Next Article in Journal
Experimental Investigation of Free-Motion Task Implementation on a Serial Metamorphic Manipulator
Next Article in Special Issue
The Endocrine and Body Composition Responses to Accentuated Eccentric Loading Performed in Cluster Sets During a Strength–Endurance Training Block
Previous Article in Journal
Numerical Simulation of Anchor Pullout and Shear Tests Using a Regularized Damage Model
Previous Article in Special Issue
Effect of a Sensorimotor Training Program for Aerial Maneuvers in Junior Surfers
 
 
Font Type:
Arial Georgia Verdana
Font Size:
Aa Aa Aa
Line Spacing:
Column Width:
Background:
Article

Do Different Next-to-Skin Garments Change Thermal Sensation, Jump Height and Landing Knee Valgus After Cold Exposure?

1
Bounce Physio, Brisbane, QLD 4011, Australia
2
Curtin School of Allied Health, Curtin University, Perth, WA 6102, Australia
*
Author to whom correspondence should be addressed.
Appl. Sci. 2024, 14(23), 11263; https://doi.org/10.3390/app142311263
Submission received: 11 October 2024 / Revised: 25 November 2024 / Accepted: 1 December 2024 / Published: 3 December 2024

Abstract

Exposure to the cold can negatively affect muscle performance. This study compared the effects of two different full-length, lower body, next-to-skin garments on thermal sensation, countermovement jump (CMJ) height and knee frontal plane angle upon landing following cold exposure against a control. After familiarisation, 13 male and 11 female recreationally active adults attended three separate laboratory testing sessions where a randomly assigned next-to-skin garment was used (compression, thermal and control (shorts)). A pre- and post-testing protocol comprising CMJ and drop landings interspersed with a sedentary cooling period of 40 min at 0 °C was adopted. High-speed motion analysis and subjective ratings of thermal sensation were recorded. Exposure to the cold significantly reduced thermal sensation (p < 0.001) scores and CMJ height (p < 0.001). Only female participants felt significantly warmer (p ≤ 0.009) in the next-to-skin garments. Losses in CMJ height were significantly reduced by the next-to-skin garments compared to the control with the thermal garment producing better results. There was little change in knee frontal plane angle upon landing in all the garments tested. Ambient cooling at 0 °C for 40 min had a significant effect on CMJ height and thermal sensation but not knee valgus upon landing. Participants in winter sports should consider next-to-skin garments in conjunction with proper warm-ups and re-warming techniques to protect themselves from the negative effects of the cold.

1. Introduction

Exposure to the cold has been shown to negatively affect muscle performance with a reduction of up to 5% in performance for every 1 °C drop in muscle temperature [1]. The decrement in performance has been attributed to altered neuromuscular function such as changes in neural drive and muscle mechanics [1,2]. This can have a profound effect on high-intensity athletic tasks such as jumping, where maximal recruitment of the available muscle fibres happens at high velocities [1,3].
Alpine skiing and snowboarding are the most popular disciplines of winter sports and these are performed in open environments with undulating terrain and steep slopes requiring the athlete to assume a squat-like position [4]. This posture not only lowers the centre of gravity to allow for better balance but also encourages dissipation of force upon landing, permits sharper and greater acceleration out of turns and increases jump height, all common manoeuvres in skiing and snowboarding [4,5]. Thus, it is unsurprising that physiological profiles have identified lower limb power production as the main determinant of skiing and snowboarding success [6,7].
Apart from the varied terrain, skiing and snowboarding are performed in relatively cold environments (−20 to 10 °C) [8]. Considering the cold has been shown to reduce muscle power [3], strength [9], proprioception [10] and rate of force development [11], the combination of these reductions with the physical demands of skiing and snowboarding may leave the athlete’s musculoskeletal system in a very vulnerable state [8]. In fact, the cold has been associated with an increased risk of knee injury in female skiers [8]. Some of these knee injuries occur whilst landing thus maintaining good landing biomechanics is important for injury prevention [12]. Maintaining appropriate muscle temperature is thought to be an important factor and this is usually achieved from a combination of appropriate warm-up before activity and by wearing appropriate thermal insulating garments.
Garments used by skiers and snowboarders consist of multiple layers which typically comprise an outer layer designed to allow transfer of moisture to the air, a middle layer that is the primary insulative layer and a base layer or next-to-skin garment that is tight fitting [13]. Commonly, next-to-skin garments with thermal insulating properties are worn; however, anecdotal evidence suggests skiers and snowboarders are switching to compression garments as their next-to-skin garment of choice with manufacturers of compression garments introducing a range, especially for snow sports.
In winter racing sports, compression garments have been shown to reduce surface drag and help with muscle function through reduced vibration during high impact [14]. In laboratory testing of simulated skiing, compression garments have been shown to lower perceived exertion in a deep tuck [15], reduce muscle activity in the lower limb [16], and improve centre-of-pressure measures [17]. In other sports, compression garments have been shown to increase skin temperature but not improve running performance while athletes were tested in cool (10 °C) environments [18], as well as lower levels of (simulating skiing) in a laboratory. This leaves a gap in the knowledge of the usefulness of compression garments in changing kinematics in dynamic movements when these movements are performed in the cold. Therefore, the aim of our study was to compare two different next-to-skin garments on thermal sensation as well as countermovement jump height and knee valgus upon landing against a control garment following exposure to the cold. We hypothesised that cold exposure would reduce thermal sensation scores and vertical jump height and induce knee valgus upon landing. In addition, both next-to-skin garments would be associated with ameliorating these effects. The null hypothesis was that old exposure would not reduce thermal sensation score and vertical jump height and induce knee valgus upon landing.

2. Materials and Methods

Eleven females (mean ± SD; age: 21.5 ± 1.2 years, height 1.66 ± 0.051 m and body mass 59.24 ± 8.11 kg) and thirteen males (age 22.3 ± 1.4 years, height 1.80 ± 0.076 m and body mass 73.48 ± 6.89 kg) participated in this single cohort, repeated measures, pre-post study. Sample size calculation was based on Wang and colleagues’ [19] kinematic results, with an alpha of 0.05 and 90% power. All participants gave verbal and written consent and completed an inclusion criteria questionnaire prior to participation. Participant inclusion was based on the following criteria: age (18–30 years) with regular participation (at least twice per week) in an organised sport or physical activity. Participants with a history of lower limb injury within six months prior to testing, those who had received lower limb surgery, were hypersensitive to the cold or had been diagnosed with Reynaud’s Disease were excluded from this study. These exclusion criteria were developed for safety reasons, due to the high-impact nature of the movement tasks examined and the prolonged exposure to a low environmental temperature. This study was approved by the Institutional Human Research Ethics Committee (HEAG-H 34_2012). Data were collected in 2013; however, due to a number of challenging situations, these data were not analysed until 2020. The contemporary nature of this study though will be addressed in the Discussion.
A familiarisation session was conducted prior to the commencement of testing. In this session, we showed potential participants the jumping and landing procedures and they were allowed to practice their jumping and landing. We also allowed them to experience the cold environment for 10 min to ensure they were comfortable with the exposure. We used a thermal comfort scale (which is detailed later) to judge the comfort of the participants. Any participant who scored lower than 2 on the scale during the familiarisation was excluded from this study. Lastly, anthropometric measurements (i.e., height and body mass) were taken during familiarisation testing. Participants were tested on three separate occasions (each occasion represented one of the three conditions) with each testing session interspersed by seven days. During a testing session, either a full-length, next-to-skin, lower body compression garment (Figure 1C) (S400 snow compression, Skins, Sydney, NSW, Australia; henceforth termed “compression garment”), a full-length, next-to-skin, lower body thermal garment (Figure 1B) (Polypropylene thermal underwear, China; henceforth termed “thermal garment”) or a pair of conventional running shorts (Figure 1A) (Sports, Kmart Australia Limited, Mulgrave, VIC, Australia; henceforth termed “control garment”) were allocated to the participant. The sizing of the compression garment used was in accordance with the manufacturer’s guidelines while the thermal and control garments were self-determined by the participant. Participants also wore standardised leather boots (Taipan Footwear, Preston, VIC, Australia) to mimic the restricted ankle movement of ski or snowboard boots and a cotton, short-sleeved t-shirt. The order of the conditions was randomised for participants via a random number generator in Microsoft Excel v15.
Prior to testing, 23 retro-reflective markers were attached to the participant. The marker positions were adopted from previous work involving drop landing and dynamic knee valgus, which allowed three-dimensional rotations of the knee as well as the participant’s jump height (from the pelvis) to be quantified [20]. At the commencement of testing, participants performed five countermovement jumps (CMJ) followed by five drop landings (DL) from a height of 0.9 m. Hands were held akimbo during the CMJ with a 10 s rest provided between each jump. Drop landings were initiated by taking a step off a 0.9 m platform and landing simultaneously with both feet. Lower body kinematics during both tasks were captured using a 12-camera, three-dimensional, high-speed motion analysis system (Raptor-E System, Motion Analysis Corporation, Rohnert Park, CA, USA) sampling data at 500 Hz. Subsequently, participants entered the climate chamber (Votsch Industritekin Climatic walk-in chamber series VCZ, Beethovenstraβe, Germany) where they remained seated for 40 min at 0 °C while wearing a standardised cotton jumper. The cooling protocol adopted was based on work by Comeau and colleagues [21]. At the end of the cooling period, participants exited the chamber and repeated the exercise testing protocol by performing five DL and five CMJ. The climate chamber was housed within the motion capture laboratory and participants only had a 10 s walk to the testing area limiting the amount of re-heating. Individual testing sessions were conducted, and retro-reflective markers were left attached to the participants during cooling and quickly visually inspected for correct placement prior to the post-cooling test.
Subjective ratings of the participant’s thermal sensation were recorded immediately prior to and every ten minutes during the cooling protocol and five minutes post-exercise testing completion using a linear, 17-point, 0.0 to 8.0 scale that was graduated in a 0.5 increment. This scale used the terms of 0.0 = “Unbearable Cold”’, 1.0 = “Very Cold”, 2.0 = “Cold”, 3.0 = “Cool”, 4.0 = “Comfortable”, 5.0 = “Warm”, 6.0 = “Hot”, 7.0 = “Very Hot” and 8.0 = “Unbearably Hot” and was previously used in a cooling experiment [22]. Raw kinematic data from each CMJ and DL were processed with manufacturer-supplied software (Cortex version 3.1, Motion Analysis, Santa Rosa, CA, USA). Marker trajectories were smoothed using a low-pass Butterworth filter with a cut-off frequency set at 9 Hz following residual analysis of the data [20]. Manufacturer-supplied modelling software (Kintools RT, Motion Analysis, Santa Rosa, CA, USA) converted the processed kinematic data into 3-dimensional angular data for knee frontal plane angle for each trial [20]. As ground reaction force data were not collected, initial contact with the ground could not be accurately determined, and thus knee kinematic histories or knee varus–valgus ranges upon landing could not be calculated. As such, only the maximum knee frontal plane angle was obtained for each landing trial [20]. This value was used to judge the effect of cooling on the knee frontal plane angle by calculating the absolute difference prior to and after cooling in the three garment conditions. CMJ height was calculated as the difference in the vertical trajectory of the sacral marker from the initial standing position to the maximal vertical displacement. An average value from the five DL and CMJ performed pre- and post-cooling was obtained. Changes in these dependent variables pre- and post-cooling were used to investigate the association between cooling and garment type.
Statistical analysis was undertaken using SPSS (version 22, IBM, Armonk, NY, USA). Data were inspected for normality using the Shapiro–Wilk test where normality was confirmed. A two-way repeated measures ANOVA (garment × time) was performed to determine if thermal sensation changed over time and between garments. When significant changes were identified between the two factors (time × garment), paired sample t-tests (with Bonferroni correction and significance accepted at 0.017) were used to identify for which garments the significant differences lay. Linear mixed models were used to assess the association of conditions on the dependent kinematics variables. Percent change in jump height due to cooling was assessed with fixed effects of condition (control, compression, thermal) and sex. The random effect was a participant. Change in peak knee valgus angle was assessed with fixed effects: condition (control, compression, thermal) and sex. Data for all trials were included. All interactions were examined and reported if these were statistically significant at p < 0.01 (reduced from 0.05 to control for multiple comparisons). Model residuals were visualised against predicted values to ensure model fit at all levels of predicted values. Post hoc pairwise comparisons reporting pairwise confidence intervals were calculated using the Least Significant Difference algorithm.

3. Results

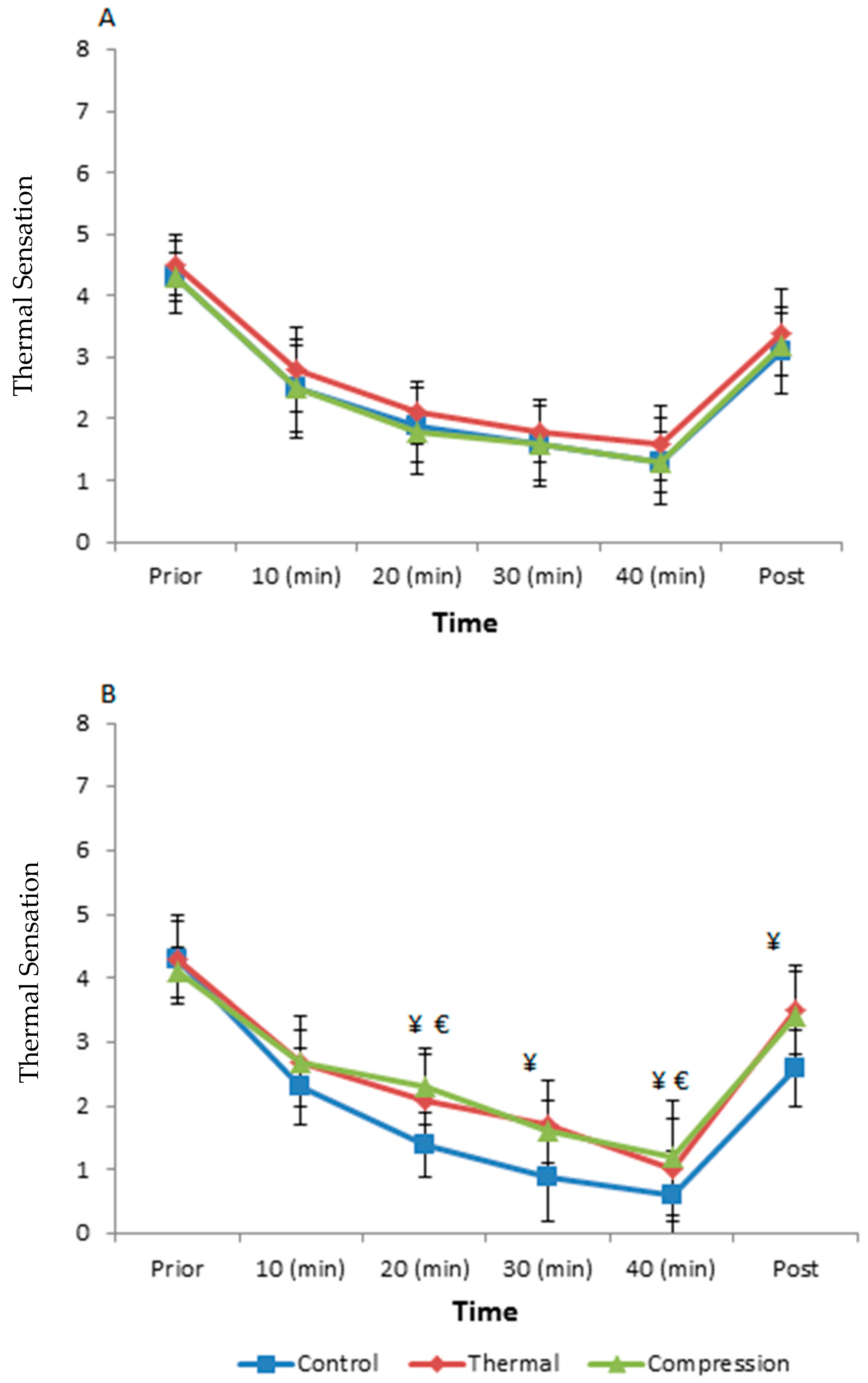
Thermal sensation scores (Figure 2A,B) significantly decreased from baseline level (0 min) throughout the cooling protocol in both sexes (p < 0.001). These scores reached their lowest point after 40 min of cooling in males and females before significantly increasing (p < 0.001) when recordings were taken 5 min post-exercise completion in both males and females. Male participants reported no difference in thermal sensation between all garment conditions. However, female participants felt significantly colder in the control garment compared to the thermal garment at 20 (1.0 ± 0.5, p = 0.006), 30 (1.0 ± 0.5, p = 0.001) and 40 min (0.5 ± 0.5, p = 0.009) during cooling and at 5 min post-testing (1.0 ± 1.0, p < 0.018) and in compression garment at 20 (1.0 ± 0.5, p = 0.002) and 40 min (0.5 ± 0.5, p = 0.013) time periods.
When CMJ height was analysed, cooling was found to be independent of the sex of the participant but significantly associated with the type of garment worn (p < 0.001). The compression garment reduced the loss of CMJ height due to cooling by 3% (95% confidence interval of the mean difference = 2.9% to 4.5%) compared to the control garment. Also, the thermal garment reduced CMJ height loss compared to the control garment by 4% (95% confidence interval of the mean difference = 1.6% to 4.8%; Table 1).
Cooling was not associated with the maximum knee frontal plane angle during landing. Male participants displayed less knee valgus with cooling (right 0.6 ± 4.32° knee varus; left 2.5 ± 5.2° knee varus) while females displayed more (right 1.0 ± 4.46° knee valgus; left 0.3 ± 5.11° knee valgus). The change in maximum knee frontal plane angle with cooling was not significantly associated with the garment worn or the sex of the participant.

4. Discussion

Our study’s results partially supported our hypothesis that thermal sensation and CMJ height were reduced by cold exposure and that both next-to-skin garments significantly ameliorated CMJ performance decrements in the cold. However, the garments only augmented thermal sensation scores of the female participants compared to the control garment and there was no significant change in landing kinematics with cooling in any of the garments tested.
In this investigation, all participants reported significantly lower thermal sensation scores during cooling. This result is unsurprising as the present study’s cooling protocol was adopted from previous work [21], where significant heat loss from muscle surface temperature was recorded during ambient cooling of participants. In the present investigation, only female participants reported significantly different thermal sensations between the garments tested, with the thermal and compression garments significantly augmenting thermal sensation scores compared to the control garment. These results are similar to data presented by Karjalainen [23] in a meta-analysis of thermal comfort and sex which showed females report a greater sensitivity to deviations in temperature compared to males, especially in cooler conditions.
Countermovement jump height was reduced following cooling in all garments tested and the largest reduction was recorded in the control garment. Cross et al. [24] demonstrated a 5% reduction in single-leg vertical jump height following cold water immersion (CWI) at 13 °C. Further, Fischer and colleagues [25] identified a 4% reduction in single-leg vertical jump height following hamstring cooling with an ice pack. Meanwhile, Patterson et al. [3] observed large reductions (16%) in CMJ height following cold whirlpool (10 °C) cooling of the lower extremities. These researchers also showed functional performance decrements in speed, power, agility and range of movement for up to 32 min post-cooling [3].
Both the thermal and the compression garments were observed to significantly offset the reduction in CMJ height associated with cold exposure. This offset in performance reduction is comparable to the improvements afforded by re-warming following cold exposure. Dixon and co-workers [26] showed an improvement in CMJ power to near pre-cooling levels when participants performed 15 min of dynamic rewarming exercises after 45 min of cold water immersion. Further, following the application of an ice bag, Richendollar et al. [27] demonstrated improvements in single-leg vertical jump height with a 6.5 min re-warming of the lower limb musculature by light jogging and stretches. The beneficial effect of muscle rewarming with exercise after cold exposure is clear; however, these exercises may not be easily performed in certain environments such as in winter sports such as skiing and snowboarding. Thus, results from this study suggest participants from these sports may benefit from the use of appropriate next-to-skin garments.
There were no significant changes in knee valgus upon landing in any of the conditions tested. Although not directly comparable with the present investigation, as only sagittal plane kinematics were reported, Wang et al. [19] showed no difference in knee flexion upon landing from a 0.6 m platform following cold water immersion. The lack of increased valgus following cold exposure could be a result of no changes to joint laxity as opposed to muscular contribution. Despite changes in the rate of force development in the knee flexors, Csapo et al. [11] found no changes in knee joint laxity after 30 min of ambient cooling at −5 °C.
In this study, there are several limitations that must be highlighted. Firstly, the data from this study were collected in 2013 and analysed in 2020. However, a recent review into compression garments in winter sports shows there have been no studies investigating how compression garments can change human performance in the cold. This study, despite its age, fills this gap in the literature. Next, muscle or skin temperature was not recorded, thus the level of muscle cooling attenuation afforded by each garment could not be ascertained. This decision was made on the premise that previous work showed significant cooling of the skin using the same cooling protocol and that the insertion of muscle temperature probes could have interfered with jumping and landing biomechanics [21]. Further, only jump height from a CMJ and knee valgus upon landing were analysed, whereas changes in the biomechanics of different body segments and during different activities with cold exposure have been reported [3,19,27]. Additionally, we did not control for BMI or diet, nor did we record the menstrual phase of our female participants. These factors are known to change perception of temperature and may have invalidated our temperature perception results. Future studies may wish to control these factors as well as investigate the performance of different next-to-skin garments in speed and agility activities and capture the biomechanics of different body segments after cold exposure.

5. Conclusions

Ambient cooling at 0 °C for 40 min had a significant association with CMJ height and thermal sensation but not knee valgus upon landing. Female participants felt less cold in thermal and compression garments compared to the control garment during and post-cooling. Both the thermal and compression garments inhibited the level of jump height decrement following cooling. Changes in knee valgus angles upon landing were not related to the cooling or garment used. A next-to-skin garment has the potential to blunt the negative effects that cold has on muscle performance. Athletes who train or compete in cold environments should consider using a next-to-skin garment in conjunction with proper warm-up and re-warming techniques.

Author Contributions

Conceptualisation, K.N. and B.K.; methodology, K.N. and B.K.; formal analysis, K.N., B.K. and S.M.; investigation, B.K. and K.N.; writing—original draft preparation, B.K.; writing—review and editing, K.N. and S.M.; supervision, K.N. All authors have read and agreed to the published version of the manuscript.

Funding

This research received no external funding.

Institutional Review Board Statement

This study was conducted in accordance with the Declaration of Helsinki and approved by the Institutional Review Board (or Ethics Committee) of Deakin University (HEAG-H 34_2012, June 2012).

Informed Consent Statement

Written informed consent has been obtained from the patient(s) to publish this paper.

Data Availability Statement

De-identified data from this project are available from the corresponding author upon request as it is stored in the Institutional data repository which is protected and only accessible by the research team for ethical reasons.

Conflicts of Interest

The authors declare no conflicts of interest.

References

  1. Racinais, S.; Oksa, J. Temperature and neuromuscular function. Scand. J. Med. Sci. Sports 2010, 20, 1–18. [Google Scholar] [CrossRef] [PubMed]
  2. Wakabayashi, H.; Wijayanto, T.; Tochihara, Y. Neuromuscular function during knee extension exercise after cold water immersion. J. Physiol. Anthropol. 2017, 36, 28. [Google Scholar] [CrossRef] [PubMed]
  3. Patterson, S.M.; Udermann, B.E.; Doberstein, S.T.; Reineke, D.M. The Effects of Cold Whirlpool on Power, Speed, Agility, and Range of Motion. J. Sports Sci. Med. 2008, 7, 387–394. [Google Scholar]
  4. Supej, M.; Hébert-Losier, K.; Holmberg, H.-C. Impact of the Steepness of the Slope on the Biomechanics of World Cup Slalom Skiers. Int. J. Sports Physiol. Perform. 2015, 10, 361–368. [Google Scholar] [CrossRef] [PubMed]
  5. Krüger, A.; Edelmann-Nusser, J. Biomechanical analysis in freestyle snowboarding: Application of a full-body inertial measurement system and a bilateral insole measurement system. Sports Technol. 2009, 2, 17–23. [Google Scholar] [CrossRef]
  6. Patterson, C.; Raschner, C.; Platzer, H.-P. Power Variables and Bilateral Force Differences During Unloaded and Loaded Squat Jumps in High Performance Alpine Ski Racers. J. Strength Cond. Res. 2009, 23, 779–787. [Google Scholar] [CrossRef]
  7. Platzer, H.-P.; Raschner, C.; Patterson, C.; Lembert, S. Comparison of Physical Characteristics and Performance Among Elite Snowboarders. J. Strength Cond. Res. 2009, 23, 1427–1432. [Google Scholar] [CrossRef]
  8. Ruedl, G.; Fink, C.; Schranz, A.; Sommersacher, R.; Nachbauer, W.; Burtscher, M. Impact of environmental factors on knee injuries in male and female recreational skiers. Scand. J. Med. Sci. Sports 2012, 22, 185–189. [Google Scholar] [CrossRef]
  9. Bergh, U.; Ekblom, B. Influence of muscle temperature on maximal muscle strength and power output in human skeletal muscles. Acta Physiol. Scand. 1979, 107, 33–37. [Google Scholar] [CrossRef]
  10. Wassinger, C.A.; Myers, J.B.; Gatti, J.M.; Conley, K.M.; Lephart, S.M. Proprioception and Throwing Accuracy in the Dominant Shoulder After Cryotherapy. J. Athl. Train. 2007, 42, 84–89. [Google Scholar]
  11. Csapo, R.; Folie, R.; Hosp, S.; Hasler, M.; Nachbauer, W. Why do we suffer more ACL injuries in the cold? A pilot study into potential risk factors. Phys. Ther. Sport 2017, 23, 14–21. [Google Scholar] [CrossRef] [PubMed]
  12. Tarka, M.C.; Davey, A.; Lonza, G.C.; O’Brien, C.M.; Delaney, J.P.; Endres, N.K. Alpine Ski Racing Injuries. Sports Health 2019, 11, 265–271. [Google Scholar] [CrossRef] [PubMed]
  13. a Ha, M.; Tokura, H.; Yoden, K.; Holmér, I. A Comparison of Skin Temperatures and Clothing Microclimate During Moderate Intermittent Exercise in the Cold Between One and Two Layers of Cotton and Polypropylene Underwear. Int. J. Occup. Saf. Ergon. 1998, 4, 347–362. [Google Scholar] [CrossRef] [PubMed]
  14. Yang, C.; Xu, Y.; Yang, Y.; Xiao, S.; Fu, W. Effectiveness of Using Compression Garments in Winter Racing Sports: A Narrative Review. Front. Physiol. 2020, 11, 970. [Google Scholar] [CrossRef] [PubMed]
  15. Sperlich, B.; Born, D.-P.; Swarén, M.; Kilian, Y.; Geesmann, B.; Kohl-Bareis, M.; Holmberg, H.-C. Is leg compression beneficial for alpine skiers? Sports Med. Arthrosc. Rehabil. Ther. Technol. 2013, 5, 18. [Google Scholar] [CrossRef]
  16. Simons, C.J.; Seifert, J.G.; Decker, M.J.; Shelburne, K.B.; Sterett, W.I.; Davidson, B.S. Leg Compression Tights Reduce Muscle Activation by Altering Ski Turning Technique: 993 Board #309 June 1, 3: 30 PM–5: 00 PM. Med. Sci. Sports Exerc. 2016, 48, 285. [Google Scholar] [CrossRef]
  17. Decker, M.; Simons, C.; Seifert, J.; Shelburne, K.; Sterett, W.; Davidson, B. Leg Compression Tights and Turning Direction Influence Alpine Skiing Mechanics and Dynamic Balance: 992 Board #308 June 1, 3: 30 PM–5: 00 PM. Med. Sci. Sports Exerc. 2016, 48, 284–285. [Google Scholar] [CrossRef]
  18. Goh, S.S.; Laursen, P.B.; Dascombe, B.; Nosaka, K. Effect of lower body compression garments on submaximal and maximal running performance in cold (10 °C) and hot (32 °C) environments. Eur. J. Appl. Physiol. 2011, 111, 819–826. [Google Scholar] [CrossRef]
  19. Wang, H.; Toner, M.M.; Lemonda, T.J.; Zohar, M. Changes in Landing Mechanics After Cold-Water Immersion. Res. Q. Exerc. Sport 2010, 81, 127–132. [Google Scholar] [CrossRef]
  20. Ford, K.R.; Myer, G.D.; Hewett, T.E. Valgus Knee Motion during Landing in High School Female and Male Basketball Players. Med. Sci. Sports Exerc. 2003, 35, 1745–1750. [Google Scholar] [CrossRef]
  21. Comeau, M.J.; Potteiger, J.A.; Brown, L.E. Effects of environmental cooling on force production in the quadriceps and hamstrings. J. Strength Cond. Res. 2003, 17, 279–284. [Google Scholar] [PubMed]
  22. Young, A.J.; Sawka, M.N.; Epstein, Y.; Decristofano, B.; Pandolf, K.B. Cooling different body surfaces during upper and lower body exercise. J. Appl. Physiol. 1987, 63, 1218–1223. [Google Scholar] [CrossRef] [PubMed]
  23. Karjalainen, S. Thermal comfort and gender: A literature review. Indoor Air 2012, 22, 96–109. [Google Scholar] [CrossRef]
  24. Cross, K.M.; Wilson, R.W.; Perrin, D.H. Functional Performance Following an Ice Immersion to the Lower Extremity. J. Athl. Train. 1996, 31, 113–116. [Google Scholar] [PubMed]
  25. Fischer, J.; Van Lunen, B.L.; Branch, J.D.; Pirone, J.L. Functional Performance Following an Ice Bag Application to the Hamstrings. J. Strength Cond. Res. 2009, 23, 44–50. [Google Scholar] [CrossRef]
  26. Dixon, P.G.; Kraemer, W.J.; Volek, J.S.; Howard, R.L.; Gomez, A.L.; Comstock, B.A.; Dunn-Lewis, C.; Fragala, M.S.; Hooper, D.R.; Häkkinen, K.; et al. The Impact of Cold-Water Immersion on Power Production in the Vertical Jump and the Benefits of a Dynamic Exercise Warm-Up. J. Strength Cond. Res. 2010, 24, 3313–3317. [Google Scholar] [CrossRef]
  27. Richendollar, M.L.; Darby, L.A.; Brown, T.M. Ice Bag Application, Active Warm-Up, and 3 Measures of Maximal Functional Performance. J. Athl. Train. 2006, 41, 364–370. [Google Scholar]
Figure 1. Garments used in this study: (A) control garment, (B) thermal garment, (C) compression garment.
Figure 1. Garments used in this study: (A) control garment, (B) thermal garment, (C) compression garment.
Applsci 14 11263 g001
Figure 2. Time course of assessed thermal sensation in males (A) and females (B) for different parts of the cooling protocol. € Denotes higher perceived sensation with compression garments than with control garments (p < 0.05). ¥ Denotes higher perceived sensation with thermal garments than with control garments (p < 0.05).
Figure 2. Time course of assessed thermal sensation in males (A) and females (B) for different parts of the cooling protocol. € Denotes higher perceived sensation with compression garments than with control garments (p < 0.05). ¥ Denotes higher perceived sensation with thermal garments than with control garments (p < 0.05).
Applsci 14 11263 g002
Table 1. Mean CMJ jump heights for each condition.
Table 1. Mean CMJ jump heights for each condition.
ControlThermalCompression
BaselinePostDifferenceBaselinePostDifferenceBaselinePostDifference
Mean
Female CMJ Height (m)
0.29 ± 0.040.23 ± 0.04 *0.07 ± 0.02 ¥0.29 ± 0.040.25 ± 0.03 *0.05 ± 0.020.30 ± 0.030.24 ± 0.03 *0.06 ± 0.01
Mean Male CMJ Height (m)0.41 ± 0.060.32 ± 0.05 *0.09 ± 0.03 ¥0.41 ± 0.060.34 ± 0.05 *0.07 ± 0.020.41 ± 0.070.33 ± 0.06 *0.08 ± 0.03 ¥
All data are M ± SD, * denotes difference between Baseline and Post, ¥ denotes difference from thermal garment.
Disclaimer/Publisher’s Note: The statements, opinions and data contained in all publications are solely those of the individual author(s) and contributor(s) and not of MDPI and/or the editor(s). MDPI and/or the editor(s) disclaim responsibility for any injury to people or property resulting from any ideas, methods, instructions or products referred to in the content.

Share and Cite

MDPI and ACS Style

Kasehagen, B.; Morris, S.; Netto, K. Do Different Next-to-Skin Garments Change Thermal Sensation, Jump Height and Landing Knee Valgus After Cold Exposure? Appl. Sci. 2024, 14, 11263. https://doi.org/10.3390/app142311263

AMA Style

Kasehagen B, Morris S, Netto K. Do Different Next-to-Skin Garments Change Thermal Sensation, Jump Height and Landing Knee Valgus After Cold Exposure? Applied Sciences. 2024; 14(23):11263. https://doi.org/10.3390/app142311263

Chicago/Turabian Style

Kasehagen, Ben, Susan Morris, and Kevin Netto. 2024. "Do Different Next-to-Skin Garments Change Thermal Sensation, Jump Height and Landing Knee Valgus After Cold Exposure?" Applied Sciences 14, no. 23: 11263. https://doi.org/10.3390/app142311263

APA Style

Kasehagen, B., Morris, S., & Netto, K. (2024). Do Different Next-to-Skin Garments Change Thermal Sensation, Jump Height and Landing Knee Valgus After Cold Exposure? Applied Sciences, 14(23), 11263. https://doi.org/10.3390/app142311263

Note that from the first issue of 2016, this journal uses article numbers instead of page numbers. See further details here.

Article Metrics

Back to TopTop