Analyzing the Reinforcement of Multiwalled Carbon Nanotubes in Vulcanized Natural Rubber Nanocomposites Using the Lorenz–Park Method
Abstract
1. Introduction
2. Materials and Methods
2.1. Materials
2.2. Nanocomposites Preparation
2.3. Nanocomposites Characterization
2.3.1. Rheometry
2.3.2. Specific Mass Calculation
2.3.3. The Flory–Rehner Method for Determining Crosslink Density in Organic Solvents
2.3.4. Analysis of the Interfacial Interaction between the MWCNTs and the VNR Matrix (via the Lorenz–Park Method)
2.3.5. Study of the Dispersion Degree of MWCNTs in the VNR Matrix
2.3.6. Scanning Electron Microscopy Analysis (SEM)
2.3.7. Hardness Analyses
2.3.8. Abrasion Resistance
2.3.9. Tensile Test
2.3.10. Dynamic Mechanical Analysis (DMA)
2.3.11. Thermogravimetric Analysis (TGA)
2.3.12. Direct Current (dc) Conductivity Analysis
3. Results and Discussion
3.1. Rheometric Analysis
3.2. Flory–Rehner Crosslink Density
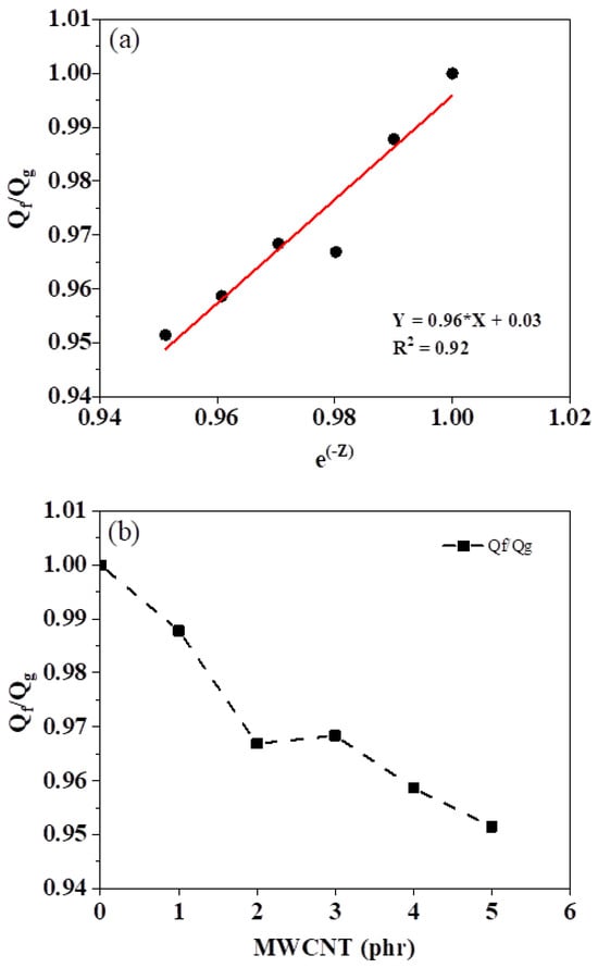
3.3. Analysis of Interfacial Interaction Using the Lorenz–Park Method
3.4. Analysis of the Degree of Filler Dispersion
3.5. Morphological Analysis
3.6. Specific Mass, Hardness (Shore A), and Abrasion Resistance Analysis
3.7. Mechanical Analysis
3.8. Dynamic Mechanical Analysis (DMA)
3.9. Thermogravimetric Analysis (TGA)
3.10. Direct Current (dc) Electrical Conductivity Analysis
4. Conclusions
Author Contributions
Funding
Institutional Review Board Statement
Informed Consent Statement
Data Availability Statement
Acknowledgments
Conflicts of Interest
References
- Thongchom, C.; Refahati, N.; Saffari, P.R.; Saffari, P.R. An Experimental Study on the Effect of Nanomaterials and Fibers on the Mechanical Properties of Polymer Composites. Buildings 2022, 12, 7. [Google Scholar] [CrossRef]
- Sapuan, S.M.; Nurazzi, N.M.; Shazleen, S.S.; Norrrahim, M.N.F.; Foong Ng, L.Y.; Sabaruddin, F.A.; Padzil, F.N.M. Production and Performance Properties of Composites Reinforced with Environmentally Benign Nanomaterials. In Synthetic and Natural Nanofillers in Polymer Composites; Elsevier: Amsterdam, The Netherlands, 2023; pp. 143–171. [Google Scholar]
- Idumah, C.I.; Obele, C.M. Understanding Interfacial Influence on Properties of Polymer Nanocomposites. Surf. Interfaces 2021, 22, 100879. [Google Scholar] [CrossRef]
- Saleh, T.A.; Shetti, N.P.; Shanbhag, M.M.; Raghava Reddy, K.; Aminabhavi, T.M. Recent Trends in Functionalized Nanoparticles Loaded Polymeric Composites: An Energy Application. Mater. Sci. Energy Technol. 2020, 3, 515–525. [Google Scholar] [CrossRef]
- Fakhru, A.; Atieh, M.A.; Girun, N.; Chuah, T.G. Effect of Multi-Wall Carbon Nanotubes on the Mechanical Properties of Natural Rubber. Compos. Struct. 2006, 75, 496–500. [Google Scholar] [CrossRef]
- Atieh, M.A.; Girun, N.; Mahdi, E.S.; Tahir, H.; Guan, C.T.; Alkhatib, M.F.; Ahmadun, F.R.; Baik, D.R. Effect of Multi-Wall Carbon Nanotubes on the Mechanical Properties of Natural Rubber. Fuller. Nanotub. Carbon Nanostructures 2006, 14, 641–649. [Google Scholar] [CrossRef]
- Sethulekshmi, A.S.; Saritha, A.; Joseph, K. International Journal of Biological Macromolecules A Comprehensive Review on the Recent Advancements in Natural Rubber Nanocomposites. Int. J. Biol. Macromol. 2022, 194, 819–842. [Google Scholar] [CrossRef]
- Al-Sehemi, A.G.; Al-Ghamdi, A.A.; Dishovsky, N.T.; Radev, L.N.; Mihailova, I.K.; Malinova, P.A.; Atanasov, N.T.; Atanasova, G.L. Natural Rubber–Based Composites Filled with Bioglasses from a CaO-SiO2-P2O5-Ag2O System. Effect of Ag2O Concentration in the Filler on Composite Properties. Polym. Adv. Technol. 2020, 31, 574–588. [Google Scholar] [CrossRef]
- Andrade, K.L.; Ramlow, H.; Floriano, J.F.; Acosta, E.D. Latex and Natural Rubber: Recent Advances for Biomedical Applications. Polimeros 2022, 32, e2022015. [Google Scholar] [CrossRef]
- Guerra, N.B.; Sant’Ana Pegorin, G.; Boratto, M.H.; de Barros, N.R.; de Oliveira Graeff, C.F.; Herculano, R.D. Biomedical Applications of Natural Rubber Latex from the Rubber Tree Hevea Brasiliensis. Mater. Sci. Eng. C 2021, 126, 112126. [Google Scholar] [CrossRef]
- Lima, L.R.M.; Caetano, G.F.; Soares, V.O.; Santos, R.J.; Malmonge, J.A.; Silva, M.J.; Yarin, A.L. Evaluation of Tensile, Thermal, and Biological Properties of Natural Rubber-Based Biocomposite with Biosilicate and 45S5-K Bioglass. Appl. Polym. 2023, 140, e53894. [Google Scholar] [CrossRef]
- Silva, M.J.; Dias, Y.J.; Zaszczyńska, A.; Robles, J.R.; Abiade, J.; Kowalczyk, T.; Kołbuk, D.; Sajkiewicz, P.Ł.; Yarin, A.L. Biocomposite-based Fibrous Scaffolds of Natural Rubber/Polyhydroxybutyrate Blend Reinforced with 45S5 Bioglass Aiming at Biomedical Applications. Polym. Compos. 2024, 45, 1107–1127. [Google Scholar] [CrossRef]
- Sousa, E.A.; Silva, M.J.; Sanches, A.O.; Soares, V.O.; Job, A.E.; Malmonge, J.A. Mechanical, Thermal, and Morphological Properties of Natural Rubber/45S5 Bioglass® Fibrous Mat with Ribbon-like Morphology Produced by Solution Blow Spinning. Eur. Polym. J. 2019, 119, 1–7. [Google Scholar] [CrossRef]
- Silva, M.J.; Dias, Y.J.; Yarin, A.L. Electrically-Assisted Supersonic Solution Blowing and Solution Blow Spinning of Fibrous Materials from Natural Rubber Extracted from Havea Brasilienses. Ind. Crops Prod. 2023, 192, 116101. [Google Scholar] [CrossRef]
- Cornish, K.; Xie, W. Natural Rubber Biosynthesis in Plants: Rubber Transferase, 1st ed.; Elsevier Inc.: Amsterdam, The Netherlands, 2012; Volume 515, ISBN 9780123942906. [Google Scholar]
- Abubakre, O.K.; Medupin, R.O.; Akintunde, I.B.; Jimoh, O.T.; Abdulkareem, A.S.; Muriana, R.A.; James, J.A.; Ukoba, K.O.; Jen, T.C.; Yoro, K.O. Carbon Nanotube-Reinforced Polymer Nanocomposites for Sustainable Biomedical Applications: A Review. J. Sci. Adv. Mater. Devices 2023, 8, 100557. [Google Scholar] [CrossRef]
- Anzar, N.; Hasan, R.; Tyagi, M.; Yadav, N.; Narang, J. Carbon Nanotube—A Review on Synthesis, Properties and Plethora of Applications in the Fi Eld of Biomedical Science. Sens. Int. 2020, 1, 100003. [Google Scholar] [CrossRef]
- Yadav, K.K.; Khan, N.; Jha, M. Application of Surface Modified Carbon Nanotubes in Energy. In Surface Modified Carbon Nanotubes Volume 2: Industrial Applications; American Chemical Society: Washington, DC, USA, 2022; pp. 101–119. [Google Scholar]
- Saifuddin, N.; Raziah, A.Z.; Junizah, A.R. Carbon Nanotubes: A Review on Structure and Their Interaction with Proteins. J. Chem. 2013, 2013, 676815. [Google Scholar] [CrossRef]
- Chang, T.E.; Jensen, L.R.; Kisliuk, A.; Pipes, R.B.; Pyrz, R.; Sokolov, A.P. Microscopic Mechanism of Reinforcement in Single-Wall Carbon Nanotube/Polypropylene Nanocomposite. Polymers 2005, 46, 439–444. [Google Scholar] [CrossRef]
- Li, F.; Cheng, H.M.; Bai, S.; Su, G.; Dresselhaus, M.S. Tensile Strength of Single-Walled Carbon Nanotubes Directly Measured from Their Macroscopic Ropes. Appl. Phys. Lett. 2000, 77, 3161–3163. [Google Scholar] [CrossRef]
- Treacy, M.M.J.; Ebbesen, T.W.; Gibson, J.M. Exceptionally High Young’s Modulus Observed for Individual Carbon Nanotubes. Nature 1996, 381, 678–680. [Google Scholar] [CrossRef]
- Nurazzi, N.M.; Asyraf, M.R.M.; Khalina, A.; Abdullah, N.; Lee, C.L.; Aisyah, H.A.; Nor, M.; Norrrahim, F.; Ilyas, R.A.; Harussani, M.M.; et al. Nanotube-Reinforced Polymer Composite: An Overview. Polymers 2021, 13, 1047. [Google Scholar] [CrossRef]
- Kumar, A.; Sharma, K.; Rai, A. A Review on the Mechanical Properties of Polymer Composites Reinforced by Carbon Nanotubes and Graphene. Carbon Lett. 2021, 31, 149–165. [Google Scholar] [CrossRef]
- Jayalakshmy, M.S.; Mishra, R.K. Applications of Carbon-Based Nanofiller-Incorporated Rubber Composites in the Fields of Tire Engineering, Flexible Electronics and EMI Shielding; Elsevier Inc.: Amsterdam, The Netherlands, 2019; ISBN 9780128173428. [Google Scholar]
- Takeuchi, K.; Noguchi, T.; Ueki, H.; Niihara, K.; Sugiura, T.; Inukai, S.; Fujishige, M. Journal of Physics and Chemistry of Solids Improvement in Characteristics of Natural Rubber Nanocomposite by Surface Modi Fi Cation of Multi-Walled Carbon Nanotubes. J. Phys. Chem. Solids 2015, 80, 84–90. [Google Scholar] [CrossRef]
- Jose, T.; Moni, G.; Salini, S.; Jess, A.; Jacob, J.; George, S.C. Industrial Crops & Products Multifunctional Multi-Walled Carbon Nanotube Reinforced Natural Rubber Nanocomposites. Ind. Crops Prod. 2017, 105, 63–73. [Google Scholar] [CrossRef]
- Soundararaj, R.; Senthilvel, K.; Rathinam, N.; Prabu, B. Materials Today: Proceedings Experimental Studies on Mechanical Properties of Natural Rubber Carbon Black-Carbon Nanotube Composite. Mater. Today Proc. 2021, 38, 3077–3084. [Google Scholar] [CrossRef]
- Ponnamma, D.; Sadasivuni, K.K.; Strankowski, M.; Guo, Q.; Thomas, S. Synergistic Effect of Multi Walled Carbon Nanotubes and Reduced Graphene Oxides in Natural Rubber for Sensing Application. Soft Matter 2013, 9, 10343–10353. [Google Scholar] [CrossRef]
- Shahamatifard, F.; Rodrigue, D.; Park, K.W.; Frikha, S.; Mighri, F.; Rodrigue, D.; Park, K.W.; Frikha, S.; Mighri, F. Natural Rubber Nanocomposites: Effect of Carbon Black/Multi-Walled Carbon Nanotubes Hybrid Fillers on the Mechanical Properties and Thermal Conductivity. Polym. -Plast. Technol. Mater. 2021, 60, 1686–1696. [Google Scholar] [CrossRef]
- Shahamatifard, F.; Rodrigue, D.; Park, K.; Frikha, S.; Mighri, F. Surface Modification of MWCNT to Improve the Mechanical and Thermal Properties of Natural Rubber Nanocomposites. Can. J. Chem. Eng. 2023, 101, 1881–1896. [Google Scholar] [CrossRef]
- Wiroonpochit, P.; Keawmaungkom, S.; Chisti, Y.; Hansupalak, N. Multi-Response Optimization of Conductive Natural Rubber Films with Enhanced Properties and Reduced Materials Requirements. Ind. Crops Prod. 2024, 212, 118296. [Google Scholar] [CrossRef]
- ASTMD3578-19; Standard Specification for Rubber Examination Gloves. ASTM International: West Conshohocken, PA, USA, 2019.
- 60079-32-1; International Electrotechnical Commission. Explosive Atmospheres—Part 32-1: Electrostatic Hazards, Guidance, IEC/TS 60079-32-1 Ed 1.0. IEC: Geneva, Swtizerland, 2013; Volume 139, p. 51880.
- Sani, N.F.M.; Shuib, R.K.; Zainol, M.H.; Othman, N.; Tran, D.L. Effect of Multi-Walled Carbon Nanotubes Reinforcement on Self-Healing Performance of Natural Rubber. Pure Appl. Chem. 2024, 96. [Google Scholar] [CrossRef]
- De Carvalho, A.P.; Dos Santos, H.F.; Ribeiro, G.D.; Hiranobe, C.T.; Goveia, D.; Gennaro, E.M.; Paim, L.L.; Dos Santos, R.J. Sustainable Composites: Analysis of Filler–Rubber Interaction in Natural Rubber–Styrene–Butadiene Rubber/Polyurethane Composites Using the Lorenz–Park Method and Scanning Electron Microscopy. Polymers 2024, 16, 471. [Google Scholar] [CrossRef]
- Santos, R.J.; Hiranobe, C.T.; Dognani, G.; Silva, M.J.; Paim, L.L.; Cabrera, F.C.; Torres, G.B.; Job, A.E. Using the Lorenz–Park, Mooney–Rivlin, and Dynamic Mechanical Analysis Relationship on Natural Rubber/Leather Shavings Composites. J. Appl. Polym. Sci. 2021, 139, 51880. [Google Scholar] [CrossRef]
- Chowdhury, S.G.; Chanda, J.; Ghosh, S.; Pal, A.; Ghosh, P.; Bhattacharyya, S.K.; Mukhopadhyay, R.; Banerjee, S.S.; Das, A. Morphology and Physico-Mechanical Threshold of α-Cellulose as Filler in an E-SBR Composite. Molecules 2021, 26, 694. [Google Scholar] [CrossRef] [PubMed]
- He, F.; Yuan, T.; Li, C.; Sun, L.; Liao, S. Interfacial Interactions and Properties of Natural Rubber–Silica Composites with Liquid Natural Rubber as a Compatibilizer and Prepared by a Wet-compounding Method. J. Appl. Polym. Sci. 2018, 135, 46457. [Google Scholar] [CrossRef]
- Araújo, S.S.; Santos, G.T.A.; Tolosa, G.R.; Hiranobe, C.T.; Budemberg, E.R.; Cabrera, F.C.; Silva, M.J.d.; Paim, L.L.; Job, A.E.; Santos, R.J. dos Acai Residue as an Ecologic Filler to Reinforcement of Natural Rubber Biocomposites. Mater. Res. 2023, 26, e20220505. [Google Scholar] [CrossRef]
- Haseena, A.P.; Dasan, K.P.; Namitha, R.; Unnikrishnan, G.; Thomas, S. Investigation on Interfacial Adhesion of Short Sisal/Coir Hybrid Fibre Reinforced Natural Rubber Composites by Restricted Equilibrium Swelling Technique. Compos. Interfaces 2004, 11, 489–513. [Google Scholar] [CrossRef]
- Lorenz, O.; Parks, C.R. The Crosslinking Efficiency of Some Vulcanizing Agents in Natural Rubber. J. Polym. Sci. 1961, 50, 299–312. [Google Scholar] [CrossRef]
- Stelescu, M.D.; Airinei, A.; Bargan, A.; Fifere, N.; Georgescu, M.; Sonmez, M.; Nituica, M.; Alexandrescu, L.; Stefan, A. Mechanical Properties and Equilibrium Swelling Characteristics of Some Polymer Composites Based on Ethylene Propylene Diene Terpolymer (EPDM) Reinforced with Hemp Fibers. Materials 2022, 15, 6838. [Google Scholar] [CrossRef] [PubMed]
- Scaglia, F.; Mazzini, A.; Perretta, C.; Regattieri, G.; Marchetti, G. Industrial EP(D)M Rubber Production Process: A First-Principle Data-Driven Modelling Approach. Chem. Eng. Trans. 2023, 100, 163–168. [Google Scholar] [CrossRef]
- Zhan, Y.; Lago, E.; Santillo, C.; Del Río Castillo, A.E.; Hao, S.; Buonocore, G.G.; Chen, Z.; Xia, H.; Lavorgna, M.; Bonaccorso, F. An Anisotropic Layer-by-Layer Carbon Nanotube/Boron Nitride/Rubber Composite and Its Application in Electromagnetic Shielding. Nanoscale 2020, 12, 7782–7791. [Google Scholar] [CrossRef]
- Verdolotti, L.; Santillo, C.; Rollo, G.; Romanelli, G.; Lavorgna, M.; Liguori, B.; Lama, G.C.; Preziosi, E.; Senesi, R.; Andreani, C.; et al. MWCNT/RGO/Natural Rubber Latex Dispersions for Innovative, Piezo-Resistive and Cement-Based Composite Sensors. Sci. Rep. 2021, 11, 18975. [Google Scholar] [CrossRef]
- Costa, N.L.; Hiranobe, C.T.; Cardim, H.P.; Dognani, G.; Sanchez, J.C.; Carvalho, J.A.J.; Torres, G.B.; Paim, L.L.; Pinto, L.F.; Cardim, G.P.; et al. A Review of EPDM (Ethylene Propylene Diene Monomer) Rubber-Based Nanocomposites: Properties and Progress. Polymers 2024, 16, 1720. [Google Scholar] [CrossRef] [PubMed]
- Salaeh, S.; Thitithammawong, A.; Salae, A. Highly Enhanced Electrical and Mechanical Properties of Methyl Methacrylate Modified Natural Rubber Filled with Multiwalled Carbon Nanotubes. Polym. Test. 2020, 85, 106417. [Google Scholar] [CrossRef]
- Wiroonpochit, P.; Keawmaungkom, S.; Chisti, Y.; Hansupalak, N. A Novel Preparation of Natural Rubber Films with a Conducting Nanocarbon Network for Antistatic Applications. Mater. Today Commun. 2023, 34, 105349. [Google Scholar] [CrossRef]
- ASTMD3182-21a; Standard Practice for Rubber—Materials, Equipment, and Proced Ures for Mixing Standard Compounds and Preparing Standard Vulcanized Sheets. ASTM: West Conshohocken, PA, USA, 2021.
- ASTMD2084-19a; Standard Test Method for Rubber Property—Vulcanization Using Oscillating Disk Cure Meter. ASTM: West Conshohocken, PA, USA, 2019.
- ASTMD297-21; Standard Test Methods for Rubber Products-Chemical Analysis. ASTM: West Conshohocken, PA, USA, 2022.
- Flory, P.J.; Rehner, J. Statistical Mechanics of Cross—Linked Polymer Networks II. Swelling 1943, 11, 521–526. [Google Scholar] [CrossRef]
- ASTMD224-15; Standard Test Method for Rubber Property-Durometer Hardness. ASTM: West Conshohocken, PA, USA, 2021.
- ASTMD5963-04; Standard Test Method for Rubber Property—Abrasion Resistance (Rotary Drum Abrader). ASTM: West Conshohocken, PA, USA, 2019.
- ASTMD412-16; Standard Test Methods for Vulcanized Rubber and Thermoplastic Elastomers-Tension. ASTM: West Conshohocken, PA, USA, 2021.
- Marković, G.; Marinović-Cincović, M.; Jovanović, S.S.; Jovanović, V.; Budinski-Simendić, J. Reactive and Functional Polymers Volume Two; Gutiérrez, T.J., Ed.; Springer: Berlin/Heidelberg, Germany, 2020; ISBN 9783030451349. [Google Scholar]
- Pittayavinai, P.; Thanawan, S.; Amornsakchai, T. Manipulation of Mechanical Properties of Short Pineapple Leaf Fi Ber Reinforced Natural Rubber Composites through Variations in Cross-Link Density and Carbon Black Loading. Polym. Test. 2016, 54, 84–89. [Google Scholar] [CrossRef]
- Vural, S.; Dikovics, K.B.; Kalyon, D.M. Cross-Link Density, Viscoelasticity and Swelling of Hydrogels as Affected by Dispersion of Multi-Walled Carbon Nanotubes. Soft Matter 2010, 6, 3870–3875. [Google Scholar] [CrossRef]
- Li, F.; Yan, N.; Zhan, Y.; Fei, G.; Xia, H. Probing the Reinforcing Mechanism of Graphene and Graphene Oxide in Natural Rubber. J. Appl. Polym. Sci. 2013, 129, 2342–2351. [Google Scholar] [CrossRef]
- Ismail, H.; Rusli, A.; Rashid, A.A. Maleated Natural Rubber as a Coupling Agent for Paper Sludge Filled Natural Rubber Composites. Polym. Test. 2005, 24, 856–862. [Google Scholar] [CrossRef]
- Surya, I.; Ginting, M.; Surya, I.; Maulina, S.; Ismail, H. The Degree of Filler Dispersion, Rheometric and Mechanical Properties of Carbon Black-Filled Styrene-Butadiene Rubber Composites in the Presence of Alkanolamide. In IOP Conference Series: Materials Science and Engineering; IOP Publishing: Bristol, UK, 2019. [Google Scholar] [CrossRef]
- Zakiyan, S.E.; Azizi, H.; Ghasemi, I. In Fl Uence of Chain Mobility on Rheological, Dielectric and Electromagnetic Interference Shielding Properties of Poly Methyl-Methacrylate Composites Fi Lled with Graphene and Carbon Nanotube. Compos. Sci. Technol. 2017, 142, 10–19. [Google Scholar] [CrossRef]
- Silva, M.J.; Sanches, A.O.; Medeiros, E.S.; Mattoso, L.H.C.; McMahan, C.M.; Malmonge, J.A. Nanocomposites of Natural Rubber and Polyaniline-Modified Cellulose Nanofibrils. J. Therm. Anal. Calorim. 2014, 117, 387–392. [Google Scholar] [CrossRef]
- Liu, X.; Guo, R.; Li, R.; Liu, H.; Fan, Z.; Yang, Y.; Lin, Z. Effect of the Processing on the Resistance–Strain Response of Multiwalled Carbon Nanotube/Natural Rubber Composites for Use in Large Deformation Sensors. Nanomaterials 2021, 11, 1845. [Google Scholar] [CrossRef] [PubMed]
- Manoharan, S.; Suresha, B.; Ramadoss, G.; Bharath, B. Effect of Short Fiber Reinforcement on Mechanical Properties of Hybrid Phenolic Composites. J. Mater. 2014, 2014, 5–11. [Google Scholar] [CrossRef]
- Jayanarayanan, K.; Thomas, S.; Joseph, K. Morphology, Static and Dynamic Mechanical Properties of in Situ Microfibrillar Composites Based on Polypropylene/Poly (Ethylene Terephthalate) Blends. Compos. Part A Appl. Sci. Manuf. 2008, 39, 164–175. [Google Scholar] [CrossRef]
- Anas, K.; David, S.; Babu, R.R.; Selvakumar, M.; Chattopadhyay, S. Energy Dissipation Characteristics of Crosslinks in Natural Rubber: An Assessment Using Low and High-Frequency Analyzer. J. Polym. Eng. 2018, 38, 723–729. [Google Scholar] [CrossRef]
- Fernández-Berridi, M.J.; González, N.; Mugica, A.; Bernicot, C. Pyrolysis-FTIR and TGA Techniques as Tools in the Characterization of Blends of Natural Rubber and SBR. Thermochim. Acta 2006, 444, 65–70. [Google Scholar] [CrossRef]
- Zanchet, A.; Maciel, F.; Danielli, F.; Sousa, B.D.; Luiz, H.; Jr, O. Experimental and Artificial Neural Network Approach for Prediction of the Thermal Degradation Behavior of Sugarcane-Based Vulcanization Additives in Natural Rubber Compounds. Clean. Eng. Technol. 2021, 5, 100303. [Google Scholar] [CrossRef]
- Košíková, B.; Gregorová, A.; Osvald, A.; Krajčovičová, J. Role of Lignin Filler in Stabilization of Natural Rubber–Based Composites. J. Appl. Polym. Sci. 2007, 103, 1226–1231. [Google Scholar] [CrossRef]
- Rebeque, P.V.; Silva, M.J.; Cena, C.R.; Nagashima, H.N.; Malmonge, J.A.; Kanda, D.H.F. Analysis of the Electrical Conduction in Percolative Nanocomposites Based on Castor-Oil Polyurethane with Carbon Black and Activated Carbon Nanopowder. Polym. Compos. 2019, 40, 7–15. [Google Scholar] [CrossRef]
- Balberg, I.; Azulay, D.; Goldstein, Y.; Jedrzejewski, J. Possible Origin of the Smaller-than-Universal Percolation-Conductivity Exponent in the Continuum. Phys. Rev. E 2016, 93, 062132. [Google Scholar] [CrossRef] [PubMed]
- Kirkpatrick, S. Percolation and Conduction. Rev. Mod. Phys. 1973, 45, 574–588. [Google Scholar] [CrossRef]
- Melo, D.S.; Reis, I.C.; Queiroz, J.C.; Cena, C.R.; Nahime, B.O.; Malmonge, J.A.; Silva, M.J. Evaluation of Piezoresistive and Electrical Properties of Conductive Nanocomposite Based on Castor-Oil Polyurethane Filled with MWCNT and Carbon Black. Materials 2023, 16, 3223. [Google Scholar] [CrossRef] [PubMed]









| Components | VNR | VNR/MWCNT1 | VNR/MWCNT2 | VNR/MWCNT3 | VNR/MWCNT4 | VNR/MWCNT5 |
|---|---|---|---|---|---|---|
| NR | 100 | 100 | 100 | 100 | 100 | 100 |
| Zinc oxide | 4 | 4 | 4 | 4 | 4 | 4 |
| Stearic acid | 2 | 2 | 2 | 2 | 2 | 2 |
| MWCNTs | 0 | 1 | 2 | 3 | 4 | 5 |
| Sulfur | 1.5 | 1.5 | 1.5 | 1.5 | 1.5 | 1.5 |
| MBTS | 1 | 1 | 1 | 1 | 1 | 1 |
| TMTD | 0.5 | 0.5 | 0.5 | 0.5 | 0.5 | 0.5 |
| Total | 109 | 110 | 111 | 112 | 113 | 114 |
| Specimens | ML (dNm) | MH (dNm) | ΔM = (MH − ML) (dNm) | tS1 (min) | t90 (min) |
|---|---|---|---|---|---|
| VNR | 1.40 ± 0.08 | 27.69 ± 1.93 | 26.29 ± 1.85 | 2.22 ± 0.03 | 3.25 ± 0.14 |
| VNR/MWCNT1 | 1.14 ± 0.07 | 28.46 ± 0.75 | 27.32 ± 0.78 | 2.27 ± 0.02 | 3.30 ± 0.18 |
| VNR/MWCNT2 | 1.40 ± 0.05 | 31.01 ± 0.95 | 29.61 ± 1.02 | 2.13 ± 0.05 | 3.10 ± 0.21 |
| VNR/MWCNT3 | 1.40 ± 0.03 | 32.68 ± 0.91 | 31.27 ± 1.01 | 2.07 ± 0.03 | 3.10 ± 0.22 |
| VNR/MWCNT4 | 1.53 ± 0.05 | 35.35 ± 0.54 | 33.83 ± 0.63 | 2.00 ± 0.04 | 3.07 ± 0.28 |
| VNR/MWCNT5 | 1.79 ± 0.90 | 37.01 ± 0.80 | 35.23 ± 0.89 | 1.95 ± 0.05 | 3.05 ± 0.31 |
| Specimens | Flory–Rehner (10−4 (mol cm−3)) |
|---|---|
| VNR | 1.86 ± 0.03 |
| VNR/MWCNT1 | 1.86 ± 0.02 |
| VNR/MWCNT2 | 2.11 ± 0.02 |
| VNR/MWCNT3 | 2.22 ± 0.04 |
| VNR/MWCNT4 | 2.42 ± 0.04 |
| VNR/MWCNT5 | 2.45 ± 0.04 |
| Specimens | σ100% (MPa) | σ300% (MPa) | σ500% (MPa) | σat break (MPa) | εat break (%) |
|---|---|---|---|---|---|
| VNR | 0.72 ± 0.04 | 1.73 ± 0.10 | 3.19 ± 0.24 | 8.84 ± 2.48 | 780 ± 34 |
| VNR/MWCNT1 | 0.84 ± 0.03 | 2.08 ± 0.05 | 4.02 ± 0.06 | 9.48 ± 2.03 | 731 ± 43 |
| VNR/MWCNT2 | 0.94 ± 0.06 | 2.42 ± 0.18 | 4.80 ± 0.40 | 10.45 ± 0.62 | 708 ± 29 |
| VNR/MWCNT3 | 1.09 ± 0.07 | 2.87 ± 0.22 | 5.84 ± 0.34 | 9.65 ± 2.16 | 640 ± 38 |
| VNR/MWCNT4 | 1.28 ± 0.09 | 3.31 ± 0.17 | 6.81 ± 0.40 | 10.62 ± 2.09 | 617 ± 43 |
| VNR/MWCNT5 | 1.47 ± 0.05 | 3.94 ± 0.19 | 8.03 ± 0.40 | 9.67 ± 1.60 | 553 ± 53 |
| Specimens | σdc (S/m) |
|---|---|
| VNR | (2.64 ± 0.08) × 10−14 |
| VNR/MWCNT1 | (2.84 ± 0.03) × 10−14 |
| VNR/MWCNT2 | (4.23 ± 0.05) × 10−12 |
| VNR/MWCNT3 | (3.36 ± 0.04) × 10−8 |
| VNR/MWCNT4 | (7.45 ± 0.04) × 10−6 |
| VNR/MWCNT5 | (2.24 ± 0.06) × 10−4 |
Disclaimer/Publisher’s Note: The statements, opinions and data contained in all publications are solely those of the individual author(s) and contributor(s) and not of MDPI and/or the editor(s). MDPI and/or the editor(s) disclaim responsibility for any injury to people or property resulting from any ideas, methods, instructions or products referred to in the content. |
© 2024 by the authors. Licensee MDPI, Basel, Switzerland. This article is an open access article distributed under the terms and conditions of the Creative Commons Attribution (CC BY) license (https://creativecommons.org/licenses/by/4.0/).
Share and Cite
Melo, D.S.; Hiranobe, C.T.; Tolosa, G.R.; Malmonge, J.A.; Cena, C.R.; Job, A.E.; Santos, R.J.; Silva, M.J. Analyzing the Reinforcement of Multiwalled Carbon Nanotubes in Vulcanized Natural Rubber Nanocomposites Using the Lorenz–Park Method. Appl. Sci. 2024, 14, 8973. https://doi.org/10.3390/app14198973
Melo DS, Hiranobe CT, Tolosa GR, Malmonge JA, Cena CR, Job AE, Santos RJ, Silva MJ. Analyzing the Reinforcement of Multiwalled Carbon Nanotubes in Vulcanized Natural Rubber Nanocomposites Using the Lorenz–Park Method. Applied Sciences. 2024; 14(19):8973. https://doi.org/10.3390/app14198973
Chicago/Turabian StyleMelo, Diego Silva, Carlos Toshiyuki Hiranobe, Gabrieli Roefero Tolosa, José Antônio Malmonge, Cicero Rafael Cena, Aldo Eloizo Job, Renivaldo José Santos, and Michael Jones Silva. 2024. "Analyzing the Reinforcement of Multiwalled Carbon Nanotubes in Vulcanized Natural Rubber Nanocomposites Using the Lorenz–Park Method" Applied Sciences 14, no. 19: 8973. https://doi.org/10.3390/app14198973
APA StyleMelo, D. S., Hiranobe, C. T., Tolosa, G. R., Malmonge, J. A., Cena, C. R., Job, A. E., Santos, R. J., & Silva, M. J. (2024). Analyzing the Reinforcement of Multiwalled Carbon Nanotubes in Vulcanized Natural Rubber Nanocomposites Using the Lorenz–Park Method. Applied Sciences, 14(19), 8973. https://doi.org/10.3390/app14198973

