Extrusion of Rice and Aronia melanocarpa Pomace: Physical and Functional Characteristics of Extrudates
Abstract
1. Introduction
2. Materials and Methods
2.1. Materials
2.2. Methods
2.2.1. Extrusion
2.2.2. Determination of Physical Characteristics
2.2.3. Determination of Functional Characteristics
2.2.4. Statistical Processing
2.2.5. Optimization of Physical and Functional Characteristics
3. Results and Discussion
3.1. Experimental Results
3.2. Expansion Ratio
3.3. Bulk Density
3.4. Moisture Content of Extrudates
3.5. Pellet Durability Index
3.6. Water Solubility Index
3.7. Water Absorption Index
3.8. Hardness
3.9. Lightness
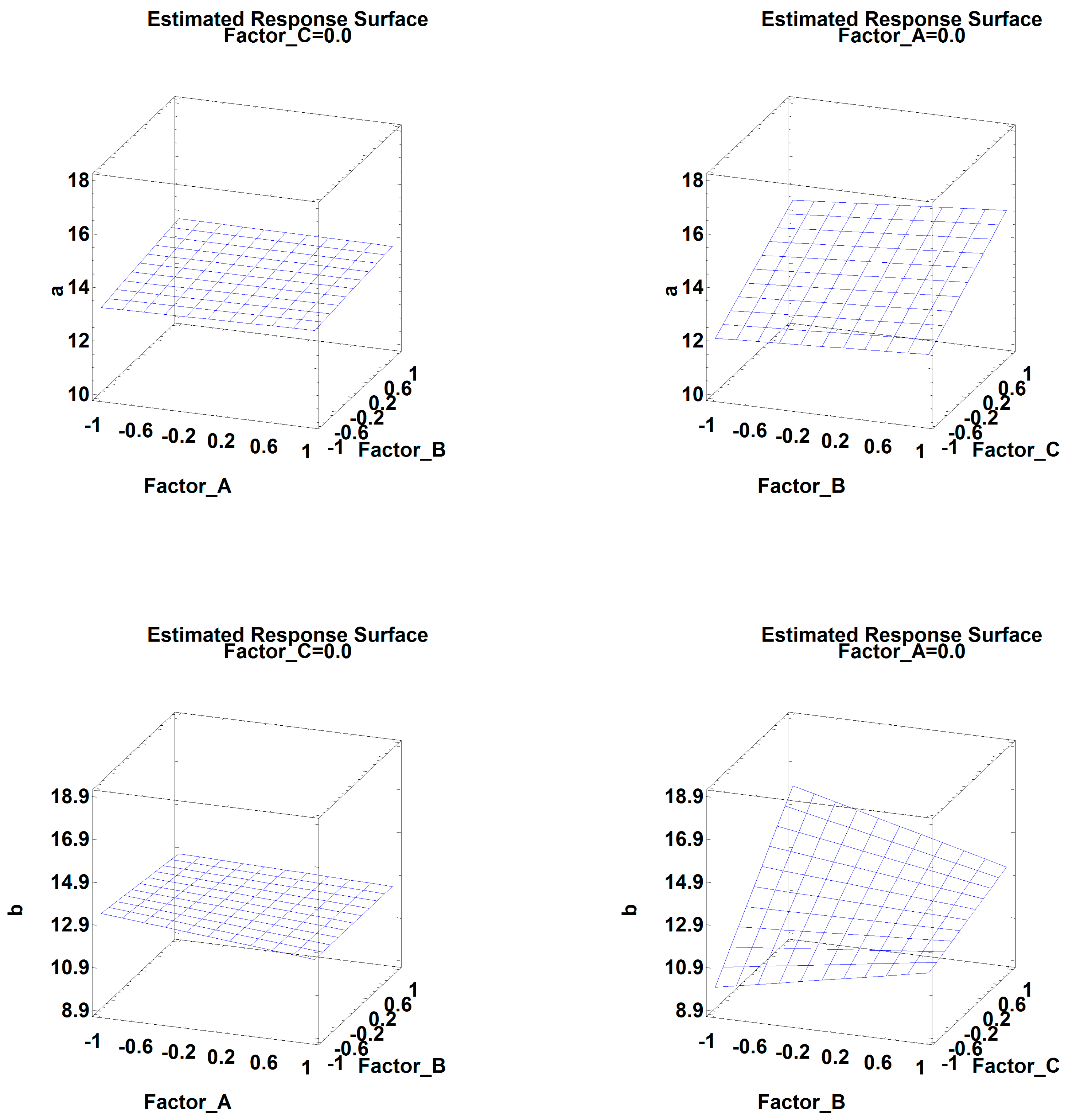
3.10. Redness and Yellowness
3.11. Optimization
4. Conclusions
Author Contributions
Funding
Institutional Review Board Statement
Informed Consent Statement
Data Availability Statement
Conflicts of Interest
References
- Lane, A.T.J.; Huff, C.; Weston, W.L. Detection of gluten in human sera by an enzyme immunoassay: Comparison of dermatitis herpetiformis and celiac disease patients with normal controls. J. Investig. Dermatol. 1982, 79, 186–189. [Google Scholar] [CrossRef] [PubMed]
- Mohidem, N.A.; Hashim, N.; Shamsudin, R.; Man Che Man, H. Rice for food security: Revisiting its production, diversity, rice milling process and nutrient content. Agriculture 2022, 12, 741. [Google Scholar] [CrossRef]
- Kowsalya, P.; Sharanyakanth, P.S.; Mahendran, R. Traditional rice varieties: A comprehensive review on its nutritional, medicinal, therapeutic and health benefit potential. J. Food Compos. Anal. 2022, 114, 104742. [Google Scholar] [CrossRef]
- Fresco, L. Rice is life. J. Food. Compos. Anal. 2005, 18, 249–253. [Google Scholar] [CrossRef]
- Kulling, S.E.; Rawel, H.M. Chokeberry (Aronia melanocarpa)—A review on the characteristic components and potential health effects. Planta Med. 2008, 74, 1625–1634. [Google Scholar] [CrossRef] [PubMed]
- Skrovankova, S.; Sumczynski, D.; Mlcek, J.; Jurikova, T.; Sochor, J. Bioactive compounds and antioxidant activity in different types of berries. Int. J. Mol. Sci. 2015, 16, 24673–24706. [Google Scholar] [CrossRef] [PubMed]
- Wójtowicz, A.; Combrzyński, M.; Biernacka, B.; Różyło, R.; Bąkowski, M.; Wojtunik-Kulesza, K.; Mołdoch, J.; Kowalska, I. Fresh chokeberry (Aronia melanocarpa) fruits as valuable additive in extruded snack pellets: Selected nutritional and physiochemical properties. Plants 2023, 12, 3276. [Google Scholar] [CrossRef] [PubMed]
- Jurendić, T.; Ščetar, M. Aronia melanocarpa products and by-products for health and nutrition: A review. Antioxidants 2021, 10, 1052. [Google Scholar] [CrossRef] [PubMed]
- Sagar, N.A.; Pareek, S.; Sharma, S.; Yahia, E.M.; Lobo, M.G. Fruit and Vegetable Waste: Bioactive Compounds, Their Extraction, and Possible Utilization. Compr. Rev. Food Sci. Food Saf. 2018, 17, 512–631. [Google Scholar] [CrossRef]
- Witczak, T.; Stępień, A.; Gumul, D.; Witczak, M.; Fiutak, G.; Zięba, T. The influence of the extrusion process on the nutritional composition, physical properties and storage stability of black chokeberry pomaces. Food Chem. 2021, 334, 127548. [Google Scholar] [CrossRef]
- Choton, S.; Gupta, N.; Bandral, J.D.; Anjum, N.; Choudary, A. Extrusion technology and its application in food processing: A review. Pharma Innov. 2020, 9, 162–168. [Google Scholar] [CrossRef]
- Guimarães, J.T.; Gómez, B.; Teixeira, J.A.; Mussatto, S.I. Extrusion Technology in Food Processing. In Food Processing Waste Management; Galanakis, C.M., Ed.; Elsevier: London, UK, 2018; pp. 243–273. [Google Scholar]
- Mercier, S.; Feillet, P. Principles of extrusion cooking. In Extrusion Cooking, 2nd ed.; Mercier, C., Linko, P., Harper, J.M., Eds.; CRC Press: Boca Raton, FL, USA, 2008; pp. 1–38. [Google Scholar]
- Koksel, H.; Ng, P.K.W. Extrusion processing of food, feed, and other biomaterials. Food Bioprocess. Technol. 2013, 6, 353–354. [Google Scholar]
- Sobota, A. Extrusion cooking–methods, applications, and research. Food Sci. Technol. Int. 2017, 23, 375–389. [Google Scholar]
- EN ISO 712; Cereals and Cereal Products—Determination of Moisture Content—Reference Method. International Organization for Standardization: Geneva, Switzerland, 2009.
- Ordinance № 9 from 16.03.2001 Regarding the Quality of Water, Intended for Drinking and Household Purposes. Available online: https://www.ecolex.org/details/legislation/regulation-no-9-on-the-quality-of-water-intended-for-drinking-and-household-purposes-lex-faoc033621/ (accessed on 16 May 2024).
- ASAE Standards 2004; Standards, Engineering Practices. American Society of Agricultural Engineers: St Joseph, MI, USA, 2004.
- Wani, S.A.; Muzaffar, K.; Kumar, P. Physical and functional characteristics of extrudates prepared from fenugreek and oats. Food Sci. Technol. 2016, 2, 1178058. [Google Scholar] [CrossRef]
- Akdogan, H. High moisture food extrusion. Int. J. Food Sci. Technol. 1999, 34, 195–207. [Google Scholar] [CrossRef]
- Ilo, S.; Liu, Y.; Berghofer, E. Extrusion cooking of rice flour and amaranth blends. LWT 1999, 32, 79–88. [Google Scholar] [CrossRef]
- Ding, Q.; Ainsworth, P.; Plunkett, A.; Tucker, G.; Marson, H. The effect of extrusion conditions on the physicochemical and sensory characteristics of rice-based expanded snacks. J. Food Eng. 2005, 66, 283–289. [Google Scholar] [CrossRef]
- Kowalski, R.I.; Medina-Meza, I.G.; Thapa, B.B.; Murphy, K.M.; Ganjyal, G.M. Extrusion processing characteristics of quinoa (Chenopodium quinoa Willd.) var. Cherry Vanilla. J. Cereal Sci. 2016, 70, 91–98. [Google Scholar] [CrossRef]
- Schmid, V.; Steck, J.; Mayer-Miebach, E.; Behsnilian, D.; Bunzel, M.; Karbstein, H.P.; Emin, M.A. Extrusion processing of pure chokeberry (Aronia melanocarpa) pomace: Impact on dietary fiber profile and bioactive compounds. Foods 2021, 10, 518. [Google Scholar] [CrossRef]
- Singh, B.; Sekhon, K.S.; Singh, N. Effects of moisture, temperature and level of pea grits on extrusion behavior and product characteristics of rice. Food Chem. 2007, 100, 198–202. [Google Scholar] [CrossRef]
- Wang, N.; Maximiuk, L.; Toews, R. Pea starch noodles: Effect of processing variables on characteristics and optimisation of twin-screw extrusion process. Food Chem. 2012, 133, 742–753. [Google Scholar] [CrossRef]
- Schmid, V.; Mayer-Miebach, E.; Behsnilian, D.; Briviba, K.; Karbstein, H.P.; Azad, E.M. Enrichment of starch-based extruded cereals with chokeberry (Aronia melanocarpa) pomace: Influence of processing conditions on techno-functional and sensory related properties, dietary fibre and polyphenol content as well as in vitro digestibility. LWT 2022, 154, 112610. [Google Scholar] [CrossRef]
- Karkle, E.L.; Alavi, S.; Dogan, H. Cellular architecture and its relationship with mechanical properties in expanded extrudates containing apple pomace. Food Res. Int. 2012, 46, 10–21. [Google Scholar] [CrossRef]
- Karkle, E.L.; Keller, L.; Dogan, H.; Alavi, S. Matrix transformation in fibreadded extruded products: Impact of different hydration regimens on texture, microstructure and digestibility. J. Food Eng. 2012, 108, 171–182. [Google Scholar] [CrossRef]
- O’Shea, N.; Arendt, E.; Gallagher, E. Enhancing an extruded puffed snack by optimising die head temperature, screw speed and apple pomace inclusion. Food Bioprocess Technol. 2014, 7, 1767–1782. [Google Scholar] [CrossRef]
- Wang, S.Y.; Gu, B.J.; Ganjyal, G.M. Impacts of the inclusion of various fruit pomace types on the expansion of corn starch extrudates. LWT 2019, 110, 223–230. [Google Scholar] [CrossRef]
- Selani, M.M.; Brazaca, S.G.C.; Dias, C.T.S.; Ratnayake, W.S.; Flores, R.A.; Bianchini, A. Characterisation and potential application of pineapple pomace in an extruded product for fibre enhancemen. Food Chem. 2014, 163, 23–30. [Google Scholar] [CrossRef]
- Altan, A.; McCarthy, K.L.; Maskan, M. Evaluation of snack foods from barley–tomato pomace blends by extrusion processing. J. Food Eng. 2008, 84, 231–242. [Google Scholar] [CrossRef]
- Sazzhetti, G.; Pittia, P.; Pinnavaia, G. The effect of extrusion temperature and drying-tempering on both the kinetics of hydration and the textural changes in extruded ready-to-eat breakfast cereals soaking in semi-skimmed milk. Int. J. Food Sci. Technol. 2005, 40, 655–666. [Google Scholar]
- Meng, X.; Threinen, D.; Hansen, M.; Driedger, D. Effects of extrusion conditions on system parameters and physical properties of a chickpea flour-based snack. Food Res. Int. 2010, 43, 650–658. [Google Scholar] [CrossRef]
- Sahu, C.; Patel, S.; Tripathi, A.K. Effect of extrusion parameters on physical and functional quality of soy protein enriched maize based extruded snack. Appl. Food Res. 2022, 2, 100072. [Google Scholar] [CrossRef]
- Ding, Q.B.; Ainsworth, P.; Plunkett, A.; Tucker, G.; Marson, H. The effect of extrusion conditions on the functional and physical properties of wheat-based expanded snacks. J. Food Eng. 2006, 73, 142–148. [Google Scholar] [CrossRef]
- Potter, R.; Stojceska, V.; Plunkett, A. The use of fruit powders in extruded snacks suitable for Children’s diets. LWT 2013, 51, 537–544. [Google Scholar] [CrossRef]
- Altan, A.; McCarthy, K.L.; Maskan, M. Twin-screw extrusion of barley–grape pomace blends: Extrudate characteristics and determination of optimum processing conditions. J. Food Eng. 2008, 89, 24–32. [Google Scholar] [CrossRef]
- Ge, C.; Xue, M.; Hooft, J.M.; Øverland, M.; Liang, X.; Wang, J.; Meng, P.; Qin, Y.; Wang, H. Impact of physiochemical properties of protein ingredients on pellet quality and microstructure. Aquacul. Rep. 2023, 31, 101632. [Google Scholar] [CrossRef]
- Ayadi, F.Y.; Fallahi, P.; Rosentrater, K.A.; Muthukumarappan, K. Modeling single-screw extrusion processing parameters and resulting extrudate properties of DDGS-Based Nile Tilapia (Oreochromis niloticus) feeds. J. Food Res. 2013, 2, 11–28. [Google Scholar] [CrossRef]
- Chinnaswamy, R.; Hanna, M.A. Relationship between viscosity and expansion properties of various extrusion-cooked grain components. Food Hydrocoll. 1990, 3, 423–434. [Google Scholar] [CrossRef]
- Raczkowska, E.; Nowicka, P.; Wojdyło, A.; Styczyńska, M.; Lazar, Z. Chokeberry pomace as a component shaping the content of bioactive compounds and nutritional, health-promoting (anti-diabetic and antioxidant) and sensory properties of shortcrust pastries sweetened with sucrose and erythritol. Antioxidants 2022, 11, 190. [Google Scholar] [CrossRef]
- Zhang, Y.; Zhao, Y.; Liu, X.; Chen, X.; Ding, C.; Dong, L.; Zhang, J.; Sun, S.; Ding, Q.; Khatoom, S.; et al. Chokeberry (Aronia melanocarpa) as a new functional food relationship with health: An overview. J. Fut. Foods 2021, 1, 168–178. [Google Scholar] [CrossRef]








| Chokeberry Pomace, % | L0 | a0 | b0 |
|---|---|---|---|
| 10 | 72.62 | 6.13 | 6.73 |
| 20 | 64.58 | 8.43 | 5.69 |
| No. | Natural Values | Coded Values | ||||
|---|---|---|---|---|---|---|
| Factor A—Amount of Chokeberry Pomace, % | Factor B—Feed Moisture Content, % | Factor C—Working Screw Speed, min−1 | X1 | X2 | X3 | |
| 1 | 10 | 14 | 180 | −1 | −1 | −1 |
| 2 | 20 | 14 | 180 | +1 | −1 | −1 |
| 3 | 10 | 20 | 180 | −1 | +1 | −1 |
| 4 | 20 | 20 | 180 | +1 | +1 | −1 |
| 5 | 10 | 14 | 220 | −1 | −1 | +1 |
| 6 | 20 | 14 | 220 | +1 | −1 | +1 |
| 7 | 10 | 20 | 220 | −1 | +1 | +1 |
| 8 | 20 | 20 | 220 | +1 | +1 | +1 |
| No. | ER | BD, g/cm3 | MC, % | PDI, % | HD, N | L | a | b |
|---|---|---|---|---|---|---|---|---|
| 1 | 2.74 ± 0.06 | 0.111 ± 0.013 | 8.37 ± 0.80 | 66.11 ± 1.15 | 18.99 ± 0.8 | 61.33 ± 2.3 | 13.16 ± 1.1 | 10.06 ± 0.9 |
| 2 | 2.67 ± 0.26 | 0.142 ± 0.008 | 6.03 ± 0.88 | 70.13 ± 2.35 | 19.16 ± 0.9 | 62.07 ± 1.5 | 10.92 ± 0.7 | 9.75 ± 0.8 |
| 3 | 1.90 ± 0.07 | 0.151 ± 0.009 | 9.32 ± 1.46 | 97.36 ± 1.67 | 30.68 ± 1.2 | 66.36 ± 2.1 | 12.38 ± 0.9 | 12.64 ± 1.1 |
| 4 | 1.81 ± 0.07 | 0.174 ± 0.012 | 8.17 ± 0.74 | 88.96 ± 1.19 | 24.72 ± 1.0 | 65.35 ± 2.2 | 12.47 ± 1.2 | 11.01 ± 0.9 |
| 5 | 2.64 ± 0.18 | 0.146 ± 0.028 | 6.85 ± 0.55 | 82.55 ± 1.19 | 22.77 ± 1.4 | 55.07 ± 1.1 | 13.22 ± 1.2 | 16.67 ± 1.2 |
| 6 | 2.48 ± 0.05 | 0.132 ± 0.010 | 5.84 ± 1.06 | 78.32 ± 2.54 | 26.96 ± 0.8 | 56.53 ± 1.0 | 15.73 ± 1.1 | 15.16 ± 1.1 |
| 7 | 1.59 ± 0.09 | 0.144 ± 0.015 | 8.36 ± 0.47 | 89.32 ± 2.67 | 24.43 ± 1.2 | 58.18 ± 1.1 | 15.18 ± 1.0 | 12.83 ± 1.0 |
| 8 | 1.51 ± 0.01 | 0.186 ± 0.015 | 6.67 ± 1.45 | 93.56 ± 2.17 | 21.68 ± 1.5 | 58.87 ± 1.6 | 15.00 ± 0.9 | 13.89 ± 1.0 |
| No. | WSI, % | WAI, g/g |
|---|---|---|
| 1 | 31.88 ± 2.51 | 4.49 ± 0.27 |
| 2 | 31.21 ± 1.05 | 6.19 ± 0.18 |
| 3 | 31.21 ± 1.05 | 5.81 ± 0.24 |
| 4 | 28.61 ± 1.04 | 6.56 ± 0.05 |
| 5 | 22.76 ± 1.04 | 5.50 ± 0.06 |
| 6 | 41.61 ± 1.15 | 5.19 ± 0.78 |
| 7 | 31.35 ± 0.80 | 4.56 ± 0.45 |
| 8 | 43.19 ± 2.52 | 4.28 ± 0.21 |
| Response Variable | Value |
|---|---|
| ER | 2.96 |
| BD | 0.128 |
| PDI | 76.23 |
| MC | 8.10 |
| HD | 21.80 |
| L | 60.55 |
| WAI | 5.00 |
| WSI | 29.53 |
Disclaimer/Publisher’s Note: The statements, opinions and data contained in all publications are solely those of the individual author(s) and contributor(s) and not of MDPI and/or the editor(s). MDPI and/or the editor(s) disclaim responsibility for any injury to people or property resulting from any ideas, methods, instructions or products referred to in the content. |
© 2024 by the authors. Licensee MDPI, Basel, Switzerland. This article is an open access article distributed under the terms and conditions of the Creative Commons Attribution (CC BY) license (https://creativecommons.org/licenses/by/4.0/).
Share and Cite
Dushkova, M.; Simitchiev, A.; Beleva, B.; Petrova, T.; Koleva, A. Extrusion of Rice and Aronia melanocarpa Pomace: Physical and Functional Characteristics of Extrudates. Appl. Sci. 2024, 14, 4315. https://doi.org/10.3390/app14104315
Dushkova M, Simitchiev A, Beleva B, Petrova T, Koleva A. Extrusion of Rice and Aronia melanocarpa Pomace: Physical and Functional Characteristics of Extrudates. Applied Sciences. 2024; 14(10):4315. https://doi.org/10.3390/app14104315
Chicago/Turabian StyleDushkova, Mariya, Apostol Simitchiev, Boryana Beleva, Todorka Petrova, and Anna Koleva. 2024. "Extrusion of Rice and Aronia melanocarpa Pomace: Physical and Functional Characteristics of Extrudates" Applied Sciences 14, no. 10: 4315. https://doi.org/10.3390/app14104315
APA StyleDushkova, M., Simitchiev, A., Beleva, B., Petrova, T., & Koleva, A. (2024). Extrusion of Rice and Aronia melanocarpa Pomace: Physical and Functional Characteristics of Extrudates. Applied Sciences, 14(10), 4315. https://doi.org/10.3390/app14104315

