Next Article in Journal
Power System Signal-Detection Method Based on the Accelerated Unsaturated Stochastic Resonance Principle
Previous Article in Journal
Study on the Bouncing Process Induced by Ice Shedding on Overhead Conductors under Strong Wind Conditions
Previous Article in Special Issue
Preparation and Biological Activity Studies of Octenyl Succinic Anhydride Starch-Based Emulsions Containing Natural Essential Oils and Their Components
 
 
Font Type:
Arial Georgia Verdana
Font Size:
Aa Aa Aa
Line Spacing:
Column Width:
Background:
Article

Potential Role of Bioactive Compounds: In Vitro Evaluation of the Antioxidant and Antimicrobial Activity of Fermented Milk Thistle

by
Edyta Kucharska
1,*,
Bartłomiej Grygorcewicz
2,3,
Monika Spietelun
2,
Patrycja Olszewska
2,
Anna Bobkowska
4,
Joanna Ryglewicz
4,
Anna Nowak
5,
Anna Muzykiewicz-Szymańska
5,
Łukasz Kucharski
5 and
Robert Pełech
1
1
Department of Chemical Organic Technology and Polymeric Materials, Faculty of Chemical Technology and Engineering, West Pomeranian University of Technology in Szczecin, 10 Pulaski Str., 70-322 Szczecin, Poland
2
Faculty of Pharmacy, Medical Biotechnology and Laboratory Medicine, Pomeranian Medical University, Powstańców Wielkopolskich 72, 70-111 Szczecin, Poland
3
Department of Chemical and Process Engineering, Faculty of Chemical Technology and Engineering, West Pomeranian University of Technology in Szczecin, Piastów Ave. 42, 71-065 Szczecin, Poland
4
NISHA Karol Ryglewicz, 4 Jana Kasprowicza Str., 62-040 Puszczykowo, Poland
5
Department of Cosmetic and Pharmaceutical Chemistry, Pomeranian Medical University in Szczecin, 70-111 Szczecin, Poland
*
Author to whom correspondence should be addressed.
Appl. Sci. 2024, 14(10), 4287; https://doi.org/10.3390/app14104287
Submission received: 4 April 2024 / Revised: 9 May 2024 / Accepted: 15 May 2024 / Published: 18 May 2024
(This article belongs to the Special Issue The Role of Bioactive Natural Products in Health and Disease)

Abstract

The group of innovative ingredients in cosmetic preparations includes bio-ferments (Bs), which are characterized by high bioactivity and biocompatibility, and one of the plants rich in bioactive compounds that has a beneficial effect on the skin and the body is Silybum marianum. Bio-ferments obtained from this plant are becoming increasingly useful as active ingredients in cosmetics. In the present study, four different bio-ferments were obtained by fermentation of pomace (B-P), extract (B-E), oil (B-O), and seeds (B-S) of milk thistle. Their biodegradability (%B), total polyphenols content (Folin–Ciocalteu method), and antimicrobial, antioxidant (DPPH, ABTS, and FRAP methods), chelating (Fe2+ ions), and reduction (Cu2+ and Fe3+ ions) properties, as well as the acidity, were evaluated. The contact angle using the sessile drop method was assessed to investigate bio-ferments’ impact on skin wettability. Finally, the content of selected phenolic acids in the Bs was evaluated using the HPLC method, while the lactic acid (LA) content was assessed using the GC-MS method. All bio-ferments were characterized by high polyphenols content (13.56 ± 0.10–15.28 ± 0.12 mmol GA/L B), chelating (0.08 ± 0.01–0.17 ± 0.01 mmol Fe2+/L B) and antioxidant activity (DPPH method, 2.41 ± 0.01–3.53 ± 0.01 mmol Tx/L B), and reducing Cu2+ and Fe3+ ions. Gallic acid, protocatechuic acid, caffeic acid, neochlorogenic acid, coumaric acid, and LA were identified in Bs. The most increased antibacterial activity for B-P was observed for a strain of Staphylococcus aureus (MIC = 250 μL/mL) and Pseudomonas aeruginosa (MIC = 250 μL/mL). Simultaneously, B-S demonstrated the highest inhibitory effects against Escherichia coli (MIC = 125 μL/mL), emphasizing the varied antimicrobial profiles of these bio-ferments against different bacterial strains. Research on aerobic biodegradation demonstrated a high level of degradation (%B = 60 ± 1–65 ± 3), and all Bs were categorized as readily degradable according to the OECD classification.

1. Introduction

The skin, the largest organ in the human body, acts as a protective barrier against external threats and is essential during vitamin D production. The skin consists of three layers: the epidermis, the dermis, and the deepest subcutaneous tissue. The outermost layer of the epidermis is the Stratum corneum (SC). The SC contains intercellular cement, which includes, among other things, ceramides, cholesterol, fatty acids, cholesterol ester, and trace amounts of phospholipids [1]. Natural moisturizing factors (NMFs) found in the skin are chemical compounds that increase the skin’s ability to retain moisture. The absence of NMFs or abnormalities in their composition is directly linked to dry skin [2]. Lactic acid (LA) is a metabolite produced by milk fermentation bacteria. The primary raw material lactic acid bacteria use is carbohydrates, or more specifically, sugars made up of six-carbon residues (glucose or sucrose) [3]. The most desirable in industrial production are the enantiomers L(+) of lactic acid, which are produced mainly by the homofermentative lactic fermentation bacteria of the genus Lactobacillus. The characteristic effect of LA is to acidify the environment because a low pH inhibits the development of undesirable microflora in food and cosmetic products [4,5,6]. In addition to lactic acid, the metabolic products of Gram-positive lactic fermentation bacteria are bacteriocins, which are hydrolyzed by enzymes in the digestive tract into easily digestible and harmless amino acids [7]. The main producers of bacteriocins on an industrial scale are bacteria of the genera Lactobacillus, Lactococcus, and Leuconostoc [8].
Silymarin (Silybum marianum), a non-toxic complex extracted from seeds and fruits from milk thistles, significantly protects against harmful UV radiation by inhibiting radical chain reactions [9]. One of the leading causes of premature skin aging is oxidative stress [10]. It is caused by, among other things, prolonged skin exposure to UV radiation, where the skin is exposed to the harmful effects of reactive oxygen species (ROS) [11]. This ultimately leads to tissue degeneration, inflammation, and cancerous changes. It is widely believed that oxidative stress is closely linked to many diseases that occur in old age (e.g., Alzheimer’s, Parkinson’s, hypertension, and diabetes) [12,13].
Bio-ferments are innovative cosmetic raw materials obtained mainly from plant raw materials through a fermentation process involving appropriate strains of bacteria [14]. The applications of bio-ferments include their antioxidant and antimicrobial properties, and anti-ageing, hydrating, and anti-allergic effects. The wide spectrum of biological properties makes bio-ferments an innovative cosmetic raw material with great biocompatibility [2,14,15,16]. The fermentation process increases the bioactivity of fermented plant materials by breaking down or converting unwanted substrates into compatible products. Fermentation significantly increases the content of phenols and anthocyanins, resulting in fermented products with stronger antioxidant activity compared to non-fermented plants [17]. Bacteria and fungi have great potential to produce antioxidants through the enzymatic hydrolysis of phenolic glycosides to free polyphenols [18]. Fermented plant extracts are obtained by the fermentation of plant raw materials in the presence of appropriate microorganisms (mainly bacteria and fungi). Microorganisms decompose plant components contained in plant materials, increasing the biological activity of the substrate by converting high-molecular compounds into low-molecular structures, resulting in increased compatibility of fermented raw materials compared to non-fermented raw materials [18]. The structural breakdown of the cell walls of plant raw materials and the hydrolysis activity of microorganisms during the fermentation carried out affect the increase in the content of polyphenols, flavonoids, organic acids, proteins, ceramides, amino acids, biological enzymes, and antioxidants in the fermentation medium [19]. As a result, the product obtained after the fermentation of plant raw materials shows increased biological efficacy and bioavailability with reduced cytotoxicity [18]. Fermentation of plant extracts (blueberry fruit in the presence of the lactic acid bacteria Lactobacillus plantarum and Lactobacillus fermentum and black tea with kombucha) confirms the presence of phenolic compounds in the fermentation medium [20]. The fermentation medium with kombucha yerba mate extract showed that polyphenols such as chlorogenic acid and caffeoyl derivatives, as well as flavonoids and xanthine, may indicate the biological potential of the fermented plant extract for dermatological applications [21]. Polyphenolic compounds have gained attention due to their possible beneficial implications for human health, such as the treatment and prevention of cancer, cardiovascular disease, mental deterioration associated with aging, and neurodegeneration [18,22]. The fermented plant extract obtained from Magnolia denudata flowers in the presence of Pediococcus acidilactici KCCM 11614 had higher anticancer activity than the unfermented plant extract against human gastric adenocarcinoma (AGS) cells and human colon cancer (LoVo) cells [23]. Plant extracts obtained by fermentation of Rhus verniciflua bark exhibited anticancer activity against the colon cancer cell line HCT-116 and showed the ability to induce apoptosis and inhibit the hedgehog pathway [24]. Dual fermentation of Ophiopogon japonicas extract against Cordyceps militaris, Bifidobacterium longum, Lactobacillus plantarum, and Enterococcus faecium yielded a fermented extract that can prevent cardiovascular disease associated with vascular smooth muscle cell (VSMC) proliferation and migration [25]. Moreover, the fermented plant extract obtained from ginseng in the presence of Aspergillus usamii showed higher anticancer activity against human hepatoma cells (HepG2) and the human colon cancer cell line (DLD-1) compared to the unfermented ginseng extract [22,26].
In our previous study, the extract and bio-ferment were obtained from ground and defatted seeds of spotted thistle Silybum marianum. Their antioxidant activity was evaluated using DPPH, ABTS, and FRAP techniques, while total polyphenol content was measured using the Folin–Ciocalteu method. High antioxidant activity was found for both the extract (0.91 mmol Trolox/L ± 0.2) and the bio-ferment (1.19 mmol Trolox/L ± 0.2), which was evaluated by the DPPH technique. The resulting cosmetic raw materials were incorporated into hydrogel (H) and organogel (O) vehicles to obtain cosmetic formulations with antioxidant activity. We then evaluated the in vitro permeation through porcine skin of the main components contained in the obtained cosmetic raw materials, such as silibinin and taxifolin, which are part of the silymarin complex. For comparison, we also used pure silymarin (S). Of the formulations tested, H-S showed the most significant penetration of taxifolin, with a cumulative permeation of 87.739 ± 7.457 μg/cm2. Finally, biodegradation tests of prepared formulations containing cosmetic raw materials and silymarin were also conducted. Tests on the effect of cosmetic formulations on aerobic biodegradation showed a good level of degradation of the prepared formulations, some of which (O-B and O-S) were classified as readily degradable (OECD) [14].
For this article, we focused on identifying polyphenolic compounds and lactic acid contained in the obtained bio-ferments. Phenolic acids, as antioxidants, can mitigate the harmful effects of UV radiation and oxidative stress [27]. These compounds can act as antioxidants by scavenging free radicals and inhibiting the production of reactive oxygen species. In addition, they participate in many metabolic processes and pathways in the body [28]. As a result, they are increasingly used in cosmetic preparations with photoprotective and anti-aging effects. While there are a few current studies of the antioxidant activity of bio-ferments in the literature, most of them only concentrate on the analysis of compounds contained in fermented plant raw materials. This study offers a comprehensive analysis of the active compounds in bio-ferments, which may be achieved through the fermentation of seeds, extract, oil, and pomace (waste after oil pressing). It emphasizes the added advantage of a circular economy. This also affects technical and environmental factors, such as lowering carbon footprints, using plant biomass wastes, and developing new raw material extraction technologies.

2. Materials and Methods

2.1. Materials

The research plant material consisting of milk thistle seeds was purchased from Slodkie Zdrowie (Bialystok, Poland).
DPPH (2,2-diphenyl-1-picrylhydrazyl), TPTZ (2,4,6-tripyridyl-s-triazine), Trolox (6-hydroxy-2,5,7,8-tetramethylchroman-2carboxylic acid, Tx), a medium for lactic acid bacteria (CM039), and synthetic membrane Strat-M® were acquired from Sigma Aldrich (Sigma-Aldrich Merck Group, St. Louis, MO, USA). Folin–Ciocalteu phenol reagent, iron (II) sulfate heptahydrate, iron II sulfate VI, ferrozine, iron (III) chloride, gallic acid (99%), protocatechuic acid (99%), caffeic acid (99%), neochlorogenic acid (99%), and coumaric acid (99%) were obtained from Merck (Darmstadt, Germany).
Neocuproine was obtained from J&K Scientific (Marbach, Germany). Acetic acid (99.5%), methanol, ethanol (96%), phosphate-buffered saline PBS (pH 7.00 ± 0.05 and 7.40 ± 0.05), potassium hydroxide, dipotassium hydrogen phosphate, sodium phosphate dibasic dihydrate, ammonium chloride, magnesium (II) sulfate heptahydrate, calcium chloride dihydrate, standard sodium hydroxide solution (0.1 N), barium hydroxide, orthophosphoric acid, and iron (III) chloride hexahydrate were obtained from Chempur (Piekary Śląskie, Poland). Supelco (Bellefonte, PA, USA) provided formic acid for HPLC (98–100% LiChropurTM, Merck (Darmstadt, Germany)), whereas acetonitrile (J.T. Baker, Radnor, PA, USA) for HPLC was provided by Avantor Performance Materials Poland S.A. (Gliwice, Poland).
A medium for lactic acid bacteria (CM0359) was purchased from OXOID (Basingstoke, UK) (M.R.S. BROTH, Rogosa, Sharpe). Strains of lactic acid bacteria (L. salivarius LY_0652; L. reuteri MI_0168; L. acidophilus MI-0078; L. brevis LY_1120; L. plantarum MI-0102; L. rhamnosus MI-0272; and L. rhamnosus LY-0457) were obtained from Probiotical (Novara, Italy). Lipase AY30 was acquired from Thermo Scientific (Białystok, Poland), whereas the BIO cane molasses (NatVita) was purchased from Mirków, Poland. Sodium dodecyl sulfate (SDS; Sigma-Aldrich, St. Louis, MO, USA, 99.0%) is commonly employed in biodegradation studies as a reference standard and a positive control [29,30].
All reagents were of analytical grade.

2.2. Extract Preparation

The extraction of milk thistle was carried out using an ultrasonic method. First, 22.5 g of spotted thistle seeds were introduced into a conical flask, and then 300 mL of distilled water was added. After that, the extraction was carried out with the use of an ultrasound bath at a frequency of 40 kHz (for 1 h at 60 °C), and then the extract (E) obtained was subjected to filtration on a pressure funnel through a Whatman paper filter (codified EEA03). The obtained extract was used to prepare bio-ferment (B-E) and was a substitute for distilled water.

2.3. Oil Preparation

A Camry Premium Oil Press Cr 4001 (Adler Europe Group, München, Germany) was used to obtain oil from the milk thistle seeds. The oil was centrifuged in a centrifuge (5 min, 166 Hz, 10,000× g). The obtained oil was used to prepare bio-ferment (B-O). Moreover, the residue (pomace) was also used to prepare bio-ferment (W-O).

2.4. Preparations of Bio-Ferment

Four new bio-ferments (B-P, B-E, B-O, and B-S) were derived from milk thistle by fermentation of 22.5 g of pomace (P), extract (E), 22.5 g of cold-pressed oil (O), and 22.5 g of seeds (S). In our research, as a raw material for lactic acid production, we used molasses, a sugar industry waste product. The total content of 6-carbon sugars (Brix) in the certified molasses was determined using a refractometer method (KRUSS Optronic DR301-95, A. Kruss Optronic GmbH). The fermentation of milk thistle pomace (P), extract (E), cold-pressed oil (O), and seeds (S) was carried out using 7 individual strains of lactic acid bacteria: 1. L. reuteri MI_0168, 2. L. salivarius LY_0652, 3. L. brevis LY_1120, 4. L. acidophilus MI-0078, 5. L. rhamnosus MI-0272, 6. L. plantarum MI-0102, and 7. L. rhamnosus LY-0457. In addition, fermentation of spotted thistle P, E, O, and S was also carried out using a mixture of the listed lactic acid bacterial strains. The preparation of the inoculum (in the amount of 10 mL) was performed by a previously used procedure [14]. The following raw materials were introduced into a 500 mL conical flask: molasses (in the amount of 18.00 g), distilled water (in the amount of 300.00 g), mineral salts such as (NH4)2SO4 (in the amount of 2 g), CaCl2 (in the amount of 1 g), and KH2PO4 (in the amount of 1 g), the P, O, and S of milk thistle (in the amount of 22.5 g), and inoculum (in the amount of 10 mL). When fermentation of E was carried out (to obtain bio-ferment B-E), the previously obtained extract (according to the procedure described in Section 2.2 “Extract Preparation”) was used as a substitute for distilled water. The contents of the flask were agitated until the raw ingredients added were wholly dissolved; subsequently, the fermentation process commenced (at a temperature of 37.5 °C) for an appropriate time. During the fermentation process, daily samples were collected and examined for lactic acid content (whose concentration was determined by GC-MS) and polyphenols (whose levels were determined by the spectrophotometric method using the Folin–Ciocalteu technique). The fermentation was carried out until the maximum level of lactic acid was reached.
Finally, fermentations were completed on the 14th day, and two independent experiments were performed. After the process was completed, lipase was added to hydrolyze the bacterial cell walls. The obtained bio-ferments (B-P, B-E, B-O, and B-S) were subjected to 3-stage filtration: 1. initially, the bio-ferment underwent filtration using a glass funnel; 2. subsequently, the bio-ferment underwent centrifugation using a centrifuge (5 min, 166 Hz, 10,000× g); and 3. ultimately, the bio-ferment that had undergone extra filtration and centrifugation was further filtered using sterile syringe filters with a pore size of 0.45 µm (intended for sterilizing filtration of aqueous solutions). In this way, the bio-ferments were free of microorganisms. The amount of bio-ferments obtained and filtered was approximately 100–110 mL. The bio-ferments were kept in a freezer at a temperature of −15 °C (Figure S1).

2.5. Antimicrobial Activity

The bio-ferments were tested against Staphylococcus aureus ATCC6538, Escherichia coli ATCC25922, and Pseudomonas aeruginosa ATCC27853 using a modified broth microdilution method based on the Clinical and Laboratory Standards Institute (CLSI) guidelines [31]. Two-fold dilutions in Mueller–Hinton broth (MHB, Sigma-Aldrich, Darmstadt, Germany) were prepared, starting with a well containing 200 µL of the tested bio-ferment. Next, 2-fold dilutions of the starting solution were prepared in MHB. The final concentration of bacterial cells was 106 CFU/mL. All tests were carried out in triplicate. The results, expressed in μL/mL, were determined using known densities of the bio-ferments.

2.6. Total Polyphenols Content and Antioxidant Activity

2.6.1. Total Polyphenol Content (TPC)

The Folin–Ciocalteu modified method was employed to determine the total polyphenols content of bio-ferments [32]. These studies used the Thermo Scientific GENESYS 50 instrument (Waltham, MA, USA) at the wavelength λ = 750 nm. Gallic acid (GA) was used as a reference substance.
The total polyphenol content of the bio-ferments (B-P, B-E, B-O, and B-S) was quantified in the following manner: 2000 µL of Folin–Ciocalteu reagent, 100 µL of bio-ferment, and 1000 µL of aqueous Na2CO3 (saturated solution) were introduced into volumetric 10 mL flasks. The contents of the flasks were made up to the mark with distilled water, the flasks were closed tightly with a stopper, and they were incubated at an ambient temperature for 15 min, after which the absorbance of the test solutions was measured using a spectrophotometer at a wavelength of λ = 750 nm. Blank samples of the absent bio-ferment were prepared in the same way, using distilled water in an amount of 100 µL. Three independent experiments were performed. TPC was expressed as mg GA/L of the bio-ferment, based on the resulting calibration curve of gallic acid y = 0.0075x, R2 = 0.997, with concentration range 0–100 mg GA.

2.6.2. DPPH Method

The DPPH technique was employed to assess the antioxidant capability of the acquired bio-ferments (B-P, B-E, B-O, and B-S) [32]. These studies were conducted using the Thermo Scientific GENESYS 50 instrument at the wavelength λ = 517 nm. Trolox (Tx) was used as a reference substance.
The antioxidant activity of the obtained bio-ferments (B-P, B-E, B-O, and B-S) was measured as follows: 2850 µL ethanolic solution of the DPPH radical (concentration of 0.3 mmol/L), with absorbance about 1.000 ± 0.020 (at λ = 517 nm), was placed in the tube, and 150 µL of bio-ferment was added. Blank samples without bio-ferment were prepared the same way, using distilled water (150 µL). The tubes were enveloped in aluminum foil, sealed with a stopper, and then incubated for 10 min at ambient temperature. Three independent experiments were performed. The antioxidant activity was expressed in mmol Tx/L bio-ferment, based on the obtained calibration curve y = −1.2463x + 1.0546, R2 = 0.999, with concentration range 0–20 mmol Tx.

2.6.3. ABTS Method

The ABTS technique assessed the antioxidant capability of the bio-ferments obtained (B-P, B-E, B-O, and B-S) [32]. These studies were conducted using the Thermo Scientific GENESYS 50 instrument at the wavelength λ = 734 nm. Trolox (Tx) was used as a reference substance.
The antioxidant activity of the bio-ferments (B-P, B-E, B-O, and B-S) was determined using the following method: 2500 µL solution of the ABTS (absorbance about 1.000 ± 0.020 at λ = 734 nm) was placed in the tube, and 25 µL of bio-ferment was added. Blank samples without bio-ferment were prepared the same way, using distilled water (25 µL). The tubes were enveloped in aluminum foil and sealed with a stopper, followed by incubation at room temperature for 6 min. Three independent experiments were performed. The antioxidant activity was expressed as mmol Tx/L of bio-ferment based on the resulting calibration curve y = −1.2718x + 0.9924, R2 = 0.999, with concentration range 0–50 mmol Tx.

2.6.4. FRAP Method

The FRAP technique assessed the antioxidant activity of the bio-ferments obtained (B-P, B-E, B-O, and B-S) [33]. These studies used the Thermo Scientific GENESYS 50 instrument at the wavelength λ = 593 nm. Iron II sulfate VI (FeSO4) was used as a reference substance.
To prepare the reagent, 25 mL of sodium acetate buffer (3 M solution, pH = 3.6) was mixed with 2500 µL of 2,4,6-tripyridyl-s-triazine solution (0.01 M solution TPTZ) in HCl (0.04 M solution HCl) and with 2500 µL of iron (III) chloride (0.02 M solution). The antioxidant activity of the bio-ferments (B-P, B-E, B-O, and B-S) was measured in the following manner: 2900 µL solution of the TPTZ, with absorbance about 1.000 ± 0.020 at λ = 593 nm, was placed in the tube, and 100 µL of bio-ferment was added. Blank samples without bio-ferment were prepared in the same way, using distilled water in an amount of 100 µL. The tubes were enveloped in aluminum foil and sealed with a stopper; thereafter, they were subjected to incubation for 15 min at ambient temperature. Three independent experiments were performed. The antioxidant activity was expressed as mmol FeSO4/L of bio-ferment, based on the resulting calibration curve y = 0.6747x + 0.0218, R2 = 0.998, with concentration range 0–50 mmol FeSO4.

2.6.5. Reducing Fe3+

First, a calibration curve of Fe2+ ions was prepared using aqueous VI iron II sulfate (FeSO4) solutions. For this purpose, the following were introduced into 100 mL volumetric flasks: appropriate amounts of FeSO4 (so that the resulting concentrations of Fe2+ ions were in the range of 0.5 to 5 mg/L) and 1 mg of ascorbic acid, in order to reduce any Fe3+ ions present in the test sample. The contents of the flasks were filled with distilled water to the mark, and the flasks were closed tightly with a stopper and stirred to obtain homogeneous solutions.
In the next stage of the test, 1000 µL of aqueous FeSO4 solution with ascorbic acid and 1000 µL of aqueous ferrozine solution (with a concentration of 1 g/L) were introduced into glass test tubes. The tubes were closed tightly with a stopper and incubated at room temperature for 10 min. Then, the absorbance of the test solutions was measured using a spectrophotometer at a wavelength of λ = 562 nm. Spectrophotometric analyses were carried out in triplicate using a Thermo Scientific GENESYS 50 instrument, obtaining a calibration curve for Fe2+ ions (y = 0.4888x + 0.0064; R2 = 0.999), with concentration range 0–100 mmol Fe3+.
Assessment of the ability to reduce iron III ions to iron II by the ferrozine method was carried out as follows: 1000 µL of aqueous FeCl3 solution (with a Fe3+ concentration of 0.5 g/L), 1 µL of bio-ferment, and 1000 µL of aqueous ferrozine solution (with a concentration of 1 g/L) were introduced into glass tubes. The tubes were closed tightly with a stopper and incubated at room temperature for 10 min, and then the absorbance of the test solutions (λ = 562 nm) was measured using a spectrophotometer. First, the instrument was zeroed using 1000 µL of aqueous FeCl3 solution, 1 µL of distilled water, and 1000 µL of aqueous ferrozine solution as a reference.
The ability to reduce Fe3+ to Fe2+ was calculated according to the following formula:
R A = C F e 2 + b . s .   C F e 2 + t . s .   ·   V s V b  
where:
RA—reducing activity for Fe3+ [mmol Fe3+/L];
CFe2+b.s.—concentration of Fe2+ ions in the blank sample [mmol/L];
CFe2+t.s.—concentration of Fe2+ ions in the tested sample [mmol/L];
Vs—total volume of solution introduced into the tubes [L];
Vb—volume of bio-ferment introduced into the tubes [L].

2.6.6. Reducing Cu2+

The ability to reduce copper II ions was evaluated according to the method described by Roman et al. [34]. The analyses were performed on the Thermo Scientific GENESYS 50 apparatus at the wavelength λ = 450 nm. The ability to reduce copper II ions was measured as follows: 1000 μL of 0.01 M aqueous CuCl2 solution, 1000 μL of 7.5 mM neocuproine solution in 96% ethanol, 1000 μL of 1 M acetate buffer (pH 7), 600 μL of distilled water, and 500 μL of the corresponding bio-ferment were introduced into a test tube. The tubes were wrapped in aluminum foil, sealed with a stopper, and incubated for 30 min at room temperature, and then the absorbance was measured at 450 nm. Blank samples without bio-ferment were prepared the same way, using distilled water (500 μL). Three independent experiments were performed. The result was expressed as mmol Tx/L of bio-ferment, based on the resulting calibration curve y = 0.30961x + 1.2004, R2 = 0.996.

2.6.7. Chelating Activity Fe2+

The chelating ability for Fe2+ was assessed using a ferrozine technique [35]. The metal ion chelation process significantly prevents reactive oxygen species formation [36]. A calibration curve was prepared by utilizing aqueous solutions of FeSO4 to measure Fe2+ ions. First, an initial FeSO4 solution with a Fe2+ concentration of 0.53 mmol/L was prepared. Next, a ferrozine initial solution (concentration of 3.2 mmol/L) was prepared. Then, 1000 µL of the initial FeSO4 solution (final Fe concentrations of 3, 1.2, 0.6, and 0.3 mg/L) and 1000 µL of ferrozine were introduced into 10, 25, 50, and 100 mL volumetric flasks. The flasks were filled with distilled water, sealed snugly with a stopper, and then kept at room temperature for 10 min. The absorbance of the test solutions was measured (using the Thermo Scientific GENESYS 50 apparatus at the wavelength λ = 562 nm), obtaining a calibration curve for Fe2+ ions y = 0.4888x + 0.0064, R2 = 0.999.
In the next stage, 1000 µL of the initial FeSO4 solution, 100 µL of bio-ferment, and 1000 µL of ferrozine were introduced into 10 mL volumetric flasks. The flasks were filled with distilled water, sealed snugly with a stopper, and incubated at room temperature for 10 min. Then, the absorbance of the solutions was measured using a spectrophotometer at a wavelength of λ = 562 nm. Three separate tests were conducted.
The assessment of the chelating activity for Fe2+ ions was computed using the following formula:
C h A = C F e 2 + b . s .   C F e 2 + t . s .   ·   V s V b
where:
ChA—chelating activity for Fe2+ [mmol Fe2+/L];
CFe2+b.s.—concentration of Fe2+ ions in the blank sample [mmol/L];
CFe2+t.s.—concentration of Fe2+ ions in the tested sample [mmol/L];
Vs—total volume of solution introduced into volumetric flasks [L];
Vb—volume of bio-ferment introduced into volumetric flasks [L].

2.6.8. Acidity

Acidity testing [14] of appropriate bio-ferments (B-P, B-E, B-O, and B-S) was carried out by titration with a standard sodium hydroxide solution and phenolphthalein as an indicator. In a ground conical flask, 10 mL of distilled water, 2 mL of the corresponding bio-ferments (B-P, B-E, B-O, and B-S), and 3 drops of an ethanolic solution of phenolphthalein were introduced. The flask was closed with a stopper, and its contents were mixed and then titrated with NaOH solution until the solution turned slightly pink. Blank analyses were performed in parallel.
The acidity (A) of the tested bio-ferments was determined as the number of sodium hydroxides that are required to neutralize the test sample with the equivalent of carboxyl groups according to the following equation:
A = V V 0 · N V b
where:
A—acidity [mmol COOH/L];
V—volume of NaOH solution [L];
V0—volume of NaOH solution used for titration of the blank [L];
Vb—volume of NaOH solution used for titration of the sample of bio-ferment [L];
N—normality of the NaOH solution used for the titration [0.1 N].

2.7. HPLC Analysis

The concentration of gallic acid, protocatechuic acid, caffeic acid, neochlorogenic acid, and coumaric acid in the bio-ferments (B-P, B-E, B-O, and B-S) was determined by high-performance liquid chromatography (HPLC-UV) using the HPLC system from Knauer, Berlin, Germany. The tested components were separated on a 125 mm × 4 mm C18 column containing Eurospher 100, particle size 5 μm. The mobile phase consisted of 1% acetic acid and MeOH (93:7 by vol.), flow rate was 1 mL/min, and 20 µL of the sample was injected into the column. Individual peaks were identified based on reference substances.
The correlation coefficient of the calibration curve was 0.9999, including the concentration range of each metabolite: gallic acid (y = 300074x − 1.1923, RT = 6.455 min); protocatechuic acid (y = 20740x − 0.5806, RT = 14.525 min); caffeic acid (y = 20466x − 0.0212, RT = 16.673 min); neochlorogenic acid (y = 31388x + 0.2252, RT = 21.027 min); and coumaric acid (y = 39902x − 2.2879, RT = 28.209 min). All samples were analyzed three times. Results are presented as the mean ± standard deviation (SD).

2.8. GC-MS Analysis

The gas chromatography-mass spectrometry (GC-MS) analysis was performed using a Shimadzu GCMS-QP2020 NX with a Shimadzu SH-I-5MS column (30 m × 0.25 mm × 0.25 μm) (Shimadzu, Kyoto, Japan). The column temperature was kept at 40 °C for 2 min and programmed to 280 °C at a rate of 15 °C/min. The flow rate of helium as a carrier gas was 35 cm/s (1 µL/min). MS was performed at 70 eV, using split 10. The total analysis time was 17 min, while the sample volume was 1 µL. Identification of lactic acid which formed during the fermentation process was made by comparison of mass spectra located in the spectra library (NIST2020) with the LA benchmark used. Lactic acid concentration in bio-ferments was calculated based on the obtained calibration curve: CLA = (1.518 × SLA + 1568)/SO (including concentration range of lactic acid 0–350 mmol LA), R2 = 0.9971, using the internal standard method (octane), where A—slope, B—intercept, CLA—lactic acid concentration [%], and SLA and SO—lactic acid and octane peak areas. All samples were analyzed three times. Results are presented as the mean ± standard deviation (SD).

2.9. Wettability

To study the effect of bio-ferments (B-P, B-E, B-O, and B-S) on wettability, the Drop Shape Analyzer, Kruss 165 DSA100 (Filderstadt, Germany), was used. One drop of bio-ferment (4 µL) was placed on the STRAT-M® membrane (Sigma-Aldrich, Darmstadt, Germany) (which is a substitute for human skin) [37]. The contact angle using the sessile drop method was measured using DSA4 software. The contact angle analysis was performed 5 s after placing the drop on the membrane. Measurements were made on the surface of the membrane (with a layer thickness of 320 µm) from ten different places, and the results were averaged (c.a.av.).

2.10. Elemental Analysis

The CHNS elemental analysis was conducted using a Thermo ScientificTM FLASH 2000 CHNS/O Analyzer (Waltham, MA, USA). Bio-ferments were weighed in tin crucibles (2.4–2.8 mg) with an accuracy of 0.000001 g. The device was calibrated using L-methionine, L-cysteine, sulfanilamide, and 2,5-(Bis(5-tert-butyl-2-benzoxazol-2-yl) thiophene (BBOT) as standards [14].

2.11. Biodegradation Studies

Analysis of the bio-ferments’ biodegradation was performed following a previously used procedure based on the general method for determining aerobic biodegradation potential in a mineral medium by carbon dioxide production as recommended by the OECD (Organisation for Economic Co-operation and Development). Moreover, the experimental conditions used (carbon content and inoculum volume) were chosen according to the OECD guidelines. The samples of active sludge were taken from the aeration chamber of the Pomorzany sewage treatment plant in Szczecin, Poland. A microbiological test (Schulke Mikrocount Duo) was used to measure the concentration of active sludge suspensions to calculate the total number of microorganisms (CFU/1 mL of active sludge). A microbiological test containing medium and TTC agar with Tergitol-7 was submerged in active sludge for 10 s. The number of bacteria was determined by comparing the test’s appearance to that of a standard test after 96 h at room temperature (Figure S2) [26].
The system for measuring CO2 produced by microorganisms during the 28-day process was described in the last study [14]—Figure S3. The only sources of carbon and energy were bio-ferments (B-P, B-E, B-O, and B-S) and reference compounds (SDS) in 40 mg/L organic carbon concentrations. The starting concentrations for the obtained bio-ferments and reference compound were as follows: B-P = 83.30 mg/L, B-E = 80.22 mg/L, B-O = 84.53 mg/L, B-S = 79.62 mg/L, and SDS = 81.48 mg/L.
Two tests were conducted independently (in two measuring vessels). The amount of produced CO2 was determined using a total organic carbon analysis (TOC-LCSH/CSN, Shimadzu Corporation, Kyoto, Japan). Utilizing the calibration curve y = 4.1187x + 7.1718, R2 = 0.999, the inorganic carbon (IC) content in the test specimens was determined. The biodegradation degree of the test bio-ferments was determined according to the following formula [14]:
% B = C I C i · V 0 + i = 1 n C I C i + 1 + C I C i · V 0 i · V p · R m · U · 100 %
where:
%B—degree of biodegradation;
CIC—concentration of inorganic carbon in the test vessel 1.4, obtained by TOC analysis of the test sample corrected by blank (mg/L);
R—dilution of the sample collected from the test vessel 1.4 (2.5);
V0—initial volume of NaOH solution in the test vessel 1.4 (0.25 L);
i—sample number;
Vp—volume of sample taken from the test vessel 1.4 (0.01 L);
m—mass of test bio-ferment injected into the test vessel 1.3 (mg);
U—the proportion of carbon in the test bio-ferment introduced into the test vessel 1.3 (-).

2.12. Statistical Analysis

The statistical computations were performed using the Statistica 13 PL software (StatSoft, Kraków, Poland). The ultimate data are shown as the average standard deviation (±SD). A one-way analysis of variance (ANOVA) was performed. The Tukey’s test (with a significance level of α < 0.05) was employed to assess the significance of variations across distinct groups in the findings obtained from the biodegradation experiments and antioxidant activity investigations.

3. Results

3.1. Antimicrobial Activity

The quantitative results, expressed as minimum inhibitory concentrations, are detailed in Table 1, which presents the results for the antimicrobial activity of bio-ferments from pomace (B-P), extract (B-E), oil (B-O), and seeds (B-S) of milk thistle.
The bio-ferments B-P and B-S exhibited the most robust antimicrobial properties, consistently demonstrating effectiveness across all tested strains. In contrast, the B-E and B-O bio-ferments did not display significant antimicrobial activity—Table 1.

3.2. Antioxidant Activity and Total Polyphenols Content

Table 2 presents the results for the antioxidant activity and total polyphenols content of bio-ferments from pomace (B-P), extract (B-E), oil (B-O), and seeds (B-S) of milk thistle.
Table 2 shows the antioxidant activity (DPPH, ABTS, and FRAP methods) and total polyphenols content (the Folin–Ciocalteu method) of the bio-ferments. The highest degree of DPPH radical scavenging was shown by the bio-ferment from pomace (B-P) of milk thistle at 3.21 ± 0.01 mmol Tx/L. The DPPH radical scavenging rate of bio-ferments from extract (B-E), oil (B-O), and seeds (B-S) of milk thistle was, respectively, 3.01 ± 0.01 mmol Tx/L, 3.53 ± 0.01 mmol Tx/L, and 2.41 ± 0.01 mmol Tx/L. The test results, presented in Table 2, show that all bio-ferments were characterized by antioxidant activity as evaluated with ABTS and FRAP. The bio-ferment from pomace (B-P) showed the highest antioxidant activity: 22.43 ± 2.01 mmol Tx/L (ABTS method) and 16.68 ± 2.50 mmol FeSO4/L (FRAP method). The other bio-ferments (B-E, B-O, and B-S) had lower activity as assessed by ABTS and FRAP techniques. At the same time, the total polyphenol content assessed by the Folin–Ciocalteu method for all the bio-ferments tested was high, amounting to 2546.69 ± 0.09 mg GA/L (for B-P), 2439.52 ± 0.11 mg GA/L (for B-E), 2599.43 ± 0.12 mg GA/L (for B-O), and 2306.82 ± 0.10 mg GA/L (for B-S)—Table 2 and Table S1.
Table 3 shows the results of chelating Fe2+ and the reducing activity for Cu2+ (CUPRAC method) and Fe3+, as well as the acidity of bio-ferments from pomace (B-P), extract (B-E), oil (B-O), and seeds (B-S) of milk thistle.

3.3. Chelating and Reducing Activity, and Acidity

Chelating activity tests in the ferrozine assay showed that the bio-ferment from pomace (B-P) had the highest ability to chelate Fe2+ ions (0.17 ± 0.01 mmol Fe2+/L). For the other bio-ferments, a slightly lower ability to chelate iron ions was observed. In addition, the reduction ability of copper II ions and iron III ions by the bio-ferments can be ranked as follows: B-P (12.82 ± 0.18 mmol Tx/L and 40.02 ± 0.19 mmol Fe3+/L) > B-E (10.35 ± 0.16 mmol Tx/L and 27.39 ± 0.23 mmol Fe3+/L) > B-O (11.12 ± 0.37 mmol Tx/L and 31.67 ± 0.17 mmol Fe3+/L) > B-S (7.94 ± 0.32 mmol Tx/L and 25.57 ± 0.21 mmol Fe3+/L). On the other hand, the acidity of the tested bio-ferments was 360 ± 5 mmol COOH/L (in the case of B-P), 410 ± 5 mmol COOH/L (in the case of B-E), 310 ± 5 mmol COOH/L (in the case of B-O), and 420 ± 5 mmol COOH/L (in the case of B-S)—Table 3.

3.4. HPLC Analysis

Table 4 shows the content of selected phenolic acids in the analyzed bio-ferments; Figure S4 shows an example chromatogram of a bio-ferment.
The bio-ferment from pomace (B-P) of milk thistle had the highest significant content of phenolic acids. This bio-ferment contained the highest amounts of gallic acid (44.25 ± 3.29 mg/L) and caffeic acid (41.42 ± 2.81 mg/L). The bio-ferment from seeds (B-S) was also characterized by a high gallic acid content (34.26 ± 2.01 mg/L), which differed significantly from the B-E and B-O bio-ferments. However, the contents of caffeic acid in the cases of B-E, B-O, and B-S were at comparable levels and ranged from 15.98 ± 0.83 mg/L for B-S to 23.29 ± 1.34 mg/L for B-O. The contents of protocatechuic and of neochlorogenic acids were also statistically higher in B-P and amounted to 16.44 ± 2.46 mg/L and 7.12 ± 1.25 mg/L, respectively. It was also observed that B-O does not contain coumaric acid, while all other bio-ferments contain it in amounts ranging from 7.15 ± 0.20 mg/L for B-E to 10.97 ± 0.62 mg/L for B-P (Table 4 and Table S2).

3.5. GC-MS Analysis

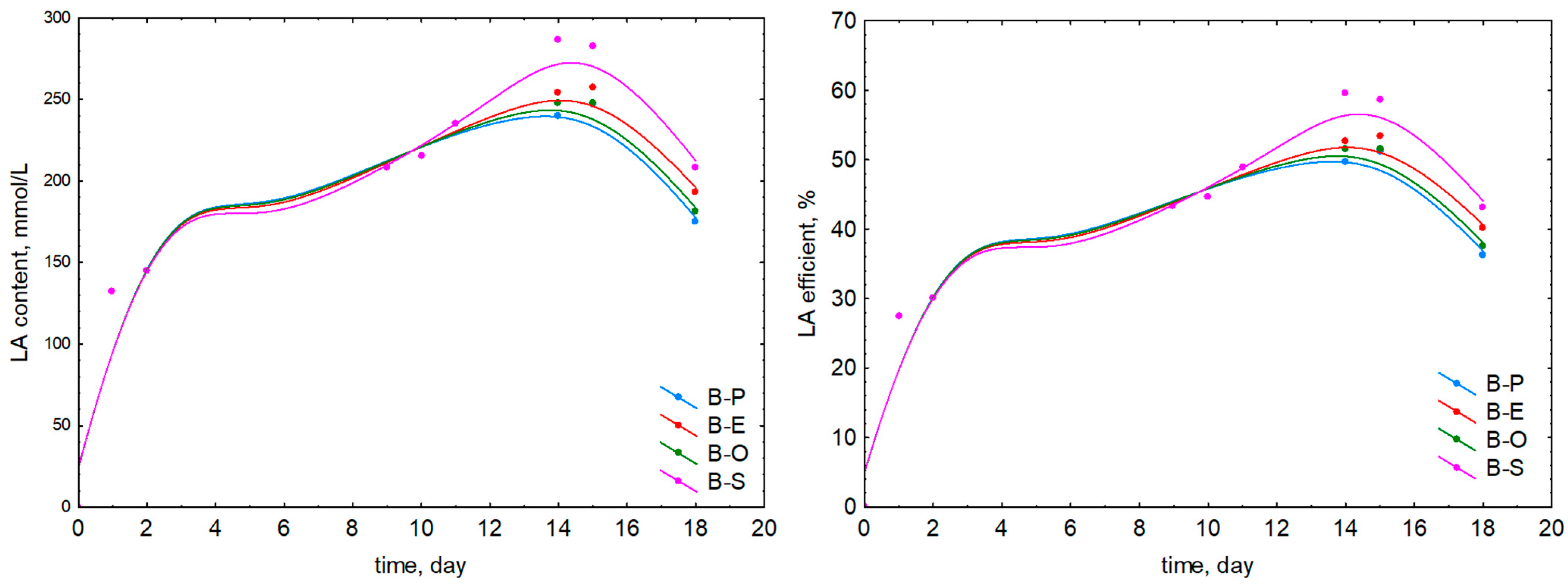
Figure 1 shows the lactic acid content and efficiency in bio-ferments from pomace (B-P), extract (B-E), oil (B-O), and seeds (B-S) of milk thistle.
Based on the results obtained by GC-MS, it was found that the highest lactic acid efficiency was obtained on the 14th day of conducting the fermentation of pomace (B-P: LA efficiency = 50%), extract (B-E: LA efficiency = 53%), oil (B-O: LA efficiency = 51%), and seeds (B-S: LA efficiency = 59%) of milk thistle. During the process, a gradual increase in lactic acid content was observed (i.e., by the 14th day of conducting the fermentation): B-P: LA content 0–240 mmol LA/L; B-E: LA content 0–254 mmol LA/L; B-O: LA content 0–248 mmol LA/L; and B-S: LA content 0–287 mmol LA/L—Figure 1 and Figure S5.

3.6. Elemental Analysis

Before starting the biodegradation experiments, the organic carbon (C) content was confirmed through elemental analysis. The results for the carbon content of the tested bio-ferments B-P, B-E, B-O, B-S, and reference compound were, respectively, 48.02%, 49.86%, 47.32%, 50.24%, and 49.09%.

3.7. Biodegradation Studies

Table 5 shows the biodegradation of the tested bio-ferments B-P, B-E, B-O, B-S, and SDS by bacterial cultures.
After 28 days, the highest percentages of biodegradation were 60% ± 1 (B-O), 61% ± 2 (B-P), 62% ± 3 (B-E), 65% ± 3 (B-S), and 85% ± 3 (sodium dodecyl sulfate), which classify these bio-ferments and the reference compound as readily degradable. This suggests that bio-ferments from pomace (B-P), extract (B-E), oil (B-O), and seeds (B-S) of milk thistle containing lactic acid as a product of the main fermentation process are readily biodegradable [38]. The biodegradable LA in these cosmetic preparations likely enhances their susceptibility to microbial degradation. The presence of lactic acid in bio-ferments may make them more appealing to the biodegrading microorganisms, leading to higher degradation rates—Table 5 [39].
The half-life of the bio-ferments’ degradation by bacterial cultures is shown in Table 6.
The half-life of the bio-ferments from pomace (B-P), extract (B-E), oil (B-O), and seeds (B-S) of milk thistle was 23 days. Furthermore, SDS was characterized by a half-life of 13 days—Table 6.
The phases of degradation of the bio-ferments are shown in Table 7.
The bio-ferments from pomace (B-P) and SDS reached 10% degradation after 2 days, and the bio-ferment from seeds (B-S) reached 10% degradation after 4 days, while B-E and B-O took longer than 4 days (5 days), which may be related to the adaptation of microorganisms during the lag phase [29]. The degradation phase of B-P, B-E, and B-N-E is 26 days. In contrast, for B-O and SDS, the degradation phase is the shortest (22 and 24 days)—Table 7.

3.8. Contact Angle

Figure 2 shows photographs of bio-fermented (B-P, B-E, B-O, and B-S) droplets on the surface of the STRAT-M® membrane, which is a substitute for human skin.
All bio-ferments tested were characterized by hydrophilicity (B-P c.a.av. = 66.7° ± 1.5; B-E c.a.av. = 78.5° ± 2.6; B-O c.a.av. = 74.8° ± 3.5; and B-S c.a.av. = 75.4° ± 3.0), which was largely due to the presence of phenolic compounds and lactic acid [33]—Figure 2.

4. Discussion

Recently, there has been a growing interest in exploring safe cosmetic raw materials with antioxidant, anti-aging, and antimicrobial properties. All the bio-ferments obtained from milk thistle showed antimicrobial activity against Staphylococcus aureus, Escherichia coli, and Pseudomonas aeruginosa. Among the bio-ferments, B-P exhibits the most potent antimicrobial properties, with minimum inhibitory concentrations of 250 μL/mL, 125 μL/mL, and 250 μL/mL against Staphylococcus aureus, Escherichia coli, and Pseudomonas aeruginosa, respectively. B-S follows closely with concentrations of 250 μL/mL, 125 μL/mL, and 500 μL/mL against those respective strains. Notably, B-P also demonstrates the highest inhibitory effects against Escherichia coli. In contrast, B-E and B-O show comparatively lower antimicrobial activity, with concentrations of 500 μL/mL and 750 μL/mL (against Staphylococcus aureus), 750 μL/mL and 750 μL/mL (against Escherichia coli), and 750 μL/mL and 750 μL/mL (against Pseudomonas aeruginosa)—Table 1.
Plants are widely used to treat microbial infections. Recently, it has been discovered that plant extracts containing phenolic compounds have the ability to enhance the antibacterial effect of certain antibiotics, reverse antimicrobial resistance, and have a synergistic effect when combined with commonly used chemotherapeutics [40,41]. The antimicrobial potential of extracts obtained from many medicinal plant species has made it possible to evaluate their antimicrobial activity by determining the IC50 parameter [42]. However, the IC50 parameter is not the optimal relevance parameter, and most of the reported data are the minimum inhibitory concentration (MIC) values. Therefore, the antimicrobial activity of the tested extracts was set at the following levels: significant (MIC < 100 µg/mL), moderate (100 < MIC ≤ 625 µg/mL), or weak (MIC > 625 µg/mL) [42].
The mechanisms of action of phenolic compounds contained in plant extracts on the bacterial cell have been attributed in part to damage to the bacterial membrane, inhibition of virulence factors (such as enzymes and toxins), and inhibition of bacterial biofilm formation [43,44]. Numerous reports in the literature have shown that polyphenolic compounds isolated from plants, in combination with commonly used antibiotics, may represent a new strategy against infections caused by multidrug-resistant bacteria (Staphylococcus aureus, Escherichia coli, or Pseudomonas aeruginosa) [44,45,46].
An important aspect of the antibacterial properties of phenolic acids isolated from plant extracts is their interaction with antibiotics [47]. Studying the antibacterial activity of protocatechuic acid ethyl ester (EDHB) and caffeic acid (CA) alone and in antibiotic–phenolic combination against reference and clinical strains of Staphylococcus aureus, it was shown that EDHB exhibited antimicrobial activity against clinical strains of S. aureus (MIC = 64–1024 µg/mL), while CA activity against S. aureus isolates ranged from MIC = 256 µg/mL to MIC = 1024 µg/mL. However, the interaction of caffeic acid with antibiotics (erythromycin, clindamycin, and cefoxitin) increased the antibacterial activity of the antibiotic–phenol combination [44,48].
The initial caffeic acid has been shown to exhibit antimicrobial activity against methicillin-sensitive Staphylococcus aureus (MSSA) and methicillin-resistant Staphylococcus aureus (MRSA) strains, and the mechanism of CA action is related to cell membrane damage and changes in the oxygen metabolism of S. aureus cells [49]. This polyphenolic compound is characterized by strong nucleophilic properties, which enable it to donate electron pairs to electrophilic functional groups of proteins and lipids in the cell membrane, leading to dysfunction of this membrane and inhibiting α-hemolysin secretion by S. aureus. Studies of the antimicrobial activity of CA, EDHB, and catechin hydrate (CH) showed that caffeic acid exhibited stronger antitumor activity than EDHB and CH and a greater synergistic effect with antibiotics than the compounds. The high antimicrobial activity of caffeic acid is due to a propene side chain, which reduces its polarity compared to the hydroxybenzoic structure of protocatechuic acid [50].
The authors of the work [51] evaluated the antibacterial activity of extracts obtained from sugarcane bagasse. The main components of the obtained extracts were phenolic acids, such as gallic acid, ferulic acid, coumaric acid, and chlorogenic acid. The tested extracts were characterized by antibacterial activity against S. aureus strains (MIC = 0.625 mg/mL) [51].
The study of plant extracts’ antibacterial activity has been focused so far. The antibacterial activity of bio-ferments obtained by the fermentation of pomace, extract, cold-pressed oil, and seeds from milk thistles containing polyphenolic compounds, among others, has not been analyzed. Therefore, preliminary studies were carried out in the present study to evaluate the antibacterial activity of new bio-ferments. The presence of phenolic hydroxyl groups in the structure of polyphenols makes them have a high affinity for binding to proteins and lipids in the cell membrane [52]. As a result, phenolic compounds contained in bio-ferments can inhibit microbial enzymes and, at the same time, increase their affinity for cytoplasmic membranes, thus increasing antimicrobial activity against the strains tested. The present study demonstrates that bio-ferments containing polyphenols are a promising source of effective, safe, and inexpensive antimicrobial compounds. The antimicrobial potential of fermented plant materials opens up a wide range of possibilities for new antimicrobial therapies. Because the bio-ferments had higher MIC values than antibiotics, they cannot be used in antimicrobial monotherapy due to their insufficient therapeutic effect. The antimicrobial activity of the tested bio-ferments was established at the following levels: moderate (B-S and B-P) or weak (B-E and B-O). However, implementing combination therapy with antibiotics can improve their pharmacokinetic and pharmacodynamic properties and reduce the dose of antibiotic intake. Studies by other authors have shown that the strain of Staphylococcus aureus was sensitive to most of the drugs used and resistant to doxycycline (MIC = 32 µg/mL) and florfenicol (MIC = 64 µg/mL) [53,54]. Escherichia coli was susceptible to ceftiofur (MIC = 0.125 µg/mL), kanamycin (MIC = 2 µg/mL), colistin sulfate (MIC = 0.125 µg/mL), florfenicol (MIC = 2 µg/mL), and rifampicin (MIC = 4 µg/mL), while resistant to amoxicillin and doxycycline (MIC = 32 µg/MG), acetylisovaleryltylosin tartrate (MIC = 128 µg/mL), sulfadimidine and enrofloxacin (MIC = 16 µg/mL), and lincomycin (MIC = 512 µg/mL) [53,55]. The MIC values of the antibiotics against Pseudomonas aeruginosa ATCC 27853 were within the CLSI accuracy range throughout those studies: ceftazidime (MIC = 1–4 mg/L), tobramycin (MIC = 0.25–16 mg/L), piperacillin (MIC = 4–128 mg/L), ciprofloxacin, and colistin (MIC = 0.25–2 mg/L) [56,57].
The antimicrobial activity of the obtained bio-ferments may be due to the presence of phenolic compounds (Table 2), especially caffeic acid [58] and gallic acid [59]. Polyphenol caffeic acid is a compound found in many species of plants that has proven antimicrobial activity. Caffeic acid is one of the ingredients in cosmetic (dermatological) preparations that enhances the antimicrobial effect of these preparations, even if they do not have a direct antibacterial and antifungal effect [58]. Caffeic acid has significantly been employed as an alternative strategy to combat microbial pathogenesis and chronic infection induced by microbes such as bacteria, fungi, and viruses [60]. Gallic acid (3,4,5-trihydroxybenzoic acid) is a bioactive phytochemical, and its derivatives are often present in cosmetic formulations and can be considered “safe” and “natural” in the context of cosmetic production [61]. Studies have found that gallic acid killed Salmonella strains by permeabilizing the outer membrane by chelating divalent cations, leading to subsequent cell lysis. Gallic acid has been shown to have antimicrobial activity against Escherichia coli, Campylobacter jejuni, and Staphylococcus aureus [62,63].
All the bio-ferments obtained showed high antioxidant activity by the DPPH (from 2.41 ± 0.01 to 3.21 ± 0.01 mmol Tx/L), ABTS (from 6.52 ± 2.06 to 22.43 ± 2.01 mmol Tx/L), and FRAP (from 10.77 ± 0.59 to 16.68 ± 2.50 mmol FeSO4/L) methods, and had a high content of polyphenolic compounds as assessed by the Folin–Ciocalteu method (from 2306.82 ± 0.10 to 2599.43 mg GA/L). However, the bio-ferment derived from milk thistle pomace (B-P) showed the most effective DPPH radical scavenging activity, with a Tx equivalent antioxidant capacity of 3.21 ± 0.01 mmol/L. In addition, B-P showed the most potent antioxidant activity at 22.43 ± 2.01 mmol Tx/L using the ABTS method and 16.68 ± 2.50 mmol FeSO4/L using the FRAP method—Table 2. The bio-ferment from pomace (B-P) exhibited the highest ability to chelate Fe2+ ions in the ferrozine assay and also had the highest ability to reduce Cu2+ and Fe3+ ions. However, O-S bio-ferments had a lower capacity to reduce copper II ions than B-E and B-O (Table 3).
Lactobacillus plantarum (LP), Rhodotorula glutinis (RG), Metschnikowia pulcherrima (MP), Lactobacillus casei (LC), and Rhodotorula glutinis (RG) bacteria were used to ferment mango juice (MJ). Studies have shown that all fermentation cases significantly increased the content of phenolic compounds (od 4.7 mmol GA/L to 7.35 mmol GA/L), DPPH radical scavenging activity (7.5–33%), ABTS radical scavenging activity (7–53%), and copper reducing capacity (7–11 mmol/mL Tx) [34]. Our study revealed almost twice the amount of phenolic compounds (13.56–14.97 mmol GA/L or 2306.82–2599.43 mg GA/L) than the literature reports. The bio-ferment obtained with LC + RG had a lactic acid content of 15.05 g/L. In the case of our study, all bio-ferments obtained had a higher lactic acid content (between 22 and 26 g/L) [34].
The results confirm that the analyzed by-products are a good source of many biological functional substances with a significant content of phenolic compounds [14]. A more than 2-fold increase in activity was observed. The antioxidant capacity of extracts obtained from vegetable oil by-products (flour, meal, and groats) was also confirmed by Multescu et al. [64]. The extracts contain significant amounts of phenolic compounds, ranging from 1.54 to 74.85 mg GA/g byproduct. DPPH values ranged from 7.58 to 7182.53 mg Tx/g byproduct. ABTS test values of the analyzed samples ranged from 0 to 3500.52 mg Tx/g byproduct. The highest values for the FRAP method were represented by grape seed flour (4716.75 mg Tx/g). For the CUPRAC test, grape seed flour (5936.76 mg Tx/g) showed the highest antioxidant activity [64].
In analyses of bio-ferments, the following phenolic acids were identified: gallic acid, protocatechuic acid, caffeic acid, neochlorogenic acid, and coumaric acid, which are characterized by antioxidant, anti-inflammatory, antibacterial, and anticancer properties [65,66,67]. Our study showed that a bio-ferment from pomace had the highest significant content of phenolic acids, which contained the highest amounts of gallic acid (44.25 ± 3.29 mg/L) and caffeine acid (41.42 ± 2.81 mg/L)—Table 4. Data in the literature show that pomace has a rich composition of phenolic compounds and high antioxidant activity. Moreover, using pomace in the fermentation process highlights an additional advantage, that of a closed-loop economy. It also has implications for technical and environmental factors, such as lowering the carbon footprint when using plant biomass waste [65,68,69,70,71].
The acidity of the tested bio-ferments was found to be 360 ± 5 mmol COOH/L for B-P, 410 ± 5 mmol COOH/L for B-E, 310 ± 5 mmol COOH/L for B-O, and 420 ± 5 mmol COOH/L for B-S (Table 3). The acidity of bio-ferments (which is due to the presence of carboxyl groups) is mainly influenced by lactic acid content (Figure 1) and carboxyl derivatives of phenolic compounds (Table 4). The acidity results obtained (Table 1) correlate with the results of lactic acid determination by GC-MS (Figure 1). The GC-MS analysis revealed that the highest lactic acid efficiency was achieved on the 14th day of fermenting milk thistle seeds (B-S: LA efficiency = 59%). The maximum yields of lactic acid were also observed on the 14th day of fermentation for the extract, oil, and pomace, and the yield values of LA were, respectively, B-E (53%), B-O (51%), and B-P (50%). By the 14th day of fermentation, the lactic acid contents were as follows: B-P: 240 mmol LA/L, B-E: 254 mmol LA/L, B-O: 248 mmol LA/L, and B-S: 287 mmol LA/L—as shown in Figure 1. Later, a gradual decrease in LA was observed in the bio-ferments. Lactic acid bacteria are microorganisms of industrial importance, known for their fermentation abilities, mainly for probiotic benefits, as well as lactic acid production. When conducting fermentation, inhibition of LA production often occurs, and a gradual decrease in the growth rate of lactic acid bacteria cells is observed [72]. Therefore, a gradual decrease in lactic acid concentration is observed as the process is prolonged (Figure 1). The inhibition of lactic acid is caused by the ability of the undissociated lactic acid to dissolve in the cytoplasmic membrane, while the dissociated lactate remains insoluble. This leads to acidification of the cytoplasm and the disruption of proton motive forces. This event impacts the pH gradient across the cell membrane and reduces the cellular energy available for growth [72].
The hydrophilicity of all investigated bio-ferments (Figure 2) and distilled water (Figure S6) was determined (B-P c.a.av. = 66.7° ± 1.5; B-E c.a.av. = 78.5° ± 2.6; B-O c.a.av. = 74.8° ± 3.5; B-S c.a.av. = 75.4° ± 3.0; and control sample c.a.av. = 57.8° ± 1.0). This characteristic is mainly attributed to phenolic compounds (TPC) and lactic acid [26]. The higher contact angle possesses higher hydrophilicity for all bio-ferments due to the phenolic acids and lactic acid in these cosmetic raw materials [36]. Thus, these bio-ferments can only be used in lipid bilayers in the aqueous core of liposomes, not in the lipid envelope. Liposomes are spherical vesicles consisting of one or more lipid bilayers arranged concentrically. The core of liposomes is a droplet of water. Wettability studies showed that all bio-ferments are highly hydrophilic and can accumulate in lipid bilayers in the aqueous core of liposomes [33].
Our study showed that all the bio-ferments obtained from S. marianum were classified as readily degradable (Table 5). The biological activity results and the biodegradation findings provide a comprehensive understanding of the tested bio-ferments’ environmental impact and cosmetic (dermatological) efficacy. Tio-ferments demonstrated both high biodegradability and significant antioxidant activity. This suggests that bio-ferments containing active compounds with antioxidant potential may offer effective active substance delivery (with desired antioxidant activity) and beneficial environmental influences.

5. Conclusions

Fermentation of pomace (P), extract (E), oil (O), and seeds (S) of milk thistle in the presence of lactic acid bacteria affected the production of phenolic compounds (Table S1) by enzymatic hydrolysis of phenolic glycosides contained in the plant material to free polyphenols (Figure S7). Bio-ferments from pomace (B-P), extract (B-E), oil (B-O), and seeds (B-S) of milk thistle have high antioxidant and polyphenols content (Table 2) and high reducing activity for Cu2+ and Fe3+ ions (Table 3). All bio-ferments obtained from milk thistle can be used as cosmetic raw materials included in the composition of cosmetic formulations with antimicrobial activity (Table 1) due to the presence of phenolic acids, especially caffeic acid and gallic acid (Table 4). Moreover, the biologic activity of fermented plant raw materials can be used in dermatological and cosmetic products applied to the skin, including those with anti-aging, depigmenting, moisturizing, and regenerating properties.
After assessing the bio-ferments’ biodegradability, all were classified according to the OECD as easily biodegradable (Table 5). Integration of the activity and biodegradability of the obtained cosmetic raw materials allows a comprehensive evaluation of the environmental and cosmetic aspects of bio-ferments. Considering environmental sustainability, this information is crucial for making informed decisions about obtaining biodegradable cosmetic formulations with antioxidant and antimicrobial potential.

Supplementary Materials

The following supporting information can be downloaded at: https://www.mdpi.com/article/10.3390/app14104287/s1, Figure S1. A scheme for obtaining bio-ferments from seeds (B-S), extract (B-E), oil (B-O), and pomace (B-P) of milk thistle; Figure S2. The appearance of the test obtained after immersion of the insert in the active sludge—right; the appearance of the reference test—left; Figure S3. The carbon dioxide measurement method; Figure S4. Representative chromatographs identifying individual phenolic acids in bio-ferments from seeds (B-S), extract (B-E), oil (B-O), and pomace (B-P) of milk thistle: A—gallic acid, RT = 6.455 min; B—protocatechuic acid, RT = 14.525 min; C—caffeic acid, RT = 16.673 min; D—neochlorogenic acid, RT = 21.027 min; and E—coumaric acid, RT = 28.209 min; Figure S5. A representative chromatogram of a bio-ferment containing internal standard (octane RT = 4.73 min) and lactic acid (RT = and 5.92 min); Table S1. Results of the monitoring of the total polyphenols content production of the tested bio-ferments; Table S2. Results of the monitoring of the phenolic compound production of the tested bio-ferments from pomace (B-P), extract (B-E), oil (B-O), and seeds (B-S) of milk thistle; Figure S6. Contact angle (c.a.av.) of the control samples (distilled water): c.a.av. = 57.8° ± 1.0; Figure S7. The structure of identifying individual phenolic acids and lactic acid in bio-ferments from seeds (B-S), extract (B-E), oil (B-O), and pomace (B-P) of milk thistle: A—gallic acid, B—protocatechuic acid, C—caffeic acid, D—neochlorogenic acid, E—coumaric acid, and F—lactic acid.

Author Contributions

Conceptualization, E.K.; methodology, E.K. and A.N.; software, A.N.; formal analysis, E.K., B.G., A.N., A.M.-S., Ł.K., M.S., P.O. and R.P.; investigation, E.K., B.G., A.N., A.M.-S., Ł.K. and R.P.; resources, E.K.; data curation, E.K., B.G., M.S., P.O., A.N., A.M.-S., Ł.K. and R.P.; writing—original draft preparation, E.K.; writing—review and editing, E.K.; visualization, E.K.; supervision, A.B. and J.R.; project administration, E.K.; funding acquisition, E.K. All authors have read and agreed to the published version of the manuscript.

Funding

This research received no external funding.

Institutional Review Board Statement

Not applicable.

Informed Consent Statement

Not applicable.

Data Availability Statement

The original contributions presented in the study are included in the article/Supplementary Material, further inquiries can be directed to the corresponding author.

Acknowledgments

We would like to express our sincere gratitude to the “Pomorzany” Wastewater Treatment Plant in Szczecin for their invaluable collaboration and support in providing wastewater sludge for our research endeavors.

Conflicts of Interest

The authors declare no conflicts of interest.

References

  1. Skowron, K.; Bauza-Kaszewska, J.; Kraszewska, Z.; Wiktorczyk-Kapischke, N.; Grudlewska-Buda, K.; Kwiecińska-Piróg, J.; Wałecka-Zacharska, E.; Radtke, L.; Gospodarek-Komkowska, E. Human Skin Microbiome: Impact of Intrinsic and Extrinsic Factors on Skin Microbiota. Microorganisms 2021, 9, 543. [Google Scholar] [CrossRef] [PubMed]
  2. Pérez-Rivero, C.; López-Gómez, J.P. Unlocking the Potential of Fermentation in Cosmetics: A Review. Fermentation 2023, 9, 463. [Google Scholar] [CrossRef]
  3. Sunder, S.; Bauman, J.S.; Decker, S.J.; Lifton, A.R.; Kumar, A. The Yeast AMP-Activated Protein Kinase Snf1 Phosphorylates the Inositol Polyphosphate Kinase Kcs1. J. Biol. Chem. 2024, 300, 105657. [Google Scholar] [CrossRef] [PubMed]
  4. Ioannou, P.; Ziogou, A.; Giannakodimos, I.; Giannakodimos, A.; Baliou, S.; Samonis, G. Infective Endocarditis by Lactobacillus Species—A Narrative Review. Antibiotics 2024, 13, 53. [Google Scholar] [CrossRef]
  5. Punia Bangar, S.; Suri, S.; Trif, M.; Ozogul, F. Organic Acids Production from Lactic Acid Bacteria: A Preservation Approach. Food Biosci. 2022, 46, 101615. [Google Scholar] [CrossRef]
  6. Fatani, S.A. Substance Use Disorders Management Educational Intervention: Development and Evaluating a Tailored Substance Use Disorder Intervention for Community Pharmacists in Saskatoon. Ph.D. Thesis, The University of Saskatchewan, Saskatoon, SK, Canada, 2021. [Google Scholar]
  7. Stoyanova, L.G.; Ustyugova, E.A.; Netrusov, A.I. Antibacterial Metabolites of Lactic Acid Bacteria: Their Diversity and Properties. Appl. Biochem. Microbiol. 2012, 48, 229–243. [Google Scholar] [CrossRef]
  8. Timothy, B.; Iliyasu, A.H.; Anvikar, A.R. Bacteriocins of Lactic Acid Bacteria and Their Industrial Application. Curr. Top. Lact. Acid Bact. Probiotics 2021, 7, 1–13. [Google Scholar] [CrossRef]
  9. Surai, P.F. Silymarin as a Natural Antioxidant: An Overview of the Current Evidence and Perspectives. Antioxidants 2015, 4, 204–247. [Google Scholar] [CrossRef] [PubMed]
  10. Papaccio, F.; D’Arino, A.; Caputo, S.; Bellei, B. Focus on the Contribution of Oxidative Stress in Skin Aging. Antioxidants 2022, 11, 1121. [Google Scholar] [CrossRef]
  11. de Jager, T.L.; Cockrell, A.E.; Du Plessis, S.S. Ultraviolet Light Induced Generation of Reactive Oxygen Species. In Ultraviolet Light in Human Health, Diseases and Environment; Ahmad, S.I., Ed.; Advances in Experimental Medicine and Biology; Springer International Publishing: Cham, Switzerland, 2017; pp. 15–23. ISBN 978-3-319-56017-5. [Google Scholar]
  12. Sarrafchi, A.; Bahmani, M.; Shirzad, H.; Rafieian-Kopaei, M. Oxidative Stress and Parkinson’s Disease: New Hopes in Treatment with Herbal Antioxidants. Curr. Pharm. Des. 2016, 22, 238–246. [Google Scholar] [CrossRef]
  13. Mecocci, P.; Boccardi, V.; Cecchetti, R.; Bastiani, P.; Scamosci, M.; Ruggiero, C.; Baroni, M. A Long Journey into Aging, Brain Aging, and Alzheimer’s Disease Following the Oxidative Stress Tracks. J. Alzheimer’s Dis. 2018, 62, 1319–1335. [Google Scholar] [CrossRef] [PubMed]
  14. Kucharska, E.; Sarpong, R.; Bobkowska, A.; Ryglewicz, J.; Nowak, A.; Kucharski, Ł.; Muzykiewicz-Szymańska, A.; Duchnik, W.; Pełech, R. Use of Silybum Marianum Extract and Bio-Ferment for Biodegradable Cosmetic Formulations to Enhance Antioxidant Potential and Effect of the Type of Vehicle on the Percutaneous Absorption and Skin Retention of Silybin and Taxifolin. Appl. Sci. 2024, 14, 169. [Google Scholar] [CrossRef]
  15. Majchrzak, W.; Motyl, I.; Śmigielski, K. Biological and Cosmetical Importance of Fermented Raw Materials: An Overview. Molecules 2022, 27, 4845. [Google Scholar] [CrossRef] [PubMed]
  16. Faria, D.J.; de Carvalho, A.P.A.; Conte-Junior, C.A. Valorization of Fermented Food Wastes and Byproducts: Bioactive and Valuable Compounds, Bioproduct Synthesis, and Applications. Fermentation 2023, 9, 920. [Google Scholar] [CrossRef]
  17. Hussain, A.; Bose, S.; Wang, J.-H.; Yadav, M.K.; Mahajan, G.B.; Kim, H. Fermentation, a Feasible Strategy for Enhancing Bioactivity of Herbal Medicines. Food Res. Int. 2016, 81, 1–16. [Google Scholar] [CrossRef]
  18. Herman, A.; Herman, A.P. Biological Activity of Fermented Plant Extracts for Potential Dermal Applications. Pharmaceutics 2023, 15, 2775. [Google Scholar] [CrossRef]
  19. Sharma, R.; Garg, P.; Kumar, P.; Bhatia, S.K.; Kulshrestha, S. Microbial Fermentation and Its Role in Quality Improvement of Fermented Foods. Fermentation 2020, 6, 106. [Google Scholar] [CrossRef]
  20. Garcia, C.; Guerin, M.; Souidi, K.; Remize, F. Lactic Fermented Fruit or Vegetable Juices: Past, Present and Future. Beverages 2020, 6, 8. [Google Scholar] [CrossRef]
  21. Ziemlewska, A.; Nizioł-Łukaszewska, Z.; Bujak, T.; Zagórska-Dziok, M.; Wójciak, M.; Sowa, I. Effect of Fermentation Time on the Content of Bioactive Compounds with Cosmetic and Dermatological Properties in Kombucha Yerba Mate Extracts. Sci. Rep. 2021, 11, 18792. [Google Scholar] [CrossRef]
  22. Vauzour, D.; Rodriguez-Mateos, A.; Corona, G.; Oruna-Concha, M.J.; Spencer, J.P.E. Polyphenols and Human Health: Prevention of Disease and Mechanisms of Action. Nutrients 2010, 2, 1106–1131. [Google Scholar] [CrossRef]
  23. Park, H.; Kim, H.-S.; Eom, S.J.; Kim, K.-T.; Paik, H.-D. Antioxidative and Anticanceric Activities of Magnolia (Magnolia Denudata) Flower Petal Extract Fermented by Pediococcus Acidilactici KCCM 11614. Molecules 2015, 20, 12154–12165. [Google Scholar] [CrossRef] [PubMed]
  24. Lee, S.-O.; Kim, S.-J.; Kim, J.-S.; Ji, H.; Lee, E.-O.; Lee, H.-J. Comparison of the Main Components and Bioactivity of Rhus Verniciflua Stokes Extracts by Different Detoxification Processing Methods. BMC Complement. Altern. Med. 2018, 18, 242. [Google Scholar] [CrossRef] [PubMed]
  25. Song, J.-H.; Jeong, G.H.; Park, S.L.; Won, S.Y.; Paek, N.S.; Lee, B.-H.; Moon, S.-K. Inhibitory Effects of Fermented Extract of Ophiopogon Japonicas on Thrombin-Induced Vascular Smooth Muscle Cells. Mol. Med. Rep. 2016, 13, 426–432. [Google Scholar] [CrossRef] [PubMed]
  26. Oh, J.; Jeon, S.B.; Lee, Y.; Lee, H.; Kim, J.; Kwon, B.R.; Yu, K.-Y.; Cha, J.-D.; Hwang, S.-M.; Choi, K.-M.; et al. Fermented Red Ginseng Extract Inhibits Cancer Cell Proliferation and Viability. J. Med. Food 2015, 18, 421–428. [Google Scholar] [CrossRef] [PubMed]
  27. Janus, E.; Pinheiro, L.R.; Nowak, A.; Kucharska, E.; Świątek, E.; Podolak, N.; Perużyńska, M.; Piotrowska, K.; Duchnik, W.; Kucharski, Ł.; et al. New Ferulic Acid and Amino Acid Derivatives with Increased Cosmeceutical and Pharmaceutical Potential. Pharmaceutics 2023, 15, 117. [Google Scholar] [CrossRef] [PubMed]
  28. Jamshidi-Kia, F.; Wibowo, J.P.; Elachouri, M.; Masumi, R.; Salehifard-Jouneghani, A.; Abolhassanzadeh, Z.; Lorigooini, Z. Battle between Plants as Antioxidants with Free Radicals in Human Body. J. Herbmed. Pharmacol. 2020, 9, 191–199. [Google Scholar] [CrossRef]
  29. Makuch, E.; Ossowicz-Rupniewska, P.; Klebeko, J.; Janus, E. Biodegradation of L-Valine Alkyl Ester Ibuprofenates by Bacterial Cultures. Materials 2021, 14, 3180. [Google Scholar] [CrossRef] [PubMed]
  30. Klebeko, J.; Ossowicz-Rupniewska, P.; Nowak, A.; Kucharska, E.; Kucharski, Ł.; Duchnik, W.; Struk, Ł.; Klimowicz, A.; Janus, E. Cations of Amino Acid Alkyl Esters Conjugated with an Anion from the Group of NSAIDs—As Tunable Pharmaceutical Active Ionic Liquids. J. Mol. Liq. 2023, 384, 122200. [Google Scholar] [CrossRef]
  31. Vanegas, D.; Abril-Novillo, A.; Khachatryan, A.; Jerves-Andrade, L.; Peñaherrera, E.; Cuzco, N.; Wilches, I.; Calle, J.; León-Tamariz, F. Validation of a Method of Broth Microdilution for the Determination of Antibacterial Activity of Essential Oils. BMC Res. Notes 2021, 14, 439. [Google Scholar] [CrossRef]
  32. Makuch, E.; Nowak, A.; Günther, A.; Pełech, R.; Kucharski, Ł.; Duchnik, W.; Klimowicz, A. Enhancement of the Antioxidant and Skin Permeation Properties of Eugenol by the Esterification of Eugenol to New Derivatives. AMB Express 2020, 10, 187. [Google Scholar] [CrossRef]
  33. Kucharski, Ł.; Cybulska, K.; Kucharska, E.; Nowak, A.; Pełech, R.; Klimowicz, A. Biologically Active Preparations from the Leaves of Wild Plant Species of the Genus Rubus. Molecules 2022, 27, 5486. [Google Scholar] [CrossRef]
  34. Roman, B.; Muzykiewicz-Szymańska, A.; Ossowicz-Rupniewska, P.; Klimowicz, A.; Janus, E. The Application of Amino Acid Ionic Liquids as Additives in the Ultrasound-Assisted Extraction of Plant Material. RSC Adv. 2021, 11, 25983–25994. [Google Scholar] [CrossRef] [PubMed]
  35. Karamać, M.; Pegg, R.B. Limitations of the Tetramethylmurexide Assay for Investigating the Fe(II) Chelation Activity of Phenolic Compounds. J. Agric. Food Chem. 2009, 57, 6425–6431. [Google Scholar] [CrossRef] [PubMed]
  36. Hossain, M.A.; Piyatida, P.; da Silva, J.A.T.; Fujita, M. Molecular Mechanism of Heavy Metal Toxicity and Tolerance in Plants: Central Role of Glutathione in Detoxification of Reactive Oxygen Species and Methylglyoxal and in Heavy Metal Chelation. J. Bot. 2012, 2012, e872875. [Google Scholar] [CrossRef]
  37. Uchida, T.; Kadhum, W.R.; Kanai, S.; Todo, H.; Oshizaka, T.; Sugibayashi, K. Prediction of Skin Permeation by Chemical Compounds Using the Artificial Membrane, Strat-MTM. Eur. J. Pharm. Sci. 2015, 67, 113–118. [Google Scholar] [CrossRef]
  38. Hernández-Nolasco, Z.; Ríos-Corripio, M.A.; Hidalgo-Contreras, J.V.; Castellano, P.H.; Rubio-Rosas, E.; Hernández-Cázares, A.S. Optimization of Sodium Alginate, Taro Starch and Lactic Acid Based Biodegradable Films: Antimicrobial Effect on a Meat Product. LWT 2024, 192, 115718. [Google Scholar] [CrossRef]
  39. Gyles, D.A.; Castro, L.D.; Silva, J.O.C.; Ribeiro-Costa, R.M. A Review of the Designs and Prominent Biomedical Advances of Natural and Synthetic Hydrogel Formulations. Eur. Polym. J. 2017, 88, 373–392. [Google Scholar] [CrossRef]
  40. Vaou, N.; Stavropoulou, E.; Voidarou, C.; Tsigalou, C.; Bezirtzoglou, E. Towards Advances in Medicinal Plant Antimicrobial Activity: A Review Study on Challenges and Future Perspectives. Microorganisms 2021, 9, 2041. [Google Scholar] [CrossRef]
  41. Takó, M.; Kerekes, E.B.; Zambrano, C.; Kotogán, A.; Papp, T.; Krisch, J.; Vágvölgyi, C. Plant Phenolics and Phenolic-Enriched Extracts as Antimicrobial Agents against Food-Contaminating Microorganisms. Antioxidants 2020, 9, 165. [Google Scholar] [CrossRef]
  42. Efferth, T.; Kuete, V. Cameroonian Medicinal Plants: Pharmacology and Derived Natural Products. Front. Pharmacol. 2010, 1, 123. [Google Scholar] [CrossRef]
  43. Borges, A.; Ferreira, C.; Saavedra, M.J.; Simões, M. Antibacterial Activity and Mode of Action of Ferulic and Gallic Acids Against Pathogenic Bacteria. Microb. Drug Resist. 2013, 19, 256–265. [Google Scholar] [CrossRef] [PubMed]
  44. Miklasińska-Majdanik, M.; Kępa, M.; Wojtyczka, R.D.; Idzik, D.; Wąsik, T.J. Phenolic Compounds Diminish Antibiotic Resistance of Staphylococcus aureus Clinical Strains. Int. J. Environ. Res. Public Health 2018, 15, 2321. [Google Scholar] [CrossRef] [PubMed]
  45. Ivanov, M.; Novović, K.; Malešević, M.; Dinić, M.; Stojković, D.; Jovčić, B.; Soković, M. Polyphenols as Inhibitors of Antibiotic Resistant Bacteria—Mechanisms Underlying Rutin Interference with Bacterial Virulence. Pharmaceuticals 2022, 15, 385. [Google Scholar] [CrossRef] [PubMed]
  46. Xiao, G.; Li, J.; Sun, Z. The Combination of Antibiotic and Non-Antibiotic Compounds Improves Antibiotic Efficacy against Multidrug-Resistant Bacteria. Int. J. Mol. Sci. 2023, 24, 15493. [Google Scholar] [CrossRef]
  47. Liu, J.; Du, C.; Beaman, H.T.; Monroe, M.B.B. Characterization of Phenolic Acid Antimicrobial and Antioxidant Structure–Property Relationships. Pharmaceutics 2020, 12, 419. [Google Scholar] [CrossRef] [PubMed]
  48. Miklasińska, M.; Kępa, M.; Wojtyczka, R.D.; Idzik, D.; Zdebik, A.; Orlewska, K.; Wąsik, T.J. Antibacterial Activity of Protocatechuic Acid Ethyl Ester on Staphylococcus aureus Clinical Strains Alone and in Combination with Antistaphylococcal Drugs. Molecules 2015, 20, 13536–13549. [Google Scholar] [CrossRef]
  49. Kępa, M.; Miklasińska-Majdanik, M.; Wojtyczka, R.D.; Idzik, D.; Korzeniowski, K.; Smoleń-Dzirba, J.; Wąsik, T.J. Antimicrobial Potential of Caffeic Acid against Staphylococcus aureus Clinical Strains. BioMed Res. Int. 2018, 2018, e7413504. [Google Scholar] [CrossRef]
  50. Miklasińska, M.; Kępa, M.; Wojtyczka, R.D.; Idzik, D.; Dziedzic, A.; Wąsik, T.J. Catechin Hydrate Augments the Antibacterial Action of Selected Antibiotics against Staphylococcus aureus Clinical Strains. Molecules 2016, 21, 244. [Google Scholar] [CrossRef]
  51. Zhao, Y.; Chen, M.; Zhao, Z.; Yu, S. The Antibiotic Activity and Mechanisms of Sugarcane (Saccharum officinarum L.) Bagasse Extract against Food-Borne Pathogens. Food Chem. 2015, 185, 112–118. [Google Scholar] [CrossRef]
  52. Karonen, M. Insights into Polyphenol–Lipid Interactions: Chemical Methods, Molecular Aspects and Their Effects on Membrane Structures. Plants 2022, 11, 1809. [Google Scholar] [CrossRef]
  53. Yang, B.; Lei, Z.; Zhao, Y.; Ahmed, S.; Wang, C.; Zhang, S.; Fu, S.; Cao, J.; Qiu, Y. Combination Susceptibility Testing of Common Antimicrobials in Vitro and the Effects of Sub-MIC of Antimicrobials on Staphylococcus aureus Biofilm Formation. Front. Microbiol. 2017, 8, 2125. [Google Scholar] [CrossRef]
  54. Metsemakers, W.-J.; Emanuel, N.; Cohen, O.; Reichart, M.; Potapova, I.; Schmid, T.; Segal, D.; Riool, M.; Kwakman, P.H.S.; de Boer, L.; et al. A Doxycycline-Loaded Polymer-Lipid Encapsulation Matrix Coating for the Prevention of Implant-Related Osteomyelitis Due to Doxycycline-Resistant Methicillin-Resistant Staphylococcus aureus. J. Control. Release 2015, 209, 47–56. [Google Scholar] [CrossRef]
  55. Baker, C.J.; Barrett, F.F.; Clark, D.J. Incidence of Kanamycin Resistance among Escherichia coli Isolates from Neonates. J. Pediatr. 1974, 84, 126–130. [Google Scholar] [CrossRef] [PubMed]
  56. Dosler, S.; Karaaslan, E. Inhibition and Destruction of Pseudomonas aeruginosa Biofilms by Antibiotics and Antimicrobial Peptides. Peptides 2014, 62, 32–37. [Google Scholar] [CrossRef] [PubMed]
  57. Fonseca, A.P.; Extremina, C.; Fonseca, A.F.; Sousa, J.C. Effect of Subinhibitory Concentration of Piperacillin/Tazobactam on Pseudomonas aeruginosa. J. Med. Microbiol. 2004, 53, 903–910. [Google Scholar] [CrossRef] [PubMed]
  58. Angane, M.; Swift, S.; Huang, K.; Butts, C.A.; Quek, S.Y. Essential Oils and Their Major Components: An Updated Review on Antimicrobial Activities, Mechanism of Action and Their Potential Application in the Food Industry. Foods 2022, 11, 464. [Google Scholar] [CrossRef]
  59. Lima, V.N.; Oliveira-Tintino, C.D.M.; Santos, E.S.; Morais, L.P.; Tintino, S.R.; Freitas, T.S.; Geraldo, Y.S.; Pereira, R.L.S.; Cruz, R.P.; Menezes, I.R.A.; et al. Antimicrobial and Enhancement of the Antibiotic Activity by Phenolic Compounds: Gallic Acid, Caffeic Acid and Pyrogallol. Microb. Pathog. 2016, 99, 56–61. [Google Scholar] [CrossRef] [PubMed]
  60. Khan, F.; Bamunuarachchi, N.I.; Tabassum, N.; Kim, Y.-M. Caffeic Acid and Its Derivatives: Antimicrobial Drugs toward Microbial Pathogens. J. Agric. Food Chem. 2021, 69, 2979–3004. [Google Scholar] [CrossRef]
  61. Khan, B.A.; Mahmood, T.; Menaa, F.; Shahzad, Y.; Yousaf, A.M.; Hussain, T.; Ray, S.D. New Perspectives on the Efficacy of Gallic Acid in Cosmetics & Nanocosmeceuticals. Curr. Pharm. Des. 2018, 24, 5181–5187. [Google Scholar] [CrossRef]
  62. Díaz-Gómez, R.; Toledo-Araya, H.; López-Solís, R.; Obreque-Slier, E. Combined Effect of Gallic Acid and Catechin against Escherichia coli. LWT 2014, 59, 896–900. [Google Scholar] [CrossRef]
  63. Li, K.; Guan, G.; Zhu, J.; Wu, H.; Sun, Q. Antibacterial Activity and Mechanism of a Laccase-Catalyzed Chitosan–Gallic Acid Derivative against Escherichia coli and Staphylococcus aureus. Food Control 2019, 96, 234–243. [Google Scholar] [CrossRef]
  64. Multescu, M.; Marinas, I.C.; Susman, I.E.; Belc, N. Byproducts (Flour, Meals, and Groats) from the Vegetable Oil Industry as a Potential Source of Antioxidants. Foods 2022, 11, 253. [Google Scholar] [CrossRef] [PubMed]
  65. Struck, S.; Plaza, M.; Turner, C.; Rohm, H. Berry Pomace—A Review of Processing and Chemical Analysis of Its Polyphenols. Int. J. Food Sci. Technol. 2016, 51, 1305–1318. [Google Scholar] [CrossRef]
  66. Kumar, R.; Tayade, A.; Chaurasia, O.; Sunil, H.; Singh, S.B. Evaluation of Anti-Oxidant Activities and Total Phenol and Flavonoid Content of the Hydro-Alcoholic Extracts of Rhodiola sp. Pharmacogn. J. 2010, 2, 431–435. [Google Scholar] [CrossRef]
  67. Mariyammal, V.; Sathiageetha, V.; Amalraj, S.; Gurav, S.S.; Amiri-Ardekani, E.; Jeeva, S.; Ayyanar, M. Chemical Profiling of Aristolochia Tagala Cham. Leaf Extracts by GC-MS Analysis and Evaluation of Its Antibacterial Activity. J. Indian Chem. Soc. 2023, 100, 100807. [Google Scholar] [CrossRef]
  68. Li, W.; Yang, R.; Ying, D.; Yu, J.; Sanguansri, L.; Augustin, M.A. Analysis of Polyphenols in Apple Pomace: A Comparative Study of Different Extraction and Hydrolysis Procedures. Ind. Crops Prod. 2020, 147, 112250. [Google Scholar] [CrossRef]
  69. Fernandes, P.A.R.; Ferreira, S.S.; Bastos, R.; Ferreira, I.; Cruz, M.T.; Pinto, A.; Coelho, E.; Passos, C.P.; Coimbra, M.A.; Cardoso, S.M.; et al. Apple Pomace Extract as a Sustainable Food Ingredient. Antioxidants 2019, 8, 189. [Google Scholar] [CrossRef]
  70. Michailides, M.; Christou, G.; Akratos, C.S.; Tekerlekopoulou, A.G.; Vayenas, D.V. Composting of Olive Leaves and Pomace from a Three-Phase Olive Mill Plant. Int. Biodeterior. Biodegrad. 2011, 65, 560–564. [Google Scholar] [CrossRef]
  71. Ribeiro, L.F.; Ribani, R.H.; Francisco, T.M.G.; Soares, A.A.; Pontarolo, R.; Haminiuk, C.W.I. Profile of Bioactive Compounds from Grape Pomace (Vitis vinifera and Vitis labrusca) by Spectrophotometric, Chromatographic and Spectral Analyses. J. Chromatogr. B 2015, 1007, 72–80. [Google Scholar] [CrossRef]
  72. Othman, M.; Ariff, A.B.; Rios-Solis, L.; Halim, M. Extractive Fermentation of Lactic Acid in Lactic Acid Bacteria Cultivation: A Review. Front. Microbiol. 2017, 8, 2285. [Google Scholar] [CrossRef]
Figure 1. Lactic acid content in bio-ferments B-P, B-E, B-O, and B-S (left); lactic acid efficiency in bio-ferments B-P, B-E, B-O, and B-S (right).
Figure 1. Lactic acid content in bio-ferments B-P, B-E, B-O, and B-S (left); lactic acid efficiency in bio-ferments B-P, B-E, B-O, and B-S (right).
Applsci 14 04287 g001
Figure 2. Contact angle (c.a.av.) of the bio-ferments: (A) B-P c.a.av. = 66.7° ± 1.5; (B) B-E 78.5° ± 2.6; (C) B-O 74.8° ± 3.5; (D) B-S 75.4° ± 3.0.
Figure 2. Contact angle (c.a.av.) of the bio-ferments: (A) B-P c.a.av. = 66.7° ± 1.5; (B) B-E 78.5° ± 2.6; (C) B-O 74.8° ± 3.5; (D) B-S 75.4° ± 3.0.
Applsci 14 04287 g002
Table 1. Results for the antimicrobial activity of the tested bio-ferments presented as discrete numbers.
Table 1. Results for the antimicrobial activity of the tested bio-ferments presented as discrete numbers.
Bio-FermentsMinimum Inhibitory Concentrations
Staphylococcus aureusEscherichia coliPseudomonas aeruginosa
μL/mLμL/mLμL/mL
B-P250125250
B-E500750750
B-O750750750
B-S250125500
μg/mLμg/mLμg/mL
* ciprofloxacin0.250.0150.5
*—control sample.
Table 2. Results for the antioxidant activity and total polyphenols content of the tested bio-ferments.
Table 2. Results for the antioxidant activity and total polyphenols content of the tested bio-ferments.
Bio-FermentsAntioxidant Activity and Total Polyphenols Content
DPPHABTSFRAPTPC
mmol Tx/L Bmmol Tx/L Bmmol FeSO4/L Bmg GA/L B
B-P3.21 ± 0.01 d22.43 ± 2.01 c16.68 ± 2.50 d2546.69 ± 0.09 b
B-E3.01 ± 0.01c16.29 ± 0.16 b13.02 ± 1.76 c2439.52 ± 0.11 c
B-O3.53 ± 0.01 b6.52 ± 0.37 b13.78 ± 0.88 b2599.43 ± 0.12 a
B-S2.41 ± 0.01 a17.43 ± 0.32 c10.77 ± 0.59 a2306.82 ± 0.10 c
Control0.03 ± 0.000.01 ± 0.000.01 ± 0.000.09 ± 0.00
Mean ± SD (n = 3); a,b,c,d—different letters: values differ significantly between the analyzed bio-ferments.
Table 3. Results for the chelating and reducing activity, as well as the acidity, of the tested bio-ferments.
Table 3. Results for the chelating and reducing activity, as well as the acidity, of the tested bio-ferments.
Bio-Ferments
ChelatingCUPRACReducing ActivityAcidity
mmol Fe2+/L Bmmol Tx/L Bmmol Fe3+/L Bmmol COOH/L B
B-P0.17 ± 0.01 c12.82 ± 0.18 d40.02 ± 0.19 b360 ± 5 a
B-E0.13 ± 0.01 b10.35 ± 0.16 c27.39 ± 0.23 ab410 ± 5 b
B-O0.11 ± 0.01 b11.12 ± 0.37 b31.67 ± 0.17 a310 ± 5 a
B-S0.08 ± 0.01 a7.94 ± 0.32 a25.57 ± 0.21a420 ± 5 b
Mean ± SD (n = 3); a,b,c,d—values differ significantly between the analyzed bio-ferments.
Table 4. Values of phenolic acids in bio-ferments from pomace (B-P), extract (B-E), oil (B-O), and seeds (B-S) of milk thistle.
Table 4. Values of phenolic acids in bio-ferments from pomace (B-P), extract (B-E), oil (B-O), and seeds (B-S) of milk thistle.
Phenolic AcidB-PB-EB-OB-S
(mg/L B)
gallic acid44.25 ± 3.29 c17.76 ± 0.56 a17.83 ± 0.73 a34.26 ± 2.01 b
protocatechuic acid 16.44 ± 2.46 c9.30 ± 1.38 b4.59 ± 0.18 a6.21 ± 0.82 ab
caffeic acid41.42 ± 2.81 c19.17 ± 2.01 ab23.29 ± 1.34 b15.98 ± 0.83 a
neochlorogenic acid7.12 ± 1.25 c5.20 ± 0.39 b 0.19 ± 0.21 a6.21 ± 0.82 b
coumaric acid10.97 ± 0.62 b7.15 ± 0.20 an.d.10.13 ± 0.24 b
Mean (±standard deviation) (n = 3); a,b,c—indicate significant differences between the tested bio-ferments; α = 0.05; n.d.—not detected.
Table 5. Bio-ferments’ biodegradation by bacterial cultures.
Table 5. Bio-ferments’ biodegradation by bacterial cultures.
Time (Days)* Biodegradation after 28 Days
B-PB-EB-OB-SSDS
(%)
00 ± 00 ± 00 ± 00 ± 00 ± 0
12 ± 12 ± 12 ± 14 ± 11 ± 01
27 ± 13 ± 23 ± 14 ± 216 ± 5
67 ± 57 ± 47 ± 48 ± 436 ± 4
78 ± 49 ± 39 ± 49 ± 341 ± 3
913 ± 313 ± 412 ± 314 ± 443 ± 4
1326 ± 326 ± 226 ± 328 ± 253 ± 1
1433 ± 533 ± 133 ± 634 ± 155 ± 1
1637 ± 238 ± 235 ± 138 ± 257 ± 0
1740 ± 340 ± 340 ± 341 ± 371 ± 1
2243 ± 243 ± 143 ± 243 ± 174 ± 2
2348 ± 149 ± 552 ± 354 ± 575 ± 2
2759 ± 159 ± 460 ± 460 ± 484 ± 2
2861 ± 262 ± 360 ± 165 ± 385 ± 3
** Qualitative assessment of aerobic biodegradability
* Mean ± SD (n = 6)—for each bio-ferment, two independent experiments were performed, during each of which the collected samples were analyzed three times. ** Categories: “●”—Readily biodegradable, degree of biodegradation: ≥60%.
Table 6. The half-life of bio-ferments’ degradation by bacterial cultures.
Table 6. The half-life of bio-ferments’ degradation by bacterial cultures.
The Half-Life of the Analyzed Bio-Ferments
B-PB-EB-OB-SSDS
(days)
2323232313
Table 7. The phases of degradation of bio-ferments.
Table 7. The phases of degradation of bio-ferments.
Compound NamePhase of Degradation
Lag PhaseDegradation PhasePlateau Phase
%Day%Day%Day
B-P0–60–26–542–2654–6126–28
B-E0–60–56–555–2655–6226–28
B-O0–60–56–545–2254–6022–28
B-S0–60–46–582–2658–6526–28
SDS0–90–29–779–2477–8524–28
Disclaimer/Publisher’s Note: The statements, opinions and data contained in all publications are solely those of the individual author(s) and contributor(s) and not of MDPI and/or the editor(s). MDPI and/or the editor(s) disclaim responsibility for any injury to people or property resulting from any ideas, methods, instructions or products referred to in the content.

Share and Cite

MDPI and ACS Style

Kucharska, E.; Grygorcewicz, B.; Spietelun, M.; Olszewska, P.; Bobkowska, A.; Ryglewicz, J.; Nowak, A.; Muzykiewicz-Szymańska, A.; Kucharski, Ł.; Pełech, R. Potential Role of Bioactive Compounds: In Vitro Evaluation of the Antioxidant and Antimicrobial Activity of Fermented Milk Thistle. Appl. Sci. 2024, 14, 4287. https://doi.org/10.3390/app14104287

AMA Style

Kucharska E, Grygorcewicz B, Spietelun M, Olszewska P, Bobkowska A, Ryglewicz J, Nowak A, Muzykiewicz-Szymańska A, Kucharski Ł, Pełech R. Potential Role of Bioactive Compounds: In Vitro Evaluation of the Antioxidant and Antimicrobial Activity of Fermented Milk Thistle. Applied Sciences. 2024; 14(10):4287. https://doi.org/10.3390/app14104287

Chicago/Turabian Style

Kucharska, Edyta, Bartłomiej Grygorcewicz, Monika Spietelun, Patrycja Olszewska, Anna Bobkowska, Joanna Ryglewicz, Anna Nowak, Anna Muzykiewicz-Szymańska, Łukasz Kucharski, and Robert Pełech. 2024. "Potential Role of Bioactive Compounds: In Vitro Evaluation of the Antioxidant and Antimicrobial Activity of Fermented Milk Thistle" Applied Sciences 14, no. 10: 4287. https://doi.org/10.3390/app14104287

APA Style

Kucharska, E., Grygorcewicz, B., Spietelun, M., Olszewska, P., Bobkowska, A., Ryglewicz, J., Nowak, A., Muzykiewicz-Szymańska, A., Kucharski, Ł., & Pełech, R. (2024). Potential Role of Bioactive Compounds: In Vitro Evaluation of the Antioxidant and Antimicrobial Activity of Fermented Milk Thistle. Applied Sciences, 14(10), 4287. https://doi.org/10.3390/app14104287

Note that from the first issue of 2016, this journal uses article numbers instead of page numbers. See further details here.

Article Metrics

Back to TopTop