Integrating Autonomous Vehicles (AVs) into Urban Traffic: Simulating Driving and Signal Control
Abstract
1. Introduction
Objectives and Contributions of the Study
- Detailed Analysis of AV Behaviors: This research offers a comparative analysis of the impact of different AV driving behaviors (cautious, normal, aggressive, and platoon-forming) on intersection performance.
 - Signal Timing Optimization: This study explores the optimization of traffic signal cycle times (60, 80, 100, 120, 140, 160, 180, and 204 s) to enhance intersection efficiency in the presence of AVs.
 - Comprehensive Performance Metrics: This research evaluates multiple performance metrics, including queue lengths, travel time, vehicle delay, and emissions, providing a holistic assessment of AV integration.
 - Simulation-Based Analysis: Utilizing the PTV VISSIM traffic simulation model, this study provides insights into the optimal integration of AVs into urban traffic systems.
 
2. Literature Review
3. Methodology
3.1. Study Location
3.2. Research Methodology Overview
3.3. Data Collection
3.4. Speed Observation
3.5. Car Following Models and Lane Change Models
- CC0: Standstill distance (the desired gap between two stationary vehicles in meters).
 - CC1: Following distance (the time-based component of the desired safety distance, dependent on speed in seconds).
 - CC2: Longitudinal oscillation (the distance a driver allows before closing in on the vehicle ahead in meters).
 - CC3: Perception threshold for following (the point at which the driver initiates deceleration in seconds).
 - CC4 and CC5: Negative and positive speed differences (sensitivity to the acceleration or deceleration of the vehicle in front in meters per second).
 - CC6: Speed influence on oscillation (how distance affects speed fluctuations during following in 10−4 rad/s).
 - CC7: Oscillation acceleration (the minimum acceleration or deceleration applied when following another vehicle in m/s2).
 - CC8 and CC9: Desired acceleration from a standstill and at 80 km/h. in m/s2
 
3.6. Signal Control Optimization
3.7. Simulation Scenarios
3.8. Model Calibrations and Validation
3.8.1. Average Queue Length Validation
3.8.2. Average Travel Time Validation
3.9. Emission Modeling in VISSIM
4. Results
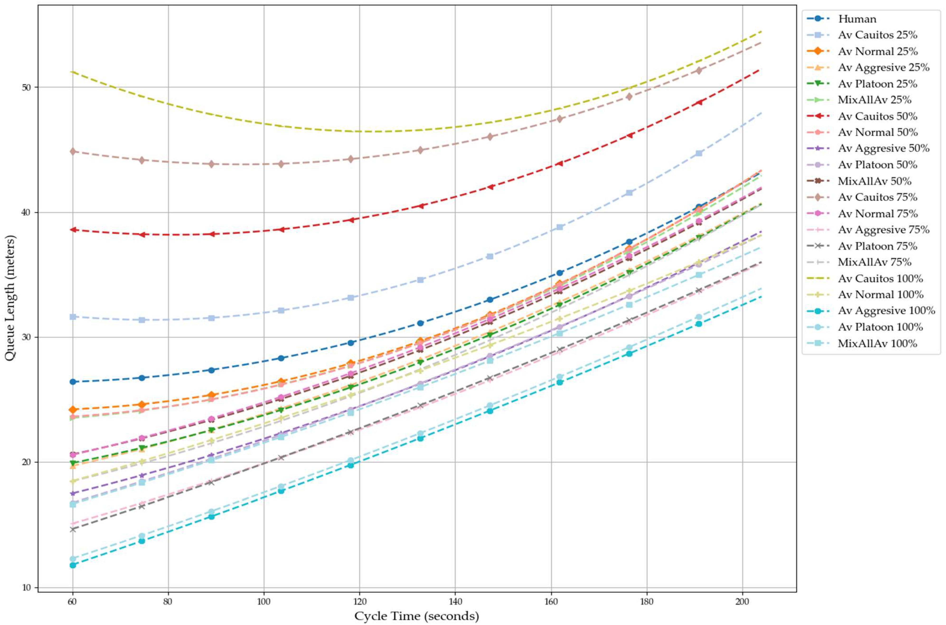
4.1. Average Queue Length Results
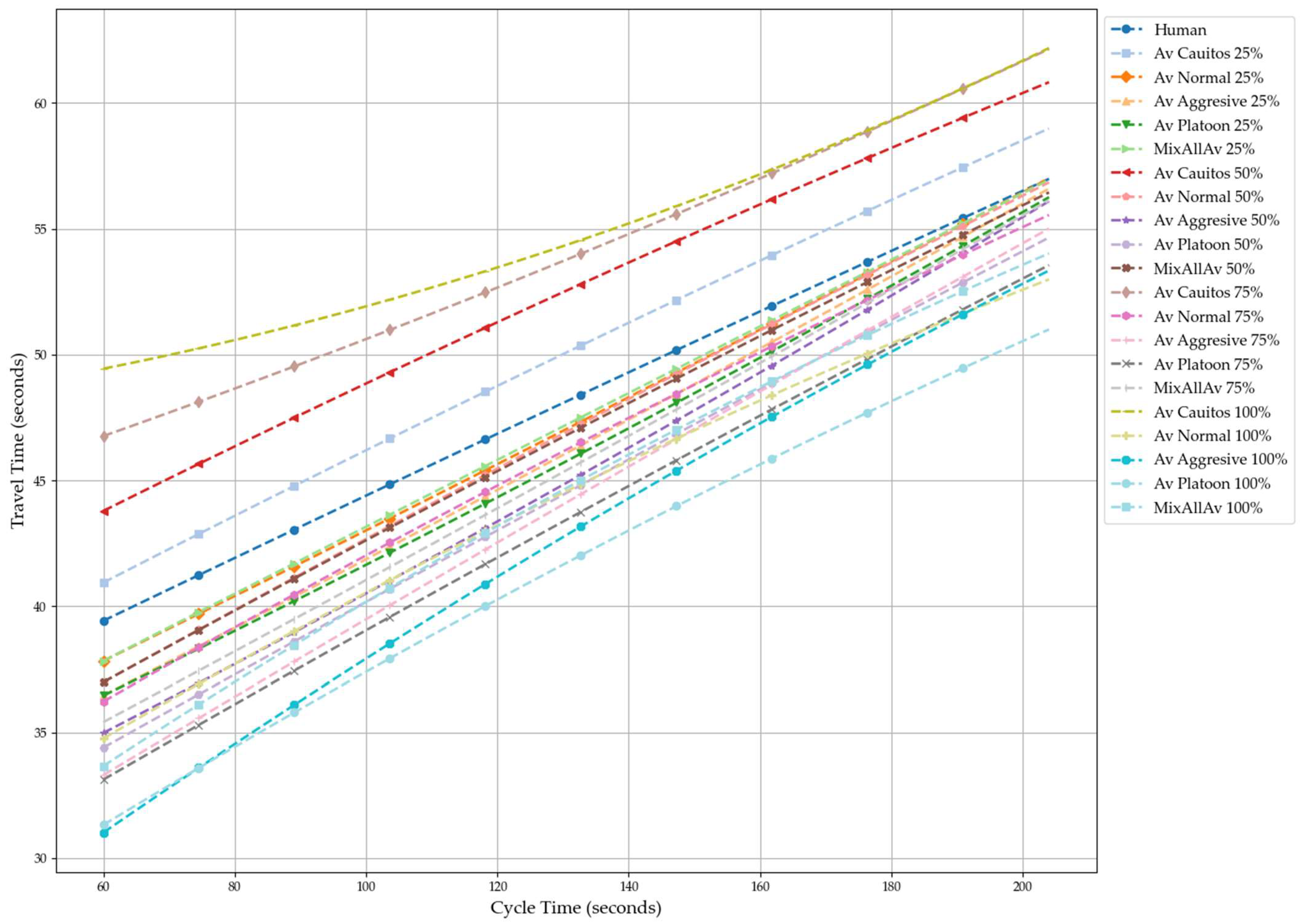
4.2. Average Travel Time Results
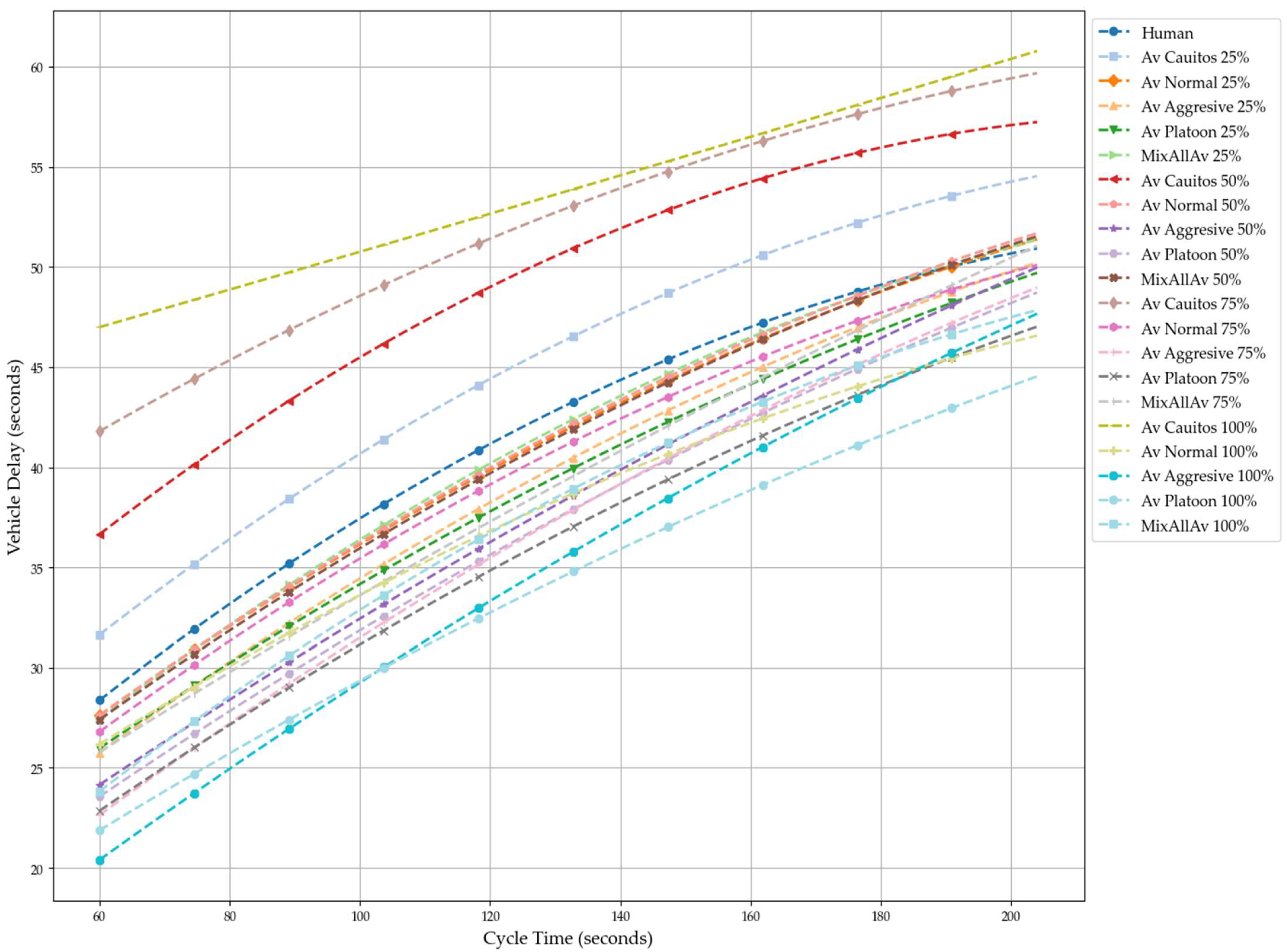
4.3. Average Vehicles Delay Results
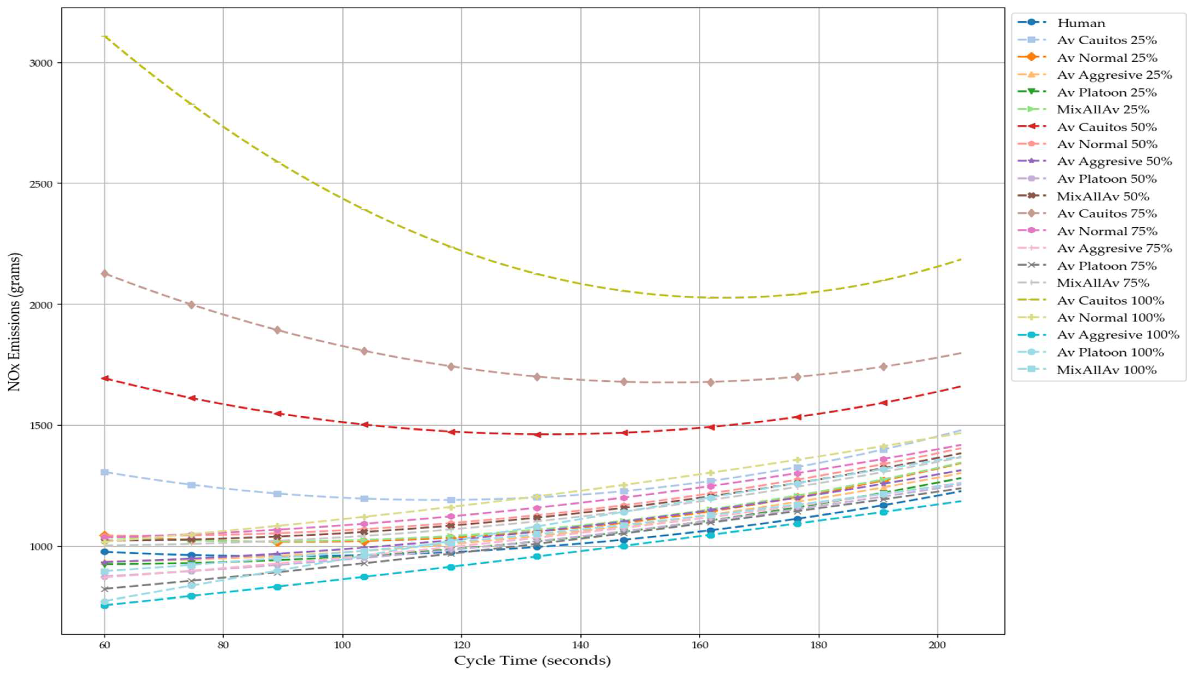
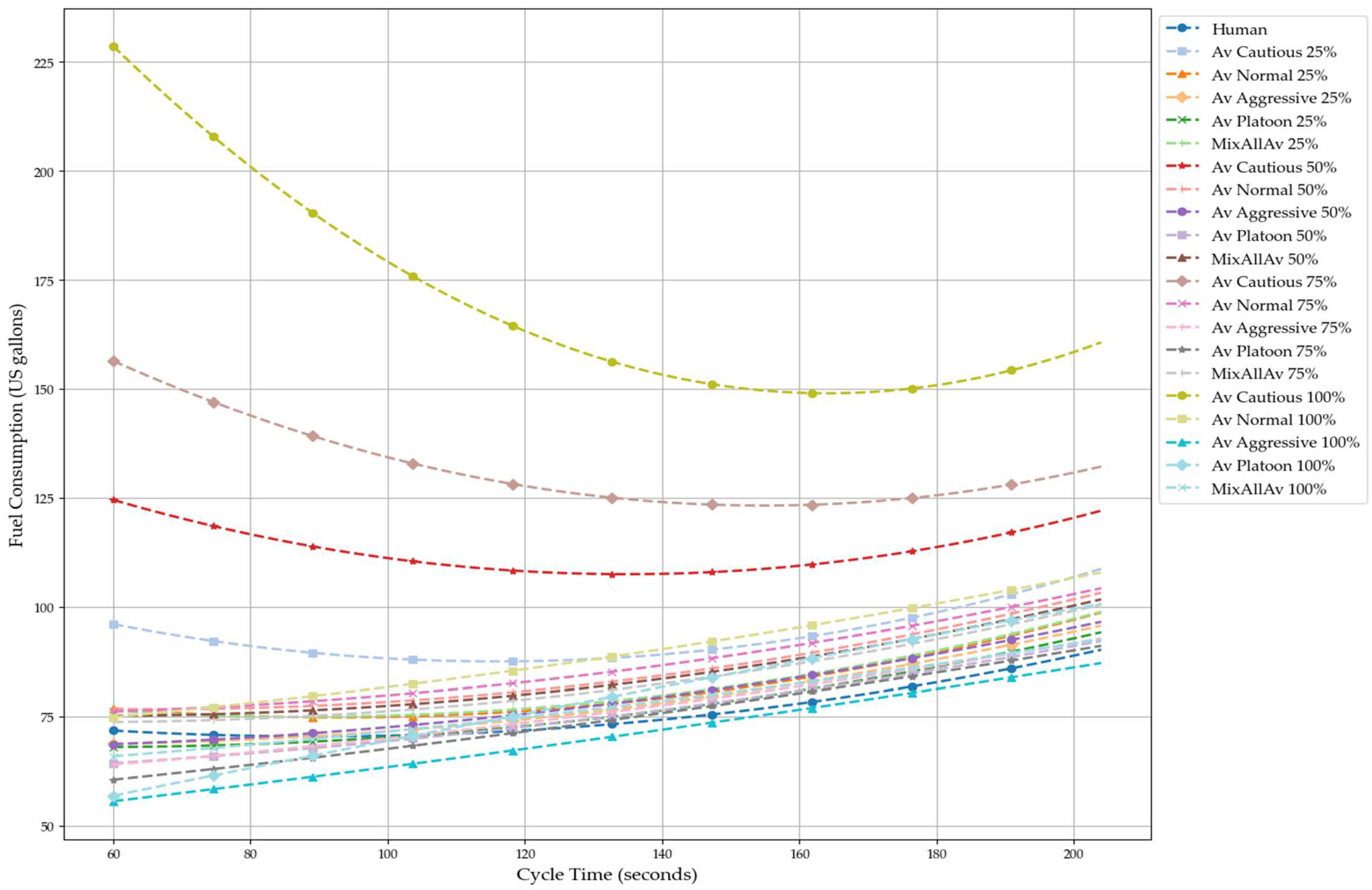
4.4. Average Vehicle Gas Emissions and Fuel Consumption Results
5. Discussion
5.1. Traffic Efficiency and Flow
5.2. Environmental Impacts: Emissions and Fuel Consumption
5.3. Optimization of Traffic Signal Control
5.4. Mixed Environments: The Role of AV–Human Interactions
5.5. Infrastructure and Policy Implications
6. Conclusions
- Investigate the long-term impacts of mixed driving scenarios on traffic patterns and urban mobility.
 - Explore necessary infrastructure modifications to support AV integration.
 - Study the behavioral nuances of platooning at higher penetration rates.
 - Focus on designing energy-efficient AV systems to minimize environmental impacts.
 - Develop comprehensive policy and regulatory frameworks for AV deployment.
 - Conduct real-world pilot studies to validate simulation results and gather empirical data.
 - Examine the potential for extrapolating and modeling various performance metrics (queue lengths, travel times, delays, emissions, and fuel consumption) to enhance understanding of AV impacts.
 
Author Contributions
Funding
Institutional Review Board Statement
Informed Consent Statement
Data Availability Statement
Acknowledgments
Conflicts of Interest
List of Abbreviations
| AVs | Autonomous Vehicles | 
| CAVs | Connected Autonomous Vehicles | 
| AHS | Automated Highway Systems | 
| CV | Conventional Vehicle | 
| THW | Time Headway | 
| CACC | Cooperative Adaptive Cruise Control | 
| ABX | Absolute Braking Threshold | 
| SDX | Safe Distance Threshold | 
| CLDV | Closing Distance | 
| SDV | Sensitive Distance | 
| OPDV | Opening Distance | 
| CO | Carbon Monoxide | 
| NOx | Nitrogen Oxides | 
| VOC | Volatile Organic Compounds | 
List of Symbols (Nomenclature)
| Symbol | Description | Unit | 
| gf | Front gap between the subject vehicle and the leading vehicle | m | 
| gr | Rear gap between the subject vehicle and the following vehicle | m | 
| Xlead | Position of the leading vehicle in the target lane | m | 
| xi | Position of the subject vehicle | m | 
| li | Length of the subject vehicle | m | 
| xfollower | Position of the following vehicle in the target lane | m | 
| lfollower | Length of the following vehicle | m | 
| vlead | Speed of the leading vehicle | m/s | 
| vfollower | Speed of the following vehicle | m/s | 
| di | Deceleration of the subject vehicle | m/s2 | 
| dfollower | Deceleration of the following vehicle | m/s2 | 
| af | Acceleration of the following vehicle | m/s2 | 
| sf | Desired safety distance | m | 
| s0 | Minimum standstill distance | m | 
| Tf | Safe time headway | s | 
| ab | Maximum acceleration capability | m/s2 | 
| b | Comfortable deceleration rate | m/s2 | 
| E | Total emissions of a pollutant | g | 
| vi | Speed of vehicle i | km/h | 
| a, b, c, d | Empirical coefficients for emission calculation | — | 
References
- Fidanoglu, A.; Gokasar, I.; Deveci, M. Integrating Shared Autonomous Vehicles in Last-Mile Public Transportation. Sustain. Energy Technol. Assess. 2023, 57, 103214. [Google Scholar] [CrossRef]
 - Acheampong, R.A.; Legacy, C.; Kingston, R.; Stone, J. Imagining Urban Mobility Futures in the Era of Autonomous Vehicles—Insights from Participatory Visioning and Multi-Criteria Appraisal in the UK and Australia. Transp. Policy 2023, 136, 193–208. [Google Scholar] [CrossRef]
 - Clavijo, M.; Jiménez, F.; Naranjo, J.E. The Development and Prospects of Autonomous Driving Technology. Appl. Sci. 2023, 13, 5377. [Google Scholar] [CrossRef]
 - Rahman, M.M.; Thill, J.-C. Impacts of Connected and Autonomous Vehicles on Urban Transportation and Environment: A Comprehensive Review. Sustain. Cities Soc. 2023, 96, 104649. [Google Scholar] [CrossRef]
 - Wang, D.; Wu, Z.; Ma, G.; Gao, Z.; Yang, Z. Coupled Control of Traffic Signal and Connected Autonomous Vehicles at Signalized Intersections. J. Adv. Transp. 2023, 2023, 6684252. [Google Scholar] [CrossRef]
 - Durrani, U.; Lee, C.; Maoh, H. Calibrating the Wiedemann’s Vehicle-Following Model Using Mixed Vehicle-Pair Interactions. Transp. Res. Part C Emerg. Technol. 2016, 67, 227–242. [Google Scholar] [CrossRef]
 - Viadero-Monasterio, F.; Meléndez-Useros, M.; Jiménez-Salas, M.; Boada, B.L. Robust Adaptive Heterogeneous Vehicle Platoon Control Based on Disturbances Estimation and Compensation. IEEE Access 2024, 12, 96924–96935. [Google Scholar] [CrossRef]
 - Ghazi, A.; Yadav, D.; Muthusamy, S.; Mishra, O.P.; Loganathan, A.K. The Scope and Adaptation Strategy for Autonomous Vehicles from the Perspective of Indian Smart City. Energy Sources Part A Recover. Util. Environ. Eff. 2023, 45, 8716–8736. [Google Scholar] [CrossRef]
 - Waqas, M.; Monteiro, F.V.; Ioannou, P. Trade-off Between Safety and Traffic Flow for Connected Autonomous Vehicles in the Presence of Traffic Signals. In Proceedings of the 2022 IEEE 25th International Conference on Intelligent Transportation Systems (ITSC), Macau, China, 8–12 October 2022. [Google Scholar]
 - Mueller, A.S.; Cicchino, J.B.; Zuby, D.S. What Humanlike Errors Do Autonomous Vehicles Need to Avoid to Maximize Safety? J. Saf. Res. 2020, 75, 310–318. [Google Scholar] [CrossRef]
 - Predhumeau, M.; Spalanzani, A.; Dugdale, J. Pedestrian Behavior in Shared Spaces With Autonomous Vehicles: An Integrated Framework and Review. IEEE Trans. Intell. Veh. 2023, 8, 438–457. [Google Scholar] [CrossRef]
 - Li, X. Trade-off between Safety, Mobility and Stability in Automated Vehicle Following Control: An Analytical Method. Transp. Res. Part B Methodol. 2022, 166, 1–18. [Google Scholar] [CrossRef]
 - Lee, S.; Jeong, E.; Oh, M.; Oh, C. Driving Aggressiveness Management Policy to Enhance the Performance of Mixed Traffic Conditions in Automated Driving Environments. Transp. Res. Part A Policy Pract. 2019, 121, 136–146. [Google Scholar] [CrossRef]
 - Peng, B.; Yu, D.; Zhou, H.; Xiao, X.; Fang, Y. A Platoon Control Strategy for Autonomous Vehicles Based on Sliding-Mode Control Theory. IEEE Access 2020, 8, 81776–81788. [Google Scholar] [CrossRef]
 - Ying, Z.; Ma, M.; Zhao, Z.; Liu, X.; Ma, J. A Reputation-Based Leader Election Scheme for Opportunistic Autonomous Vehicle Platoon. IEEE Trans. Veh. Technol. 2022, 71, 3519–3532. [Google Scholar] [CrossRef]
 - Talebpour, A.; Mahmassani, H.S. Influence of Connected and Autonomous Vehicles on Traffic Flow Stability and Throughput. Transp. Res. Part C Emerg. Technol. 2016, 71, 143–163. [Google Scholar] [CrossRef]
 - Aria, E.; Olstam, J.; Schwietering, C. Investigation of Automated Vehicle Effects on Driver’s Behavior and Traffic Performance. Transp. Res. Procedia 2016, 15, 761–770. [Google Scholar] [CrossRef]
 - Ye, L.; Yamamoto, T. Impact of Dedicated Lanes for Connected and Autonomous Vehicle on Traffic Flow Throughput. Phys. A Stat. Mech. Appl. 2018, 512, 588–597. [Google Scholar] [CrossRef]
 - Tilg, G.; Yang, K.; Menendez, M. Evaluating the Effects of Automated Vehicle Technology on the Capacity of Freeway Weaving Sections. Transp. Res. Part C Emerg. Technol. 2018, 96, 3–21. [Google Scholar] [CrossRef]
 - Beza, A.D.; Zefreh, M.M. Potential Effects of Automated Vehicles on Road Transportation: A Literature Review. Transp. Telecommun. J. 2019, 20, 269–278. [Google Scholar] [CrossRef]
 - Almobayedh, H.B. Simulation of the Impact of Connected and Automated Vehicles at a Signalized Intersection. Master’s Thesis, University of Dayton, Dayton, OH, USA, 2019. [Google Scholar]
 - Zhong, Z.; Lee, E.E.; Nejad, M.; Lee, J. Influence of CAV Clustering Strategies on Mixed Traffic Flow Characteristics: An Analysis of Vehicle Trajectory Data. Transp. Res. Part C Emerg. Technol. 2020, 115, 102611. [Google Scholar] [CrossRef]
 - Lu, Q.; Tettamanti, T.; Hörcher, D.; Varga, I. The Impact of Autonomous Vehicles on Urban Traffic Network Capacity: An Experimental Analysis by Microscopic Traffic Simulation. Transp. Lett. 2019, 12, 540–549. [Google Scholar] [CrossRef]
 - Ahmed, H.U.; Huang, Y.; Lu, P. A Review of Car-Following Models and Modeling Tools for Human and Autonomous-Ready Driving Behaviors in Micro-Simulation. Smart Cities 2021, 4, 314–335. [Google Scholar] [CrossRef]
 - Silva, D.; Földes, D.; Csiszár, C. Autonomous Vehicle Use and Urban Space Transformation: A Scenario Building and Analysing Method. Sustainability 2021, 13, 3008. [Google Scholar] [CrossRef]
 - Desta, R.; Tóth, J. Impacts of Autonomous Vehicle Driving Logics on Heterogenous Traffic and Evaluating Transport Interventions with Microsimulation Experiments. In Lecture Notes in Computer Science; Springer International Publishing: Cham, Switzerland, 2022; pp. 355–370. [Google Scholar]
 - Osman, A. Evaluation of The Impact of Automated Driven Vehicles on Traffic Performance at Four-Leg Signalized Intersections. Master’s Thesis, Linköping University, Linköping, Sweden, 2023. [Google Scholar]
 - Treiber, M.; Kesting, A. Modeling Human Aspects of Driving Behavior BT—Traffic Flow Dynamics: Data, Models and Simulation; Treiber, M., Kesting, A., Eds.; Springer: Berlin/Heidelberg, Germany, 2013; pp. 205–224. ISBN 978-3-642-32460-4. [Google Scholar]
 - Zhu, M.; Wang, X.; Tarko, A.; Fang, S. Modeling Car-Following Behavior on Urban Expressways in Shanghai: A Naturalistic Driving Study. Transp. Res. Part C Emerg. Technol. 2018, 93, 425–445. [Google Scholar] [CrossRef]
 - Al-Msari, H.; Koting, S.; Ahmed, A.N.; El-Shafie, A. Review of Driving-Behaviour Simulation: VISSIM and Artificial Intelligence Approach. Heliyon 2024, 10, e25936. [Google Scholar] [CrossRef]
 - Treiber, M.; Hennecke, A.; Helbing, D. Congested Traffic States in Empirical Observations and Microscopic Simulations. Phys. Rev. E 2000, 62, 1805. [Google Scholar] [CrossRef]
 - Srikanth, S.; Mehar, A.; Praveen, K.G.N.V. Simulation of Traffic Flow to Analyze Lane Changes on Multi-Lane Highways under Non-Lane Discipline. Period. Polytech. Transp. Eng. 2018, 48, 109–116. [Google Scholar] [CrossRef]
 - Qadri, S.; Gokce, M.A.; Oner, E. Traffic Signal Timing Optimization for Signalized Roundabout Using GA. Int. J. Adv. Res. Eng. Technol. 2020, 11, 1888–1897. [Google Scholar]
 - Shah, S.; Mohiuddin, S.; Gokce, M.A.; Oner, E.; Gokce, E.G. Analysis of Various Scenarios to Mitigate Congestion at a Signalized Roundabout Using Microsimulation. In Proceedings of the 2019 Innovations in Intelligent Systems and Applications Conference (ASYU), Izmir, Turkey, 31 October—2 November 2019. [Google Scholar] [CrossRef]
 - Qadri, S.S.S.M.; Gökçe, M.A.; Öner, E. State-of-Art Review of Traffic Signal Control Methods: Challenges and Opportunities. Eur. Transp. Res. Rev. 2020, 12, 55. [Google Scholar] [CrossRef]
 - Gunarathne, D.; Amarasingha, N.; Wickramasighe, V. Traffic Signal Controller Optimization Through VISSIM to Minimize Traffic Congestion, CO and NOx Emissions, and Fuel Consumption. Sci. Eng. Technol. 2023, 3, 9–21. [Google Scholar] [CrossRef]
 - Cheng, R.; Qiao, Z.; Li, J.; Huang, J. Traffic Signal Timing Optimization Model Based on Video Surveillance Data and Snake Optimization Algorithm. Sensors 2023, 23, 5157. [Google Scholar] [CrossRef] [PubMed]
 - Albdairi, M.; Almusawi, A.; Qadri, S.S.S.M. Impact of autonomous vehicle driving behaviors on signalized intersection performance: A review. Usak Univ. J. Eng. Sci. 2024, 7, 14–26. [Google Scholar] [CrossRef]
 - Chen, X.; Li, T.; Ren, Y. Environmental Traffic Capacity of Urban Intersection. In Proceedings of the CICTP 2012: Multimodal Transportation Systems—Convenient, Safe, Cost-Effective, Efficient, Beijing, China, 3–6 August 2012; pp. 2789–2800. [Google Scholar]
 - Azam, M.; Hassan, S.A.; Puan, O.C.; Azhari, S.F.; Faiz, R.U. Performance of Autonomous Vehicles in Mixed Traffic under Different Demand Conditions. Int. J. Automot. Mech. Eng. 2022, 19, 10050–10062. [Google Scholar] [CrossRef]
 - Badia, H.; Jenelius, E. Feeder Transit Services in Different Development Stages of Automated Buses: Comparing Fixed Routes versus Door-to-Door Trips. Transp. Res. Procedia 2020, 47, 521–528. [Google Scholar] [CrossRef]
 - Zheng, F.; Liu, C.; Liu, X.; Jabari, S.E.; Lu, L. Analyzing the Impact of Automated Vehicles on Uncertainty and Stability of the Mixed Traffic Flow. Transp. Res. Part C Emerg. Technol. 2020, 112, 203–219. [Google Scholar] [CrossRef]
 - Albdairi, M.; Almusawi, A.; Qadri, S.S.S.M. Assessing Traffic Performance: Comparative Study of Human and Automated HGVs In Urban Intersections and Highway Segments. Int. J. Integr. Eng. 2024, 16, 443–461. [Google Scholar]
 - Al-Turki, M.; Ratrout, N.T.; Rahman, S.M.; Reza, I. Impacts of Autonomous Vehicles on Traffic Flow Characteristics under Mixed Traffic Environment: Future Perspectives. Sustainability 2021, 13, 11052. [Google Scholar] [CrossRef]
 - Milakis, D.; van Arem, B.; van Wee, B. Policy and Society Related Implications of Automated Driving: A Review of Literature and Directions for Future Research. J. Intell. Transp. Syst. 2017, 21, 324–348. [Google Scholar] [CrossRef]
 



















| Reference | Year | The Study Objective | Methodology/Tools Used | Key Findings | 
|---|---|---|---|---|
| [14] | 2016 | Investigate the impact of CAVs and AVs on traffic flow stability and throughput; optimize AHS performance | Microscopic traffic flow simulation model; developed control schemes and simulation frameworks | CAVs and AVs enhance traffic flow stability and throughput, optimize AHS capacity, reduce congestion, and minimize emissions. | 
| [15] | 2016 | Investigate the effects of AVs on driver behavior and traffic performance | Literature survey and microscopic traffic simulation using VISSIM | AVs improve average density by 8.09%, travel speed by 8.48%, and travel time by 9.00% during peak hours. AVs reduce congestion and improve safety. CVs near AVs adopt shorter THW. AVs reduce situation awareness and may increase drowsiness. | 
| [16] | 2018 | Investigate the impact of CAV dedicated lanes on traffic flow throughput | Developed a three-lane heterogeneous flow model; analyzed CAV dedicated lane policy impact on throughput | CAV dedicated lanes achieved higher flow rates. Overall traffic flow throughput increased with higher CAV penetration rates. The optimal strategy is one CAV-dedicated lane above 40% penetration, and two lanes above 60%. Individual CAV performance is crucial for lane effectiveness. | 
| [17] | 2018 | Investigate how AVs technology can enhance operations and increase capacity of weaving sections | Developed a multiclass hybrid model; calibrated and validated using empirical data from a weaving section; applied in a simulation-based optimization framework | Higher penetration of AVs increases weaving section capacity. Non-linear capacity increase observed. Optimal lane change distributions can prevent capacity reduction. Potential capacity increase of up to 15%. | 
| [18] | 2019 | Investigate the potential effects of AVs on road transportation | Literature review of existing studies on AV impacts | AVs can improve traffic flow, pedestrian mobility, travel demand, safety, and reduce emissions. Uncertainties exist regarding long-term effects on energy, emissions, pedestrian interaction, and safety. | 
| [19] | 2019 | Explore the role of CAVs and AVs in enhancing transportation systems’ efficiency, safety, and sustainability; assess urban infrastructure’s impact on transportation networks and the benefits of integrating CAVs; provide recommendations for policymakers and urban planners | PTV Vissim simulation, data collection points, vehicle travel time, queue counters; statistical analysis and visualization tools; literature review and expert consultations | CAVs improve traffic flow efficiency, reduce queue delays and travel times. The study highlighted the importance of urban infrastructure in supporting CAV integration, providing recommendations for effective transportation planning with CAVs. | 
| [20] | 2020 | Analyze the impact of CAV clustering strategies on mixed traffic flow characteristics | Analysis of vehicle trajectory data; compared ad hoc and local coordination strategies for CACC | Local coordination outperforms ad hoc in network throughput. Improved network performance and safety. Hard braking events for HVs change significantly under local coordination. | 
| [21] | 2020 | Investigate how AVs influence road capacity in urban traffic networks | Simulations using SUMO software; analyzed grid and real-world networks with varying AV penetration levels | AVs increase road network capacity. Maximum traffic flows with 100% AVs were 16–23% higher than with only conventional vehicles. Significant capacity improvements were observed around 40–50% AVs penetration. | 
| [22] | 2021 | Review of car-following models for human and autonomous driving behaviors | Literature review of car-following models; comparison of traditional cars with human drivers to AVs; discussion on AV-ready tools in micro-simulation platforms | Provides an overview of various car-following models for both human-driven and AVs. Highlights the importance of AV-ready tools in micro-simulation platforms for accurate modeling of vehicle dynamics and environments. | 
| [23] | 2021 | Identify the impacts of shared AVs on urban parking and space management. | Formulated an estimation method; conducted a case study in a 673,220 m2 area using real data and previous studies; analyzed parking demand, vehicle ownership, and space reallocation | Shared AVs can significantly reduce parking space demand, allowing reallocation for other uses such as bike-sharing spots, bike lanes, additional traffic lanes, or parklets. Positive implications for urban space management and city planning. | 
| [24] | 2022 | Analyze the impacts of AV driving logics on traffic performance; assess AV-readiness of infrastructures and changes in driving behaviors | Microscopic traffic simulation using PTV Vissim; various scenarios and simulations to evaluate effects of AVs | AV driving logics and physical interventions improve traffic performance. AV-readiness of infrastructures and change in driving behaviors should be assessed for better performance. | 
| [25] | 2023 | Evaluate the impact of AV driving logics on traffic performance at a four-leg signalized intersection in a Swedish urban context | Microscopic traffic simulation using PTV Vissim; literature review; developed a model of a four-leg intersection in Norrköping; simulated AV behaviors: cautious, normal, and all-knowing with different penetration rates | AVs improve traffic performance. All-knowing AVs are most efficient. Cautious AVs negatively impact performance. A 50% penetration rate of all-knowing Avs is necessary for significant improvements. | 
| Bound | Vehicles (Veh/h) | Movement (Veh/h) | ||
|---|---|---|---|---|
| Right | Straight | Left | ||
| North | 1793 | 225 | 679 | 889 | 
| East | 1033 | 814 | 157 | 62 | 
| South | 1508 | 244 | 1228 | 36 | 
| West | 1052 | 28 | 132 | 892 | 
| Vehicle No. | Distance (m) | North-Bound | South-Bound | ||
|---|---|---|---|---|---|
| Time (s) | Speed (km/h) | Time (s) | Speed (km/h) | ||
| 1 | 150 | 18.68 | 28.91 | 27.69 | 19.50 | 
| 2 | 150 | 15.61 | 34.59 | 22.22 | 24.30 | 
| 3 | 150 | 25.12 | 21.49 | 19.92 | 27.11 | 
| 4 | 150 | 26.47 | 20.40 | 17.31 | 31.19 | 
| 5 | 150 | 14.52 | 37.19 | 23.47 | 23.01 | 
| 6 | 150 | 19.08 | 28.30 | 20.93 | 25.80 | 
| 7 | 150 | 22.78 | 23.71 | 26.08 | 20.71 | 
| 8 | 150 | 16.82 | 32.10 | 18.88 | 28.60 | 
| 9 | 150 | 20.15 | 26.78 | 16.41 | 32.91 | 
| 10 | 150 | 14.17 | 38.11 | 18.18 | 29.70 | 
| 11 | 150 | 24.00 | 22.5 | 17.82 | 30.30 | 
| 12 | 150 | 16.98 | 31.80 | 16.16 | 33.42 | 
| 13 | 150 | 13.95 | 38.71 | 14.28 | 37.82 | 
| 14 | 150 | 24.43 | 22.10 | 20.07 | 26.91 | 
| 15 | 150 | 16.02 | 33.71 | 15.38 | 35.11 | 
| 16 | 150 | 19.08 | 28.30 | 24.32 | 22.20 | 
| 17 | 150 | 17.71 | 30.49 | 15.65 | 34.50 | 
| 18 | 150 | 14.67 | 36.81 | 25.00 | 21.60 | 
| 19 | 150 | 10.47 | 51.58 | 21.51 | 25.10 | 
| 20 | 150 | 21.42 | 25.21 | 17.14 | 31.51 | 
| Wiedemann 1999 Following Model Parameters | AV  Cautious  | AV  Normal  | AV  Aggressive  | AV  Platoon  | Human | 
|---|---|---|---|---|---|
| CC0 Standstill distance (m) | 1.50 | 1.50 | 1.00 | 1.00 | 1.50 | 
| CC1 Gap time distribution (s) | 1.5 | 0.9 | 0.6 | 0.5 | 0.9 | 
| CC2 “Following” distance oscillation (m) | 0.00 | 0.00 | 0.00 | 0.00 | 4.00 | 
| CC3 Threshold for entering “Following” (s) | –10.00 | –8.00 | –6.00 | –6.00 | –8.00 | 
| CC4 Negative speed difference (m/s) | –0.10 | –0.10 | –0.10 | –0.10 | –0.35 | 
| CC5 Positive speed difference (m/s) | 0.10 | 0.10 | 0.10 | 0.10 | 0.35 | 
| CC6 Distance dependency of oscillation (10−4 rad/s) | 0.00 | 0.00 | 0.00 | 0.00 | 11.44 | 
| CC7 Oscillation acceleration (m/s2) | 0.10 | 0.10 | 0.10 | 0.10 | 0.25 | 
| CC8 Acceleration from standstill (m/s2) | 3.00 | 3.50 | 4.00 | 4.00 | 3.50 | 
| CC9 Acceleration at 80 km/h (m/s2) | 1.20 | 1.50 | 2.00 | 2.00 | 1.50 | 
| Parameter’s | AV  Cautious  | AV  Normal  | AV  Aggressive  | AV  Platoon  | Human | 
|---|---|---|---|---|---|
| Advanced merging | on | on | on | on | on | 
| Cooperative lane change | on | on | on | on | off | 
| Safety distance reduction factor | 1.00 | 0.60 | 0.75 | 0.75 | 0.60 | 
| Min clearance (front/rear) in (m) | 1.00 | 0.50 | 0.50 | 0.50 | 0.50 | 
| Maximum deceleration for cooperative braking in (m/s2) | –2.50 | –3.00 | –6.00 | –6.00 | –3.00 | 
| Scenarios | AV Penetration Rates | Human | |||
|---|---|---|---|---|---|
| AV Cautious | AV Normal | AV Aggressive | AV Platoon | ||
| No. 1 | 0.00% | 0.00% | 0.00% | 0.00% | 100.00% | 
| No. 2 | 25.00% | 0.00% | 0.00% | 0.00% | 75.00% | 
| No. 3 | 0.00% | 25.00% | 0.00% | 0.00% | 75.00% | 
| No. 4 | 0.00% | 0.00% | 25.00% | 0.00% | 75.00% | 
| No. 5 | 0.00% | 0.00% | 0.00% | 25.00% | 75.00% | 
| No. 6 | 6.25% | 6.25% | 6.25% | 6.25% | 75.00% | 
| No. 7 | 50.00% | 0.00% | 0.00% | 0.00% | 50.00% | 
| No. 8 | 0.00% | 50.00% | 0.00% | 0.00% | 50.00% | 
| No. 9 | 0.00% | 0.00% | 50.00% | 0.00% | 50.00% | 
| No. 10 | 0.00% | 0.00% | 0.00% | 50.00% | 50.00% | 
| No. 11 | 12.50% | 12.50% | 12.50% | 12.50% | 50.00% | 
| No. 12 | 75.00% | 0.00% | 0.00% | 0.00% | 25.00% | 
| No. 13 | 0.00% | 75.00% | 0.00% | 0.00% | 25.00% | 
| No. 14 | 0.00% | 0.00% | 75.00% | 0.00% | 25.00% | 
| No. 15 | 0.00% | 0.00% | 0.00% | 75.00% | 25.00% | 
| No. 16 | 18.75% | 18.75% | 18.75% | 18.75% | 25.00% | 
| No. 17 | 100.00% | 0.00% | 0.00% | 0.00% | 0.00% | 
| No. 18 | 0.00% | 100.00% | 0.00% | 0.00% | 0.00% | 
| No. 19 | 0.00% | 0.00% | 100.00% | 0.00% | 0.00% | 
| No. 20 | 0.00% | 0.00% | 0.00% | 100.00% | 0.00% | 
| No. 21 | 25.00% | 25.00% | 25.00% | 25.00% | 0.00% | 
| Bound | Num. of Lane | Num. of Vehicles at First Lane | Num. of Vehicles at Second Lane | Num. of Vehicles at Third Lane | Estimated Average Queue (m) | 
|---|---|---|---|---|---|
| North | 3 | 12 | 11 | 8 | 46.303 | 
| North | 3 | 11 | 14 | 7 | 47.797 | 
| North | 3 | 13 | 12 | 6 | 46.303 | 
| North | 3 | 10 | 11 | 8 | 43.316 | 
| North | 3 | 16 | 12 | 6 | 50.784 | 
| North | 3 | 11 | 14 | 9 | 50.784 | 
| North | 3 | 13 | 13 | 6 | 47.797 | 
| North | 3 | 11 | 12 | 3 | 38.835 | 
| North | 3 | 17 | 14 | 4 | 52.278 | 
| North | 3 | 16 | 11 | 7 | 50.784 | 
| North | 3 | 13 | 12 | 6 | 46.303 | 
| North | 3 | 17 | 14 | 2 | 49.291 | 
| North | 3 | 12 | 11 | 5 | 41.822 | 
| North | 3 | 16 | 9 | 8 | 49.291 | 
| North | 3 | 17 | 13 | 4 | 50.784 | 
| North | 3 | 13 | 11 | 6 | 44.81 | 
| North | 3 | 13 | 13 | 7 | 49.291 | 
| North | 3 | 11 | 11 | 4 | 38.835 | 
| North | 3 | 12 | 11 | 9 | 47.797 | 
| 47.011 | 
| Bound | Num. of Lane | Num. of Vehicles at First Lane | Num. of Vehicles at Second Lane | Num. of Vehicles at Third Lane | Estimated Average Queue (m) | 
|---|---|---|---|---|---|
| East | 3 | 5 | 6 | 2 | 19.417 | 
| East | 3 | 6 | 4 | 1 | 16.430 | 
| East | 3 | 5 | 4 | 2 | 16.430 | 
| East | 3 | 6 | 5 | 1 | 17.924 | 
| East | 3 | 4 | 4 | 1 | 13.443 | 
| East | 3 | 6 | 5 | 0 | 16.430 | 
| East | 3 | 5 | 4 | 1 | 14.936 | 
| East | 3 | 4 | 3 | 1 | 11.949 | 
| East | 3 | 6 | 5 | 0 | 16.430 | 
| East | 3 | 5 | 4 | 2 | 16.430 | 
| East | 3 | 5 | 5 | 1 | 16.430 | 
| East | 3 | 6 | 2 | 2 | 14.936 | 
| East | 3 | 4 | 6 | 2 | 17.924 | 
| East | 3 | 5 | 4 | 1 | 14.936 | 
| East | 3 | 5 | 4 | 1 | 14.936 | 
| East | 3 | 5 | 3 | 1 | 13.443 | 
| East | 3 | 4 | 5 | 0 | 13.443 | 
| East | 3 | 5 | 4 | 2 | 16.430 | 
| East | 3 | 6 | 7 | 1 | 20.911 | 
| 15.958 | 
| Bound | Num. of Lane | Num. of Vehicles at First Lane | Num. of Vehicles at Second Lane | Num. of Vehicles at Third Lane | Estimated Average Queue (m) | 
|---|---|---|---|---|---|
| South | 3 | 14 | 12 | 6 | 47.797 | 
| South | 3 | 14 | 12 | 9 | 52.278 | 
| South | 3 | 11 | 14 | 7 | 47.797 | 
| South | 3 | 18 | 14 | 4 | 53.772 | 
| South | 3 | 14 | 13 | 6 | 49.291 | 
| South | 3 | 16 | 12 | 7 | 52.278 | 
| South | 3 | 14 | 14 | 5 | 49.291 | 
| South | 3 | 13 | 13 | 7 | 49.291 | 
| South | 3 | 15 | 11 | 8 | 50.784 | 
| South | 3 | 11 | 14 | 9 | 50.784 | 
| South | 3 | 17 | 14 | 4 | 52.278 | 
| South | 3 | 13 | 11 | 9 | 49.291 | 
| South | 3 | 14 | 12 | 7 | 49.291 | 
| South | 3 | 13 | 14 | 7 | 50.784 | 
| South | 3 | 14 | 11 | 8 | 49.291 | 
| South | 3 | 11 | 15 | 7 | 49.291 | 
| South | 3 | 17 | 14 | 6 | 55.265 | 
| South | 3 | 14 | 11 | 9 | 50.784 | 
| South | 3 | 16 | 15 | 3 | 50.784 | 
| 50.548 | 
| Bound | Num. of Lane | Num. of Vehicles at First Lane | Num. of Vehicles at Second Lane | Num. of Vehicles at Third Lane | Estimated Average Queue (m) | 
|---|---|---|---|---|---|
| West | 3 | 14 | 13 | 11 | 56.759 | 
| West | 3 | 13 | 12 | 12 | 55.265 | 
| West | 3 | 15 | 12 | 9 | 53.772 | 
| West | 3 | 13 | 15 | 6 | 50.784 | 
| West | 3 | 12 | 13 | 11 | 53.772 | 
| West | 3 | 14 | 15 | 8 | 55.265 | 
| West | 3 | 17 | 13 | 6 | 53.772 | 
| West | 3 | 15 | 14 | 8 | 55.265 | 
| West | 3 | 14 | 13 | 9 | 53.772 | 
| West | 3 | 13 | 11 | 12 | 53.772 | 
| West | 3 | 12 | 13 | 9 | 50.784 | 
| West | 3 | 14 | 15 | 6 | 52.278 | 
| West | 3 | 13 | 12 | 12 | 55.265 | 
| West | 3 | 14 | 13 | 11 | 56.759 | 
| West | 3 | 13 | 11 | 9 | 49.291 | 
| West | 3 | 12 | 13 | 13 | 56.759 | 
| West | 3 | 11 | 10 | 9 | 44.81 | 
| West | 3 | 13 | 11 | 8 | 47.797 | 
| West | 3 | 12 | 11 | 13 | 53.772 | 
| 53.143 | 
| Vehicle No. | Estimated Travel Time (sec) | |||
|---|---|---|---|---|
| North-Bound | East-Bound | South-Bound | West-Bound | |
| No.1 | 57.23 | 79.23 | 67.23 | 63.23 | 
| No.2 | 51.37 | 82.43 | 55.37 | 58.37 | 
| No.3 | 47.84 | 83.81 | 57.84 | 62.84 | 
| No.4 | 46.43 | 74.32 | 56.43 | 56.43 | 
| No.5 | 48.22 | 69.43 | 68.22 | 72.54 | 
| No.6 | 51.43 | 72.54 | 61.43 | 64.83 | 
| No.7 | 53.21 | 71.24 | 59.21 | 53.21 | 
| No.8 | 44.83 | 79.54 | 64.83 | 57.45 | 
| No.9 | 53.21 | 81.43 | 63.21 | 47.83 | 
| No.10 | 52.92 | 84.32 | 59.92 | 59.42 | 
| No.11 | 51.29 | 85.34 | 51.29 | 48.82 | 
| No.12 | 48.42 | 77.32 | 54.42 | 47.34 | 
| No.13 | 48.82 | 69.34 | 58.82 | 55.21 | 
| No.14 | 48.82 | 65.43 | 59.34 | 61.21 | 
| No.15 | 49.26 | 61.43 | 49.45 | 49.21 | 
| No.16 | 46.18 | 68.23 | 68.45 | 53.34 | 
| No.17 | 47.34 | 81.34 | 57.36 | 56.33 | 
| No.18 | 43.56 | 84.39 | 58.84 | 62.43 | 
| No.19 | 42.92 | 67.34 | 59.54 | 58.75 | 
| No.20 | 48.07 | 64.32 | 68.07 | 54.92 | 
| Estimated Average Travel Time | 49.068 | 75.138 | 59.963 | 57.185 | 
Disclaimer/Publisher’s Note: The statements, opinions and data contained in all publications are solely those of the individual author(s) and contributor(s) and not of MDPI and/or the editor(s). MDPI and/or the editor(s) disclaim responsibility for any injury to people or property resulting from any ideas, methods, instructions or products referred to in the content.  | 
© 2024 by the authors. Licensee MDPI, Basel, Switzerland. This article is an open access article distributed under the terms and conditions of the Creative Commons Attribution (CC BY) license (https://creativecommons.org/licenses/by/4.0/).
Share and Cite
Almusawi, A.; Albdairi, M.; Qadri, S.S.S.M. Integrating Autonomous Vehicles (AVs) into Urban Traffic: Simulating Driving and Signal Control. Appl. Sci. 2024, 14, 8851. https://doi.org/10.3390/app14198851
Almusawi A, Albdairi M, Qadri SSSM. Integrating Autonomous Vehicles (AVs) into Urban Traffic: Simulating Driving and Signal Control. Applied Sciences. 2024; 14(19):8851. https://doi.org/10.3390/app14198851
Chicago/Turabian StyleAlmusawi, Ali, Mustafa Albdairi, and Syed Shah Sultan Mohiuddin Qadri. 2024. "Integrating Autonomous Vehicles (AVs) into Urban Traffic: Simulating Driving and Signal Control" Applied Sciences 14, no. 19: 8851. https://doi.org/10.3390/app14198851
APA StyleAlmusawi, A., Albdairi, M., & Qadri, S. S. S. M. (2024). Integrating Autonomous Vehicles (AVs) into Urban Traffic: Simulating Driving and Signal Control. Applied Sciences, 14(19), 8851. https://doi.org/10.3390/app14198851
        
