Next Article in Journal
Multi-Objective Real-Time Planning of Evacuation Routes for Underground Mine Fires
Next Article in Special Issue
Modelling and Experimental Testing of Passive Magnetic Bearings for Power Loss Reduction
Previous Article in Journal
The Possibility of Detrimental Effects on Soil–Structure Interaction in Seismic Design Due to a Shift in System Frequency
 
 
Font Type:
Arial Georgia Verdana
Font Size:
Aa Aa Aa
Line Spacing:
Column Width:
Background:
Article

Numerical Analysis of a Self-Acting Gas Bearing Lubricated with a Low-Boiling-Point Medium Using an Advanced Model Based on the Finite Difference Methods and Universal Computational Fluid Dynamics Software

by
Małgorzata Bogulicz
,
Paweł Bagiński
and
Grzegorz Żywica
*
Department of Turbine Dynamics and Diagnostics, Institute of Fluid-Flow Machinery, Polish Academy of Sciences, Fiszera 14, 80-231 Gdansk, Poland
*
Author to whom correspondence should be addressed.
Appl. Sci. 2024, 14(17), 7520; https://doi.org/10.3390/app14177520
Submission received: 16 July 2024 / Revised: 9 August 2024 / Accepted: 20 August 2024 / Published: 26 August 2024
(This article belongs to the Special Issue Rotor Dynamics: Research and Applications)

Abstract

Methods for determining the characteristics of self-acting (aerodynamic) gas bearings have been developed for many years, but many researchers and engineers still question how sophisticated a model of such bearings should be to obtain reliable results. This is the subject of this article, which presents a numerical analysis of aerodynamic gas bearings using two alternative methods: a specialized program based on the finite difference method, and a universal CFD program using the finite volume method. Gas bearings with a nominal diameter of 49 mm, designed for a 10 kW turbogenerator operating at a rotational speed of 40,000 rpm, are analyzed. The vapor of the low-boiling medium, designated HFE-7100, is used as the bearing lubricant. The calculations focus on determining the position of the bearing journal where the bearing achieved the required load capacity and checking the bearing characteristics beyond the nominal operating point. The most important results obtained by the two independent methods are compared, and recommendations are made for those interested in the numerical analysis of self-acting gas bearings.

1. Introduction

In self-acting (aerodynamic) gas bearings, aerodynamic lift is generated by the reciprocal movement of two neighboring surfaces and the resulting overpressure created in the thin layer of gas that separates these surfaces. The beginning of air lubrication technology can be traced back to 1828, when R. Willis conducted the first experimental investigation on airflow between two parallel surfaces [1]. In 1897, A. Kingsbury constructed a radial air bearing and experimentally investigated its load capacity [2]. In 1913, the first theory of air lubrication was published by Harrison [2]. Despite the earlier developed theoretical basis, gas lubrication of mating machine parts did not find wider application until the third and fourth decades of the 20th century, which was related, among other things, to the ongoing armed conflicts in the world and the search for new solutions to achieve technical superiority.
The growth of the nuclear and armaments industries created the need to develop a bearing system that allows precision machinery to operate for long periods at high temperatures, high speeds, and with low friction losses [1]. Such requirements could be met by gas bearings, which are additionally characterized by low noise levels, negligible heat generation, and no emission of pollutants. The biggest disadvantages of gas bearings are their low load capacity and limited range of stable operation. Bearing load capacity increases with larger diameter and length, higher rotational speed, and reduced radial clearance [3,4]. The desired thin layer of gaseous lubricating film often requires the use of unusual, often expensive materials and necessitates high manufacturing precision. Since the 1960s, gas bearings have been widely used in equipment such as pumps, blowers, and compressors, as well as in turbine engines operating at temperatures of 500–800 °C and high rotational frequencies [1]. In the 1990s, industrial interest in ultra-precision machining technology increased significantly, making precision machine tools particularly important. This led to an increase in the requirements for gas (aerostatic) bearings, one of the key elements enabling precision machining at high speeds [1]. Today, the typical application areas for aerodynamic gas bearings include high-speed spindles, aircraft engines, turbochargers, gyroscopes, gas microturbines, and high-speed compressors and blowers [5].
Decades of development of aerodynamic gas bearings have refined this technology in terms of both design and materials. Research on such gas bearings in recent years has primarily focused on improving methods for modeling them. One trend in the development of such methods is to accurately represent the phenomena occurring in them with minimal computing power, aiming to significantly reduce calculation time. As early as the 1990s, attempts were made to develop simplified models of compressible gas flow in lubrication gaps [6]. The analyses carried out have shown that in some cases, using a simplified flow model can yield results close to those obtained with advanced numerical models. It was also noted that in cases of high flow velocity, it is important to consider the gas inertia [6]. It has been shown that, in some cases, the type of calculation scheme used (time-dependent or steady-state analysis) has no significant effect on the aerodynamic pressure distribution but can significantly affect the determined gas flow rate. In the work of [3], direct numerical analysis was performed for two variants of gas bearing characteristics using mass conservation at coupled boundaries. The first case corresponded to externally pressurized gas bearings with four feed holes. In the second case, aerodynamic (hydrodynamic) bearings were analyzed. The pressure distributions and load capacity of the radial and thrust bearings designed for a gas microturbine were determined as a function of aspect ratio, considering coupled boundary effects [3]. The results of the analyses showed the existence of couplings between the radial and thrust bearings, particularly in their aerodynamic variant, and demonstrated the feasibility of using the analyzed bearing types in a gas microturbine. The linear rotordynamics analysis of the entire rotor with gas bearings was presented in the paper [7]. The gas bearings analyzed were externally pressurized and designed for oil-free turbomachinery. The results of the analysis of the dynamic response to rotor unbalance agreed well with those obtained from the experimental measurements. It was observed that the damping in the bearings decreased as the supply pressure increased, and the computationally obtained value of this parameter was approximately 30% lower than that determined experimentally. Unstable rotor operation was manifested by subsynchronous vibration with a frequency close to 50% of the rotor speed, occurring at higher speeds than predicted by calculations. A model of spherical aerodynamic bearings with a spiral groove is presented in the publication [8]. The three-dimensional analysis, which investigated the effects of selected bearing parameters on the steady-state characteristics of the bearing, was conducted using CFD (computational fluid dynamics) Fluent software. The commercial software used was found to accurately represent the complex flow phenomena occurring in gas bearings and predict their characteristics.
Computational methods that account for fluid–structure interactions are increasingly being used to analyze gas bearings. An example of dynamic analysis considering such interactions was presented in the paper [9], focusing on a high-speed machine tool spindle supported by aerostatic radial and thrust bearings. Some authors propose analyzing the phenomena occurring in gas bearings while taking fluid–thermal–structural interactions into account. An example of such an analysis concerning gas foil bearings is presented in the paper [10]. A three-dimensional thermo–elastic–hydrodynamic model of a gas foil thrust bearing allowed the authors to determine the heat flux transfer path and the temperature distribution within the bearing.
Some commercially available universal engineering programs have elements in their libraries dedicated to bearing analysis. Finite elements prepared in the Ansys program for the analysis of hydrodynamic (liquid-lubricated) bearings were used by the authors of [11] to analyze aerodynamic gas bearings. Although the compressibility of the lubricant was neglected in this model, it allowed satisfactory results (e.g., stiffness and damping coefficients) to be obtained for gas bearings operating under specified conditions. This was explained by the similarity of phenomena occurring in aerodynamic and hydrodynamic radial bearings, especially when they operate with a small lubrication gap. However, the authors acknowledge that the proposed method of modeling gas bearings has yet to be fully experimentally verified. The authors of a subsequent publication [4] showed that advanced gas seals, where aerodynamic phenomena occur, can also have a significant impact on the dynamic stability of high-speed rotor systems. In their research, they used CFD software to analyze and optimize the gas seals, and the model used underwent experimental verification [4]. It was noted that the selection of an appropriate numerical grid had a major impact on the calculation results.
Issues related to the development, modeling, and analysis of gas-bearing systems are also discussed in review articles. The authors of [12] presented various solutions for oil-free bearing systems that can be used in the rotors of automotive turbochargers, including gas foil bearings. In contrast, the review article [5] presented various fluid-lubricated bearings that operated under extreme working conditions. Among other things, attention was drawn to the possibility of improving the characteristics of classical aerodynamic gas bearings by using suitably designed shallow-depth grooves on the sliding surfaces. It was noted that this solution, like gas foil bearings, was the result of years of development of classical aerodynamic gas bearings. In recent publications on gas bearings, authors have focused, among other things, on design using artificial neural networks and genetic algorithms [13], modeling of bearings operating under atypical conditions [14], and the use of new design solutions for bearing sleeves [15].
Two basic types of instability can occur during gas bearing operation: forced resonance with damping and instability occurring at the so-called threshold speed caused by the loss of damping properties of the bearing [16,17]. Resonance with damping, known as synchronous resonance, is related to natural frequencies and is caused by a force or moment due to unbalance, with the rotor vibrating at a frequency corresponding to the rotational speed of the shaft [18]. When passing through the critical speed, which corresponds to the natural frequency, there is an abrupt phase change, and as the speed continues to increase, the operation of the system stabilizes [19]. Once the speed, known as the stability limit, is exceeded, the damping capacity of the gas film disappears. A slight increase in rotational speed results in a rapid increase in vibration amplitude, leading to contact between the journal surface and the sleeve surface. This type of instability is characterized by the rotor axis spinning along a trajectory (circular or elliptical) at a frequency less than or equal to half the rotational frequency of the shaft. The loss of stability is caused by the effect of the rotational speed of the journal on the flow of the lubricating medium in the bearing [20,21,22]. The low stability of gas bearings at high speeds is a major limitation to their wider use.
To improve the dynamic properties of gas bearings, in addition to self-acting bearings known as gas-dynamic (aerodynamic) bearings, which generate aerodynamic lift through the relative movement of two surfaces, externally pressurized bearings supplied with compressed gas (delivered through various types of supply orifices) are also used. The aerodynamic lift in externally pressurized bearings can be generated solely by high pressure from an external source, or by both an external source and the relative movement of two surfaces [5]. Various solutions have been proposed to increase the threshold speed in gas bearings. An example of such bearings is tilting pad journal bearings, the large-scale research and development of which began as early as the 1960s [23]. Since then, many researchers have endeavored to improve the dynamic properties of self-acting gas bearings. For example, in 2017, Feng et al. [24] proposed modern solutions such as a novel squeeze-film air bearing with flexure pivot-tilting pads based on near-field acoustic levitation technology. Another approach to increasing the stability threshold of a gas bearing is to support the sleeve on a flexible pad, such as a rubber O-ring. As early as the 1960s, this solution was shown to significantly improve the stability range [25]. Unfortunately, it is not applicable at either low or high temperatures [1]. Research is still underway to find materials with appropriate damping properties and stiffness [26]. In the 1950s, the first papers on the aforementioned gas foil bearings appeared [27], in which segments of a flexible bump foil and top foil were placed between the journal and the sleeve of the bearing. Foil bearings operate as aerodynamic bearings, with the foil structure automatically adapting the lubrication gap geometry to the bearing’s current operating conditions. Damping deficiencies in the flow part of the bearing can be partially compensated by damping in the structural part. This allows the application range of aerodynamic gas bearings to be extended to turbomachines operating in harsh environments [28].
The following section of the article discusses the modeling and analysis of aerodynamic gas bearings, which were carried out using two different numerical methods. The first used a specialized program based on the finite difference method, where partial differential equations (PDEs) and ordinary differential equations (ODEs) were employed to find the solution. This method involves approximating the derivatives of a differential equation by finite differences, resulting in a discretization of the problem domain. The result is a system of algebraic equations that can be solved using suitable numerical algorithms. This method was used to determine the bearing load capacity, lubrication gap height, and aerodynamic pressure distribution. The characteristics of the same gas bearing were then determined using a second method, based on the use of a commercially available universal CFD program, Ansys CFX. The program uses the finite volume method (FVM) to discretize partial differential equations describing fluid flow, such as the Navier–Stokes equations, the continuity equation, and the energy equations. The second approach has been used previously by other researchers, and in this case, it was employed mainly for comparative purposes. A direct comparison of the characteristics of gas bearings obtained using the two different methods is presented in the final section of this article, which allows the differences between the two methods to be captured. The bearing load capacity obtained by two methods, the aerodynamic pressure distribution at nominal speed, and the static equilibrium semicircles determined by different methods were compared. The research presented herein is part of current global trends aimed at finding increasingly accurate and computationally efficient methods for modeling gas bearings. Sharing the results obtained may help other researchers and engineers select appropriate methods and tools for specific computational tasks.

2. Characteristics of the Gas Bearing

The research object was an aerodynamic radial bearing lubricated with vapor from a low-boiling medium. The bearing was designed to support the shaft of a high-speed ORC (organic Rankine cycle) microturbine, on which the turbine rotor disc and a 10 kW electric generator rotor are mounted. The shaft of this machine is supported by the same two radial bearings and two thrust bearings, but only the radial bearings are the subject of the research discussed in this article. The microturbine is part of a cogeneration system that enables electricity generation from waste heat produced by industrial processes. The working medium of the ORC system is a low-boiling fluid with the trade name HFE-7100. The microturbine was designed as an oil-free machine [5,12]. This means that inside the hermetic body there is a low-boiling medium which, in addition to driving the turbine, also lubricates the gas bearings. There is, therefore, no need to supply the bearings with any typical lubricant.
During the design of the bearing system, the following operating conditions were assumed to meet the requirements of the microturbine:
  • Nominal rotational speed—40,000 rpm;
  • Static load on the radial bearing—approximately 18 N;
  • Ambient pressure of the bearing—1 bar;
  • Lubricant—vapor of the low-boiling medium called HFE-7100;
  • Lubricant temperature—170 °C;
  • Dynamic viscosity of the lubricant (at 170 °C)—1.39792 × 10−5 N·s/m.
During the bearing design process, the following dimensions were specified: nominal journal diameter—49 mm, bearing length—44.5 mm, nominal radial clearance—35 µm. Figure 1 shows the geometry and basic dimensions of the bearing and explains the designations used in the subsequent sections of the article. Figure 1b shows the coordinate system that served to describe the data and present the calculation results. The point indicating the center of the journal is marked as C, and ω indicates the direction of rotation of the shaft.
In performing the calculations, discussed later in this article, the position of the journal in the bearing’s lubrication gap where the bearing achieved the required load capacity of 18 N was sought. The calculations for the gas-dynamic bearing were independently performed using two methods, and the results obtained were compared with each other. The first method employs the in-house developed program GAZBEAR [29,30], which solves the Reynolds equations using the finite difference method with the alternating direction implicit (ADI) algorithm [20,29]. In the second method, the solution was obtained using algorithms implemented in the commercial program ANSYS CFX [31], which operates based on the finite volume method. The details concerning each of these methods and the models used are discussed in the following sections.

3. Theoretical Basis for the Analysis of Self-Acting Gas Bearings

The primary task associated with the modeling and calculations of gas bearings is to determine the distribution of gas pressure in the lubrication gap and the resulting reaction force of the gas film against the external load, i.e., the load capacity of the bearing. Due to the low dynamic viscosity coefficient of gases and, therefore, the small amount of energy dissipated in the lubrication gap, the assumption of isothermal flow is usually made in the calculations of gas bearings. This assumption allows the flow to be described by a system of three equations:
  • Navier–Stokes equations;
  • Continuity equations;
  • Isotherm equations.
To solve this system of equations, additional simplifications are introduced, including the following:
  • The film thickness c is assumed to be small relative to the bearing radius R, i.e.,
    c / R = O ( 10 3 )     1
    This assumption is typically employed in gas bearing analysis and is reasonable for most cases. However, when the film thickness is not sufficiently small, the results may be less accurate.
  • The Taylor number, Ta, is less than 40.
    T a = R e 2 c R     <   40 ,
    where the Reynolds number is expressed by the following equation:
    R e = c ω R ϱ a μ
    This assumption is also used in practice, but the limit for the Taylor number can vary depending on the specific operating conditions of the bearing.
  • In the Navier–Stokes equations, inertial forces are neglected. This simplification is used to simplify the equations. In some cases, inertial forces can have a significant impact on the results, particularly at higher rotational speeds.
  • The flow is assumed to be laminar [20]. In reality, the flow can be laminar, transitional, or turbulent, depending on the operating conditions of the bearing. By assuming laminar flow, we ignore the phenomena associated with turbulent flow, leading to simpler equations. However, for some gas bearings, especially at higher rotational speeds, turbulence effects can be significant.
Under the above assumptions, the pressure distribution in a gas film is described by the Reynolds equation:
R θ ρ h 3 μ p R θ z ρ h 3 μ   p z + 12 t ρ h + 6 ω θ   ρ h = d m ˙ k R d θ d z
The right-hand side of the equation corresponds to additional sources of mass in the form of gas supplied through the feed holes. In the absence of additional mass sources ( d m ˙ k = 0), Equation (2) takes the following form:
R θ ρ h 3 μ p R θ z ρ h 3 μ   p z + 12 t ρ h + 6 ω θ   ρ h = 0
As an analytical solution to the Reynolds equation is not possible, the pressure distributions in the gas film of the bearings must be determined numerically. Usually, the finite element method (FEM), the finite difference method (FDM), or computational fluid dynamics (CFD) based on the finite volume method are used.
Thanks to the finite element method, calculations are possible even in the case of irregular geometries of externally pressurized bearings. The finite difference method (FDM), when applied to bearing calculations, allows pressure distributions, load capacity, stiffness, and volumetric flow rate to be determined. However, for externally pressurized bearings in FEM and FDM applications, the size of the feed hole is most often ignored when solving the Reynolds equations for the gas film, treating it as a point. This approach can lead to significant errors [32].
Advances in computer technology and increased computing power and computational speed have allowed the development of computational fluid dynamics and commercial CFD software. The use of the finite volume method enables detailed analysis of the flow in the gas layer of the bearing, providing information such as velocity vectors and gas flow lines [1].

4. Calculations in the GAZBEAR Program

In the GAZBEAR program, to calculate the aerodynamic lift of the bearing for a fixed journal position and, therefore, for a fixed shape of the lubrication gap, the pressure distribution acting on the sleeve surface is determined. The reaction force of the lubricating film acting on the bearing journal is then calculated based on this distribution. The pressure distribution in the bearing’s lubrication film is determined by solving the Reynolds equation. The assumption of isothermal gas flow through the bearing allows the gas viscosity to be considered constant in the Reynolds equation, with its density replaced by pressure. Under these assumptions, for bearings that are not externally pressurized, Equation (3), the Reynolds equation, can be expressed in dimensionless form as follows:
θ P H 3 P θ ξ P H 3   P ξ +   Λ θ P H + τ   P H = 0 ,
where
ξ = z / R P = p / p a H = h / c τ = ω t / 2 Λ
and the dimensionless constant Λ, known as the bearing number or compressibility number, is defined by the following formula:
Λ = 6 μ ω R 2 p a c 2
Furthermore, for a fixed journal position at the static equilibrium point, Equation (4) is assumed to take a steady-state form, implying that H τ = 0 .
A finite difference method was employed to discretize Equation (4), the Reynolds equation, where the computational mesh is defined by projecting the gas film onto the θ, ξ plane. In the circumferential direction θ, the mesh is assumed to have N + 1 nodes spaced Δθ = 2π/N, and in the axial direction, M nodes spaced Δξ = L/(R(M − 1)). In the finite difference method, partial derivatives are replaced by finite differences, thereby reducing the Reynolds equation to a system of algebraic equations.
Assuming parallelism of the sleeve and shaft axes, the dimensionless bearing gap is determined by the following formula:
H θ = 1 ε c o s θ θ s ,
where
ε = 1 c ( e x ) 2 + ( e y ) 2 θ s = a r c t g e y e x
To solve Equation (4) and determine the pressure values at the mesh nodes, P2 = Q is assumed, and the following boundary conditions are applied:
  • The gas pressure at the two edges of the bearing sleeve equals the ambient pressure.
  • The pressure distribution in the circumferential direction satisfies the periodicity condition.
    Q θ 1 , ξ = Q θ 1 + 2 π , ξ
Additionally, Q = 1 is taken as the initial condition for the square of the pressure.
To obtain a solution, the alternating direction implicit (ADI) method is used, where calculations are performed at three time levels, n, n + 1, and n + 2, separated by a time step ∆τ, with ∆τ ≤ 0.01 assumed to ensure convergence of the method. One iteration cycle consists of solving a system of equations at time levels n + 1 and n + 2. For time level n + 1, the derivatives with respect to ξ are considered known from the previous iteration (at time level n), and a solution with respect to θ is sought. In contrast, for time level n + 2, the derivatives with respect to ξ are considered unknowns, while the derivatives with respect to θ are treated as known from time level n + 1. The results from time level n + 2 are then used as data for the next iteration (at time level n). In the first iteration, the pressure distribution is assumed to be known from the initial condition. The described calculation scheme is expressed in Equations (8) and (9).
For time level n + 1:
2 P i , j n H i , j n H i , j n 1 Δ τ + H i , j n P i , j n   Q i , j n + 1 Q i , j n Δ τ + 2 Λ Q i , j n + 1 P i , j n   H i , j + 1 n H i , j 1 n 2 Δ θ + Λ H i , j n P i , j n   Q i , j + 1 n + 1 Q i , j 1 n + 1 2 Δ θ + 3 H i , j n 2 H i , j + 1 n H i , j 1 n Q i , j + 1 n + 1 Q i , j 1 n + 1 4 Δ θ 2 3 H i j n 2 H i + 1 j n H i 1 , j n Q i + 1 , j n Q i 1 , j n 4 Δ ξ 2 + H i , j n 3   Q i , j + 1 n + 1 2 Q i , j n + 1 + Q i , j 1 n + 1 Δ θ 2 H i , j n 3   Q i + 1 , j n 2 Q i , j n + Q i 1 , j n Δ ξ 2 = 0  
For time level n + 2:
P i , j n H i , j n H i , j n 1 Δ τ + H i , j n P i , j n   Q i , j n + 2 Q i , j n + 1 Δ τ + 2 Λ Q i , j n + 1 P i , j n   H i , j + 1 n H i , j 1 n 2 Δ θ + Λ H i , j n P i , j n   Q i , j + 1 n + 1 Q i , j 1 n + 1 2 Δ θ + 3 H i , j n 2 H i , j + 1 n H i , j 1 n Q i , j + 1 n + 1 Q i , j 1 n + 1 4 Δ θ 2 3 H i , j n 2 H i + 1 , j n H i 1 , j n Q i + 1 , j n + 2 Q i 1 , j n + 2 4 Δ ξ 2 + H i , j n 3   Q i , j + 1 n + 1 2 Q i , j n + 1 + Q i , j 1 n + 1 Δ θ 2 H i , j n 3   Q i + 1 , j n + 2 2 Q i , j n + 2 + Q i 1 , j n + 2 Δ ξ 2 = 0
By grouping the components calculated at the appropriate nodes of the mesh, Equations (8) and (9) are transformed to form the following:
A i , j n Q i , j 1 n + 1 + B i , j n Q i , j n + 1 + C i , j n Q i , j + 1 n + 1 = f i , j n
D i , j n Q i 1 , j n + 2 + E i , j n Q i , j n + 2 + F i , j n Q i + 1 , j n + 2 = g i , j n + 1
and are then solved using the iterative method of tridiagonal elimination.
Knowing the pressure distribution in the gas film, it is possible to determine the components of the dimensionless forces acting on the journal using the following formulas:
F x = 0 2 π 0 L / R P ξ , θ c o s θ d ξ d θ
F y = 0 2 π 0 L / R P ξ , θ s i n θ d ξ d θ
The GAZBEAR program was used to carry out a series of calculations in which, for a given bearing geometry and operating conditions, the aerodynamic force of the bearing was determined as a function of the relative eccentricity of the journal position. In subsequent calculations, the eccentricity value ranged from 0.01 to 0.99 with a step of 0.01. Following indications from the literature [33] and our own experience, a mesh with 17 nodes in the axial direction and 48 nodes in the circumferential direction was used for the calculations. Results were obtained for a dimensionless eccentricity ranging from 0.01 to 0.89. The coordinate system in which the calculation results were presented corresponded to that shown in Figure 1. Figure 2 presents the calculated changes in aerodynamic lift and the angular position of the journal center as functions of the dimensionless eccentricity in the gas-dynamic bearing.
In the range tested, as the eccentricity increased, the angular position of the journal center decreased from approximately 338° to approximately 278°. Over the entire range tested, the load capacity of the bearing increased as the center of the journal moved away from the center of the sleeve, ranging from approximately 1.1 N to more than 350 N. The nominal value of the aerodynamic lift (18 N) was exceeded at a relative eccentricity of 0.16 and an angular position of the journal center of 336°. The aerodynamic lift value obtained at this position was 18.135 N. The results of the calculations showed that the bearing is capable of carrying significantly higher forces than the nominal static load of 18 N. The results presented here were obtained using the specified viscosity and density of the lubricant, which in this case was the low-boiling-point medium HFE-7100 at 170 °C. As the temperature of the lubricant affects its viscosity and density, the bearing load capacity will also change with a change in this parameter. However, this was not analyzed in the study presented here, which used an isothermal model of the gas bearing.
According to the adopted calculation model, the thickness of the lubrication film was constant across the entire width of the bearing. For the journal center with a relative eccentricity of 0.16 and an angle of 336°, the minimum film thickness was 29.4 µm, occurring at the angle determined by the straight line passing through the centers of the sleeve and journal, as illustrated in Figure 3.
Both the maximum and minimum pressure values occurred in the middle of the sleeve width. The region of highest pressure occurred between angles of 275° and 290°, while the region of lowest pressure occurred between angles of 60° and 82°. A maximum pressure value of approximately 1.1 bar was obtained at the mesh node located at an angle of approximately 283.2°, while a minimum value of approximately 0.94 bar was obtained at the node corresponding to an angle of 73.2° (Figure 4).
Based on the results obtained, it can be seen that the range of the highest bearing clearance does not directly coincide with the area of the lowest pressure. The greatest distance between the journal and the sleeve occurs at approximately 150° (Figure 3), while the lowest pressure occurs at approximately 70° (Figure 4). This offset is due to the bearing geometry and the direction of lubricant flow in the lubrication gap (Figure 1). A subatmospheric pressure zone forms in the area where the height of the lubrication gap starts to increase. Since there is atmospheric pressure at the side edges of the bearing, at the point where the lubrication gap reaches its maximum height, the pressure in the lubrication gap equalizes with atmospheric pressure (at approximately 170°).

5. Calculations in a Universal CFD Program

The aerodynamic lift for the self-acting (gas-dynamic) bearing was also calculated using the ANSYS CFX 2020 R1 program [31]. The finite volume method involves dividing the domain of the problem being analyzed into a finite number of control volumes (mesh cells). For each volume, the balance of mass fluxes (momentum fluxes, energy fluxes, etc.) flowing in and out through its surfaces is calculated. The differential equations are then approximated by algebraic balance equations for each control volume. The result is a system of algebraic equations for the entire mesh, which can be solved using appropriate numerical algorithms. Computational fluid dynamics (CFD) was used to determine the pressure distribution and calculate the reaction forces of the lubricating film for a given load.
The analysis sought a journal position in the bearing lubrication gap where, at the static equilibrium point, the force in the vertical Y direction, generated by the gas flow in the bearing, balanced the designed bearing load of 18 N, while the force in the X direction, perpendicular to the gravitational force, was close to zero. The determination of the static equilibrium point at which the bearing achieves the required load capacity was approached as an optimization problem. The values of the objective function, for a fixed journal position, were the reaction force of the lubrication film in the vertical Y direction and the reaction force in the X direction, perpendicular to gravitational force. The optimum solution sought was a journal position where the force generated by the gas flow in the bearing in the Y direction balanced the designed bearing load.
An optimization algorithm implemented in the ANSYS Workbench environment was used to find a solution. The design of experiments (DoE) method was used to create response surfaces. The response surfaces are maps showing the variability of the output parameters depending on the values of the input parameters. Within the defined ranges of variability of the input parameters, the DOE method selects the points at which the objective function calculations are performed using the available algorithms. Based on the results obtained, response surfaces are created by approximation to best match the calculation results. Then, based on the response surfaces, the selected optimization algorithm proposes several solutions. The user selects the optimal solution by conducting check calculations in close proximity to the proposed points.

5.1. Determination of Pressure Distribution and Reaction Forces

Pressure distribution calculations were carried out for a fixed journal position, defined by two parameters: the eccentricity (ECC) and the angle (Angle) determined by the positive half-axis X and the ray passing through the centers of the sleeve and journal (Figure 1). During the analysis and in the results presented, the dimensionless eccentricity ε was used, i.e., the eccentricity expressed in micrometers relative to the nominal value of the radial clearance (35 µm), also expressed in micrometers.
An important aspect of calculating the load capacities of the bearings is the discretization of the model. In the calculations discussed herein, second-order (quadratic) finite volumes were used to discretize the gas domain, with each edge having an internode. Splitting the model along the plane of symmetry allowed for a reduction in the size of the problem and a more accurate discretization. To select the optimal method for discretizing the model, a series of calculations was performed to test the effects of the number of finite volumes and the density of the numerical grid in individual directions on the accuracy of the results and the calculation time. The tested models had between 597,000 and 2,392,000 finite volumes and varied in partitioning along the axial, radial, and circumferential directions. The calculation step for each discretization variant was selected automatically. The differences in aerodynamic load capacity determined with these models—between the model with the largest and smallest number of finite volumes—reached up to 48%, with a more than fourfold difference in calculation time (7860 s vs. 1740 s). The reduction in the number of finite volumes from 2,392,000 to 1,075,000 no longer had such a large impact on the calculation results in terms of load capacity, as the difference was about 4%, whereas it was assumed that the difference should not exceed 1%. Finally, a model with no more than 2 million finite volumes was selected for further analysis, as both the error and calculation time were at an acceptable level.
As the shape of the bearing lubrication gap changed with the position of the journal center, a new calculation mesh was generated for each calculation. Regardless of the journal position in the bearing, the thickness of the lubrication film was divided into 10 segments (Figure 5). To maintain similar geometrical proportions of the generated mesh of the gas domain, parametric relationships were introduced, with the edge length of the finite volume in the circumferential direction dependent on the minimum and maximum thicknesses of the lubrication film (Hmin and Hmax). The vapor domain of the working medium was divided into two parts. In the first part, as the radial clearance decreased to Hmin, the mesh in the circumferential direction was made denser. In the second part, as the radial clearance increased to Hmax, the mesh in the circumferential direction became less dense. Such a procedure allowed for the elimination of significant differences in mesh proportions that could adversely affect the accuracy of the obtained results. Each finite volume in the axial direction of the bearing had a length of 1 mm. A symmetry condition was applied to the model, and the average number of finite volumes used in half of the model was 600,000.
The boundary conditions of the flow model for the dynamic bearing are shown in Figure 6, where the blue arrows indicate the outlet of the lubricant from the bearing, and the red arrows indicate the plane where the symmetry condition of the bearing is applied. The journal surface was given a counterclockwise rotational speed, which corresponds to the actual operating conditions of the bearing. A constant wall condition was applied to the remaining surfaces. A laminar, isothermal model of gas flow through the bearing was used in the calculations. The lubricant temperature was 170 °C, and the reference pressure (outside the bearing) was 1 bar. A “steady-state” mode was used in the calculations, meaning that the flow parameters did not change during the analysis. To achieve high accuracy, key parameters such as mass flow on the bearing sidewall were monitored during the calculations. The maximum number of iterations allowed at each calculation step was 500 to ensure convergence of the computational process, with the convergence criterion set at 0.0000001 RMS. These settings of the analysis parameters ensured very high accuracy in the calculations.

5.2. Optimization of the Maximum Load Capacity of the Bearing

In the first step of the conducted CFD analysis, the pressure distribution and reaction forces of the lubrication film in the X and Y directions were determined for the selected initial journal position. The relative eccentricity (ε) and the angular position of the journal center (Angle) were used as input parameters when creating the response surfaces. A range of variation of 0.0 ≤ ε ≤ 0.6 was specified for the relative eccentricity, and 268 ≤ Angle ≤ 365 for the angular position of the journal center. Two response surfaces were created: the reaction force of the lubrication film in the vertical Y direction, and the reaction force in the horizontal X direction. The expected values of the objective function were taken as follows: the reaction force in the vertical direction Y was 18 N, and the reaction force in the horizontal direction X was 0 N. The points from which the response surfaces were created were selected using the optimal space filling (OSF) algorithm. Optimal space filling is a method used in ANSYS that is part of project optimization techniques (design of experiments, DoE) and is used to generate plans for numerical experiments. Its main objective is to efficiently sample the design space while minimizing the number of simulations required, thus optimizing the design process. The OSF method is particularly useful when the problem under investigation involves numerous input variables and requires a substantial amount of time to analyze. At selected points, pressure values and the reaction forces of the lubricating film in the X and Y directions were calculated using CFD. The nonparametric regression method was used to create the response surfaces. Optimization, i.e., the selection of the point where the reaction forces most accurately matched the requirements, was carried out using the multiobjective genetic algorithm (MOGA) method. This method is used as a multicriteria optimization technique in the Ansys DesignXplorer module. Genetic algorithms are metaheuristic optimization methods inspired by biological evolutionary processes such as natural selection, crossover, and mutation. In multicriteria optimization, the aim is to find a solution that simultaneously satisfies multiple criteria, often in conflict with each other. In Ansys, the MOGA method is used for project space exploration, sensitivity analysis, parametric optimization, and evaluation of different project scenarios. In multicriteria optimization, instead of a single objective function, there are several objective functions that reflect different aspects of the design problem.
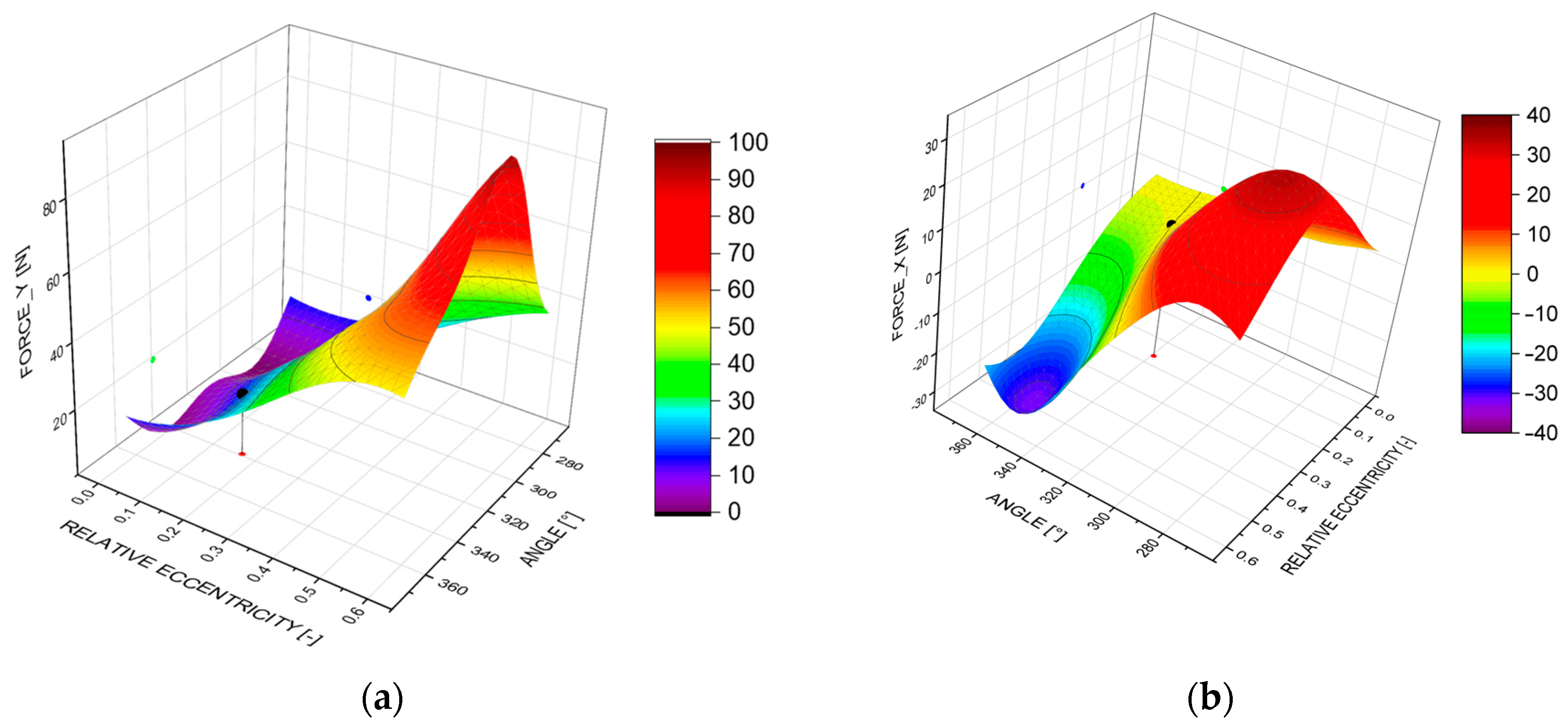
Numerical algorithms implemented in the ANSYS Workbench environment were used to generate reaction force maps for the gaseous lubricating film shown in Figure 7. The maps created allowed the static equilibrium point of the journal (C) to be determined, where the reaction force in the Y direction was 18.269 N and the force in the X direction was 0.129 N. The position of point C is defined by the following coordinates: eccentricity (ε = 0.166) and angle (Angle = 339.18°). On the load capacity maps, point C is marked in black.
For selected values of relative eccentricity (0.05, 0.10, 0.15, …, 0.60) and selected angles (270°, 280°, 290°, …, 360°), the following conclusions can be drawn when analyzing the changes in the reaction forces of the lubricating film depending on the position of the journal center in the lubrication gap:
  • The reaction force in the Y direction (Figure 8a,b) increased with increasing eccentricity. The highest value of the reaction force in the Y direction was approximately 95 N and occurred at a relative eccentricity of 0.6 and an angle of 310°. At points corresponding to higher angle values, the load capacity decreased. At low eccentricities (0.05–0.15), the load capacity did not exceed 20 N, reaching maximum values around angles of 320°–330°.
  • The reaction force in the X direction (Figure 8c,d) for eccentricities in the range 0.05–0.15, with the journal positioned at an angle of 270°, varied from 8 N to 17 N. Around an angle of 340°, it reached zero, and at the end of the analyzed interval (360°), it took negative values, reaching −4 N.
  • For higher eccentricities, the curves depicting the reaction force in the X direction were sinusoidal. The highest value of the reaction force in the X direction occurred around angles 285°–290° and was approximately 34 N at an eccentricity of 0.35. The lowest value of the reaction force in the X direction was −34 N (negative value) and occurred near angles of 350°–355°. The reaction force in the X direction reached zero in the angle range of 310°–340°.
These results provide an understanding of the effect of relative eccentricity and angle on the reaction forces of the lubricating film. Knowledge of these relationships can be useful when designing slide bearings and optimizing their tribological properties.
Analysis of the pressure distribution in the bearing showed that a gaseous lubricating wedge had formed in the angle range 260°–310°, which corresponded to an elevated pressure of approximately 1.1 × 105 Pa (absolute pressure). However, on the opposite side of the journal, in the angle range 45°–105°, a region of lowest pressure was formed, with a value of approximately 0.93 × 105 Pa. The areas of highest and lowest pressure were in the plane of symmetry of the bearing, i.e., in its central part. In the medium outlet plane (at the edge of the bearing), the pressure value was 1.0 × 105 Pa (1 bar) and remained constant. The pressure distribution in the bearing is presented in Figure 9.
The analysis of velocity lines (Figure 10a) and velocity vectors (Figure 10b) in the gas-dynamic bearing allows for a better understanding of the phenomena occurring inside the bearing. At the edges of the bearing, the velocity of the lubricant was close to zero (approximately 0.01 m/s). This is due to the so-called adhesion effect, where the gas molecules adhere to the bearing walls, forming a boundary layer. This is a phenomenon typical of laminar flow, as is the case with gas bearings. The maximum velocity of the lubricating medium (102 m/s) occurred at the center of the bearing, close to the journal wall. This increase in velocity at the center of the lubrication gap is due to the greatest distance between the walls, making the flow resistance the smallest. The region of constant velocity in the center of the bearing suggests that this area is unaffected by boundary effects, such as the adhesion of the lubricating medium to the bearing walls. The following phenomena were observed in the analysis of the velocity vectors in the axial direction (Figure 10b): At the lower part of the bearing, where there was a high-pressure area, the lubricating medium left the bearing space. The high pressure causes gas to be forced out of the lubrication gap, which is important for maintaining the load capacity of the lubricating film. In the area where low pressure was predominant (the upper part of the bearing), the lubricating medium was sucked into the lubrication gap. This phenomenon is connected with the pressure difference between the low-pressure and high-pressure areas, which leads to gas recirculation inside the bearing. At the upper part of the bearing, where the velocity was highest, the velocity vector was directed away from the plane of symmetry towards the edges of the bearing. This direction of flow may be due to the movement of gas from the high-pressure area (lower part of the bearing) to the low-pressure area (upper part of the bearing).

6. Comparison of Results Obtained by Two Methods

The results obtained with GAZBEAR were compared with those from ANSYS CFX. The ANSYS CFX program has been used repeatedly by many engineers and scientists to analyze gas bearings operating under various conditions. It can therefore serve as a benchmark for comparison with other programs. It should also be noted that experimental results for gas bearings lubricated with low-boiling-point fluids are lacking in the available literature. Therefore, an initial verification of the GAZBEAR program was conducted based on calculation results from another program. The GAZBEAR program is part of the MESWIR computational system developed at the Institute of Fluid-Flow Machinery of the Polish Academy of Sciences, which was used in the design of gas bearings for several prototype microturbines [34,35]. The results of laboratory tests confirmed the correct operation of these bearings across a wide range of rotational speeds. As the microturbine prototypes are not equipped with shaft displacement sensors, the results of these tests cannot be used to directly verify the GAZBEAR program.
A comparison of the calculation results obtained for the self-acting bearing using two different programs, GAZBEAR and ANSYS CFX, is shown in Figure 11. The exact values of aerodynamic load capacity obtained by the two methods for selected relative eccentricities are shown in Table 1. A direct comparison of the load capacities on a single diagram clearly shows that, despite the significant differences between the two methods used, there is very good agreement in the results. The curves determining aerodynamic force versus relative eccentricity obtained in GAZBEAR and ANSYS CFX almost overlapped. In the analyzed relative eccentricity range of 0.01–0.6, as the center of the journal moved away from the center of the sleeve (i.e., the journal surface approached the sleeve surface), the load capacity of the bearing increased from approximately 1.1 N to more than 90 N.
As part of the analysis of the compared results, a root mean square (RMS) coefficient was calculated for the fit of the eccentricity curve from the ANSYS program to the values obtained from the GAZBEAR program, which was approximately 0.0058. This means that the average deviation of the eccentricity values obtained by the two methods was 0.0058. The smaller the RMS value, the better the curve fit, which in this case indicates a very good fit. The error bars are not plotted in Figure 11 because they are so small that they would not be visible on the diagram. The largest absolute error between eccentricity values was 0.0125, and the smallest absolute error was 0.0006. Relative errors were also low, further confirming the high level of agreement between the results obtained from the two programs.
The very good agreement of the methods used is also confirmed by the results regarding pressure distributions on the sleeve surface. The pressure distribution over the developed sleeve surface, obtained using GAZBEAR and ANSYS CFX programs, is shown in Figure 12a and Figure 12b, respectively. The values obtained, despite the different ways of presenting the pressure distributions in the two programs, are almost identical.
The static equilibrium semicircles of the gas-dynamic bearing obtained with ANSYS CFX and GAZBEAR programs are also very similar in shape (Figure 13).
From the graphs above, it can be seen that very good agreement was obtained in the gas-dynamic bearing calculations performed with the two different tools. Both the changes in journal position and pressure distributions, and their corresponding reaction force of the gaseous lubricating film obtained in the GAZBEAR program using the finite difference method, show very good agreement with the results obtained using the algorithms implemented in ANSYS CFX, which is based on the finite volume method.

7. Conclusions

The use of two different computational methods, based on the finite difference method (GAZBEAR program) and the finite volume method (ANSYS CFX), made it possible to determine the load capacity of a self-acting gas bearing lubricated with vapor from a low-boiling medium. The results obtained from the two different methods agreed with each other. The bearing load capacity in the vertical direction increased with increasing journal eccentricity, reaching a maximum of around 90 N at an eccentricity of 0.6. Given the small size of the analyzed bearing and the low viscosity of the low-boiling medium used to lubricate it, this result can be considered satisfactory.
Based on the results obtained, it can be concluded that either of the methods used can be employed for advanced analysis of self-acting gas bearings. As for the in-house developed GAZBEAR program, specialized knowledge of gas bearing modeling and analysis methods is necessary, but the advantage of this method is its very short calculation time. Among other things, this allows the calculation process to be run multiple times and multiple gas bearing design variants to be tested in a short period. With a universal CFD program, it is easier to build or use a prebuilt model and interpret the obtained results, but the calculation process takes much longer. Each of these tools, with a properly prepared model, is capable of providing reliable results that can be of great help in the design and optimization process of gas bearings.
Self-acting (gas-dynamic) gas bearings are an attractive solution for the bearing systems of high-speed, micropower machinery. Such bearings allow, for example, the use of vapor from a low-boiling medium for their lubrication. The advanced numerical analysis of gas-dynamic bearings presented in this article allows a better understanding of the flow phenomena occurring within them and the development of strategies to optimize the load capacity of a bearing designed for a specific application. The calculation results obtained showed that the self-acting gas bearing is capable of carrying a significant load under the correct operating conditions, but is also very sensitive to changes in operating parameters such as rotational speed, viscosity of the lubricating medium, or position of the journal in the bearing sleeve.
In subsequent work, the authors plan to compare the results of the numerical calculations with those from experimental research. A prototype turbogenerator with the self-acting gas bearings discussed is currently being prepared for testing under laboratory conditions, which should provide valuable data on the actual characteristics of the bearing system.

Author Contributions

Conceptualization, G.Ż.; methodology, M.B. and P.B.; software, M.B.; validation, M.B. and P.B.; investigation, M.B. and P.B.; resources, G.Ż.; data curation, M.B. and P.B.; writing—original draft preparation, M.B. and P.B.; writing—review and editing, G.Ż.; visualization, M.B. and P.B.; supervision, G.Ż.; project administration, G.Ż.; funding acquisition, G.Ż. All authors have read and agreed to the published version of the manuscript.

Funding

This research was funded by the National Centre for Research and Development (NCBR) in Poland, under BIOSTRATEG strategic research and development programme, Grant Agreement No. BIOSTRATEG3/344128/12/NCBR/2017 (Acronym: TechRol).

Institutional Review Board Statement

Not applicable.

Informed Consent Statement

Not applicable.

Data Availability Statement

The original contributions presented in the study are included in the article, further inquiries can be directed to the corresponding author.

Acknowledgments

The authors would like to thank Zbigniew Kozanecki and Eliza Tkacz from the Lodz University of Technology for developing the GAZBEAR program and implementing it at the Institute of Fluid-Flow Machinery of the Polish Academy of Sciences. The authors would also like to thank Bartosz Czoska for the linguistic and grammatical proofreading of the manuscript.

Conflicts of Interest

The authors declare no conflicts of interest.

Notation

cRadial clearance, m;
ex, eyCoordinates of static equilibrium position of the shaft;
hLocal film thickness, m;
HDimensionless film thickness, m;
m ˙ k Mass flow through feed hole, kg/s;
RBearing radius, m;
ReReynolds number;
tTime, s;
εRelative eccentricity;
μDynamic viscosity of gas, kg m−1 s−1;
ϱaGas density at atmospheric pressure, kg m3;
Θ, ξDimensionless coordinates of the gas film;
ΛDimensionless bearing number;
τDimensionless time;
ωAngular velocity of the shaft, rad/s.

References

  1. Gao, Q.; Chen, W.; Lu, W.; Huo, D.; Chen, K. Aerostatic Bearings Design and Analysis with the Application to Precision Engineering: State-of-the-Art and Future Perspectives. Tribol. Int. 2019, 135, 1–17. [Google Scholar] [CrossRef]
  2. Szeri, A.Z. Fluid Film Lubrication (Theory and Design); Cambridge University Press: Cambridge, UK, 2005. [Google Scholar]
  3. Lee, Y.B.; Kwak, H.D.; Kim, C.H.; Jang, G.H. Analysis of Gas-Lubricated Bearings with a Coupled Boundary Effect for Micro Gas Turbine. Tribol. Trans. 2001, 44, 685–691. [Google Scholar] [CrossRef]
  4. Xu, Z.; Xu, L.; Sun, J.; Liu, M.; Liao, T.; Hu, X. Research on Micro Gap Flow Field Characteristics of Cylindrical Gas Film Seals Based on Experimental and Numerical Simulation. Aerospace 2024, 11, 40. [Google Scholar] [CrossRef]
  5. Zhang, G.; Huang, M.; Chen, G.; Li, J.; Liu, Y.; He, J.; Zheng, Y.; Tang, S.; Cui, H. Design and optimization of fluid lubricated bearings operated with extreme working performances—A comprehensive review. Int. J. Extrem. Manuf. 2024, 6, 022010. [Google Scholar] [CrossRef]
  6. Mourelatos, Z.P. Hydrodynamic Analysis of a Slider Gas Bearing Including the Gas Inertia Effect. J. Tribol. 1990, 112, 662–669. [Google Scholar] [CrossRef]
  7. Osborne, D.A.; San Andres, L. Comparison of Rotordynamic Analysis Predictions with the Test Response of Simple Gas Hybrid Bearings for Oil Free Turbomachinery. J. Eng. Gas Turbines Power 2006, 128, 634–643. [Google Scholar] [CrossRef]
  8. Jia, C.; Du, C.; Qiu, M. Analysis of Steady-state Characteristics of Aerodynamic Bearing Based on FLUENT. In Proceedings of the 2015 International Conference on Intelligent Systems Research and Mechatronics Engineering, Zhengzhou, China, 11–13 April 2015; pp. 150–155. [Google Scholar]
  9. Lu, H.; Li, C.; Wang, Y.; Sun, Y.; Hao, J.; Miao, H.; Xu, M.; Zhang, Y. Fluid–structure interaction dynamic analysis of aerostatic spindle. Meccanica 2023, 58, 2237–2267. [Google Scholar] [CrossRef]
  10. Liu, X.; Li, C.; Du, J. The Fluid-Structure-Thermal Performance Analysis of Gas Foil Thrust Bearing by Using Computational Fluid Dynamics. Lubricants 2022, 10, 294. [Google Scholar] [CrossRef]
  11. Baumann, K.; Freund, H. Modelling and Simulation of Aerodynamic Cylindrical Bearings Using ANSYS Hydrodynamic Bearing Element Types. Vehicles 2023, 5, 1118–1132. [Google Scholar] [CrossRef]
  12. Tammineni, N.M.; Mutra, R.R. A review on recent advancements in an automotive turbocharger rotor system supported on the ball bearings, oil film and oil-free bearings. J. Braz. Soc. Mech. Sci. Eng. 2023, 45, 481. [Google Scholar] [CrossRef]
  13. Massoudi, S.; Picard, C.; Schiffmann, J. An Integrated Approach to Designing Robust Gas-Bearing Supported Turbocompressors Through Surrogate Modeling and Constrained All-At-Once Multi-Objective Optimization. J. Mech. Des. 2024, 146, 121706. [Google Scholar] [CrossRef]
  14. Prabhakar, A.; Kim, D. Effect of Leading-Edge Inlet Models on the Performance of Gas Bearings Operating in Highly Compressible Flow Regimes. In Proceedings of the ASME Turbo Expo 2023, Boston, MA, USA, 26–30 June 2023. [Google Scholar]
  15. Luan, W.; Wang, H.; Wang, Y.; Li, X.; Tong, X.; Liu, Y.; Xie, Z.; Xu, F. The influence of spiral groove parameters on the performance of new hybrid gas foil spiral groove thrust bearings: Experimental study. Mech. Syst. Signal Process. 2024, 221, 111752. [Google Scholar] [CrossRef]
  16. Sternlicht, B. Rotor-Bearing Dynamics of High-Speed Turbomachinery; SECTION 1: Papers 670006–670125; SAE Transactions: Warrendale, PA, USA, 1968; Volume 76, pp. 478–493. [Google Scholar]
  17. Schiffmann, J.; Spakovszky, Z.S. Foil Bearing Design Guidelines for Improved Stability. J. Tribol. 2013, 135, 011103. [Google Scholar] [CrossRef]
  18. Laine, S.; Haikonen, S.; Tiainen, T.; Viitala, R. Rotor resonance avoidance by continuous adjustment of support stiffness. Int. J. Mech. Sci. 2024, 270, 109092. [Google Scholar] [CrossRef]
  19. Gooding, W.J.; Meier, M.A.; Gunter, E.J.; Key, N.L. Nonlinear Response and Stability of an Experimental Overhung Compressor Mounted with a Squeeze Film Damper. In Proceedings of the Turbomachinery Technical Conference and Exposition, Online, 21–25 September 2020. GT2020. [Google Scholar]
  20. Czolczynski, K. Rotordynamics of Gas-Lubricated Journal Bearing Systems; Mechanical Engineering Series; Springer: New York, NY, USA, 1999. [Google Scholar]
  21. Grassam, N.S.; Powell, J.W. Gas Lubricated Bearings; Butterworths: London, UK, 1964. [Google Scholar]
  22. Zhang, M.W.; Zhou, J.B.; Meng, G. Performance and stability analysis of gas-lubricated journal bearings in MEMS. Tribol. Int. 2011, 44, 887–897. [Google Scholar] [CrossRef]
  23. Nicholas, J.C. Lund’s Tilting Pad Journal Bearing Pad Assembly Method. J. Vib. Acoust. 2003, 125, 448–454. [Google Scholar] [CrossRef]
  24. Feng, K.; Shi, M.; Gong, T.; Liu, Y.; Zhu, J. A Novel Squeeze-Film Air Bearing with Flexture Pivot-Tilting Pads: Numerical Analysis and Measurement, International. J. Mech. Sci. 2017, 134, 41–50. [Google Scholar] [CrossRef]
  25. Lund, J.W. The Stability of an Elastic Rotor in Journal Bearings with Flexible, Damped Supports. J. Appl. Mech. 1965, 32, 911–920. [Google Scholar] [CrossRef]
  26. Belforte, G.; Colombo, F.; Raparelli, T.; Viktorov, V. High-Speed Rotor with Air Bearings Mounted on Flexible Supports: Test Bench and Experimental Results. J. Tribol. 2008, 130, 021103. [Google Scholar] [CrossRef]
  27. Żywica, G.; Bagiński, P.; Bogulicz, M.; Martowicz, A.; Roemer, J.; Kantor, S. Numerical Identification of the Dynamic Characteristics of a Nonlinear Foil Bearing Structure: Effect of the Excitation Force Amplitude and the Assembly Preload. J. Sound Vib. 2022, 520, 116663. [Google Scholar]
  28. Samanta, P.; Murmu, N.C.; Khonsari, M.M. The Evolution of Foil Bearing Technology. Tribol. Int. 2019, 135, 305–323. [Google Scholar] [CrossRef]
  29. Tkacz, E.; Kozanecki, Z.; Kozanecka, D. Numerical Methods for Theoretical Analysis of Foil Bearing Dynamics. Mech. Res. Commun. 2017, 82, 9–13. [Google Scholar] [CrossRef]
  30. Tkacz, E. Numerical Model of An Aerodynamic Gas Bearing. Ph.D. Thesis, Institute of Turbomachinery, Lodz University of Technology, Łódź, Poland, 2011. (In Polish). [Google Scholar]
  31. ANSYS CFX User Manual; ANSYS Inc.: Pennsylvania, PA, USA, 2018.
  32. Renn, J.C.; Hsiao, C.H. Experimental and CFD Study on the Mass Flow-Rate Characteristic of Gas Through Orifice-Type Restrictor in Aerostatic Bearings. Tribol. Int. 2003, 37, 309–315. [Google Scholar] [CrossRef]
  33. Kazimierski, Z.; Trojnarski, J. Investigations of Externally Pressurized Gas Bearings with Different Feeding Systems. J. Lubr. Technol. 1980, 102, 59–64. [Google Scholar] [CrossRef]
  34. Breńkacz, Ł.; Żywica, G.; Bogulicz, M. Selection of the oil-free bearing system for a 30 kW ORC microturbine. J. Vibroeng. 2019, 21, 318–330. [Google Scholar] [CrossRef]
  35. Żywica, G.; Kaczmarczyk, T.; Breńkacz, Ł.; Bogulicz, M.; Andrearczyk, A.; Bagiński, P. Investigation of dynamic properties of the microturbine with a maximum rotational speed of 120 krpm—Predictions and experimental tests. J. Vibroeng. 2019, 21, 298–312. [Google Scholar] [CrossRef]
Figure 1. (a) Geometrical dimensions of the analyzed hybrid bearing supplied obliquely. (b) Coordinate system describing the position of the journal in the bearing.
Figure 1. (a) Geometrical dimensions of the analyzed hybrid bearing supplied obliquely. (b) Coordinate system describing the position of the journal in the bearing.
Applsci 14 07520 g001
Figure 2. Load capacity and journal center position angle vs. dimensionless eccentricity in a gas-dynamic bearing—calculation results from the GAZBEAR program.
Figure 2. Load capacity and journal center position angle vs. dimensionless eccentricity in a gas-dynamic bearing—calculation results from the GAZBEAR program.
Applsci 14 07520 g002
Figure 3. Distribution of gas film thickness in the bearing lubrication gap, with the journal center positioned at a point with a relative eccentricity of 0.16 at an angle of 336°.
Figure 3. Distribution of gas film thickness in the bearing lubrication gap, with the journal center positioned at a point with a relative eccentricity of 0.16 at an angle of 336°.
Applsci 14 07520 g003
Figure 4. Pressure distribution in the bearing lubrication gap, with the journal center positioned at a point with a relative eccentricity of 0.16 at an angle of 336°.
Figure 4. Pressure distribution in the bearing lubrication gap, with the journal center positioned at a point with a relative eccentricity of 0.16 at an angle of 336°.
Applsci 14 07520 g004
Figure 5. Discretized lubrication space domain of a gas bearing.
Figure 5. Discretized lubrication space domain of a gas bearing.
Applsci 14 07520 g005
Figure 6. Boundary conditions of the flow model for the dynamic bearing with a marked local coordinate system.
Figure 6. Boundary conditions of the flow model for the dynamic bearing with a marked local coordinate system.
Applsci 14 07520 g006
Figure 7. Load capacity maps of the gas-dynamic bearing for given input parameters: (a) in the Y direction; (b) in the X direction.
Figure 7. Load capacity maps of the gas-dynamic bearing for given input parameters: (a) in the Y direction; (b) in the X direction.
Applsci 14 07520 g007
Figure 8. Changes in the reaction force of the lubrication film in the gas-dynamic bearing: (a) in the Y direction for selected eccentricities vs. journal position angle; (b) in the Y direction for selected angles vs. relative eccentricity; (c) in the X direction for selected eccentricities vs. journal position angle; (d) in the X direction for selected angles vs. relative eccentricity.
Figure 8. Changes in the reaction force of the lubrication film in the gas-dynamic bearing: (a) in the Y direction for selected eccentricities vs. journal position angle; (b) in the Y direction for selected angles vs. relative eccentricity; (c) in the X direction for selected eccentricities vs. journal position angle; (d) in the X direction for selected angles vs. relative eccentricity.
Applsci 14 07520 g008
Figure 9. Pressure distribution in a gas-dynamic bearing: (a) on the journal surface; (b) in the plane of symmetry, in the plane corresponding to ¼ of the bearing length, and on the bearing edge (outlet plane).
Figure 9. Pressure distribution in a gas-dynamic bearing: (a) on the journal surface; (b) in the plane of symmetry, in the plane corresponding to ¼ of the bearing length, and on the bearing edge (outlet plane).
Applsci 14 07520 g009
Figure 10. Gas flow in a gas-dynamic bearing: (a) streamlines; (b) vectors indicating the flow directions.
Figure 10. Gas flow in a gas-dynamic bearing: (a) streamlines; (b) vectors indicating the flow directions.
Applsci 14 07520 g010
Figure 11. Aerodynamic lift of the gas-dynamic bearing vs. relative eccentricity, determined using the GAZBEAR and ANSYS CFX programs.
Figure 11. Aerodynamic lift of the gas-dynamic bearing vs. relative eccentricity, determined using the GAZBEAR and ANSYS CFX programs.
Applsci 14 07520 g011
Figure 12. Pressure distribution on the sleeve surface in a gas-dynamic bearing for a static equilibrium point at a speed of 40,000 rpm: (a) results from the GAZBEAR program; (b) results from the ANSYS CFX software.
Figure 12. Pressure distribution on the sleeve surface in a gas-dynamic bearing for a static equilibrium point at a speed of 40,000 rpm: (a) results from the GAZBEAR program; (b) results from the ANSYS CFX software.
Applsci 14 07520 g012
Figure 13. Static equilibrium semicircles of the gas-dynamic bearing calculated using the GAZBEAR and ANSYS CFX programs.
Figure 13. Static equilibrium semicircles of the gas-dynamic bearing calculated using the GAZBEAR and ANSYS CFX programs.
Applsci 14 07520 g013
Table 1. Aerodynamic lift of the gas-dynamic bearing, determined using the GAZBEAR and ANSYS CFX programs, for selected values of relative eccentricity.
Table 1. Aerodynamic lift of the gas-dynamic bearing, determined using the GAZBEAR and ANSYS CFX programs, for selected values of relative eccentricity.
Eccentricity [-]Force [N]—GAZBEARForce [N]—ANSYS CFX
0.055.5844.622
0.1011.2209.818
0.1516.96716.096
0.2022.88822.905
0.2529.05929.802
0.3035.58036.390
0.3542.57842.829
0.4050.23249.524
0.4558.78057.739
0.5068.60468.463
0.5580.18281.490
0.6094.26893.584 1
1 Approximate value (calculation results in ANSYS CFX were obtained up to ε = 0.597).
Disclaimer/Publisher’s Note: The statements, opinions and data contained in all publications are solely those of the individual author(s) and contributor(s) and not of MDPI and/or the editor(s). MDPI and/or the editor(s) disclaim responsibility for any injury to people or property resulting from any ideas, methods, instructions or products referred to in the content.

Share and Cite

MDPI and ACS Style

Bogulicz, M.; Bagiński, P.; Żywica, G. Numerical Analysis of a Self-Acting Gas Bearing Lubricated with a Low-Boiling-Point Medium Using an Advanced Model Based on the Finite Difference Methods and Universal Computational Fluid Dynamics Software. Appl. Sci. 2024, 14, 7520. https://doi.org/10.3390/app14177520

AMA Style

Bogulicz M, Bagiński P, Żywica G. Numerical Analysis of a Self-Acting Gas Bearing Lubricated with a Low-Boiling-Point Medium Using an Advanced Model Based on the Finite Difference Methods and Universal Computational Fluid Dynamics Software. Applied Sciences. 2024; 14(17):7520. https://doi.org/10.3390/app14177520

Chicago/Turabian Style

Bogulicz, Małgorzata, Paweł Bagiński, and Grzegorz Żywica. 2024. "Numerical Analysis of a Self-Acting Gas Bearing Lubricated with a Low-Boiling-Point Medium Using an Advanced Model Based on the Finite Difference Methods and Universal Computational Fluid Dynamics Software" Applied Sciences 14, no. 17: 7520. https://doi.org/10.3390/app14177520

APA Style

Bogulicz, M., Bagiński, P., & Żywica, G. (2024). Numerical Analysis of a Self-Acting Gas Bearing Lubricated with a Low-Boiling-Point Medium Using an Advanced Model Based on the Finite Difference Methods and Universal Computational Fluid Dynamics Software. Applied Sciences, 14(17), 7520. https://doi.org/10.3390/app14177520

Note that from the first issue of 2016, this journal uses article numbers instead of page numbers. See further details here.

Article Metrics

Back to TopTop