Design of an S/X-Band Single-Layer Shared-Aperture Array Antenna Using a Mutual Complementary Configuration
Abstract
1. Introduction
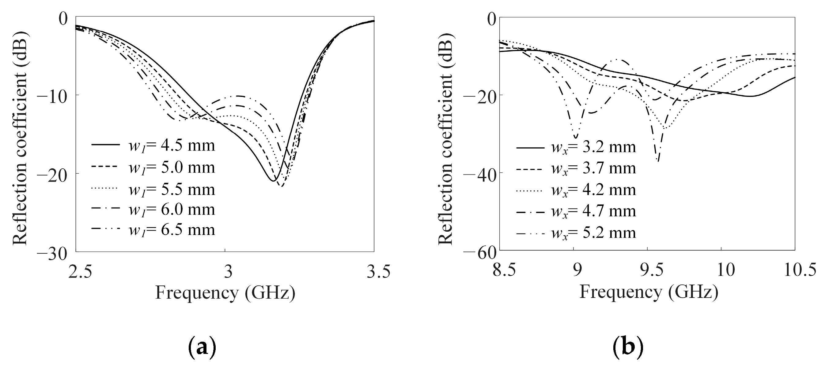
2. Design of a Unit Cell for the Single-Layer Shared-Aperture Antenna
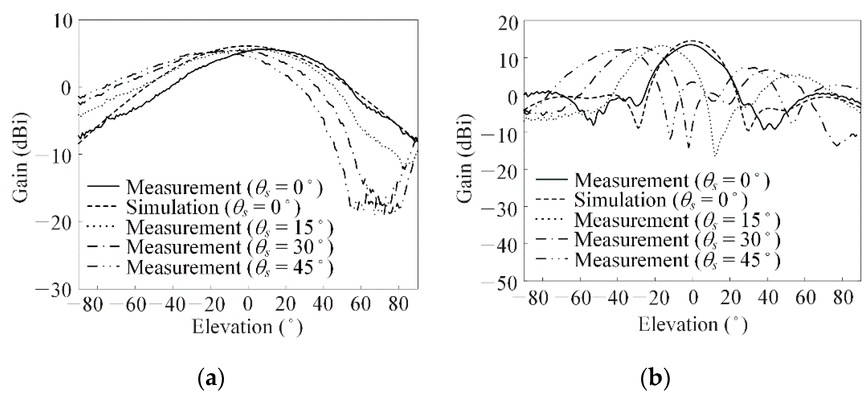
3. Measurement Results of the Proposed Antenna
4. Conclusions
Author Contributions
Funding
Institutional Review Board Statement
Informed Consent Statement
Data Availability Statement
Acknowledgments
Conflicts of Interest
References
- Wang, A.; Krishnamurthy, V. Signal interpretation of multifunctional radars: Modeling and statistical signal processing with stochastic context free grammar. IEEE Trans. Signal Process. 2008, 56, 1106–1119. [Google Scholar] [CrossRef]
- Zhou, Y.; Wang, T.; Hu, R.; Su, H.; Siu, Y.; Suo, J.; Snoussi, H. Multiple kernelized correlation filters (MKCF) for extended object tracking using X-band marine radar data. IEEE Trans. Signal Process. 2019, 67, 3676–3688. [Google Scholar] [CrossRef]
- Kwon, G.; Park, J.Y.; Kim, D.H.; Hwang, K.-C. Optimization of a shared-aperture dual-band transmitting/receiving array antenna for radar applications. IEEE Trans. Antennas Propag. 2017, 65, 7038–7051. [Google Scholar] [CrossRef]
- Wang, S.; Jang, D.; Kim, H.; Kim, H.; Choo, H. Design of polarization-selective EM transparent mesh-type E-shaped antenna for shared-aperture radar application. Appl. Sci. 2022, 12, 1862. [Google Scholar] [CrossRef]
- Choo, J.; Lim, T.; Kim, Y.; Choo, H. Design of wideband printed patch dipole antenna with a balanced on-board feeding network. J. Electromagn. Eng. Sci. 2022, 22, 631–637. [Google Scholar] [CrossRef]
- Tavik, G.C.; Hilterbrick, C.L.; Evins, J.B.; Alter, J.J.; Crnkovich, J.G.; Degraff, J.W.; Habicht, W.; Hrin, G.P.; Lessing, S.A.; Wu, D.C.; et al. The advanced multifunction RF concept. IEEE Trans. Microw. Theory Tech. 2005, 53, 1009–1020. [Google Scholar] [CrossRef]
- Liu, T.; Gao, X.; Zheng, Q.; Li, W.; Yang, H. RCS reduction of waveguide slot antenna with metamaterial absorber. IEEE Trans. Antennas Propag. 2013, 61, 1479–1484. [Google Scholar] [CrossRef]
- Dikmen, C.M.; Çimen, S.; Çakır, G. Planar octagonal-shaped UWB antenna with reduced radar cross section. IEEE Trans. Antennas Propag. 2014, 62, 2946–2953. [Google Scholar] [CrossRef]
- Bai, C.X.; Cheng, Y.R.; Ding, Y.R.; Zhang, J.F. A metamaterial-based S/X-band shared-aperture phased-array antenna with wide beam scanning coverage. IEEE Trans. Antennas Propag. 2020, 68, 4283–4292. [Google Scholar] [CrossRef]
- Kim, J.-H.; Hong, S.K.; Kim, B.-G. A shared-aperture S/X dual broadband microstrip antenna with one perforated patch. Microw. Opt. Technol. Lett. 2019, 62, 507–513. [Google Scholar] [CrossRef]
- Mao, C.-X.; Gao, S.; Wang, Y.; Luo, Q.; Chu, Q.-X. A shared-aperture dual-band dual-polarized filtering-antenna-array with improved frequency response. IEEE Trans. Antennas Propag. 2017, 65, 1836–1844. [Google Scholar] [CrossRef]
- Cheng, Y.; Dong, Y. Dual-broadband dual-polarized shared-aperture magnetoelectric dipole antenna for 5G applications. IEEE Trans. Antennas Propag. 2021, 69, 7918–7923. [Google Scholar] [CrossRef]
- Lu, X.; Chen, Y.; Guo, S.; Yang, S. An electromagnetic-transparent cascade comb dipole antenna for multi-band shared-aperture base station antenna array. IEEE Trans. Antennas Propag. 2022, 70, 2750–2759. [Google Scholar] [CrossRef]
- Rocio, R.-C.; Shuai, Z.; Kun, Z.; Gert, F. Reduction of main beam-blockage in an integrated 5G array with a metal-frame antenna. IEEE Trans. Antennas Propag. 2019, 67, 3161–3170. [Google Scholar]
- Song, C.-M.; Lim, H.-J.; Som, S.-V.; Lee, K.-Y.; Yang, Y.; Hwang, K.-C. Dual-band RF wireless power transfer system with a shared-aperture dual-band Tx array antenna. Energies 2021, 14, 3803. [Google Scholar] [CrossRef]
- Coman, C.I.; Lager, I.E.; Ligthart, L.P. The design of shared aperture antennas consisting of differently sized elements. IEEE Trans. Antennas Propag. 2006, 54, 376–383. [Google Scholar] [CrossRef]
- Wang, S.; Jang, D.; Kim, Y.; Choo, H. Design of S/X-band dual-loop shared-aperture 2 × 2 array antenna. J. Electromagn. Eng. Sci. 2022, 22, 319–325. [Google Scholar] [CrossRef]
- Balanis, A. Antenna Theory Analysis and Design, 4th ed.; Wiley: Hoboken, NJ, USA, 2016; pp. 61–915. [Google Scholar]
- Best, S.R. A discussion on the quality factor of impedance matched electrically small wire antennas. IEEE Trans. Antennas Propag. 2005, 53, 502–508. [Google Scholar] [CrossRef]
- Capek, M.; Gustafsson, M.; Schab, K. Minimization of antenna quality factor. IEEE Trans. Antenna Propag. 2017, 65, 4115–4123. [Google Scholar] [CrossRef]
- CST Studio Suite, DASSAULT SYSTEMS. Available online: https://www.3ds.com/products-services/simulia/products/cst-studio-suite/ (accessed on 14 January 2023).
- Kang, M.; Choo, H.; Byun, G. Design of a dual-band microstrip loop antenna with frequency-insensitive reactance variations for an extremely small array. IEEE Trans. Antennas Propag. 2017, 65, 2865–2873. [Google Scholar] [CrossRef]
- Ansari, J.A.; Ram, R.B. Analysis of broad band U-slot microstrip patch antenna. Microw. Opt. Technol. Lett. 2008, 50, 1069–1073. [Google Scholar] [CrossRef]
- Caratelli, D.; Cicchetti, R.; Bit-Babik, G.; Faraone, A. Circuit model and near-field behavior of a novel patch antenna for WWLAN applications. Microw. Opt. Technol. Lett. 2006, 49, 97–100. [Google Scholar] [CrossRef]
- Pozar, D.M. Microwave Engineering, 4th ed.; Wiley: Hoboken, NJ, USA, 2012; pp. 248–322. [Google Scholar]
- Barba, M. A high-isolation, wideband and dual-linear polarization patch antenna. IEEE Trans. Antennas Propag. 2008, 56, 1472–1476. [Google Scholar] [CrossRef]
- Colburn, J.S.; Rahmat-Samii, Y. Patch antennas on externally perforated high dielectric constant substrate. IEEE Trans. Antenna Propag. 1999, 47, 1785–1794. [Google Scholar] [CrossRef]
- Dahele, J.; Lee, K. Effect of substrate thickness on the performance of a circular-disk microstrip antenna. IEEE Trans. Antennas Propag. 1983, 31, 358–360. [Google Scholar] [CrossRef]
- Kim, J.; Kim, B.-G. Effect of feed substrate thickness on the bandwidth and radiation characteristics of an aperture-coupled microstrip antenna with a high permittivity feed substrate. J. Electromagn. Eng. Sci. 2018, 18, 101–107. [Google Scholar] [CrossRef]
- Pozar, D.M. The active element pattern. IEEE Trans. Antennas Propag. 1994, 42, 1176–1178. [Google Scholar] [CrossRef]
- Kang, E.; Lim, T.; Park, S.; Choo, H. Design of a novel wideband leaf-shaped printed dipole array antenna using a parasitic loop for high-power jamming applications. Sensors 2021, 21, 6882. [Google Scholar] [CrossRef]
- Chae, S.; Oh, S.-K.; Park, S.-O. Analysis of mutual coupling, correlations, and TARC in WiBro MIMO. IEEE Antennas Wirel. Propag. Lett. 2007, 6, 122–125. [Google Scholar] [CrossRef]
- Gao, P.; He, S.; Wei, X.; Xu, Z.; Wang, N.; Zheng, Y. Compact printed UWB diversity slot antenna with 5.5-GHz band-notched characteristics. IEEE Antennas Wirel. Propag. Lett. 2014, 13, 376–379. [Google Scholar] [CrossRef]











| Parameters | Dimension (mm) | 
|---|---|
| s | 17.0 | 
| h | 3.2 | 
| l1 | 21.0 | 
| l2 | 21.6 | 
| l3 | 8.7 | 
| g | 2.5 | 
| w1 | 5.5 | 
| w2 | 3.2 | 
| w3 | 10.1 | 
| lx | 4.2 | 
| wx | 4.2 | 
| Parameters | Value | 
|---|---|
| Lf | 1.5 pH | 
| R1 | 240.6 Ω | 
| C1 | 3.91 pF | 
| L1 | 600 pH | 
| R2 | 125.0 Ω | 
| C2 | 3.30 pF | 
| L2 | 710 pH | 
| Cm2 | 0.52 pF | 
| R3 | 125.0 Ω | 
| C3 | 3.30 pF | 
| L3 | 710 pH | 
| Cm3 | 0.52 pF | 
| Research | Operating Band | Bandwidth | Bore-Sight Gain | Array Spacing | Number of Elements | Unit Cell Height | 
|---|---|---|---|---|---|---|
| [9] | S X | 13.2% 11.7% | 12.6 dBi 13.7 dBi | 0.54 λ 0.51 λ | 8 32 | 0.1 λ | 
| [10] | S X | 11.6% 18.9% | 14.0 dBi 21.0 dBi | 0.73 λ 0.69 λ | 4 36 | 1.4 λ | 
| [11] | C X | 4.6% 4.6% | 10.0 dBi 12.0 dBi | 0.55 λ 0.72 λ | 4 4 | 0.1 λ | 
| [12] | S Ka | 50.3% 33.9% | 10.7 dBi 14.8 dBi | 0.30 λ 3.0 λ | 4 4 | 2.2 λ | 
| [15] | S C | 3.2% 4.6% | 20.0 dBic 20.8 dBic | 1.0 λ 1.2 λ | 32 32 | 0.02 λ | 
| This work | S X | 13.6% 13.4% | 5.4 dBi 13.4 dBi | 0.34 λ 0.51 λ | 4 16 | 0.1 λ | 
| Disclaimer/Publisher’s Note: The statements, opinions and data contained in all publications are solely those of the individual author(s) and contributor(s) and not of MDPI and/or the editor(s). MDPI and/or the editor(s) disclaim responsibility for any injury to people or property resulting from any ideas, methods, instructions or products referred to in the content. | 
© 2023 by the authors. Licensee MDPI, Basel, Switzerland. This article is an open access article distributed under the terms and conditions of the Creative Commons Attribution (CC BY) license (https://creativecommons.org/licenses/by/4.0/).
Share and Cite
Yim, E.-Y.; Jang, D.; Lee, C.-H.; Choo, H. Design of an S/X-Band Single-Layer Shared-Aperture Array Antenna Using a Mutual Complementary Configuration. Appl. Sci. 2023, 13, 4379. https://doi.org/10.3390/app13074379
Yim E-Y, Jang D, Lee C-H, Choo H. Design of an S/X-Band Single-Layer Shared-Aperture Array Antenna Using a Mutual Complementary Configuration. Applied Sciences. 2023; 13(7):4379. https://doi.org/10.3390/app13074379
Chicago/Turabian StyleYim, En-Yeal, Doyoung Jang, Chang-Hyun Lee, and Hosung Choo. 2023. "Design of an S/X-Band Single-Layer Shared-Aperture Array Antenna Using a Mutual Complementary Configuration" Applied Sciences 13, no. 7: 4379. https://doi.org/10.3390/app13074379
APA StyleYim, E.-Y., Jang, D., Lee, C.-H., & Choo, H. (2023). Design of an S/X-Band Single-Layer Shared-Aperture Array Antenna Using a Mutual Complementary Configuration. Applied Sciences, 13(7), 4379. https://doi.org/10.3390/app13074379
 
        

 
       