Intermonitor Variability of Garmin Vivofit® Jr. Wristband
Abstract
1. Introduction
2. Materials and Methods
2.1. Study Design
2.2. Instrumentation
2.3. Procedure
2.4. Statistical Analysis
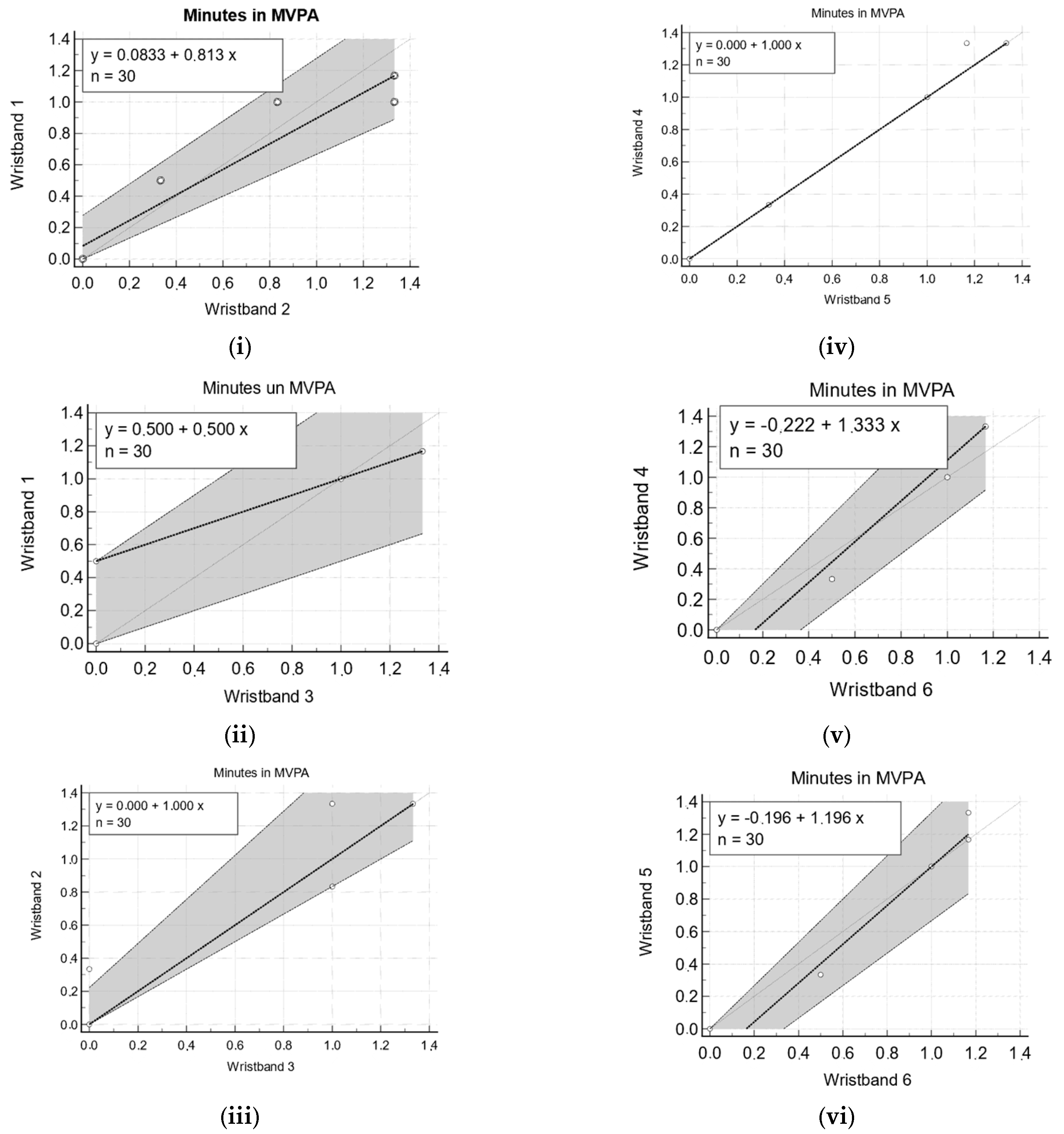
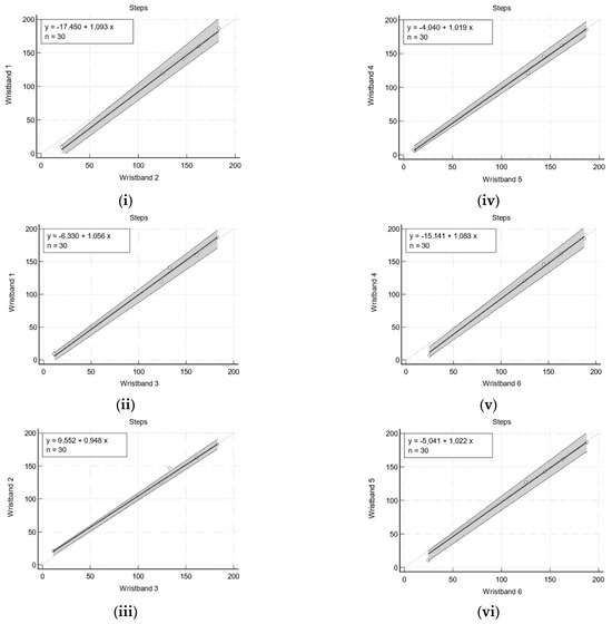
3. Results
4. Discussion
5. Conclusions
Author Contributions
Funding
Institutional Review Board Statement
Informed Consent Statement
Data Availability Statement
Conflicts of Interest
References
- Guallar-Castillón, P.; Bayán-Bravo, A.; León-Muñoz, L.M.; Balboa-Castillo, T.; López-García, E.; Gutierrez-Fisac, J.L.; Rodríguez-Artalejo, F. The association of major patterns of physical activity, sedentary behavior and sleep with health-related quality of life: A cohort study. Prev. Med. 2014, 67, 248–254. [Google Scholar] [CrossRef] [PubMed]
- Chastin, S.F.; Palarea-Albaladejo, J.; Dontje, M.L.; Skelton, D.A. Combined Effects of Time Spent in Physical Activity, Sedentary Behaviors and Sleep on Obesity and Cardio-Metabolic Health Markers: A Novel Compositional Data Analysis Approach. PLoS ONE 2015, 10, e0139984. [Google Scholar] [CrossRef] [PubMed]
- Hagströmer, M.; Ainsworth, B.E.; Kwak, L.; Bowles, H.R. A checklist for evaluating the methodological quality of validation studies on self-report instruments for physical activity and sedentary behavior. J. Phys. Act. Health 2012, 9, S29–S36. [Google Scholar] [CrossRef] [PubMed]
- Kelly, P.; Fitzsimons, C.; Baker, G. Should we reframe how we think about physical activity and sedentary behaviour measurement? Validity and reliability reconsidered. Int. J. Behav. Nutr. Phys. Act. 2016, 13, 32. [Google Scholar] [CrossRef] [PubMed]
- Troiano, R.P.; McClain, J.J.; Brychta, R.J.; Chen, K.Y. Evolution of accelerometer methods for physical activity research. Br. J. Sports Med. 2014, 48, 1019–1023. [Google Scholar] [CrossRef]
- Wijndaele, K.; Westgate, K.; Stephens, S.K.; Blair, S.N.; Bull, F.C.; Chastin, S.F.; Dunstan, D.W.; Ekelund, U.; Esliger, D.W.; Freedson, P.S.; et al. Utilization and Harmonization of Adult Accelerometry Data: Review and Expert Consensus. Med. Sci. Sports Exerc. 2015, 47, 2129–2139. [Google Scholar] [CrossRef] [PubMed]
- Keadle, S.K.; Shiroma, E.J.; Freedson, P.S.; Lee, I.M. Impact of accelerometer data processing decisions on the sample size, wear time and physical activity level of a large cohort study. BMC Public Health 2014, 14, 1210. [Google Scholar] [CrossRef] [PubMed]
- Migueles, J.H.; Cadenas-Sánchez, C.; Ekelund, U.; Delisle Nyström, C.; Mora-Gonzalez, J.; Löf, M.; Labayen, I.; Ruiz, J.R.; Ortega, F.B. Accelerometer Data Collection and Processing Criteria to Assess Physical Activity and Other Outcomes: A Systematic Review and Practical Considerations. Sports Med. 2017, 47, 1821–1845. [Google Scholar] [CrossRef] [PubMed]
- Mayorga-Vega, D.; Casado-Robles, C.; López-Fernández, I.; Viciana, J. Activity wristband-based physical activity recommendations in young people. Sci. Sports 2022, 37, 303–315. [Google Scholar] [CrossRef]
- Viciana, J.; Casado-Robles, C.; Guijarro-Romero, S.; Mayorga-Vega, D. Are Wrist-Worn Activity Trackers and Mobile Applications Valid for Assessing Physical Activity in High School Students? Wearfit Study. J. Sports Sci. Med. 2022, 21, 356–375. [Google Scholar] [CrossRef]
- Price, K.; Bird, S.R.; Lythgo, N.; Raj, I.S.; Wong, J.Y.L.; Lynch, C. Validation of the Fitbit One, Garmin Vivofit and Jawbone UP activity tracker in estimation of energy expenditure during treadmill walking and running. J. Med. Eng. Technol. 2017, 41, 208–215. [Google Scholar] [CrossRef] [PubMed]
- Sperlich, B.; Holmberg, H.C. Wearable, yes, but able…? It is time for evidence-based marketing claims! Br. J. Sports Med. 2017, 51, 1240. [Google Scholar] [CrossRef] [PubMed]
- Šimůnek, A.; Dygrýn, J.; Gába, A.; Jakubec, L.; Stelzer, J.; Chmelík, F. Validity of Garmin Vívofit and Polar Loop measuring daily step counts inf free-living conditions in adults. Acta Gymnica 2016, 46, 129–135. [Google Scholar] [CrossRef]
- Godino, J.G.; Wing, D.; de Zambotti, M.; Baker, F.C.; Bagot, K.; Inkelis, S.; Pautz, C.; Higgins, M.; Nichols, J.; Brumback, T.; et al. Performance of a commercial multi-sensor wearable (Fitbit Charge HR) in measuring physical activity and sleep in healthy children. PLoS ONE 2020, 15, e0237719. [Google Scholar] [CrossRef] [PubMed]
- Sun, X.; Adams, S.A.; Li, C.; Booth, J.N.; Robertson, J.; Fawkner, S. Validity of the Fitbit Ace and Moki devices for assessing steps during different walking conditions in young adolescents. Pediatr. Exerc. Sci. 2022, 34, 1–5. [Google Scholar] [CrossRef] [PubMed]
- Mayorga-Vega, D.; Casado-Robles, C.; Guijarro-Romero, S.; Viciana, J. Validity of activity wristbands for estimating daily physical activity in primary schoolchildren under free-living conditions: School-Fit study. Front Public Health 2023, 11, 1211237. [Google Scholar] [CrossRef] [PubMed]
- Müller, J.; Hoch, A.M.; Zoller, V.; Oberhoffer, R. Feasibility of Physical Activity Assessment with Wearable Devices in Children Aged 4–10 Years—A Pilot Study. Front. Pediatr. 2018, 6, 5. [Google Scholar] [CrossRef]
- Díaz-Quesada, G.; Bahamonde-Pérez, C.; Giménez-Egido, J.M.; Torres-Luque, G. Use of Wearable Devices to Study Physical Activity in Early Childhood Education. Sustainability 2021, 13, 13998. [Google Scholar] [CrossRef]
- Pérez-Trabazo, L.; Barcala-Furelos, R.J.; Peixoto-Pino, L.; Rico-Díaz, J. Physical activity in the recess of childhood education: A pilot study using Garmin Vivofit Jr wristbands. J. Hum. Sport Exerc. 2021, 16, 1–10. [Google Scholar] [CrossRef]
- Schoeppe, S.; Salmon, J.; Williams, S.L.; Power, D.; Alley, S.; Rebar, A.L.; Hayman, M.; Duncan, M.J.; Vandelanotte, C. Effects of an Activity Tracker and App Intervention to Increase Physical Activity in Whole Families-The Step It Up Family Feasibility Study. Int. J. Environ. Res. Public Health 2020, 17, 7655. [Google Scholar] [CrossRef]
- Mayorga-Vega, D.; Casado-Robles, C.; Guijarro-Romero, S.; Viciana, J. Criterion-Related Validity of Consumer-Wearable Activity Trackers for Estimating Steps in Primary Schoolchildren under Controlled Conditions: Fit-Person Study. J Sports Sci Med. 2024, 23, 79–96. [Google Scholar] [CrossRef]
- Alsubheen, S.A.; George, A.M.; Baker, A.; Rohr, L.E.; Basset, F.A. Accuracy of the vivofit activity tracker. J. Med. Eng. Technol. 2016, 40, 298–306. [Google Scholar] [CrossRef] [PubMed]
- El-Amrawy, F.; Nounou, M.I. Are Currently Available Wearable Devices for Activity Tracking and Heart Rate Monitoring Accurate, Precise, and Medically Beneficial? Healthc. Inform. Res. 2015, 21, 315–320. [Google Scholar] [CrossRef] [PubMed]
- Santos-Lozano, A.; Torres-Luque, G.; Marín, P.J.; Ruiz, J.R.; Lucia, A.; Garatachea, N. Intermonitor variability of GT3X accelerometer. Int. J. Sports Med. 2012, 33, 994–999. [Google Scholar] [CrossRef]
- Santos-Lozano, A.; Torres-Luque, G.; Garatachea, N. Inter-trial variability of GT3X accelerometer. Sci. Sports 2014, 29, e7–e10. [Google Scholar] [CrossRef]
- Powell, S.M.; Rowlands, A.V. Intermonitor variability of the RT3 accelerometer during typical physical activities. Med. Sci. Sports Exerc. 2004, 36, 324–330. [Google Scholar] [CrossRef] [PubMed]
- Jimenez-Olmedo, J.M.; Pueo, B.; Mossi, J.M.; Villalon-Gasch, L. Concurrent Validity of the Inertial Measurement Unit Vmaxpro in Vertical Jump Estimation. Appl. Sci. 2023, 13, 959. [Google Scholar] [CrossRef]
- Koo, T.K.; Li, M.Y. A Guideline of Selecting and Reporting Intraclass Correlation Coefficients for Reliability Research. J. Chiropr. Med. 2016, 15, 155–163. [Google Scholar] [CrossRef]
- Lin, L.; Hedayat, A.S.; Sinha, B.; Yang, M. Statistical Methods in Assessing Agreement: Models, Issues, and Tools. J. Am. Stat. Assoc. 2002, 97, 257–270. [Google Scholar] [CrossRef]
- McBride, G.B. A Proposal for Strength-of-Agreement Criteria for Lin’s Concordance Correlation Coefficient. NIWA Client Rep. 2005, HAM2005, 307–310. [Google Scholar]
- Schober, P.; Boer, C.; Schwarte, L.A. Correlation Coefficients. Anesth. Analg. 2018, 126, 1763–1768. [Google Scholar] [CrossRef] [PubMed]
- Lake, J.; Augustus, S.; Austin, K.; Mundy, P.; McMahon, J.; Comfort, P.; Haff, G. The Validity of the Push Band 2.0 during Vertical Jump Performance. Sports 2018, 6, 140. [Google Scholar] [CrossRef] [PubMed]
- Rago, V.; Brito, J.; Figueiredo, P.; Carvalho, T.; Fernandes, T.; Fonseca, P.; Rebelo, A. Countermovement Jump Analysis Using Different Portable Devices: Implications for Field Testing. Sports 2018, 6, 91. [Google Scholar] [CrossRef]
- Passing, H.; Bablok, W. Comparison of Several Regression Procedures for Method Comparison Studies and Determination of Sample Sizes Application of Linear Regression Procedures for Method Comparison Studies in Clinical Chemistry, Part II. J. Clin. Chem. Clin. Biochem. 1984, 22, 431–445. [Google Scholar] [CrossRef] [PubMed]
- Wahl, Y.; Düking, P.; Droszez, A.; Wahl, P.; Mester, J. Criterion-Validity of Commercially Available Physical Activity Tracker to Estimate Step Count, Covered Distance and Energy Expenditure during Sports Conditions. Front. Physiol. 2017, 8, 725. [Google Scholar] [CrossRef] [PubMed]
- Alinia, P.; Cain, C.; Fallahzadeh, R.; Shahrokni, A.; Cook, D.; Ghasemzadeh, H. How Accurate Is Your Activity Tracker? A Comparative Study of Step Counts in Low-Intensity Physical Activities. JMIR Mhealth Uhealth 2017, 5, e106. [Google Scholar] [CrossRef] [PubMed]
- An, H.S.; Jones, G.C.; Kang, S.K.; Welk, G.J.; Lee, J.M. How valid are wearable physical activity trackers for measuring steps? Eur. J. Sport Sci. 2017, 17, 360–368. [Google Scholar] [CrossRef] [PubMed]
- Dominick, G.M.; Winfree, K.N.; Pohlig, R.T.; Papas, M.A. Physical Activity Assessment Between Consumer- and Research-Grade Accelerometers: A Comparative Study in Free-Living Conditions. JMIR Mhealth Uhealth 2016, 4, e110. [Google Scholar] [CrossRef] [PubMed]
- Degroote, L.; De Bourdeaudhuij, I.; Verloigne, M.; Poppe, L.; Crombez, G. The Accuracy of Smart Devices for Measuring Physical Activity in Daily Life: Validation Study. JMIR Mhealth Uhealth 2018, 6, e10972. [Google Scholar] [CrossRef] [PubMed]
- Šimůnek, A.; Dygrýn, J.; Jakubec, L.; Neuls, F.; Frömel, K.; Welk, G.J. Validity of Garmin Vívofit 1 and Garmin Vívofit 3 for School-Based Physical Activity Monitoring. Pediatr. Exerc. Sci. 2019, 31, 130–136. [Google Scholar] [CrossRef]
- Tudor-Locke, C.; Hatano, Y.; Pangrazi, R.P.; Kang, M. Revisiting “How Many Steps Are Enough? ” Med. Sci. Sports Exerc. 2008, 40, S537–S543. [Google Scholar] [CrossRef] [PubMed]
- Cardon, G.; De Bourdeaudhuij, I. Comparison of pedometer and accelerometer measures of physical activity in preschool children. Pediatr. Exerc. Sci. 2007, 19, 205–214. [Google Scholar] [CrossRef]
- Tanaka, C.; Tanaka, S. Daily physical activity in Japanese preschool children evaluated by triaxial accelerometry: The relationship between period of engagement in moderate-to-vigorous physical activity and daily step counts. J. Physiol. Anthropol. 2009, 28, 283–288. [Google Scholar] [CrossRef]
- National Association for Sport and Physical Education (NASPE). Active Start: A Statement of Physical Activity Guidelines for Children from Birth to Age 5, 2nd ed.; Shape America: Baltimore, MD, USA, 2014. [Google Scholar]
- Organización Mundial de la Salud (OMS). WHO Guidelines on Physical Activity and Sedentary Behaviour: At a Glance; Organización Mundial de la Salud: Geneva, Switzerland, 2020. [Google Scholar]
- Huang, Y.; Xu, J.; Yu, B.; Shull, P.B. Validity of FitBit, Jawbone UP, Nike+ and other wearable devices for level and stair walking. Gait Posture 2016, 48, 36–41. [Google Scholar] [CrossRef]
- Hao, Y.; Ma, X.K.; Zhu, Z.; Cao, Z.B. Validity of Wrist-Wearable Activity Devices for Estimating Physical Activity in Adolescents: Comparative Study. JMIR Mhealth Uhealth 2021, 9, e18320. [Google Scholar] [CrossRef] [PubMed]
- Cortez, N.G.; Cohen, I.G.; Kesselheim, A.S. FDA regulation of mobile health technologies. N. Engl. J. Med. 2014, 371, 372–379. [Google Scholar] [CrossRef]
- Piwek, L.; Ellis, D.A.; Andrews, S.; Joinson, A. The Rise of Consumer Health Wearables: Promises and Barriers. PLoS Med. 2016, 13, e1001953. [Google Scholar] [CrossRef] [PubMed]
- Germini, F.; Noronha, N.; Borg Debono, V.; Abraham Philip, B.; Pete, D.; Navarro, T.; Keepanasseril, A.; Parpia, S.; de Wit, K.; Iorio, A. Accuracy and Acceptability of Wrist-Wearable Activity-Tracking Devices: Systematic Review of the Literature. J. Med. Internet. Res. 2022, 24, e30791. [Google Scholar] [CrossRef] [PubMed]
- Foster, J.I.; Williams, K.L.; Timmer, B.H.B.; Brauer, S.G. Concurrent Validity of the Garmin Vivofit®4 to Accurately Record Step Count in Older Adults in Challenging Environments. J. Aging Phys. Act. 2022, 30, 833–841. [Google Scholar] [CrossRef]
- Tudor-Locke, C.; Craig, C.L.; Beets, M.W.; Belton, S.; Cardon, G.M.; Duncan, S.; Hatano, Y.; Lubans, D.R.; Olds, T.S.; Raustorp, A.; et al. How many steps/day are enough? For children and adolescents. Int. J. Behav. Nutr. Phys. Act. 2011, 8, 78. [Google Scholar] [CrossRef]
- Torres-Luque, G. Cómo Controlar su Actividad Física de Forma Inteligente. Sección Enfórmate. Periodico Nacional. El País. Spain. Available online: https://elpais.com/salud-y-bienestar/enformate/2023-05-25/como-controlar-su-actividad-fisica-de-forma-inteligente.html (accessed on 10 March 2023).






| Steps | Minutes in MVPA | |
|---|---|---|
| Mean (95% CI) | Mean (95% CI) | |
| Wristband 1 | 123.50 (100.29–146.70) | 0.73 (0.57–0.90) |
| Wristband 2 | 127.80 (106.31–149.29) | 0.77 (0.56–0.97) |
| Wristband 3 | 122.60 (99.99–145.20) | 0.67 (0.45–0.88) |
| Wristband 4 | 124.10 (100.44–147.75) | 0.80 (0.59–1.01) |
| Wristband 5 | 126.00 (102.84–149.16) | 0.77 (0.57–0.96) |
| Wristband 6 | 129.27 (107.90–150.62) | 0.77 (0.59–0.94) |
| Steps | Minutes in MVPA | |||||
|---|---|---|---|---|---|---|
| Mean Diff | rs | CCC | Mean Diff | rs | CCC | |
| Wristband 1 vs. 2 | −4.30 | 1.000 | 0.993 | −0.03 | 0.921 | 0.917 |
| Wristband 1 vs. 3 | 0.90 | 1.000 | 0.996 | 0.07 | 0.973 | 0.888 |
| Wristband 2 vs. 3 | 5.20 | 1.000 | 0.991 | 0.10 | 0.892 | 0.917 |
| Wristband 4 vs. 5 | −1.90 | 1.000 | 0.998 | 0.03 | 0.975 | 0.990 |
| Wristband 4 vs. 6 | −5.17 | 1.000 | 0.990 | 0.03 | 1.000 | 0.966 |
| Wristband 5 vs. 6 | −3.27 | 1.000 | 0.994 | 0.00 | 0.975 | 0.976 |
| Steps | Minutes in MVPA | |||
|---|---|---|---|---|
| ICC (95%CI) | p | ICC (95%CI) | p | |
| Wristband 1 vs. Wristband 2 | 0.994 a (0.965–0.998) | <0.001 | 0.920 a (0.985–0.998) | <0.001 |
| Wristband 1 vs. Wristband 3 | 0.997 a (0.994–0.999) | <0.001 | 0.892 b (0.786–0.947) | <0.001 |
| Wristband 2 vs. Wristband 3 | 0.991 a (0.944–0.997) | <0.001 | 0.920 a (0.811–0.964) | <0.001 |
| Wristband 4 vs. Wristband 5 | 0.998 a (0.995–0.999) | <0.001 | 0.990 a (0.975–0.996) | <0.001 |
| Wristband 4 vs. Wristband 6 | 0.991 a (0.955–0.997) | <0.001 | 0.968 a (0.934–0.985) | <0.001 |
| Wristband 5 vs. Wristband 6 | 0.994 a (0.983–0.998) | <0.001 | 0.977 a (0.952–0.989) | <0.001 |
| LOA | 95% CI | |||||||||
|---|---|---|---|---|---|---|---|---|---|---|
| Steps | Minutes in MVPA | Steps | Minutes in MVPA | |||||||
| Bias | Lower | Upper | Bias | Lower | Upper | Lower | Upper | Lower | Upper | |
| Wristband 1 vs. Wristband 2 | −4.30 | −14.39 | 5.79 | −0.03 | −0.42 | 0.35 | −6.22 | −2.38 | −0.11 | 0.04 |
| Wristband 1 vs. Wristband 3 | 0.90 | −8.42 | 10.22 | 0.07 | −0.038 | 0.52 | −0.88 | 2.68 | −0.02 | 0.15 |
| Wristband 2 vs. Wristband 3 | 5.20 | −6.18 | 16.58 | 0.10 | −0.30 | 0.50 | 3.03 | 7.37 | 0.02 | 0.18 |
| Wristband 4 vs. Wristband 5 | −1.90 | −7.83 | 4.03 | 0.03 | −0.10 | 0.17 | −3.03 | −0.77 | 0.01 | 0.06 |
| Wristband 4 vs. Wristband 6 | −5.17 | −18.18 | 7.84 | 0.03 | −0.22 | 0.28 | −7.65 | −2.69 | −0.01 | 0.08 |
| Wristband 5 vs. Wristband 6 | −3.27 | −14.30 | 7.77 | 0.00 | −0.21 | 0.21 | −5.37 | −1.16 | −0.04 | 0.04 |
Disclaimer/Publisher’s Note: The statements, opinions and data contained in all publications are solely those of the individual author(s) and contributor(s) and not of MDPI and/or the editor(s). MDPI and/or the editor(s) disclaim responsibility for any injury to people or property resulting from any ideas, methods, instructions or products referred to in the content. |
© 2024 by the authors. Licensee MDPI, Basel, Switzerland. This article is an open access article distributed under the terms and conditions of the Creative Commons Attribution (CC BY) license (https://creativecommons.org/licenses/by/4.0/).
Share and Cite
Díaz-Quesada, G.; Gimenez-Egido, J.M.; Connor, J.; Ortega-Toro, E.; Torres-Luque, G. Intermonitor Variability of Garmin Vivofit® Jr. Wristband. Appl. Sci. 2024, 14, 3854. https://doi.org/10.3390/app14093854
Díaz-Quesada G, Gimenez-Egido JM, Connor J, Ortega-Toro E, Torres-Luque G. Intermonitor Variability of Garmin Vivofit® Jr. Wristband. Applied Sciences. 2024; 14(9):3854. https://doi.org/10.3390/app14093854
Chicago/Turabian StyleDíaz-Quesada, Gema, José María Gimenez-Egido, Jonathan Connor, Enrique Ortega-Toro, and Gema Torres-Luque. 2024. "Intermonitor Variability of Garmin Vivofit® Jr. Wristband" Applied Sciences 14, no. 9: 3854. https://doi.org/10.3390/app14093854
APA StyleDíaz-Quesada, G., Gimenez-Egido, J. M., Connor, J., Ortega-Toro, E., & Torres-Luque, G. (2024). Intermonitor Variability of Garmin Vivofit® Jr. Wristband. Applied Sciences, 14(9), 3854. https://doi.org/10.3390/app14093854

