scholar] [CrossRef]
  32. Sasagawa, T.; Nimura, N.; Tanaka, M. Flexible lattice structure using curved struts based on body-centered cubic structure. Addit. Manuf. 2025, 103, 104746. [Google Scholar] [CrossRef]
  33. Ferreiraa, K.; Anwera, N.; Mehdi-Souzani, C. Characterization of L-PBF lattice structures geometric defects. Procedia CIRP 100 2021, 100, 846–851. [Google Scholar] [CrossRef]
  34. Soldo, M. A Newly Modeling Procedure for Different Morphological Distributions of Unit Cells in Lattice Structure with Constant Relative Density. Int. J. Innov. Solut. Eng. 2025, 1, 25. [Google Scholar] [CrossRef]
  35. Inoma, A.; Ibhadode, O. A Novel Dual Curved Cubic (DCC) structure with improved compressive strength. Int. J. Mech. Sci. 2025, 294, 110186. [Google Scholar] [CrossRef]
  36. Porterfield, A. Crystallon. Available online: https://www.food4rhino.com/en/app/crystallon?page=2&lang=de#commentsSection (accessed on 8 July 2025).
  37. EcrLabs, Dendro. Available online: https://www.ecrlabs.com/dendro/ (accessed on 8 July 2025).
  38. Kurtz, A. Intralattice. Available online: http://www.intralattice.com/ (accessed on 8 July 2025).
  39. Pryor, M. Pufferfish. Available online: https://www.grasshopper3d.com/group/pufferfish (accessed on 8 July 2025).
  40. Maconachie, T.; Leary, M.; Lozanovski, B.; Zhang, X.; Qian, M.; Faruque, O.; Brandt, M. SLM lattice structures: Properties, performance, applications and challenges. Mater. Des. 2019, 183, 108137. [Google Scholar] [CrossRef]
  41. Jaroš, J.; Vaverka, O.; Senck, S.; Koutný, D. Influence of Process Energy on the Formation of Imperfections in Body-Centered Cubic Cells with Struts in the Vertical Orientation Produced by Laser Powder Bed Fusion from the Magnesium Alloy WE43. Micromachines 2024, 15, 278. [Google Scholar] [CrossRef] [PubMed]
  42. Siebertz, K.; Van Bebber, D.; Hochkirchen, T. Statistische Versuchsplanung; Springer: Berlin/Heidelberg, Germany, 2017. [Google Scholar] [CrossRef]
  43. Montgomery, D.C. Design and Analysis of Experiments; John Wiley & Sons, Inc.: Hoboken, NJ, USA, 2013; Volume 8. [Google Scholar]
  44. EOS GmbH. MDS EOS PA2200. Available online: https://www.eos.info/polymer-solutions/polymer-materials/data-sheets/mds-pa-2200 (accessed on 4 July 2025).
  45. Decker, T.; Kedziora, S. Optimizing the Thickness of Functionally Graded Lattice Structures for High-Performance Energy Absorption: A Case Study Based on a Bicycle Helmet. Appl. Sci. 2024, 14, 2788. [Google Scholar] [CrossRef]
  46. Papazoglou, D.P.; NeidhardDoll, A.T.; Pinnell, M.F.; Erdahl, D.S.; Osborn, T.H. Compression and Tensile Testing of L-PBF Ti-6Al-4V Lattice Structures with Biomimetic Porosities and Strut Geometries for Orthopedic Implants. Metals 2024, 14, 232. [Google Scholar] [CrossRef]
  47. ISO 178:2019; Plastics—Determination of Flexural Properties. Austrian Standards International: Vienna, Austria, 2025.
  48. Autodesk Inc. Fusion 360. Available online: https://www.autodesk.com/products/fusion-360/overview?term=1-YEAR&tab=subscription. (accessed on 8 July 2025).
  49. Mostafa, K.G.; Momesso, G.A.; Li, X.; Nobes, D.S.; Qureshi, A.J. Dual Graded Lattice Structures: Generation Framework and Mechanical Properties Characterization. Polymers 2021, 13, 1528. [Google Scholar] [CrossRef]
  50. Yang, L.; Han, C.; Wu, H.; Hao, L.; Wei, Q.; Yan, C.; Shi, Y. Insights into unit cell size effect on mechanical responses and energy absorption capability of titanium graded porous structures manufactured by laser powder bed fusion. J. Mech. Behav. Biomed. Mater. 2020, 109, 103843. [Google Scholar] [CrossRef]
  51. Li, Y.; Jiang, D.; Zhao, R.; Wang, X.; Wang, L.; Zhang, L.-C. High Mechanical Performance of Lattice Structures Fabricated by Additive Manufacturing. Metals 2024, 14, 1165. [Google Scholar] [CrossRef]
  52. Di Prima, M.; Van Belleghem, S.; Badhe, Y.; Snodderly, K.; Porter, D.; Burchi, A.; Gilmour, L. Build parameter influence on strut thickness and mechanical performance in additively manufactured titanium lattice structures. J. Mech. Behav. Biomed. Mater. 2024, 151, 106369. [Google Scholar] [CrossRef]
  53. Nechi, D. Evaluation of Different Software Solutions with Regard to the Generation of Lattice Structures for Additively Manufactured Components. Master’s Thesis, University of Applied Sciences Vienna-Hochschule Campus Wien. Available online: https://resolver.obvsg.at/urn:nbn:at:at-fhcw:1-104773 (accessed on 22 July 2025).
  54. Babacan, N.; Şeremet, H. Investigation of the load-bearing capacity of Co-Cr Lattice Structures fabricated by selective laser melting. Int. J. 3D Print. Technol. Digit. Ind. 2022, 6, 286. [Google Scholar] [CrossRef]
  55. Distefano, F.; Pasta, S.; Epasto, G. Titanium Lattice Structures Produced via Additive Manufacturing for a Bone Scaffold: A Review. J. Funct. Biomater. 2023, 14, 125. [Google Scholar] [CrossRef] [PubMed]
  56. Mantovani, S.; Giacalone, M.; Merulla, A.; Bassoli, E.; Defanti, S. Effective Mechanical Properties of AlSi7Mg Additively Manufactured Cubic Lattice Structures. 3D Print. Addit. Manuf. 2022, 9, 326–336. [Google Scholar] [CrossRef]
  57. Noronha, J.; Leary, M.; Brandt, M.; Qian, M. AlSi10Mg hollow-strut lattice metamaterials by laser powder bed fusion. Mater. Adv. 2024, 5, 3751. [Google Scholar] [CrossRef]
Figure 1. Primary dimensions of, test geometry “arch” (a) and “wing profile insert” (b).
Figure 1. Primary dimensions of, test geometry “arch” (a) and “wing profile insert” (b).
Applsci 15 10364 g001
Figure 2. Base cell topologies used in both the formulation of the algorithm and the subsequent specimens design, (a) BZZXYZ, (b) FCCXYC, (c) Diamond.
Figure 2. Base cell topologies used in both the formulation of the algorithm and the subsequent specimens design, (a) BZZXYZ, (b) FCCXYC, (c) Diamond.
Applsci 15 10364 g002
Figure 3. 3-point bending test setup, (a) sample holder and pressure fin clamped in machine, (b) test specimen on sample holder.
Figure 3. 3-point bending test setup, (a) sample holder and pressure fin clamped in machine, (b) test specimen on sample holder.
Applsci 15 10364 g003
Figure 4. Process description of the proposed algorithm.
Figure 4. Process description of the proposed algorithm.
Applsci 15 10364 g004
Figure 5. View of the developed algorithm and its visual output, (a) adjustable voxel and surface parameters in Grasshopper®, (b) resulting voxels and highlighted surfaces the lattice conforms to in Rhino 8, (c) selected unit cell parameters in Grasshopper ® for test specimen #3_T4, (d) filled voxels with defined FCCXYZ unit cell topology in Rhino 8.
Figure 5. View of the developed algorithm and its visual output, (a) adjustable voxel and surface parameters in Grasshopper®, (b) resulting voxels and highlighted surfaces the lattice conforms to in Rhino 8, (c) selected unit cell parameters in Grasshopper ® for test specimen #3_T4, (d) filled voxels with defined FCCXYZ unit cell topology in Rhino 8.
Applsci 15 10364 g005
Figure 6. Input and output geometries of the proposed algorithm, (a) solid CAD model of the arch, (b) conformal BCCXYZ lattice (test part #1_15), (c) solid CAD model of the wing insert, (d) conformal BCCXYZ lattice (test part #3_T3).
Figure 6. Input and output geometries of the proposed algorithm, (a) solid CAD model of the arch, (b) conformal BCCXYZ lattice (test part #1_15), (c) solid CAD model of the wing insert, (d) conformal BCCXYZ lattice (test part #3_T3).
Applsci 15 10364 g006
Figure 7. Force-displacement diagram of the averaged measured values of the samples from the partial factorial test plan.
Figure 7. Force-displacement diagram of the averaged measured values of the samples from the partial factorial test plan.
Applsci 15 10364 g007
Figure 8. Comparison between lattice structures under load, (a) non-conformal (#1_06), (b) conformal (#2_F7) with surrounding closed surface and (c) failed non-conformal (#1_06) due to misalignment and binding in the fixture.
Figure 8. Comparison between lattice structures under load, (a) non-conformal (#1_06), (b) conformal (#2_F7) with surrounding closed surface and (c) failed non-conformal (#1_06) due to misalignment and binding in the fixture.
Applsci 15 10364 g008
Figure 9. Weight and maximum force of the test parts as a percentage of the arch solid body Ø #2_F1, the confidence intervals are shown in red to emphasize their small margin and make it more visible.
Figure 9. Weight and maximum force of the test parts as a percentage of the arch solid body Ø #2_F1, the confidence intervals are shown in red to emphasize their small margin and make it more visible.
Applsci 15 10364 g009
Figure 10. Effect diagram of factors A–F based on the force/weight ratio at different load levels (1) at 2 mm deformation, (2) at 4 mm deformation, (3) at 6 mm deformation, (4) at 8 mm deformation, (5) at 10 mm deformation, (6) at 12 mm deformation, (7) at maximum load/force.
Figure 10. Effect diagram of factors A–F based on the force/weight ratio at different load levels (1) at 2 mm deformation, (2) at 4 mm deformation, (3) at 6 mm deformation, (4) at 8 mm deformation, (5) at 10 mm deformation, (6) at 12 mm deformation, (7) at maximum load/force.
Applsci 15 10364 g010
Figure 11. Normal probability for main effects A to Fand interaction effects AB to AF shown in Table 7 with the regression line shown in gray.
Figure 11. Normal probability for main effects A to Fand interaction effects AB to AF shown in Table 7 with the regression line shown in gray.
Applsci 15 10364 g011
Figure 12. Wing profile insert with different types of internal structures, (a) automatically filled design space with conformal FCCXYZ lattice structure (#3_T4), (b) manually optimized structure (#3_T2).
Figure 12. Wing profile insert with different types of internal structures, (a) automatically filled design space with conformal FCCXYZ lattice structure (#3_T4), (b) manually optimized structure (#3_T2).
Applsci 15 10364 g012
Figure 13. Weight and maximum force of the wing profile inserts, (a) as a percentage of the solid body (Ø #3_T1), (b) as a percentage of the manually optimized structure (Ø #3_T2), the confidence intervals are shown in red to emphasize their small margin and make it more visible.
Figure 13. Weight and maximum force of the wing profile inserts, (a) as a percentage of the solid body (Ø #3_T1), (b) as a percentage of the manually optimized structure (Ø #3_T2), the confidence intervals are shown in red to emphasize their small margin and make it more visible.
Applsci 15 10364 g013
Table 1. Setting table for the study using a partial factorial experimental design.
Table 1. Setting table for the study using a partial factorial experimental design.
FactorParameterSettings
+
ABase cell topologyBCCXYZFCCXYZ
BConformityNoYes
CGradient cell sizeNoYes
DGradient strut diameterNoYes
EStrut diameter, when gradient0.8–1–1.21.22–1.42–1.62
FCell size relative to total volume of design space, when gradient0.8%1.6%
Table 2. Configurations of the unit cell sizes, the numbers in parentheses are chosen when either cell size or strut diameter are gradient.
Table 2. Configurations of the unit cell sizes, the numbers in parentheses are chosen when either cell size or strut diameter are gradient.
0.8%1.6%
FactorNon-ConformalConformalNon-ConformalConformal
DirectionXYZXYZXYZXYZ
Cells1346(7)12421035(6)832
Struts1457(8)13531146(7)943
Table 3. 2(6−2) partial factorial experimental design.
Table 3. 2(6−2) partial factorial experimental design.
Nr.ABABCACAEEDADBDABDBFACDFAFTest Nr.
1+++++++8
2+++++++7
3+++++++2
4+++++++16
5+++++++13
6+++++++15
7+++++++6
8+++++++14
9+++++++4
10+++++++3
11+++++++11
12+++++++12
13+++++++10
14+++++++1
15+++++++9
16+++++++++++++++5
Table 4. Factor settings resulting from experimental design.
Table 4. Factor settings resulting from experimental design.
Nr.12345678910111213141516
A++++++++
B++++++++
C++++++++
D++++++++
E++++++++
F++++++++
Table 5. Settings 3-point bending test.
Table 5. Settings 3-point bending test.
ParameterValue
Test speed [mm/min]10
Max. force [N]30
Travel [mm]25
Test method3 point bending test
y-axisForce [N]
x-axisTravel [mm]
Table 6. Factor settings for the individual test specimen of test series 1.
Table 6. Factor settings for the individual test specimen of test series 1.
Nr.ABCDEF
#1_01BCCXYZnon-conformaluniformuniform10.8
#1_02FCCXYZnon-conformaluniformuniform1.420.8
#1_03BCCXYZconformaluniformuniform1.421.6
#1_04FCCXYZconformaluniformuniform11.6
#1_05BCCXYZnon-conformalgradientuniform1.421.6
#1_06FCCXYZnon-conformalgradientuniform11.6
#1_07BCCXYZconformalgradientuniform10.8
#1_08FCCXYZconformalgradientuniform1.420.8
#1_09BCCXYZnon-conformaluniformgradient0.8–1–1.21.6
#1_10FCCXYZnon-conformaluniformgradient1.22–1.42–1.621.6
#1_11BCCXYZconformaluniformgradient1.22–1.42–1.620.8
#1_12FCCXYZconformaluniformgradient0.8–1–1.20.8
#1_13BCCXYZnon-conformalgradientgradient1.22–1.42–1.620.8
#1_14FCCXYZnon-conformalgradientgradient0.8–1–1.20.8
#1_15BCCXYZconformalgradientgradient0.8–1–1.21.6
#1_16FCCXYZconformalgradientgradient1.22–1.42–1.621.6
Table 7. Evaluation of the maximum force/weight ratio.
Table 7. Evaluation of the maximum force/weight ratio.
Test ##ABABCACAEEDADBDABDBFACDFAFF/m
81+++++++7.9
72+++++++21.8
23+++++++18.7
164+++++++17.3
135+++++++5.9
156+++++++1.4
67+++++++18.1
148+++++++35.6
49+++++++3.9
310+++++++10.7
1111+++++++28.9
1212+++++++29.2
1013+++++++14.7
114+++++++4
915+++++++14
516+++++++++++++++34
max.F/mMW +19.224.518.615.916.818.321.317.416.117.917.716.516.713.216.6
MW −14.08.814.717.316.4151215.817.215.415.516.716.52016.6
Eff.5.2415.73.9−1.40.43.39.31.6−1.12.52.2−0.20.2−6.80.00
Table 8. Factor settings for the individual test specimen of test series 2.
Table 8. Factor settings for the individual test specimen of test series 2.
Nr.ABCDEF
#3_T1Solid body test specimen
#3_T2Manually optimized test specimen
#3_T3BCCXYZconformaluniformuniform1not implemented
#3_T4FCCXYZconformaluniformgradient1.22–1.42–1.62not implemented
#3_T5FCCXYZnon-conformaluniformgradient1.22–1.42–1.62not implemented
#3_T6Diamondconformaluniformgradient0.8–1–1.2not implemented
Disclaimer/Publisher’s Note: The statements, opinions and data contained in all publications are solely those of the individual author(s) and contributor(s) and not of MDPI and/or the editor(s). MDPI and/or the editor(s) disclaim responsibility for any injury to people or property resulting from any ideas, methods, instructions or products referred to in the content.

Share and Cite

MDPI and ACS Style

Geyer, S.; Giefing, R.; Hölzl, C. Development of Customized Algorithms for the Semi-Automatic Generation of Gradient, Conformal Strut-Based Lattice Structures Using Rhino 8 and Grasshopper: Application and Flexural Testing. Appl. Sci. 2025, 15, 10364. https://doi.org/10.3390/app151910364

AMA Style

Geyer S, Giefing R, Hölzl C. Development of Customized Algorithms for the Semi-Automatic Generation of Gradient, Conformal Strut-Based Lattice Structures Using Rhino 8 and Grasshopper: Application and Flexural Testing. Applied Sciences. 2025; 15(19):10364. https://doi.org/10.3390/app151910364

Chicago/Turabian Style

Geyer, Sebastian, Richard Giefing, and Christian Hölzl. 2025. "Development of Customized Algorithms for the Semi-Automatic Generation of Gradient, Conformal Strut-Based Lattice Structures Using Rhino 8 and Grasshopper: Application and Flexural Testing" Applied Sciences 15, no. 19: 10364. https://doi.org/10.3390/app151910364

APA Style

Geyer, S., Giefing, R., & Hölzl, C. (2025). Development of Customized Algorithms for the Semi-Automatic Generation of Gradient, Conformal Strut-Based Lattice Structures Using Rhino 8 and Grasshopper: Application and Flexural Testing. Applied Sciences, 15(19), 10364. https://doi.org/10.3390/app151910364

Note that from the first issue of 2016, this journal uses article numbers instead of page numbers. See further details here.

Article Metrics

Back to TopTop