Power System Signal-Detection Method Based on the Accelerated Unsaturated Stochastic Resonance Principle
Abstract
1. Introduction
2. Output Saturation Limits for Classical Stochastic Resonance Models
2.1. Potential Function Model for Bistable Systems
2.2. Output Saturation Limit
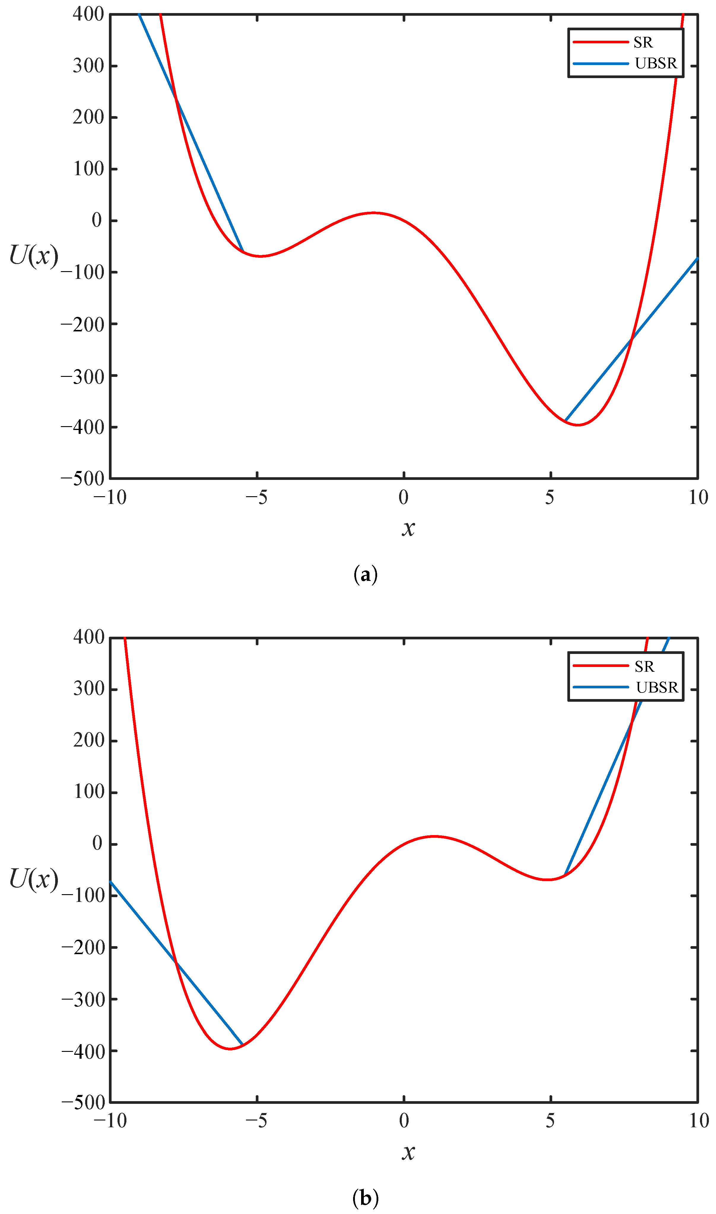
3. Improved Stochastic Resonance Model with Output Saturation Limits
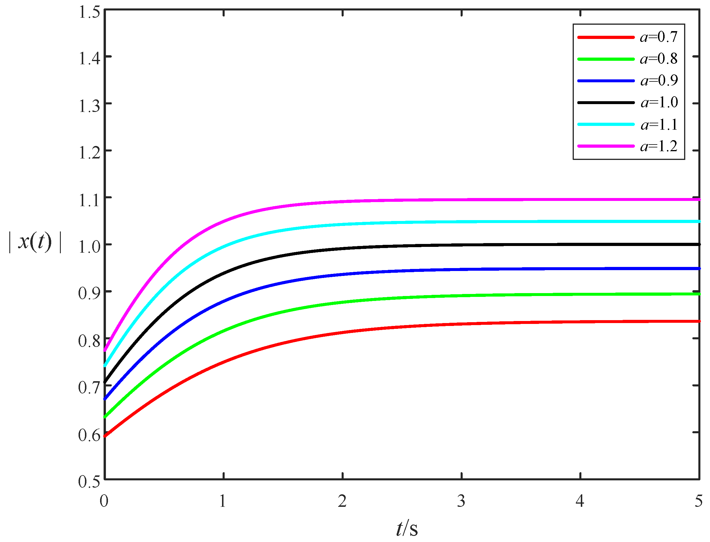
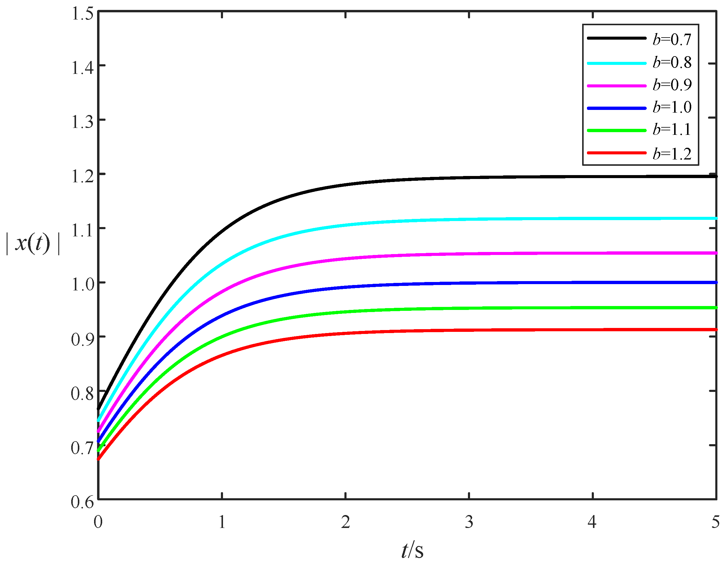
3.1. Unsaturated Stochastic Resonance Model
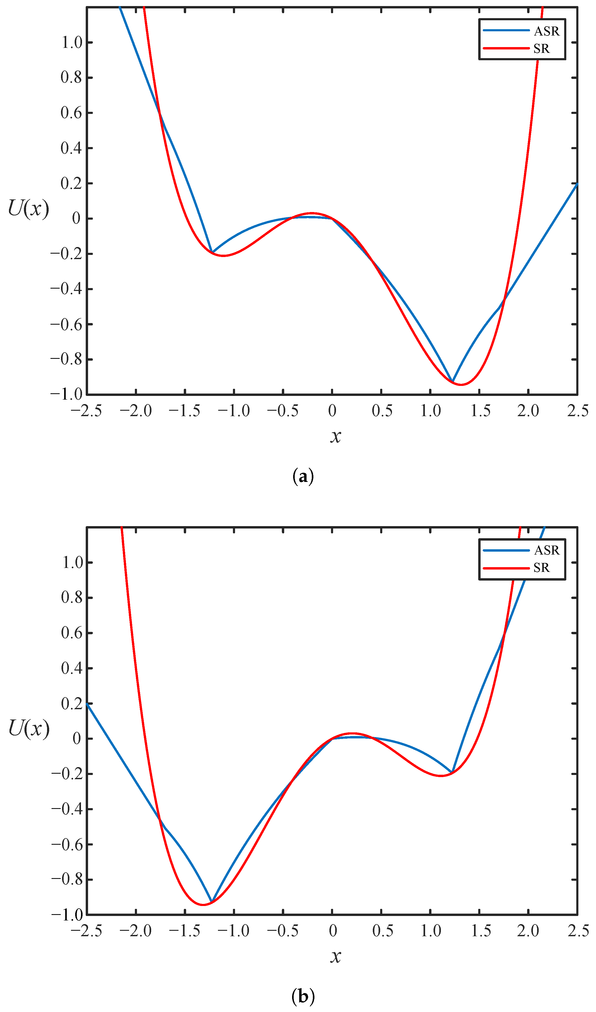
3.2. Accelerated Stochastic Resonance Model
4. Case Simulation and Result Analysis
4.1. Harmonic Signal Detection Experiment
4.2. Voltage Transient Droop Signal Detection Experiment
4.3. Comparison of Method Computational Efficiency
5. Conclusions
Author Contributions
Funding
Institutional Review Board Statement
Informed Consent Statement
Data Availability Statement
Conflicts of Interest
References
- Shu, Y.; Tang, Y. Analysis and recommendations for the adaptability of China’s power system security and stability relevant standards. CSEE J. Power Energy Syst. 2017, 3, 334–339. [Google Scholar] [CrossRef]
- Wang, Y.; Xu, J.; Xu, H.; Long, F. The Application Study of the Advanced Power Electronics in the Smart Grid. In Proceedings of the 2017 Sixth International Conference on Future Generation Communication Technologies (FGCT), Dublin, Ireland, 21–23 August 2017. [Google Scholar]
- Li, X.; Wang, S. Energy management and operational control methods for grid battery energy storage systems. CSEE J. Power Energy Syst. 2021, 7, 1026–1040. [Google Scholar] [CrossRef]
- Liao, K.; Pang, B.; Yang, J.; Jin, X.; Chen, B.; He, Z. Enhanced compensation strategy of voltage harmonics for Doubly-Fed induction generator. Int. J. Electr. Power Energy Syst. 2023, 148, 108924. [Google Scholar] [CrossRef]
- Lei, H.; Huang, Y.; Jiang, L.; Gao, G.; Zhang, J.; Wu, P. Research on Fourier and Prony analysis algorithm of inter-harmonic in power system. Energy Rep. 2022, 8, 728–737. [Google Scholar] [CrossRef]
- Shu, S.; Lai, J.; Chen, Z.; Wang, Y.; Zhang, Y.; Tao, X.; Lang, X.; Chen, J. Design and implementation of plasma electron density measurements based on FPGA with all-phase FFT for tokamak devices. Rev. Sci. Instrum. 2021, 92, 093507. [Google Scholar] [CrossRef]
- Liu, Z.; Du, T. Anti-aliasing wavelet packet method for harmonic detection. J. Syst. Eng. Electron. 2009, 20, 197–203. [Google Scholar]
- Ortiz-Medina, R.A.; Sanabria-Villamizar, M.; Lopez-Garcia, I.; Villalobos-Piña, F.J.; Beltran-Carbajal, F.; Maldonado-Ruelas, V.A. Wavelet and Hilbert Huang Transforms Applied to Park’s Vector for Fault Detection in a PMSG Wind Turbine. In Proceedings of the 2023 IEEE 6th Colombian Conference on Automatic Control (CCAC), Papayan, Colombia, 17–20 October 2023; pp. 1–6. [Google Scholar] [CrossRef]
- Gong, S.; Li, S.; Wang, H.; Ma, H.; Yu, T. Multi-Frequency Weak Signal Detection Based on Wavelet Transform and Parameter Selection of Bistable Stochastic Resonance Model. J. Vib. Eng. Technol. 2021, 9, 887–906. [Google Scholar] [CrossRef]
- Xiao, F.-H.; Yan, G.-R.; Zhang, X.-W. Effect of signal modulating noise in bistable stochastic dynamical systems. Chin. Phys. 2003, 12, 946. [Google Scholar] [CrossRef]
- Qiu, Q.; Jiang, S.; Yuan, S.; Shi, X.; Li, L.; Wang, Z.; Zhang, X.; Qin, D.; Guo, F.; Wang, L.; et al. Influence of colored cross-correlated noise on stochastic resonance for an underdamped bistable system subjected to multiplicative and additive noises. Phys. Scr. 2023, 98, 075001. [Google Scholar] [CrossRef]
- Leng, Y.-G.; Wang, T.-Y.; Guo, Y.; Wu, Z.-Y. Study of the property of the parameters of bistable stochastic resonance. Acta Phys. Sin. 2007, 56, 30. [Google Scholar] [CrossRef]
- Xu, Z.; Wang, Z.; Yang, J.; Sanjuán, M.A.F.; Sun, B.; Huang, S. Aperiodic stochastic resonance in a biased monostable system excited by different weak aperiodic pulse signals and strong noise. Eur. Phys. J. Plus 2023, 138, 386. [Google Scholar] [CrossRef]
- Chew, L.Y.; Ting, C.; Lai, C.H. Chaotic resonance: Two-state model with chaos-induced escape over potential barrier. Phys. Rev. E 2005, 72, 036222. [Google Scholar] [CrossRef] [PubMed]
- Wang, S.; Niu, P.; Guo, Y.; Wang, F.; Han, S. A Piecewise Hybrid Stochastic Resonance Method for Early Fault Detection of Roller Bearings. IEEE Access 2020, 8, 73320–73329. [Google Scholar] [CrossRef]
- Mi, L.N.; Guo, Y.F.; Zhang, M.; Zhuo, X.J. Stochastic resonance in gene transcriptional regulatory system driven by Gaussian noise and Lévy noise. Chaos Solitons Fractals 2023, 167, 113096. [Google Scholar] [CrossRef]
- Liu, J.; Mao, J.; Huang, B.; Liu, P. Chaos and reverse transitions in stochastic resonance. Phys. Lett. A 2018, 382, 3071–3078. [Google Scholar] [CrossRef]
- Kim, S.; Reichl, L.E. Stochastic chaos and resonance in a bistable stochastic system. Phys. Rev. E 1996, 53, 3088–3095. [Google Scholar] [CrossRef]
- Pankratov, A.L.; Salerno, M. Adiabatic approximation and parametric stochastic resonance in a bistable system with periodically driven barrier. Phys. Rev. E 2000, 61, 1206–1210. [Google Scholar] [CrossRef]
- Sun, S.; Qi, X.; Yuan, Z.; Tang, X.; Li, Z. Detection of Weak Fault Signals in Power Grids Based on Single-Trap Resonance and Dissipative Chaotic Systems. Electronics 2023, 12, 3896. [Google Scholar] [CrossRef]
- Leng, Y.g.; Lai, Z.; Fan, S.B.; Gao, Y. Large parameter stochastic resonance of two-dimensional Duffing oscillator and its application on weak signal detection. Wuli Xuebao/Acta Phys. Sin. 2012, 61, 230502. [Google Scholar] [CrossRef]
- Ji, C.; Zhao, Q.; Yu, Y.; Dai, W. Detection of Weak Signals Under Low SNR Stochastic Resonance System. IEEE Access 2023, 11, 101881–101889. [Google Scholar] [CrossRef]
- Kasai, S. Stochastic resonance in nanodevice parallel systems. In Proceedings of the 2009 International Symposium on Intelligent Signal Processing and Communication Systems (ISPACS), Kanazawa, Japan, 7–9 December 2009; pp. 363–366. [Google Scholar] [CrossRef]




























| f/Hz | SR | UBSR | ASR | |
|---|---|---|---|---|
| (a) | 50 | 50 | 50 | 50 |
| 110 | 110 | 110 | 110 | |
| 150 | 150 | 150 | 150 | |
| 250 | 250 | 250 | 250 | |
| 350 | 350 | 350 | 350 | |
| (b) | 50 | 50 | 50 | 50 |
| 110 | 110 | 110 | 110 | |
| 150 | 150 | 150 | 150 | |
| 250 | 250 | 250 | 250 | |
| 350 | 350 | 350 | 350 |
| SR | 0.6132 | 0.1743 |
| UBSR | 0.6439 | 0.3972 |
| ASR | 0.9879 | 0.9794 |
| Methodologies | Plus Window Interpolation FFT | VMD | EEMD | Empirical Wavelet Tranform | SR | UBSR | ASR |
|---|---|---|---|---|---|---|---|
| time- consuming/s | 1.032 | 2.3814 | 7.5216 | 2.0105 | 0.8123 | 1.0117 | 1.2361 |
Disclaimer/Publisher’s Note: The statements, opinions and data contained in all publications are solely those of the individual author(s) and contributor(s) and not of MDPI and/or the editor(s). MDPI and/or the editor(s) disclaim responsibility for any injury to people or property resulting from any ideas, methods, instructions or products referred to in the content. |
© 2024 by the authors. Licensee MDPI, Basel, Switzerland. This article is an open access article distributed under the terms and conditions of the Creative Commons Attribution (CC BY) license (https://creativecommons.org/licenses/by/4.0/).
Share and Cite
Sun, S.; Qi, X.; Yuan, Z.; Tang, X.; Li, Z. Power System Signal-Detection Method Based on the Accelerated Unsaturated Stochastic Resonance Principle. Appl. Sci. 2024, 14, 4284. https://doi.org/10.3390/app14104284
Sun S, Qi X, Yuan Z, Tang X, Li Z. Power System Signal-Detection Method Based on the Accelerated Unsaturated Stochastic Resonance Principle. Applied Sciences. 2024; 14(10):4284. https://doi.org/10.3390/app14104284
Chicago/Turabian StyleSun, Shuqin, Xin Qi, Zhenghai Yuan, Xiaojun Tang, and Zaihua Li. 2024. "Power System Signal-Detection Method Based on the Accelerated Unsaturated Stochastic Resonance Principle" Applied Sciences 14, no. 10: 4284. https://doi.org/10.3390/app14104284
APA StyleSun, S., Qi, X., Yuan, Z., Tang, X., & Li, Z. (2024). Power System Signal-Detection Method Based on the Accelerated Unsaturated Stochastic Resonance Principle. Applied Sciences, 14(10), 4284. https://doi.org/10.3390/app14104284
