Multi-Objective Optimization of Building Ventilation Systems Using Model Predictive Control: Integrating Air Quality, Energy Cost, and Environmental Impact
Abstract
1. Introduction
1.1. Background
1.2. Paper Contribution
2. Materials and Methods
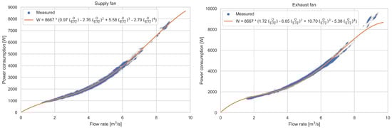
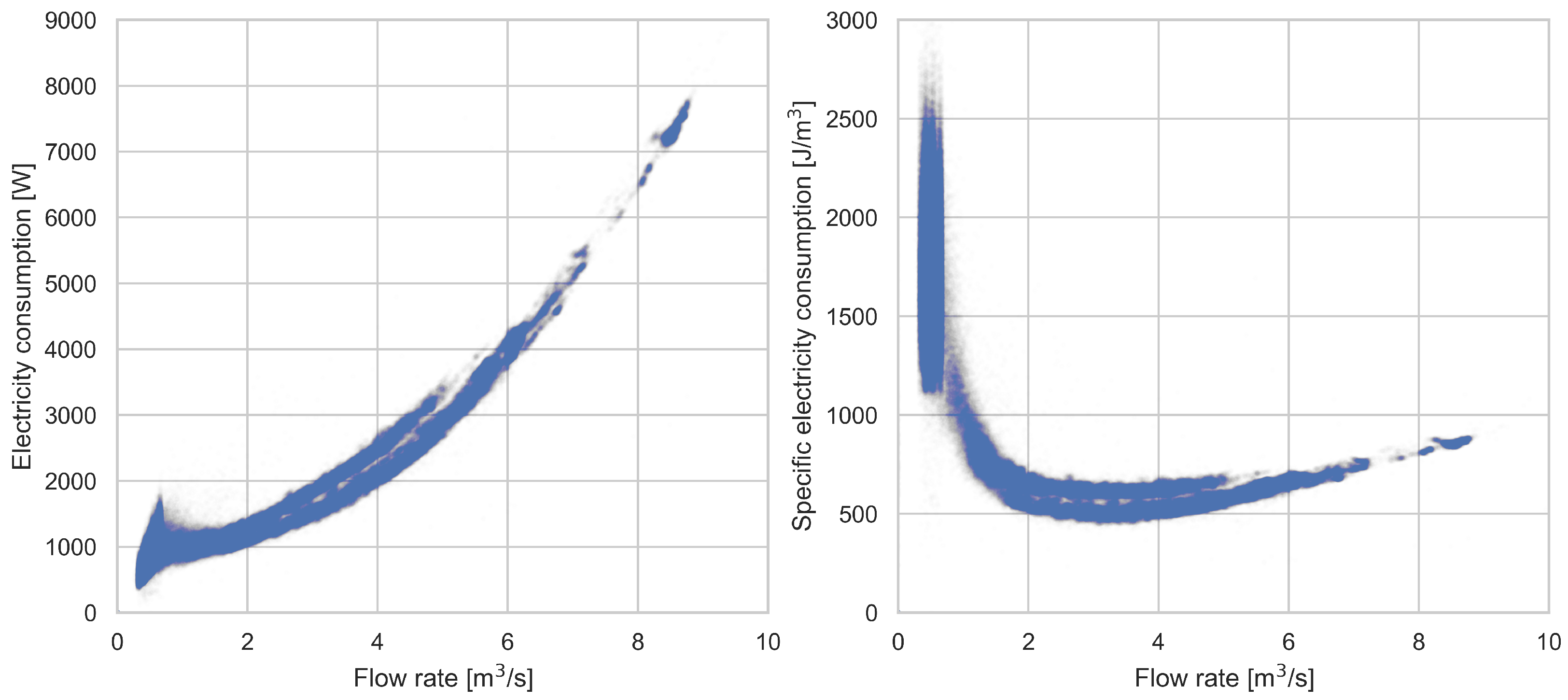
2.1. Ventilation System Model
2.2. Air Quality Evaluation
2.3. Case Study
3. Results
- Balanced: Aims to improve both air quality and cost compared to the baseline.
- Air quality: Focus on achieving optimal air quality without excessive electricity consumption.
- Economic: Focus on cost reduction while preserving acceptable air quality.
- Environmental: Focus on CO2 emission reduction while preserving acceptable air quality.
4. Discussion
5. Conclusions
Author Contributions
Funding
Institutional Review Board Statement
Informed Consent Statement
Data Availability Statement
Conflicts of Interest
Abbreviations
| HVAC | Heating, Ventilation, and Air Conditioning |
| CO2 | Carbon dioxide |
| MPC | Model predictive control |
| PMV | predicted mean vote |
| ODE | Ordinary differential equation |
| KPI | Key Performance Indicator |
| ASHRAE | American Society of Heating, Refrigerating and Air-Conditioning |
| VEN3 | Ventilation system 3 (in the case study building) |
| VEN1 | Ventilation system 1 (in the case study building) |
References
- United Nations Net-Zero Coalition. Available online: https://www.un.org/en/climatechange/net-zero-coalition (accessed on 8 November 2024).
- World Resources Institute, Where Do Emissions Come From? 4 Charts Explain Greenhouse Gas Emissions by Sector. Available online: https://www.wri.org/insights/4-charts-explain-greenhouse-gas-emissions-countries-and-sectors (accessed on 25 December 2024).
- BPIE, Report on the Evolution of the European Regulatory Framework for Buildings Efficiency. Available online: https://www.bpie.eu/wp-content/uploads/2022/02/rev6_SPIPA_EU.pdf (accessed on 12 November 2024).
- Grieves, M. Digital Twin: Manufacturing Excellence through Virtual Factory Replication. White paper 2014, 1, 1–7. [Google Scholar]
- Yoon, S. Building digital twinning: Data, information, and models. J. Build. Eng. 2023, 76, 107021. [Google Scholar] [CrossRef]
- Afroz, Z.; Shafiullah, G.M.; Urmee, T.; Higgins, G. Modeling techniques used in building HVAC control systems: A review. Renew. Sust. Energ. 2018, 83, 64–84. [Google Scholar] [CrossRef]
- Bortolini, R.; Rodrigues, R.; Alavi, H.; Vecchia, L.F.; Forcada, N. Digital Twins’ Applications for Building Energy Efficiency: A Review. Energies 2022, 15, 7002. [Google Scholar] [CrossRef]
- Zaballos, A.; Briones, A.; Massa, A.; Centelles, P.; Caballero, V. A Smart Campus’ Digital Twin for Sustainable Comfort Monitoring. Sustainability 2020, 12, 9196. [Google Scholar] [CrossRef]
- Tahmasebinia, F.; Lin, L.; Wu, S.; Kang, Y.; Sepasgozar, S. Exploring the Benefits and Limitations of Digital Twin Technology in Building Energy. Appl. Sci. 2023, 13, 8814. [Google Scholar] [CrossRef]
- Yao, Y.; Shekhar, D.K. State of the art review on model predictive control (MPC) in Heating Ventilation and Air-conditioning (HVAC) field. Build. Environ. 2021, 200, 107952. [Google Scholar] [CrossRef]
- Široký, J.; Oldewurtel, F.; Cigler, J.; Prívara, S. Experimental analysis of model predictive control for an energy efficient building heating system. Appl. Energy 2011, 88, 3079–3087. [Google Scholar] [CrossRef]
- Ascione, F.; Bianco, N.; De Stasio, C.; Mauro, G.M.; Vanoli, G.P. A new comprehensive approach for cost-optimal building design integrated with the multi-objective model predictive control of HVAC systems. Sustain. Cities Soc. 2017, 31, 136–150. [Google Scholar] [CrossRef]
- Afram, A.; Janabi-Sharifi, F. Theory and applications of HVAC control systems—A review of model predictive control (MPC). Build. Environ. 2014, 72, 343–355. [Google Scholar] [CrossRef]
- Mossolly, M.; Ghali, K.; Ghaddar, N. Optimal control strategy for a multi-zone air conditioning system using a genetic algorithm. Energy 2009, 34, 58–66. [Google Scholar] [CrossRef]
- Engineering Reference—EnergyPlus 9.6. Available online: https://bigladdersoftware.com/epx/docs/9-6/engineering-reference/air-system-fans.html#air-system-fans (accessed on 28 October 2024).
- Modelica Building Library Documentation. Available online: https://simulationresearch.lbl.gov/modelica/releases/v9.1.0/help/Buildings_Fluid_Actuators_Dampers.html#Buildings.Fluid.Actuators.Dampers (accessed on 28 October 2024).
- Macarulla, M.; Casals, M.; Carnevali, M.; Forcada, N.; Gangolells, M. Modelling indoor air carbon dioxide concentration using grey-box models. Build. Environ. 2017, 117, 146–153. [Google Scholar] [CrossRef]
- Yang, L.; Wang, X.; Li, M.; Zhou, X.; Liu, S.; Zhang, H.; Arens, E.; Zhai, Y. Carbon dioxide generation rates of different age and gender under various activity levels. Build. Environ. 2017, 186, 107317. [Google Scholar] [CrossRef]
- Kapalo, P.; Domniţa, F.; Bacoţiu, C.; Spodyniuk, N. The impact of carbon dioxide concentration on the human health—Case study. J. Appl. Eng. Sci. 2018, 8, 61–66. [Google Scholar] [CrossRef]
- ASHRAE Standard 62-1989, Ventilation for Acceptable Indoor Air Quality. Available online: https://www.ashrae.org/technical-resources/standards-and-guidelines/read-only-versions-of-ashrae-standards (accessed on 6 November 2024).
- Alberts, W. Indoor air pollution: NO, NO2, CO, and CO2. J. Allergy Clin. Immunol. 1994, 94, 289–295. [Google Scholar] [CrossRef] [PubMed]
- Allen, J.G.; MacNaughton, P.; Satish, U.; Santanam, S.; Vallarino, J.; Spengler, J.D. Associations of Cognitive Function Scores with Carbon Dioxide, Ventilation, and Volatile Organic Compound Exposures in Office Workers: A Controlled Exposure Study of Green and Conventional Office Environments. Environ. Health Perspect. 2015, 124, 805–812. [Google Scholar] [CrossRef] [PubMed]
- Jradi, M.; Sangogboye, F.C.; Mattera, C.G.; Kjærgaard, M.B.; Veje, C.; Jørgensen, B.N. A World Class Energy Efficient University Building by Danish 2020 Standards. Energy Procedia 2017, 132, 21–26. [Google Scholar] [CrossRef]
- Ji, Y.; Duanmu, L.; Liu, Y.; Dong, H. Air infiltration rate of typical zones of public buildings under natural conditions. Sustain. Cities Soc. 2020, 61, 102290. [Google Scholar] [CrossRef]
- Hu, J.; Liu, Z.; Ma, G.; Zhang, G.; Ai, Z. Air infiltration and related building energy consumption: A case study of office buildings in Changsha, China. J. Build. Eng. 2023, 74, 106859. [Google Scholar] [CrossRef]
- Energi Data Service—Elspot Prices. Available online: https://www.energidataservice.dk/tso-electricity/Elspotprices (accessed on 10 November 2024).
- Energi Data Service—CO2 Emission. Available online: https://www.energidataservice.dk/tso-electricity/CO2Emis (accessed on 10 November 2024).
- Beal, L.D.; Hill, D.C.; Martin, R.A.; Hedengren, J.D. GEKKO Optimization Suite. Processes 2018, 6, 106. [Google Scholar] [CrossRef]
- WELL, WELL v2TM. Available online: https://v2.wellcertified.com/en/wellv2/overview (accessed on 27 December 2024).











| Baseline | Balanced | Air Quality | Economic | Environmental | |
|---|---|---|---|---|---|
| KPI [ppm·s·occupants/106] | 557 | 235 | 57 | 1011 | 980 |
| Cost [DKK] | 383 | 314 | 339 | 292 | 305 |
| CO2 Emission [kg] | 127 | 114 | 120 | 106 | 102 |
| Baseline | Balanced | Air Quality | Economic | Environmental | |
|---|---|---|---|---|---|
| KPI [ppm·s·occupants/106] | 17,013 | 7172 | 1727 | 30,855 | 29,912 |
| Cost [DKK] | 15,190 | 12,469 | 13,471 | 11,595 | 12,100 |
| CO2 Emission [kg] | 3106 | 2784 | 2945 | 2586 | 2492 |
Disclaimer/Publisher’s Note: The statements, opinions and data contained in all publications are solely those of the individual author(s) and contributor(s) and not of MDPI and/or the editor(s). MDPI and/or the editor(s) disclaim responsibility for any injury to people or property resulting from any ideas, methods, instructions or products referred to in the content. |
© 2025 by the authors. Licensee MDPI, Basel, Switzerland. This article is an open access article distributed under the terms and conditions of the Creative Commons Attribution (CC BY) license (https://creativecommons.org/licenses/by/4.0/).
Share and Cite
Andersen, A.H.; Jradi, M. Multi-Objective Optimization of Building Ventilation Systems Using Model Predictive Control: Integrating Air Quality, Energy Cost, and Environmental Impact. Appl. Sci. 2025, 15, 451. https://doi.org/10.3390/app15010451
Andersen AH, Jradi M. Multi-Objective Optimization of Building Ventilation Systems Using Model Predictive Control: Integrating Air Quality, Energy Cost, and Environmental Impact. Applied Sciences. 2025; 15(1):451. https://doi.org/10.3390/app15010451
Chicago/Turabian StyleAndersen, Andreas Hyrup, and Muhyiddine Jradi. 2025. "Multi-Objective Optimization of Building Ventilation Systems Using Model Predictive Control: Integrating Air Quality, Energy Cost, and Environmental Impact" Applied Sciences 15, no. 1: 451. https://doi.org/10.3390/app15010451
APA StyleAndersen, A. H., & Jradi, M. (2025). Multi-Objective Optimization of Building Ventilation Systems Using Model Predictive Control: Integrating Air Quality, Energy Cost, and Environmental Impact. Applied Sciences, 15(1), 451. https://doi.org/10.3390/app15010451

