Abstract
The synchronous reluctance motor (SynRM) has significant nonlinear characteristics due to the problems of magnetic saturation and cross-coupling and the poor adaptability of the general controller to parameter changes seriously affects the control performance of the motor. In order to solve the above problems, this paper proposed a control system for the SynRM with a brain emotion controller based on empirical information to solve the motor control problem of magnetic saturation. Firstly, the nonlinear mathematical model of the SynRM considering magnetic saturation is established by introducing the magnetic saturation parameter. Secondly, the sensory input function and emotional cue function based on systematic error are given and the vector control system of the SynRM considering magnetic saturation is designed. The influence of the parameters and the learning rate of the brain emotional learning based intelligent controller (EI-BELBIC) on the adjustment range of the controller parameters is studied. Then the SynRM is controlled under different working conditions and the control effect is observed. The results show that the designed vector control system of the SynRM based on EI-BELBIC has strong reliability, accurate control, rapid response, and strong anti-interference ability under magnetic saturation.
1. Introduction
In recent years, the synchronous reluctance motor (SynRM) has become a hot topic in motor research due to its low cost, high reliability, high efficiency, low moment of inertia, and safe operation [1,2,3,4]. Although the SynRM has many advantages, the magnetic field is obviously nonlinear and the problems of saturation and cross-coupling are severe due to the characteristics of the body structure [5,6], which make the traditional universal controller unable to quickly follow changes in the system and seriously affect the transient response and accurate control of the motor. In order to maintain accurate control of a SynRM, the controller needs to adapt to changes in system parameters [7,8,9]. Therefore, a variety of intelligent control algorithms are primarily used in the control of SynRMs.
For reference [10], based on the known information and reliability of SynRMs, the minimum means square error model with weight was established and corresponding weights were set for different objective functions. The parameters of the inductance model are optimized by using an improved harmonic search optimization algorithm to improve the vector control performance of SynRMs. The literature [11] tracks the flux of maximum torque per ampere (MTPA) operation through virtual signal injection and trains flux diagrams online with data using a self-learning control (SLC) scheme. Then MTPA or maximum torque per voltage (MTPV) control can be realized quickly and accurately depending on the optimal flux amplitude of fast dynamic response after training. The literature [12] has proposed using the natural heuristic algorithm to search for the best parameter of PI and compared the response time and control performance of PI coefficients with the cuckoo search algorithm, whale optimization algorithm, and bat search algorithm, respectively. The research shows that motor speed can be followed quickly and accurately. Using the above algorithms can improve the adaptability and robustness of the control system of SynRMs. However, due to the limited computing power of motor drivers, artificial intelligence algorithms are too complex to be implemented in the system. Moreover, the simplified structure of the applied algorithm sacrifices some control performance in order to reduce the amount of computation to improve computing speed.
The theory of brain emotion control was first proposed by Iranian scholar Jan Moren in 2000 [13]. Caro Lucas applied a brain emotional learning-based intelligent controller (BELBIC) to control a motor drive for the first time in the literature [14], proving that the response to parameter changes by a BELBIC is fast and stable and it is easier to implement in microprocessors compared with other intelligent algorithms. In the literature [15], a BELBIC is used to maintain speed and flux control of induction motors, which improves the adaptability of the control system to motor parameter changes and control performance. Researchers [16] applied a BELBIC to speed tracking control of hybrid stepper motors (HSMs) and experiments show that the BELBIC has better results in dealing with nonlinear and unknown interference through self-learning and self-adjustment.
In this article, a vector control system for SynRMs, based on the EI-BELBIC and addressing magnetic saturation, is proposed to solve the problem of nonlinear motor control under magnetic saturation conditions. The nonlinear mathematical model of SynRMs is established by introducing the magnetic saturation parameter. The sensory input function and emotional cue function based on systematic error are given. Based on the above research, the vector control system of a SynRM, based on the EI-BELBIC, is designed and the influence of the changes to the parameters and the learning rate of the brain emotion controller’s adjustment range of the controller parameters is studied to address magnetic saturation.
The rest of the paper is organized as follows. In Section 2, the motor model and the brain emotional limbic system calculation model are presented. Section 3 presents the self-learning control system of a SynRM based on an EI-BELBIC. Section 4 presents the simulation verification of the proposed system under different working conditions. Section 5 provides the conclusions.
2. Motor Model and Brain Emotional Limbic System Calculation Model
2.1. SynRM Model
The principle of reluctance minimization is followed by SynRMs to generate electromagnetic torque. In the d − q rotating coordinate system, the mathematical model of the SynRM [17] is as follows:
where and are the voltage of the stators d-axis and q-axis; is the phase resistance of the stator; and are the inductance of the d-axis and q-axis; and are d-axis and q-axis currents; and are d-axis flux and q-axis flux; is electric angular velocity; is torque; is the number of pole pairs of the motor. The definition of the d − q axis of the SynRM is shown in Figure 1.
Figure 1.
Definition of the d − q coordinate axis of the SynRM.
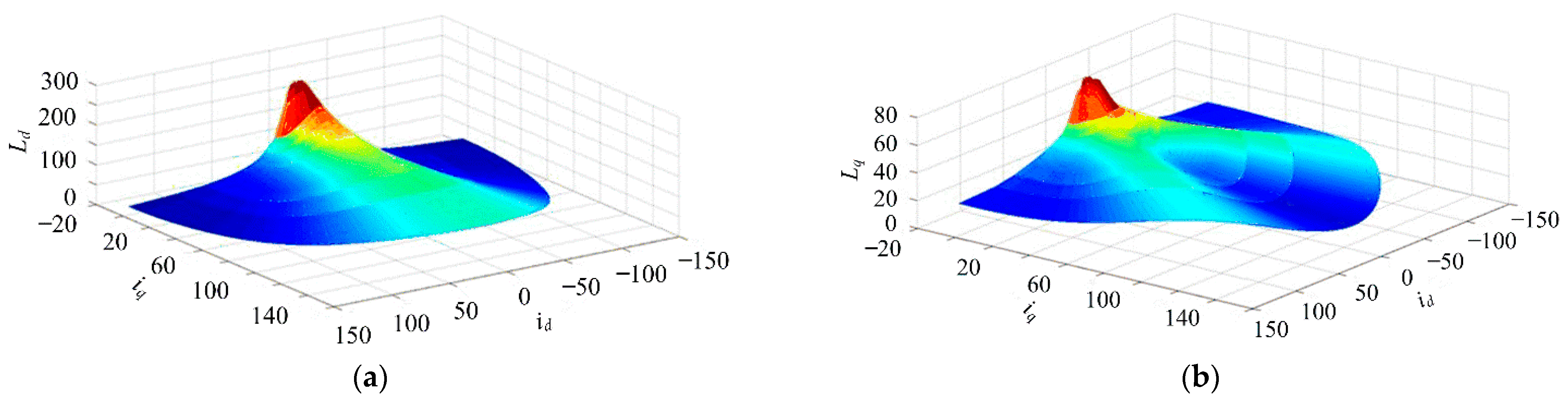
According to Formula (2), the SynRM has only reluctance torque, determined by the difference in inductance between the d-axis and q-axis and the product of current of the d-axis and q-axis. When the stator current is low, both and are constant, but with the increase of the stator current, and will gradually decrease and and tend toward a constant value when the stator current increases to a specific value. In the actual operation of the motor, is not only related to but also affected by . The Ansoft software is used to obtain the data of experimental prototypes and changing with and , then the change curve is obtained as shown in Figure 2.
Figure 2.
Variation of d − q axial inductance under magnetic saturation: (a) surface over the − plan; (b) surface over the − plan.
In the ideal model of the SynRM, one of the main assumptions is that the magnetomotive force presents a sinusoidal distribution, as does the air-gap flux density. However, in the actual operation of the motor, the air-gap flux density does not present an ideal sinusoidal distribution [18,19,20]. The main reason is that the rotor core is affected by magnetic saturation and its magnetization curve is nonlinear. The finite element simulation of the two-dimensional transient field of the SynRM under different currents is carried out by Ansys 2021 R1, and the flux density diagrams are shown in Figure 3. It can be seen from the figure that the magnetic saturation degree of the motor is different under different currents (). Thus, a variable air gap can be assumed as a function of the excitation current. The more significant the magnetic saturation is, the more critical the air gap is. The air gap can be regarded as an iron core with a coil and an air gap. Thus, the relationship between current and magnetic field can be found by using Ampere’s Law, which is satisfied even in the case of magnetic saturation. The literature [21] proposed the concept of equivalent excitation current , which is defined as:
where is defined as a coefficient related to the inductance values of the q-axis and d-axis and .
Figure 3.
Flux density diagram of the motor under different currents: (a) ; (b) ; (c) .
It can be seen from Figure 2 that the ratio of saturated inductance to unsaturated inductance of the d-axis is approximately equal to that of saturated inductance to unsaturated inductance of the q-axis. Furthermore, in order to build a more accurate SynRM model, the concept of magnetic saturation parameter is introduced and defined as follows:
where and are respectively the inductances of the d-axis and q-axis under magnetic saturation, whose values are affected by .
According to Formula (4), is a constant value; that is, is a constant value, regardless of whether the click is affected by magnetic saturation during the whole operation range of the motor. Therefore, the relationship between the magnetic saturation parameter and the equivalent excitation current can be found and the value of can be corrected by under different current conditions. The inductance values of the d-axis and q-axis of the motor under magnetic saturation can be calculated using the formula (4).
The d − q axis voltage equation of the synchronous reluctance motor under magnetic saturation can be expressed as:
Among them, and are the d- and q-axis voltage components under magnetic saturation, is the stator phase winding. and are the d- and q-axis flux components under magnetic saturation. The expressions are:
The torque equation of the SynRM under magnetic saturation is:
In the formula, is the torque of the motor under magnetic saturation.
Based on the variation trend of and with and shown in Figure 2 and the relationship between magnetic saturation parameter and d-axis and q-axis inductance in Formula (4), the curve of magnetic saturation parameter with in Figure 4 can be obtained.
Figure 4.
Parameter variation curve of magnetic saturation.
By fitting the magnetic saturation parameter data in Figure 4, the expression of magnetic saturation parameter is obtained as follows:
The values of the coefficients in the fitting function are shown in Table 1.
Table 1.
Output characteristics of two motors.
By fitting the relation between and equivalent magnetization current , it can be found that the critical point of motor saturation is = 10 A and = 8 A. When < 10 A ( < 8 A), = 1, it is clear that the motor has not entered the magnetic saturation state. When > 10 A ( > 8 A) and < 1, the motor is seen to be in magnetic saturation state. With the increase of , the motor is more seriously affected by magnetic saturation and the value of is smaller.
2.2. BELBIC Structure
The BELBIC is a novel controller based on the computational model of the limbic system, which has a good control effect on the nonlinear system in accordance with the mechanism of brain emotional learning and the actual characteristics of the controlled object [22,23,24]. The computational model of the limbic system mainly includes the amygdala, orbitofrontal cortex, thalamus, and sensory cortex. Among them, the amygdala is an essential part of the brain for emotional processing, while the orbitofrontal cortex plays a vital role in regulating and inhibiting overall emotional learning.
As shown in Figure 5, the thalamus is responsible for initiating the process of responding to stimuli in biological systems by receiving sensory signals and transmitting them to the amygdala and sensory cortex. After receiving the signals, the sensory cortex analyzes and distributes the signals appropriately to the amygdala and orbitofrontal cortex. Reward and punishment signals enter the amygdala to strengthen connections to other parts. Later, the same response occurs in the orbitofrontal cortex and they work together to produce an emotional response. The input signals of the amygdala mainly come from sensory input signals SI, reward and punishment signals REW, and signals from the thalamus . In contrast, the stimulation signals received by the orbitofrontal cortex are mainly sensory input signals SI and signals from the amygdala, but not from the thalamus [25,26]. The output equation of the intelligent controller of brain emotion is:
where is the output of the amygdala, is the output of the orbitofrontal cortex, and is the number of sensory input signals.
Figure 5.
Structure of brain emotion model.
3. Self-Learning Control System of SynRM Based on EI-BELBIC
As a controlled object, the SynRM has the characteristics of nonlinearity, strong coupling, and time variability, while the brain emotional learning model has the advantages of small computation, simple model structure, and robustness in motor control [27]. Therefore, an EI-BELBIC-based SynRM vector control system was built and the system structure is shown in Figure 6. The “*” in the figure represents the reference value of each parameter.
Figure 6.
The vector control system of the SynRM based on an EI-BELBIC.
The control ability of the EI-BELBIC is mainly manifested in the regulation processes of the amygdala and orbitofrontal cortex and the emotion regulation process in the amygdala and orbitofrontal cortex is achieved through the dynamic regulation of weights. The design of the brain emotion controller is accomplished through studying the dynamic regulation processes of the amygdala and orbitofrontal cortex. Combined with the actual control characteristics of the SynRM, the design of the drive controller in the vector control system of the SynRM was completed.
3.1. Self-Learning Regulation of Amygdala in EI-BELBIC
In the vector control system of the synchronous reluctance motor, the error of speed is defined as the difference between the reference speed and the feedback speed . The sensory input function (SIF) of the brain emotion controller is:
where , and are adjustable parameters of the sensory input function.
The thalamus separates the maximum SI of the sensory stimulus signal and transfers it to the amygdala. The following formulas can be obtained:
After receiving input signals from the thalamus and sensory cortex, the amygdala takes the weighted sum of the two as the output value of the amygdala, which can be obtained as follows:
where and are the weights of the amygdala.
The amygdala output showed the ability to follow reward and punishment signals quickly. As a kind of positive excitation, the weight increases when the output value is less than the value of the reward or punishment signal but remains the same when the output value is greater than the value of the reward or punishment signal. The adjustment rates of the weights of the amygdala are as follows:
where, is the learning rate of the weight of the amygdala, which is a vital parameter in the adjustment process of the amygdala.
The emotional cue function (ECF) of the brain emotion controller is defined as:
where is the output of the controller and , and are the adjustable parameters of the ECF.
Figure 7 shows the adjustment curves of amygdala nodes in the EI-BELBIC with sudden loading. After the load changes suddenly, the rate of change of and in Figure 7a, c increases relative to the system error, so that and in Figure 7b,d begin to adjust automatically to achieve the purpose of automatic adjustment of the controller parameters as the system changes.
Figure 7.
Self-adjustment of amygdala parameters under sudden loading: (a) ; (b) ; (c) ; (d) .
Figure 8 and Figure 9 show the self-adjusting curve of node parameters in the amygdala in the EI-BELBIC under magnetic field saturation. Figure 8 shows the node regulation curves in the amygdala when the SynRM is unloaded under magnetic saturation. As shown in Figure 8a,c, when the current of the d-axis increases, and change faster. When = 15 A, the adjustment time of and is 57% less than that when = 5 A and 25% faster than that when = 10 A. Correspondingly, when = 15 A, the stability time of and is 25% less than that when = 10 A, and 57% less than that when = 5 A, as shown in Figure 8b,d. As can be seen from the data in Figure 8, the amygdala showed rapid adjustment ability when the SynRM entered the magnetic saturation state, and the amygdala’s adjustment ability also increased with the deepening of the magnetic saturation degree.
Figure 8.
Self-adjustment of amygdala parameters at different : (a) ; (b) ; (c) ; (d) .
Figure 9.
Self-adjusting curves of parameters of amygdala under different working conditions: (a) ; (b) ; (c) ; (d) .
Figure 9 shows the adjustment process of the amygdala when the SynRM is operated under different loads with and without magnetic saturation, respectively. As shown in Figure 9a,c, the amygdala can control the motor rapidly and stably under different conditions. In magnetic saturation state and full load, both and take longer to adjust than in other cases, thus it takes longer for the amygdala to reach a stable output when the SynRM is running at full load at magnetic saturation.
3.2. Self-Learning Regulation of Orbitofrontal Cortex
The stimulation signals received by the orbitofrontal cortex mainly come from the sensory cortex and amygdala but not from the thalamus. The output value of the orbitofrontal cortex of the brain emotion controller is:
where is the weight of the orbitofrontal cortex. The orbitofrontal cortex completes the real-time tracking of reward signals based on the adjustment control of the amygdala. The weight adjustment rate of the orbitofrontal cortex is as follows:
where is the weight learning rate of the orbitofrontal cortex, and is the output signal without thalamic stimulus signal. The value of can be positive or negative; that is, the weight regulation rate of the orbitofrontal cortex can play an auxiliary or inhibitory role in the regulation function of the amygdala. By eliminating the error between the reward signal and , the output of the controller can approach the expected value and achieve accurate control.
Figure 10 shows the adjustment curves of nodes in the orbitofrontal cortex with sudden loading. The output of the EI-BELBIC remains constant in the stable phase of the system when the weight change rate of the orbitofrontal cortex is 0. The rate of the weight of the orbitofrontal cortex varies with sudden changes in load, that is, from 0 in the stabilization stage to a corresponding negative value with an inhibitory effect, which adjusts the system and then causes in Figure 10b to automatically adjust and suppress the error, such that the controller output tends toward the expected value.
Figure 10.
Self-adjusting curves of parameters of orbitofrontal cortex under sudden loading: (a) ; (b) .
Figure 11 shows the self-adjusting curve of node parameters in the orbitofrontal cortex in the EI-BELBIC under magnetic saturation. As shown in Figure 11a, the larger the d-axis current, the faster the adjustment speed of is. When = 15 A, the adjustment time of is 57% less than when = 5 A, and 25% less than when = 10 A. Correspondingly, in Figure 11b, the stability time of when = 15 A is 25% less than when = 10 A and 57% less than when = 5 A. It can be seen from the data in Figure 11 that with the deepening of magnetic saturation, the ability of the orbitofrontal cortex to follow and eliminate errors in the control system accurately also increases.
Figure 11.
Self-adjusting curves of parameters of orbitofrontal cortex at different : (a) ; (b) .
Figure 12 shows the orbitofrontal cortex regulation curves of the SynRM under different loads with and without considering magnetic saturation, respectively. As shown in Figure 12a, the orbitofrontal cortex dynamically adjusts in Figure 12b by changing under different conditions. The greater the variation of motor parameters, the greater the adjustment force of the orbitofrontal cortex and the stronger the anti-interference ability.
Figure 12.
Self-adjusting curves of parameters of orbitofrontal cortex under different working conditions: (a) ; (b) .
3.3. Self-Learning Regulation of Dorsolateral Prefrontal Cortex
The dorsolateral prefrontal cortex is an important tissue in the limbic system. It belongs to a part of the prefrontal cortex. It has key cognitive functions and plays an important role in advanced brain regions. The dorsolateral prefrontal cortex appears and matures the latest in the human brain. Although it matures the latest, it occupies a large area of the human brain cortex. The dorsolateral prefrontal cortex plays a key role in the generation of limbic system emotions. It mainly analyzes and judges input stimuli and adjusts the direction in which the amygdala produces emotion by calculating judgment results.
Therefore, the dorsolateral prefrontal cortex module is added to the BELBIC to propose an improved brain emotion controller incorporating empirical information (the EI-BELBIC). The signal transmission in the EI-BELBIC forms a closed loop due to the existence of the dorsolateral prefrontal cortex module, which accelerates the response speed of the EI-BELBIC and improves anti-interference ability. The signal transmission block diagram of the EI-BELBIC is shown in Figure 13.
Figure 13.
Signal transfer diagram for the EI-BELBIC.
The output signals of the dorsolateral prefrontal cortex are emotional signals. The EI-BELBIC bases its response on the value of the emotional signal to determine the current level of stimulation relative to the level of stimulation to control the degree of change in amygdala weight. In the design of the EI-BELBIC, fuzzy logic is used to simulate the “judgment” function of the dorsolateral prefrontal cortex and fuzzy rules are used to represent the memory experience of the current stimulus. The calculation model of the EI-BELBIC is shown in Figure 14.
Figure 14.
Computational model for the EI-BELBIC.
The fuzzy logic system is a two-input single-output system. The error (stimulus signal SI) and the change of error (reward signal and amygdala output difference signal R − A) are its inputs. The two signals input by the system have five fuzzy linguistic values, which are SI: NL, NS, ZE, PS, PL and R − A: NL, NS, ZE, PS, PL. Output Z also has five cases, NL, NS, ZE, PS, PL. The fuzzy logic law of the fuzzy system is:
Among them, SI ∈ [0, 1000], R − A ∈ [12, 21], Z ∈ [4, 9], the range of the signal will change according to the controlled object and the current system.
The rules are specified using a triangular membership function, as follows:
where a is the minimum value of the interval to which the variable belongs, b is the median value, and c is the maximum value.
System for two inputs, each input has five different signals, and therefore the system output has 25 different results and 25 fuzzy rules. Table 2 is a fuzzy logic rule table designed for synchronous reluctance motors.
Table 2.
Fuzzy logic rules.
The dorsolateral prefrontal cortex module fuzzy logic diagram is shown in Figure 15.
Figure 15.
Fuzzy logic diagram of the dorsolateral prefrontal lobe.
After the input signal SI and R − A become fuzzy, the membership degree and fuzzy language are given. After fuzzy rules and fuzzy reasoning, the final configuration Z is obtained by defuzzification, which is transmitted downward as the output of the dorsolateral prefrontal cortex module.
The emotion coefficient Z is added to the almond weight update algorithm, expressed as:
As can be seen from Formula (18), the presence of output Z can be adapted to the speed at which the amygdala weights are updated, enabling the dorsolateral prefrontal cortex to regulate the amygdala module through empirical information.
3.4. Self-Regulation Advantage of EI-BELBIC
The output of the brain emotion controller is the reference value of the SynRM vector control system, namely:
According to Formula (23), the regulation mechanism of the EI-BELBIC is similar to that of a traditional PI controller. is equivalent to the proportional coefficient of PI controller, while is equivalent to the integral coefficient of the PI controller. can further increase the response speed of the controller and shorten the regulation time of the control system through the regulation effect of the amygdala. The three adjustment step length and direction are determined by the error value of the motor speed. The EI-BELBIC will adjust the parameters when there is an error in speed and the larger the error is, the larger the adjustment step is. When the system is stable, the parameters of the EI-BELBIC remain unchanged, similar to the traditional PI controller. The adjustment range of parameters in the EI-BELBIC can be changed by changing the learning rate of the amygdala and orbitofrontal cortex. Therefore, the EI-BELBIC becomes more accessible and flexible in the control system.
4. Simulation and Experimental Verification
In order to verify the control effect of the EI-BELBIC, a vector control system for the SynRM was built in Matlab/Simulink. The simulation time is set to 0–0.5 s. The solver selects Bogacki–Shampine and the sample time is s. The control period of the current loop is 100 μs and the control period of the speed loop is 1 ms in the experiment. The basic parameters of the SynRM are shown in Table 3.
Table 3.
Basic parameters of the SynRM.
4.1. Simulation Verification
The output comparison of speed and torque under the control of the EI-BELBIC, BELBIC and PI controller is shown in Figure 16 when the system is loaded suddenly. As shown in Figure 16a, the EI-BELBIC is faster than the BELBIC and PI controller and recover to the rated speed faster when a 20 N load is applied to the SynRM under two different controllers at 0.1 s, which shows that the EI-BELBIC has a more vital anti-interference ability. Moreover, as seen in Figure 16b, the torque-output capacity of the EI-BELBIC is consistent with that of the BELBIC and PI controllers.
Figure 16.
Comparison diagram of SynRM performance response under sudden load: (a) Speed; (b) Torque.
In order to verify the control effect of the EI-BELBIC under different magnetic saturation degrees of the SynRM, Figure 17 is obtained. As shown in Figure 17a, the inductance value of the SynRM decreased with the increase in magnetic saturation. However, the motor still maintained flawless operation under the control of the EI-BELBIC and the deeper the magnetic saturation, the smaller the , and the stronger the anti-interference ability of the EI-BELBIC. In Figure 17b, the time for the SynRM to reach the rated speed when = 15 A is 16.6% less than when = 10 A and 29.4% less than when = 5 A.
Figure 17.
Comparison diagram of SynRM performance response at different : (a) Magnetic saturation parameter ; (b) Speed.
The comparison diagram of current waveforms at different are shown in Figure 18. Figure 18a shows the corresponding q-axis current change curve when is 5 A, 10 A, and 15 A, respectively. Since the current limit of the q-axis is 15 A, the motor is driven to run with the current of 15 A when reaches the maximum limit and then drops to about 0 due to the no-load state when the motor reaches the rated speed. The three-phase current of stators with different , as shown in Figure 18b, is also consistent with the situation shown in Figure 17: the current waveform changes into a sine wave when the speed reaches the rated value.
Figure 18.
Comparison diagram of current waveforms at different : (a) Current of d-axis and q-axis; (b) Three-phase stator current.
With the same stator current, the output torque of the SynRM under magnetic saturation is lower than that of the ideal case. In order to verify the control effect of the EI-BELBIC on the SynRM under magnetic saturation, load capacity simulation and comparison experiment were carried out between the EI-BELBIC and the SynRM ideal model and Figure 19 was obtained.
Figure 19.
Performance comparison diagram of the SynRM under different working conditions: (a) speed; (b) torque.
Due to the difference between magnetic saturation and load, the starting process of the motor is significantly different, as shown in Figure 19a. When the motor is started at half load under ideal conditions, the SynRM has the fastest starting speed, which can complete the on-load start with 0.02 s. However, the starting time is extended to 0.03 s when the motor is affected by magnetic saturation. When the load is increased, the motor takes longer to start at full load under ideal conditions, but the difference is insignificant compared to starting at half load under magnetic saturation. Furthermore, the SynRM has the longest startup time when it starts at full load under magnetic saturation. As seen from the enlarged local figure, the speed of the motor under the four conditions does not change when it reaches a steady state, indicating that it can meet the SynRM full-load requirements under the control of the EI-BELBIC in the magnetic saturation state. Figure 19b shows the comparison of torque output of the SynRM in four states. Due to the influence of magnetic saturation, the maximum output torque of the motor remains at about 60 Nm, less than 80 Nm under ideal conditions, but it can still meet the load requirements under the control of the EI-BELBIC.
As shown in Figure 20, under the condition of consistent d-axis current settings, the current limiting value of the q-axis is kept at about 46 A, which drives the motor to run with load. Given the different loading conditions of the SynRM in different states, the final stable values of q-axis current are different after the motors are started with load and kept stable.
Figure 20.
Comparison diagram of current curves under different working conditions: (a) Current of d-axis; (b) Current of q-axis.
Figure 21 shows the variation in the magnetic saturation parameter of the SynRM under different loads in the magnetic saturation state. Due to the same current of the d-axis, the inductance values of both are reduced by 25%. However, the inductance stabilized at different values due to different loads. Moreover, the inductance value of the SynRM under full load conditions was even smaller, only 80% of that under ideal conditions.
Figure 21.
Comparison diagram of magnetic saturation parameter under different working conditions.
4.2. Experimental Verification
In order to further verify the accuracy of the theoretical calculation results, this paper designs a synchronous reluctance motor control system. In the laboratory environment, the synchronous reluctance motor is controlled by vector control and the control effects of the EI-BELBIC, BELBIC and PI are compared. Verify the superiority of the EI-BELBIC controller proposed in this paper.
The control circuit in the system uses DSP28335 as the main control chip. The speed of the SynRM is sampled by the photoelectric encoder on the motor shaft and fed back to the main control chip. The parameters of the experimental motor are shown in Table 3.
As shown in Figure 22, the experimental waveforms of the SynRM range from 0 to 1350 rpm under different controllers. The experimental diagram includes speed waveform, current waveform, and torque waveform. At this time, the motor runs at a load of 2 Nm, a reference speed of 1350 rpm, and a starting current within the allowable range of the motor. The three-phase current is 2 A during stable operation. Figure 22a is the SynRM start waveform diagram under the EI-BELBIC. Compared with the existing BELBIC (Figure 22b) and PI controller (Figure 22c), the SynRM based on the improved brain emotion controller has smaller current fluctuation, better speed tracking, smaller oscillation amplitude, faster response speed, and smaller overshoot.
Figure 22.
The startup waveforms of the SynRM under different controllers: (a) EI-BELBIC controller; (b) BELBIC controller; (c) PI controller.
Figure 23 shows the waveform when the SynRM speed changes. The SynRM is operated under non-rated parameters, and the SynRM driver is tested at different speeds at constant torque. Figure 23 shows the SynRM’s test of speed change under load torque of 2 Nm. As shown in Figure 21a, when the speed changes, EI-BELBIC control effect is better, faster speed tracking, torque ripple is small, no overshoot, no oscillation. Compared with BELBIC (Figure 23b) and PI controller (Figure 23c), the current waveform is more stable and the fluctuation is smaller. The torque ripple is smaller and more stable.
Figure 23.
SynRM waveform when speed changes: (a) EI-BELBIC controller; (b) BELBIC controller; (c) PI controller.
The disturbance of the motor by the change of load torque is shown in Figure 24. Load torque of the SynRM is changed from 0.5 Nm to 10 Nm. Before the load is applied, the speed is set to 675 rpm. When the load is suddenly applied, the speed change under the control of EI-BELBIC in Figure 24a is very small, and there is no instantaneous oscillation after the three-phase current reaches a new steady-state value. However, in Figure 24b, the torque under the control of the BELBIC fluctuates and the current waveform fluctuates. In Figure 24c, the torque ripple under the PI controller is relatively large and the current waveform clutter is greater. In contrast, it can be seen that the EI-BELBIC can change the stator current faster when the SynRM load changes, such that the stator current reaches a new steady-state value and runs more smoothly.
Figure 24.
SynRM surge load waveform: (a) EI-BELBIC controller; (b) BELBIC controller; (c) PI controller.
5. Conclusions
In this paper, a vector control system based on the EI-BELBIC for SynRMs considering magnetic saturation is proposed to solve the problem of nonlinear motor control under magnetic saturation conditions. By establishing a nonlinear magnetic saturation mathematical model of a SynRM and providing the sensory input function and emotion prompt function based on system error, a SynRM vector control system considering magnetic saturation is designed. The self-adjustment of each parameter in the EI-BELBIC under different working conditions and the control effect of the control system are studied. Compared with the control system based on the PI controller, the response of the proposed control system is faster and the control system can still control the motor to maintain a good running state in the case of deepening magnetic saturation degree and even when the degree of magnetic saturation increases, the anti-interference ability of the system becomes stronger.
Author Contributions
Conceptualization, J.L.; methodology, J.L. and J.J.; formal analysis, J.J.; investigation, J.L. and J.J.; data curation, J.L. and J.J.; writing—original draft preparation, J.L.; writing—review and editing, J.L. and Y.D.; supervision, Y.D.; project administration, Y.D.; funding acquisition, Y.D. All authors have read and agreed to the published version of the manuscript.
Funding
This research was funded by the National Natural Science Foundation of China, grant number U20A201284.
Institutional Review Board Statement
Not applicable.
Informed Consent Statement
Not applicable.
Data Availability Statement
The datasets generated and/or analysed during the current study are not publicly available due to the requirement of the security but are available from the corresponding author on reasonable request.
Acknowledgments
The researchers would like to thank Weijia Liu for the help with theoretical analysis and research methods in this design, as well as the support in the final experimental data analysis.
Conflicts of Interest
The authors declare no conflict of interest.
References
- Murataliyev, M.; Degano, M.; Galea, M. A Novel Sizing Approach for Synchronous Reluctance Machines. IEEE Trans. Ind. Electron. 2021, 68, 2083–2095. [Google Scholar] [CrossRef]
- Islam, M.Z.; Choi, S.; Elbuluk, M.E.; Bonthu, S.S.R.; Arafat, A.; Baek, J. Design of External Rotor Ferrite-Assisted Synchronous Reluctance Motor for High Power Density. Appl. Sci. 2021, 11, 3102. [Google Scholar] [CrossRef]
- Murataliyev, M.; Degano, M.; Nardo, M.D.; Bianchi, N.; Gerada, C. Synchronous Reluctance Machines: A Comprehensive Review and Technology Comparison. Proc. IEEE 2022, 110, 382–399. [Google Scholar] [CrossRef]
- Okamoto, Y.; Yamashita, Y. Design Optimization of Synchronous Reluctance Motor for Reducing Iron Loss and Improving Torque Characteristics Using Topology Optimization Based on Level-set Method. IEEE Trans. Magn. 2020, 56, 7510704. [Google Scholar] [CrossRef]
- Kojima, T.; Suzuki, T.; Hazeyama, M.; Kayano, S. Position Sensorless Control of Synchronous Reluctance Machines Based on Magnetic Saturation Depending on Current Phase Angles. IEEE Trans. Ind. Appl. 2020, 56, 2171–2179. [Google Scholar] [CrossRef]
- Accetta, A.; Cirrincione, M.; Pucci, M.; Sferlazza, A. Feedback Linearization Based Nonlinear Control of SynRM Drives Accounting for Self- and Cross-Saturation. IEEE Trans. Ind. Appl. 2022, 58, 3637–3651. [Google Scholar] [CrossRef]
- Ibrahim, M.N.; Sergeant, P.; Rashad, E.M. Relevance of Including Saturation and Position Dependence in the Inductances for Accurate Dynamic Modeling and Control of SynRMs. IEEE Trans. Ind. Appl. 2017, 53, 151–160. [Google Scholar] [CrossRef]
- Bianchi, N. Synchronous Reluctance and PM Assisted Reluctance Motors. In The Rediscovery of Synchronous Reluctance and Ferrite Permanent Magnet Motors–Tutorial Course Notes; Springer International Publishing AG: Cham, Switzerland, 2016; pp. 29–53. [Google Scholar]
- Tawfiq, K.B.; Ibrahim, M.N.; El-Kholy, E.E.; Sergeant, P. Performance Improvement of Synchronous Reluctance Machines—A Review Research. IEEE Trans. Magn. 2021, 57, 8107811. [Google Scholar] [CrossRef]
- Li, S.; Sarlioglu, B.; Jurkovic, S.; Patel, N.R.; Savagian, P. Comparative Analysis of Torque Compensation Control Algorithms of Interior Permanent Magnet Machines for Automotive Applications Considering the Effects of Temperature Variation. IEEE Trans. Transp. Electrif. 2017, 3, 668–681. [Google Scholar] [CrossRef]
- Rabiei, A.; Thiringer, T.; Alatalo, M.; Grunditz, E.A. Improved Maximum-Torque-Per-Ampere Algorithm Accounting for Core Saturation, Cross-Coupling Effect, and Temperature for a PMSM Intended for Vehicular Applications. IEEE Trans. Transp. Electrif. 2016, 2, 150–159. [Google Scholar] [CrossRef]
- Hinkkanen, M.; Pescetto, P.; Mölsä, E.; Saarakkala, S.E.; Pellegrino, G.; Bojoi, R. Sensorless Self-commissioning of Synchronous Reluctance Motors at Standstill Without Rotor Locking. IEEE Trans. Ind. Appl. 2017, 53, 2120–2129. [Google Scholar] [CrossRef]
- Moren, J.; Balkenius, C. Emotional Learning: A Computational Model of the Amygdala. Cybern. Syst. 2001, 32, 611–636. [Google Scholar] [CrossRef]
- Rahman, M.A.; Milasi, R.M.; Lucas, C.; Araabi, B.N.; Radwan, T.S. Implementation of Emotional Controller for Interior Permanent-Magnet Synchronous Motor Drive. IEEE Trans. Ind. Appl. 2008, 44, 1466–1476. [Google Scholar] [CrossRef]
- Markadeh, G.R.; Daryabeigi, E.; Lucas, C.; Rahman, M.A. Speed and Flux Control of Induction Motors Using Emotional Intelligent Controller. IEEE Trans. Ind. Appl. 2011, 47, 1126–1135. [Google Scholar] [CrossRef]
- Yazdani, A.M.; Mahmoudi, A.; Movahed, M.A.; Ghanooni, P.; Mahmoudzadeh, S.; Buyamin, S. Intelligent Speed Control of Hybrid Stepper Motor Considering Model Uncertainty Using Brain Emotional Learning. Can. J. Elect. Comput. E 2018, 41, 95–104. [Google Scholar] [CrossRef]
- Chen, S.G.; Lin, F.J.; Liang, C.H.; Liao, C.H. Intelligent Maximum Power Factor Searching Control Using Recurrent Chebyshev Fuzzy Neural Network Current Angle Controller for SynRM Drive System. IEEE Trans. Power Electron. 2021, 36, 3496–3511. [Google Scholar] [CrossRef]
- Giacomo, B.; Nicola, B.; Hanafy, M. A Nonlinear Analytical Model for the Rapid Prediction of the Torque of Synchronous Reluctance Machines. IEEE Trans. Energy Convers. 2018, 33, 1539–1546. [Google Scholar] [CrossRef]
- Ferrari, S.; Pellegrino, G. FEAfix: FEA Refinement of Design Equations for Synchronous Reluctance Machines. IEEE Trans. Ind. Appl. 2020, 56, 256–266. [Google Scholar] [CrossRef]
- Mirazimi, M.S.; Kiyoumarsi, A. Magnetic Field Analysis of SynRel and PMASynRel Machines With Hyperbolic Flux Barriers Using Conformal Mapping. IEEE Trans. Transp. Electr. 2020, 6, 52–61. [Google Scholar] [CrossRef]
- Iglesias, I.; Garcia-Tabares, L.; Tamarit, J. A D-Q Model for the Self-commutated Synchronous Machine Considering the Effects of Magnetic Saturation. IEEE Trans. Energy Convers. 1992, 7, 768–776. [Google Scholar] [CrossRef]
- Sharbafi, M.A.; Lucas, C.; Daneshvar, R. Motion Control of Omni-Directional Three-Wheel Robots by Brain Emotional Learning Based Intelligent Controller. IEEE Trans. Syst. Man Cybern. 2010, 40, 630–638. [Google Scholar] [CrossRef]
- El-Gawad, A.A.; Elden, A.N.; Bahgat, M.E.; Abdel Ghany, A.M. BELBIC Load Frequency Controller Design for a Hydro-Thermal Power System. In Proceedings of the 2019 International Middle East Power Systems Conference (MEPCON), Cairo, Egypt, 17–19 December 2019; pp. 809–814. [Google Scholar] [CrossRef]
- Bajelani, M.; Ahmad Khalilpour, S.; Isaac Hosseini, M.; Taghirad, H.D.; Cardou, P. Brain Emotional Learning Based Intelligent Controller for a Cable-Driven Parallel Robot. In Proceedings of the 2021 RSI International Conference on Robotics and Mechatronics (ICRoM), Tehran, Islamic Republic of Iran, 17–19 November 2021; pp. 37–42. [Google Scholar] [CrossRef]
- Debnath, B.; Mija, S.J. Emotional Learning Based Controller for Quadruple Tank System—An Improved Stimuli Design for Multiple Set-Point Tracking. IEEE Trans. Ind. Electron. 2021, 68, 11296–11308. [Google Scholar] [CrossRef]
- Khorashadizadeh, S.; Zadeh, S.M.H.; Koohestani, M.R.; Shekofteh, S.; Erkaya, S. Robust Model-Free Control of a Class of Uncertain Nonlinear Systems Using BELBIC: Stability Analysis and Experimental Validation. J. Brazil. Soc. Mech. Sci. Eng. 2019, 41, 311. [Google Scholar] [CrossRef]
- Qutubuddin, M.; Yadaiah, N. Modeling and Implementation of Brain Emotional Controller for Permanent Magnet Synchronous Motor Drive. Eng. Appl. Artif. Intel. 2017, 60, 193–203. [Google Scholar] [CrossRef]
Disclaimer/Publisher’s Note: The statements, opinions and data contained in all publications are solely those of the individual author(s) and contributor(s) and not of MDPI and/or the editor(s). MDPI and/or the editor(s) disclaim responsibility for any injury to people or property resulting from any ideas, methods, instructions or products referred to in the content. |
© 2023 by the authors. Licensee MDPI, Basel, Switzerland. This article is an open access article distributed under the terms and conditions of the Creative Commons Attribution (CC BY) license (https://creativecommons.org/licenses/by/4.0/).























