Investigations on Millimeter-Wave Indoor Channel Simulations for 5G Networks
Abstract
1. Introduction
2. Previous Related Work
3. Methodology and Simulation Setup
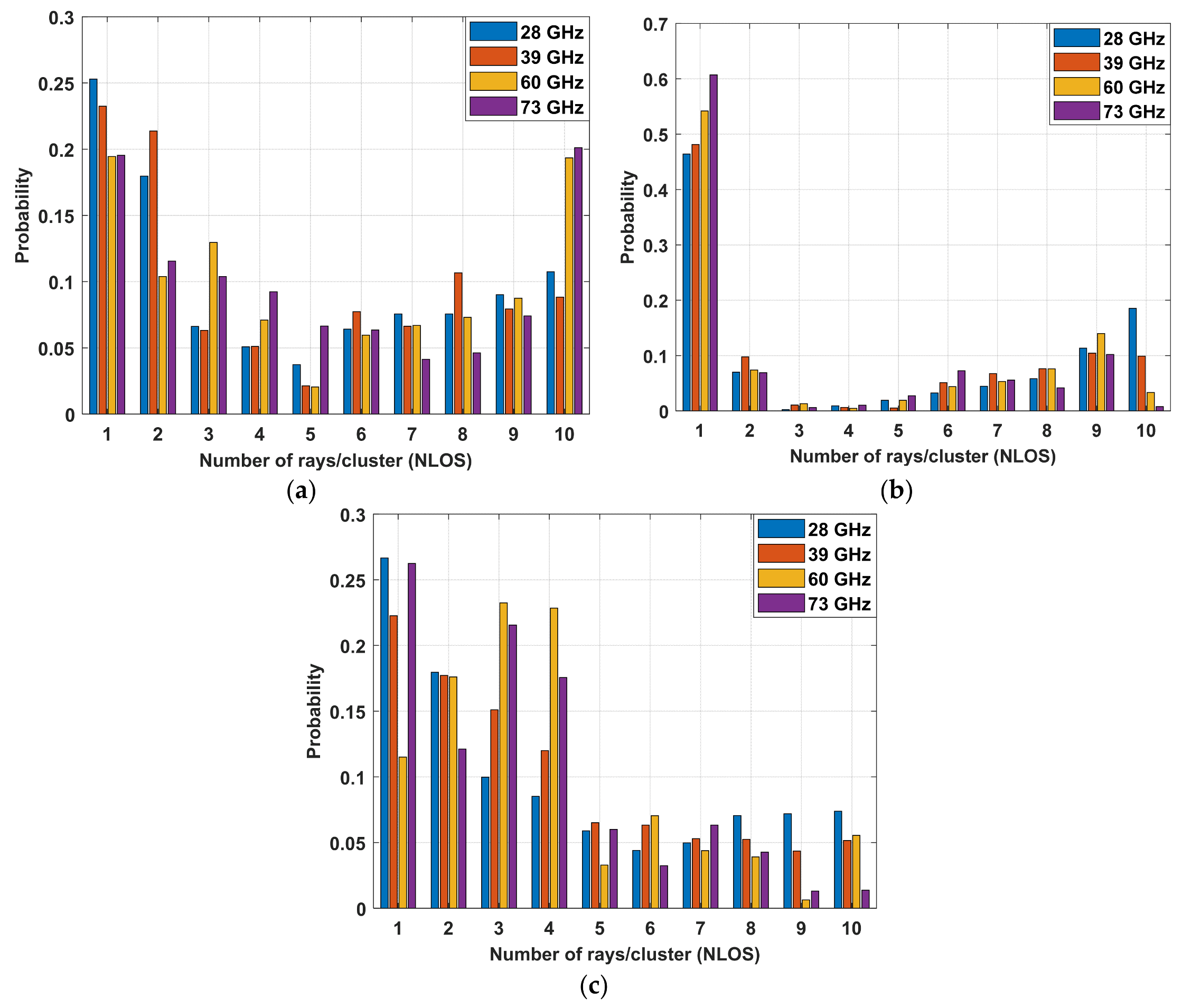
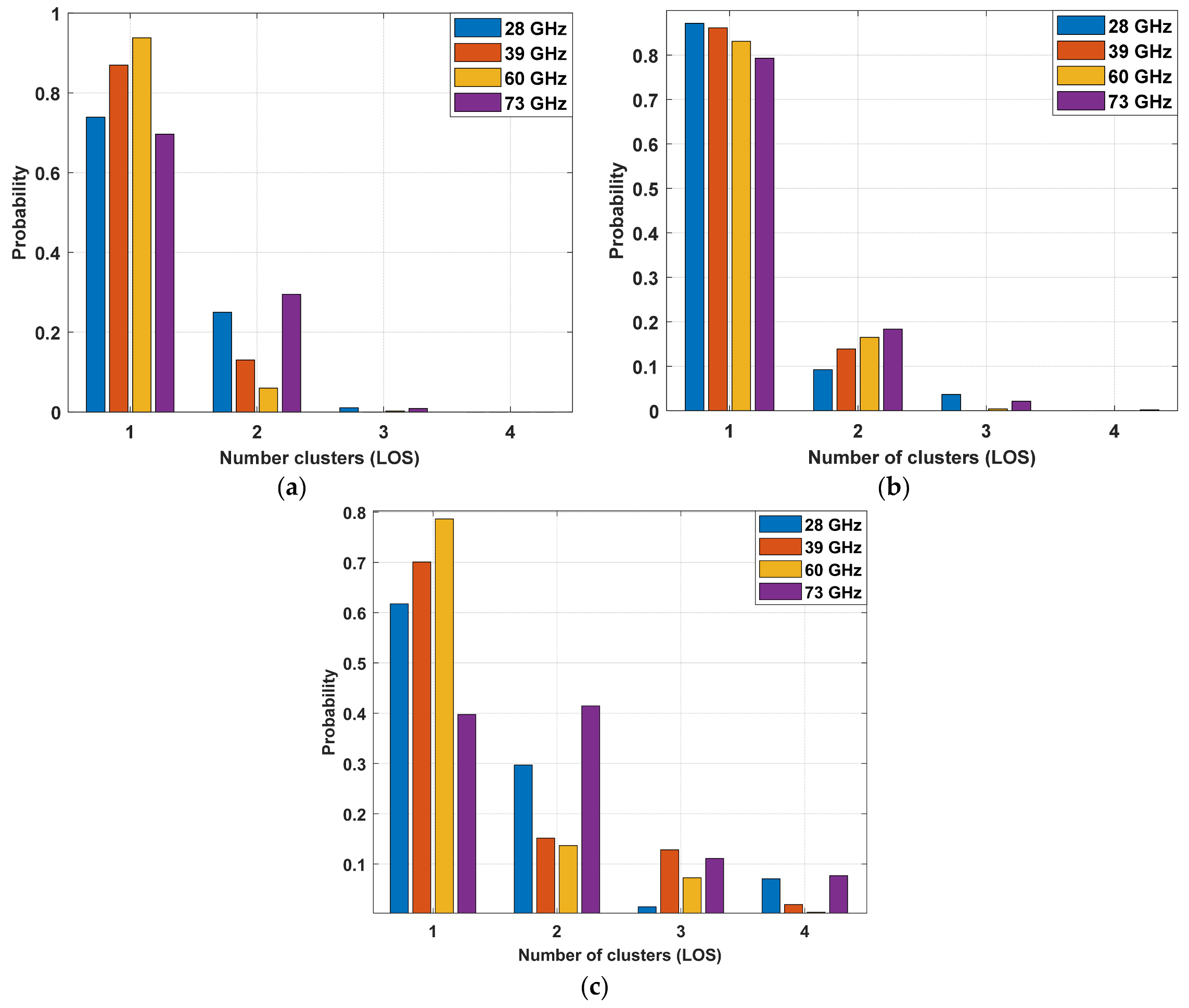
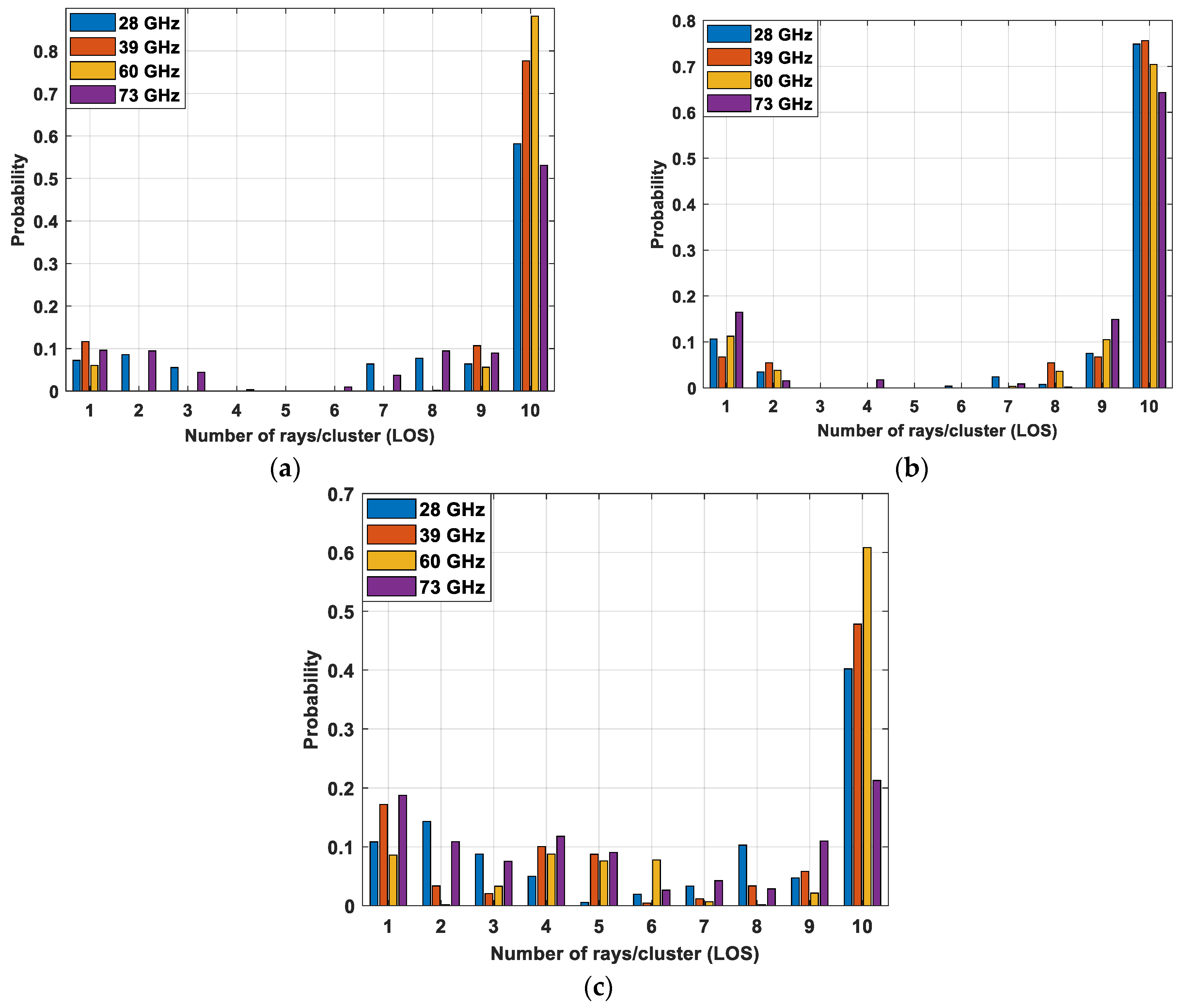
4. Results and Discussion
5. Conclusions
Funding
Institutional Review Board Statement
Informed Consent Statement
Data Availability Statement
Conflicts of Interest
References
- Ali, U.; Caso, G.; De Nardis, L.; Kousias, K.; Rajiullah, M.; Alay, Ö.; Neri, M.; Brunstrom, A.; Di Benedetto, M.G. Large-Scale Dataset for the Analysis of Outdoor-to-Indoor Propagation for 5G Mid-Band Operational Networks. Data 2022, 7, 34. [Google Scholar] [CrossRef]
- Sufyan, A.; Khan, K.B.; Khashan, O.A.; Mir, T.; Mir, U. From 5G to beyond 5G: A comprehensive survey of wireless network evolution, challenges, and promising technologies. Electronics 2023, 12, 2200. [Google Scholar] [CrossRef]
- Rehman, S.U.; Ahmad, J.; Manzar, A.; Moinuddin, M. Beamforming techniques for mimo-noma for 5g and beyond 5g: Research gaps and future directions. Circuits Syst. Signal Process. 2024, 43, 1518–1548. [Google Scholar] [CrossRef]
- Dao, N.-N.; Tu, N.H.; Hoang, T.-D.; Nguyen, T.-H.; Nguyen, L.V.; Lee, K.; Park, L.; Na, W.; Cho, S. A review on new technologies in 3GPP standards for 5G access and beyond. Comput. Netw. 2024, 245, 110370. [Google Scholar] [CrossRef]
- Ullah, U.; Kamboh, U.R.; Hossain, F.; Danish, M. Outdoor-to-indoor and indoor-to-indoor propagation path loss modeling using smart 3D ray tracing algorithm at 28 GHz mmWave. Arab. J. Sci. Eng. 2020, 45, 10223–10232. [Google Scholar] [CrossRef]
- Sizun, H. The Propagation of Optical and Radio Electromagnetic Waves. In Electromagnetic Waves 1: Maxwell’s Equations, Wave Propagation; Wiley: Hoboken, NJ, USA, 2021; pp. 119–238. [Google Scholar]
- Diago-Mosquera, M.E.; Aragón-Zavala, A.; Castañón, G. Bringing it indoors: A review of narrowband radio propagation modeling for enclosed spaces. IEEE Access 2020, 8, 103875–103899. [Google Scholar] [CrossRef]
- Obeidat, H.; El Sanousi, G.T. Indoor Propagation Channel Simulations for 6G Wireless Networks. IEEE Access 2024, 12, 133863–133876. [Google Scholar] [CrossRef]
- Saleh, A.A.M.; Valenzuela, R. A statistical model for indoor multipath propagation. IEEE J. Sel. Areas Commun. 1987, 5, 128–137. [Google Scholar] [CrossRef]
- Mladenović, J.; Nešković, A.; Nešković, N. Survey of Radio Channel Models. In Proceedings of the 2020 28th Telecommunications Forum (TELFOR), Belgrade, Serbia, 24–25 November 2020; pp. 1–4. [Google Scholar]
- Tariq, S.; Al-Rizzo, H.; Hasan, M.N.; Kunju, N.; Abushamleh, S. Stochastic Versus Ray Tracing Wireless Channel Modeling for 5G and V2X Applications: Opportunities and Challenges. In Antenna System; IntechOpen: London, UK, 2021. [Google Scholar]
- Pang, L.; Zhang, J.; Zhang, Y.; Huang, X.; Chen, Y.; Li, J. Investigation and Comparison of 5G Channel Models: From QuaDRiGa, NYUSIM, and MG5G Perspectives. Chin. J. Electron. 2022, 31, 1–17. [Google Scholar]
- Driessen, P.F.; Gimersky, M.; Rhodes, T. Ray model of indoor propagation. In Wireless Personal Communications; Springer: Berlin/Heidelberg, Germany, 1993; pp. 225–249. [Google Scholar]
- Nagatomo, S.; Omiya, M. Prediction of 28 GHz Propagation Characteristics in an Indoor Office Environment Based on Large-scale Computer Simulations. In Proceedings of the 2020 International Symposium on Antennas and Propagation (ISAP), Osaka, Japan, 25–28 January 2021; pp. 311–312. [Google Scholar]
- Wölfle, G.; Wahl, R.; Wertz, P.; Wildbolz, P.; Landstorfer, F. Dominant path prediction model for indoor scenarios. In Proceedings of the German Microwave Conference (GeMIC), Ulm, Germany, 5–7 April 2005. [Google Scholar]
- Abdulwahid, M.M.; Al-Ani, O.A.S.; Mosleh, M.F.; Abd-Alhameed, R.A. Investigation of millimeter-wave indoor propagation at different frequencies. In Proceedings of the 2019 4th Scientific International Conference Najaf (SICN), Al-Najef, Iraq, 29–30 April 2019; pp. 25–30. [Google Scholar]
- AlAbdullah, A.A.; Ali, N.; Obeidat, H.; Abd-Alhmeed, R.A.; Jones, S. Indoor millimetre-wave propagation channel simulations at 28, 39, 60 and 73 GHz for 5G wireless networks. In Proceedings of the 2017 Internet Technologies and Applications (ITA), Wrexham, UK, 12–15 September 2017; pp. 235–239. [Google Scholar]
- Bultitude, Y.D.J.; Rautiainen, T. IST-4-027756 WINNER II D1. 1.2 V1. 2 WINNER II Channel Models; EBITG, TUI, UOULU, CU/CRC, NOKIA. Technical Report; Uppsala University: Uppsala, Sweden, 2007. [Google Scholar]
- Karttunen, A.; Jarvelainen, J.; Khatun, A.; Haneda, K. Radio propagation measurements and WINNER II parameterization for a shopping mall at 60 GHz. In Proceedings of the 2015 IEEE 81st Vehicular Technology Conference (VTC Spring), Glasgow, UK, 11–14 May 2015; pp. 1–5. [Google Scholar]
- Obeidat, H.; Ullah, A.; AlAbdullah, A.; Manan, W.; Obeidat, O.; Shauieb, W.; Dama, Y.; Kara-Zaïtri, C.; Abd-Alhameed, R. Channel Impulse Response at 60 GHz and Impact of Electrical Parameters Properties on Ray Tracing Validations. Electronics 2021, 10, 3932. [Google Scholar] [CrossRef]
- Aldhaibani, A.O.; Rahman, T.A.; Alwarafy, A. Radio-propagation measurements and modeling in indoor stairwells at millimeter-wave bands. Phys. Commun. 2020, 38, 100955. [Google Scholar] [CrossRef]
- Maccartney, G.R.; Rappaport, T.S.; Sun, S.; Deng, S. Indoor office wideband millimeter-wave propagation measurements and channel models at 28 and 73 GHz for ultra-dense 5G wireless networks. IEEE Access 2015, 3, 2388–2424. [Google Scholar] [CrossRef]
- Ko, J.; Cho, Y.-J.; Hur, S.; Kim, T.; Park, J.; Molisch, A.F.; Haneda, K.; Peter, M.; Park, D.-J.; Cho, D.-H. Millimeter-Wave Channel Measurements and Analysis for Statistical Spatial Channel Model in In-Building and Urban Environments at 28 GHz. IEEE Trans. Wirel. Commun. 2017, 16, 5853–5868. [Google Scholar] [CrossRef]
- Tang, P.; Zhang, J.; Shafi, M.; Dmochowski, P.A.; Smith, P.J. Millimeter wave channel measurements and modelling in an indoor hotspot scenario at 28 GHz. In Proceedings of the 2018 IEEE 88th Vehicular Technology Conference (VTC-Fall), Chicago, IL, USA, 27–30 August 2018; pp. 1–5. [Google Scholar]
- Pimienta-del-Valle, D.; Mendo, L.; Riera, J.M.; Garcia-del-Pino, P. Indoor LOS propagation measurements and modeling at 26, 32, and 39 GHz millimeter-wave frequency bands. Electronics 2020, 9, 1867. [Google Scholar] [CrossRef]
- Yang, H.; Herben, M.H.A.J.; Smulders, P.F.M. Impact of antenna pattern and reflective environment on 60 GHz indoor radio channel characteristics. IEEE Antennas Wirel. Propag. Lett. 2005, 4, 300–303. [Google Scholar] [CrossRef][Green Version]
- Dupleich, D.; Müller, R.; Skoblikov, S.; Schneider, C.; Luo, J.; Del Galdo, G.; Thomä, R. Multi-band indoor propagation characterization by measurements from 6 to 60 GHz. In Proceedings of the 2019 13th European Conference on Antennas and Propagation (EuCAP), Krakow, Poland, 31 March–5 April 2019; pp. 1–5. [Google Scholar]
- Moraitis, N.; Constantinou, P. Measurements and characterization of wideband indoor radio channel at 60 GHz. IEEE Trans. Wirel. Commun. 2006, 5, 880–889. [Google Scholar] [CrossRef]
- Obeidat, H.A.; Obeidat, O.A.; Mosleh, M.F.; Abdullah, A.A.; Abd-Alhameed, R.A. Verifying Received Power Predictions of Wireless InSite Software in Indoor Environments at WLAN Frequencies. Appl. Comput. Electromagn. Soc. J. 2020, 35, 1119–1126. [Google Scholar] [CrossRef]
- Note, A.A. Wireless LAN at 60 GHz-IEEE 802.11 ad Explained. 2013. Available online: https://www.keysight.com/us/en/assets/7018-03292/application-notes/5990-9697.pdf (accessed on 1 August 2024).
- Instruments, N. mmWave: The battle of the bands. 2016. Available online: https://www.microwavejournal.com/articles/28747-mmwave-the-battle-of-the-bands (accessed on 1 August 2024).
- Radiocommunication Sector of ITU. Effects of building materials and structures on radiowave propagation above about 100 MHz. Recommendation ITU-R P.2040-1. 2021. Available online: https://www.itu.int/dms_pubrec/itu-r/rec/p/R-REC-P.2040-1-201507-S!!PDF-E.pdf (accessed on 1 August 2024).
- Millimeter Wave Products. Standard Gain Horn Antennas. 2022. Available online: https://www.miwv.com/standard-gain-horn-antennas/ (accessed on 1 October 2022).
- Ju, S.; Xing, Y.; Kanhere, O.; Rappaport, T.S. Millimeter wave and sub-terahertz spatial statistical channel model for an indoor office building. IEEE J. Sel. Areas Commun. 2021, 39, 1561–1575. [Google Scholar] [CrossRef]
- Valenzuela, R.A.; Landron, O.; Jacobs, D.L. Estimating local mean signal strength of indoor multipath propagation. IEEE Trans. Veh. Technol. 1997, 46, 203–212. [Google Scholar] [CrossRef]
- Obeidat, H.; Al-Sadoon, M.; Zebiri, C.; Obeidat, O.; Elfergani, I.; Abd-Alhameed, R. Reduction of the received signal strength variation with distance using averaging over multiple heights and frequencies. Telecommun. Syst. 2024, 86, 201–211. [Google Scholar] [CrossRef]
- Trrad, I.; Obeidat, H.; Malik, M.A.; Hayajneh, A.M.; Elfergani, I.; Obeidat, O.; Abd-Alhameed, R. A Simulation Approach to Indoor Channel Design for 5G Networks at 39 GHz. In Proceedings of the 2024 11th International Conference on Wireless Networks and Mobile Communications (WINCOM), Leeds, UK, 23–25 July 2024; pp. 1–6. [Google Scholar]
- Xing, Y.; Rappaport, T.S.; Ghosh, A. Millimeter wave and sub-THz indoor radio propagation channel measurements, models, and comparisons in an office environment. IEEE Commun. Lett. 2021, 25, 3151–3155. [Google Scholar] [CrossRef]
- Erden, F.; Ozdemir, O.; Guvenc, I. 28 GHz mmWave channel measurements and modeling in a library environment. In Proceedings of the 2020 IEEE Radio and Wireless Symposium (RWS), San Antonio, TX, USA, 26–29 January 2020; pp. 52–55. [Google Scholar]
- Zhou, L.; Xiao, L.; Yang, Z.; Li, J.; Lian, J.; Zhou, S. Path loss model based on cluster at 28 GHz in the indoor and outdoor environments. Sci. China Inf. Sci. 2017, 60, 080302. [Google Scholar] [CrossRef]
- Yang, H. Indoor channel measurements and analysis in the frequency bands 2 GHz and 60 GHz. In Proceedings of the 2005 IEEE 16th International Symposium on Personal, Indoor and Mobile Radio Communications, Berlin, Germany, 11–14 September 2005; pp. 579–583. [Google Scholar]
- Obeidat, H.; Alabdullah, A.; Elkhazmi, E.; Suhaib, W.; Obeidat, O.; Alkhambashi, M.; Mosleh, M.; Ali, N.; Dama, Y.; Abidin, Z.; et al. Indoor environment propagation review. Comput. Sci. Rev. 2020, 37, 100272. [Google Scholar] [CrossRef]












| Property | Setting |
|---|---|
| Transmitter antenna | Horn antenna: WR-15 (26.5–40 GHz) WR-15 (50–70 GHz) Omnidirectional |
| Receiver antenna | Horn antenna: WR-15 (26.5–40 GHz) WR-15 (50–70 GHz) Omnidirectional |
| Transmitted power | 23 dBm |
| Antenna gain | 15 dB (WR-15 26.5–40 GHz) 24 dB (WR-15 50–70 GHz) |
| Sum complex electric fields | None |
| Number of reflections | 6 |
| Number of transmissions | 4 |
| Number of diffractions | 3 |
| Number of paths | 10 |
| Ray Spacing (°) | 0.1 |
| Plane-wave ray spacing | 0.5 m |
| Propagation model | Full 3D |
| Ray tracing method | SBR |
| Ray tracing acceleration | Octree |
| Frequency (GHz) | 28 | 39 | 60 | 75.3 | |
|---|---|---|---|---|---|
| Concrete | 5.31 | 5.31 | 5.31 | 5.31 | |
| 0.48 | 0.633 | 0.90 | 1.06 | ||
| Glass | 6.27 | 6.27 | 6.27 | 6.27 | |
| 0.23 | 0.34 | 0.57 | 0.72 | ||
| Wood | 1.99 | 1.99 | 1.99 | 1.99 | |
| 0.17 | 0.24 | 0.38 | 0.47 | ||
| Drywall | 2.94 | 2.94 | 2.94 | 2.94 | |
| 0.12 | 0.16 | 0.21 | 0.24 | ||
| NLOS | LOS | |||
|---|---|---|---|---|
| PLE (n) | STD (dB) | PLE (n) | STD (dB) | |
| 28 GHz | 4.36 | 8.89 | 1.48 | 0.63 |
| 39 GHz | 4.88 | 10.7 | 1.5 | 0.73 |
| 60 GHz | 4.51 | 10.1 | 1.54 | 0.96 |
| 73 GHz | 4.71 | 11.69 | 1.6 | 1.08 |
| NLOS | LOS | |||
|---|---|---|---|---|
| PLE (n) | STD (dB) | PLE (n) | STD (dB) | |
| 28 GHz | 5.29 | 9.24 | 1.58 | 0.63 |
| 39 GHz | 5.8 | 9.97 | 1.63 | 0.63 |
| 60 GHz | 6.98 | 13.07 | 1.72 | 0.76 |
| 73 GHz | 6.75 | 13.564 | 1.83 | 0.99 |
| NLOS | LOS | |||
|---|---|---|---|---|
| PLE (n) | STD (dB) | PLE (n) | STD (dB) | |
| 28 GHz | 4.94 | 9.58 | 1.54 | 0.78 |
| 39 GHz | 5.16 | 11.38 | 1.58 | 0.58 |
| 60 GHz | 4.65 | 7.74 | 1.65 | 0.5 |
| 73 GHz | 4.56 | 8.31 | 1.72 | 0.6 |
| 28 GHz | 39 GHz | 60 GHz | 73 GHz | ||
|---|---|---|---|---|---|
| NLOS | Our paper | 4.36 | 4.88 | 4.51 | 4.71 |
| [22] | 4.4 | - | - | 5.3 | |
| [23] | 2.8 | - | - | - | |
| [24] | 2.2 | - | 5.7 | - | |
| [39] | 3.3 | - | - | - | |
| LOS | Our paper | 1.48 | 1.5 | 1.54 | 1.6 |
| [22] | 1.7 | - | - | 1.6 | |
| [23] | 1.9 | - | - | - | |
| [24] | 1.5 | - | - | ||
| [25] | 1.8 | - | - | - | |
| [26] | - | 1.2 | - | - | |
| [27] | - | - | 1.2 | - | |
| [40] | 1.6 | - | - | - | |
| [41] | 2.1 | - | - | - |
| Freq. (GHz) | Dir–Dir | Omni–Omni | Dir–Omni | |||
|---|---|---|---|---|---|---|
| NLOS | LOS | NLOS | LOS | NLOS | LOS | |
| 28 | 2.57 | 2.24 | 6.76 | 10.66 | 5.38 | 11.66 |
| 39 | 2.21 | 1.46 | 4.11 | 8.37 | 3.31 | 9.31 |
| 60 | 1.95 | 1.65 | 3.27 | 4.46 | 2.57 | 4.94 |
| 73 | 2.25 | 2.87 | 3.64 | 9.36 | 2.38 | 9.98 |
Disclaimer/Publisher’s Note: The statements, opinions and data contained in all publications are solely those of the individual author(s) and contributor(s) and not of MDPI and/or the editor(s). MDPI and/or the editor(s) disclaim responsibility for any injury to people or property resulting from any ideas, methods, instructions or products referred to in the content. |
© 2024 by the author. Licensee MDPI, Basel, Switzerland. This article is an open access article distributed under the terms and conditions of the Creative Commons Attribution (CC BY) license (https://creativecommons.org/licenses/by/4.0/).
Share and Cite
Obeidat, H. Investigations on Millimeter-Wave Indoor Channel Simulations for 5G Networks. Appl. Sci. 2024, 14, 8972. https://doi.org/10.3390/app14198972
Obeidat H. Investigations on Millimeter-Wave Indoor Channel Simulations for 5G Networks. Applied Sciences. 2024; 14(19):8972. https://doi.org/10.3390/app14198972
Chicago/Turabian StyleObeidat, Huthaifa. 2024. "Investigations on Millimeter-Wave Indoor Channel Simulations for 5G Networks" Applied Sciences 14, no. 19: 8972. https://doi.org/10.3390/app14198972
APA StyleObeidat, H. (2024). Investigations on Millimeter-Wave Indoor Channel Simulations for 5G Networks. Applied Sciences, 14(19), 8972. https://doi.org/10.3390/app14198972
