Exploring the Influencing Factors on User Experience in Robot-Assisted Health Monitoring Systems Combining Subjective and Objective Health Data
Abstract
Featured Application
Abstract
1. Introduction and Related Work
1.1. Assistive Technologies for Health Assessment
1.2. UX of Health Monitoring Systems
2. Materials and Methods
2.1. Social Robot
2.1.1. Health Assessment
2.1.2. Dialogue Management
2.2. Connected Health Devices
2.3. Mobile Application
2.4. Study Design and Participants
2.5. UX Questionnaires
2.6. Data Analysis
3. Results
3.1. Session 1: User Group A in Residential Care
3.1.1. Evaluation 1: Conclusions
3.1.2. Optimizations
3.2. Session 2: User Group B in Lab Tests
3.3. Session 3: User Group C in Assisted Living
3.4. Overall Results
4. Discussion
4.1. Influence of Prior Experience with Robots
4.2. Influence of Care Setting
4.3. Influence of Technological Expertise
4.4. Influence of Optimizations
4.5. Limitations
5. Conclusions and Future Work
Author Contributions
Funding
Institutional Review Board Statement
Informed Consent Statement
Data Availability Statement
Acknowledgments
Conflicts of Interest
Abbreviations
| AI | artificial intelligence |
| API | application programming interface |
| app | application |
| EKG | electrocardiogram |
| KPI | key performance indicator |
| PROMs | patient-reported outcome measures |
| UX | user experience |
| UEQ | User Experience Questionnaire |
| UEQ+ | modular extension of the User Experience Questionnaire |
| UI | user interface |
| SAS | Smiley-Analogue-Scale |
| SUS | System Usability Scale |
Appendix A. Health Assessment Questionnaire
| No. | Session | Question | Possible Answer Options |
| 1 | S123 | On a scale of 0 to 10: How would you rate your health today? (0 = very poor/10 = very healthy) | numbers between 0 and 10 |
| 2 | S123 | Are you experiencing any pain right now? | yes/no |
| opt. | S23 | Where is your pain located at the moment? | everywhere, back, neck, legs, knee, head, … |
| opt. | S123 | How severe is your pain? | mild/moderate/strong/very strong |
| 3 | S123 | Do you have or have you had a headache today? | yes/no |
| 4 | S123 | Are you feeling or have you felt dizzy today? | yes/no |
| 5 | S123 | How fit are you feeling today? | absolutely fit/rather fit/somewhat tired/very tired |
| 6 | S23 | Have you noticed any redness of your face today? | yes/sometimes/no |
| 7 | S23 | Do you have or have you had intermittent swelling of your hands or feet today? | yes/sometimes/no |
| 8 | S23 | Do you have or have you had heart palpitations today? | yes/no |
| 9 | S123 | Are you feeling stressed or tense today? | yes, slightly, not at all |
| 10 | S123 | Are you feeling sad or down today? | yes, slightly, not at all |
| 11 | S123 | When you think about this past week, how often did you feel sad or down? | always/usually/often/rarely/never |
| 12 | S23 | Are you feeling nauseous today? | yes/no |
| 13 | S23 | Are you currently experiencing pressure in your chest? | yes/no |
| 14 | S23 | Do you feel as if you had a fever today? | yes/no |
| 15 | S23 | Do you have or have you had the chills today? | yes/no |
| 16 | S123 | Did you eat with a good appetite today, respectively yesterday? | yes/no |
| 17 | S23 | Have you already had a serving of fruit or vegetables today? | yes/no |
| 18 | S123 | Did you already drink some water today? | yes/no |
| 19 | S23 | Are you currently experiencing a dry mouth or have chapped lips? | yes/no |
| 20 | S123 | On a scale of 0 to 10: How would you rate your sleep last night? (0 = very bad/10 = very good) | numbers between 0 and 10 |
| 21 | S123 | Did you feel well-rested when you got up this morning? | yes/no |
| 22 | S123 | Do you have difficulties with your memory? | yes/no |
| 23 | S23 | How would you rate your mood today? | balanced/somewhat tense/rather irritated/unbalanced |
| 24 | S23 | How often did you get up last night? | not at all/1–2 times/3–4 times/more often |
| 25 | S23 | Were you able to go straight to sleep last night? | yes/took me a little while/was still awake for a long time |
| 26 | S123 | Have you already taken a walk today, or do you still plan on going outside? | yes/maybe/no |
| 27 | S23 | Have you done any physical activity already today, or do you still plan to do so? | yes/maybe/no |
| 28 | S23 | Can you go up and down the stairs fully independently? | yes/no |
| 29 | S23 | Do you regularly take the stairs instead of the elevator? | yes/no |
| 30 | S23 | Have you already been in contact with your family or friends today? Even if only by phone? | yes/I still plan on doing so/I might do it (later)/no |
| 31 | S23 | Do you have any plans on meeting your family or friends today? | yes/not yet/no |
References
- Smith, R.O.; Scherer, M.J.; Cooper, R.; Bell, D.; Hobbs, D.A.; Pettersson, C.; Seymour, N.; Borg, J.; Johnson, M.J.; Lane, J.P.; et al. Assistive Technology Products: A Position Paper from the First Global Research, Innovation, and Education on Assistive Technology (GREAT) Summit. Disabil. Rehabil. Assist. Technol. 2018, 13, 473–485. [Google Scholar] [CrossRef] [PubMed]
- Maresova, P.; Režný, L.; Bauer, P.; Fadeyi, O.; Eniayewu, O.; Barakovic, S.; Barakovic Husic, J. An Effectiveness and Cost-Estimation Model for Deploying Assistive Technology Solutions in Elderly Care. Int. J. Healthc. Manag. 2022, 1–16. [Google Scholar] [CrossRef]
- Dobner, S.; Musterd, S.; Droogleever Fortuijn, J. ‘Ageing in Place’: Experiences of Older Adults in Amsterdam and Portland. GeoJournal 2016, 81, 197–209. [Google Scholar] [CrossRef]
- Ollevier, A.; Aguiar, G.; Palomino, M.; Simpelaere, I.S. How Can Technology Support Ageing in Place in Healthy Older Adults? A Systematic Review. Public Health Rev. 2020, 41, 26. [Google Scholar] [CrossRef]
- Wildenbos, G.A.; Peute, L.; Jaspers, M. Aging Barriers Influencing Mobile Health Usability for Older Adults: A Literature Based Framework (MOLD-US). Int. J. Med. Inform. 2018, 114, 66–75. [Google Scholar] [CrossRef]
- Neef, C.; Schneider, S.; Richert, A. An Architecture for Social Robot-assisted Subjective and Objective Health Monitoring. In Proceedings of the 2022 IEEE International Conference on Advanced Robotics and Its Social Impacts (ARSO), Long Beach, CA, USA, 28–30 May 2022; pp. 1–6. [Google Scholar] [CrossRef]
- Durán-Vega, L.A.; Santana-Mancilla, P.C.; Buenrostro-Mariscal, R.; Contreras-Castillo, J.; Anido-Rifón, L.E.; García-Ruiz, M.A.; Montesinos-López, O.A.; Estrada-González, F. An IoT System for Remote Health Monitoring in Elderly Adults through a Wearable Device and Mobile Application. Geriatrics 2019, 4, 34. [Google Scholar] [CrossRef]
- Dratsiou, I.; Varella, A.; Romanopoulou, E.; Villacañas, O.; Cooper, S.; Isaris, P.; Serras, M.; Unzueta, L.; Silva, T.; Zurkuhlen, A.; et al. Assistive Technologies for Supporting the Wellbeing of Older Adults. Technologies 2022, 10, 8. [Google Scholar] [CrossRef]
- Wu, M. Wearable Technology Applications in Healthcare: A Literature Review. Online J. Nurs. Inform. 2019, 23. Available online: https://www.proquest.com/docview/2621329056/abstract/1AFDA83C2684939PQ/1 (accessed on 27 November 2022).
- Moore, K.; O’Shea, E.; Kenny, L.; Barton, J.; Tedesco, S.; Sica, M.; Crowe, C.; Alamäki, A.; Condell, J.; Nordström, A.; et al. Older Adults’ Experiences With Using Wearable Devices: Qualitative Systematic Review and Meta-synthesis. JMIR mHealth uHealth 2021, 9, e23832. [Google Scholar] [CrossRef]
- Looije, R.; Neerincx, M.A.; Cnossen, F. Persuasive Robotic Assistant for Health Self-Management of Older Adults: Design and Evaluation of Social Behaviors. Int. J.-Hum.-Comput. Stud. 2010, 68, 386–397. [Google Scholar] [CrossRef]
- Pandey, A.K.; Gelin, R. A Mass-Produced Sociable Humanoid Robot: Pepper: The First Machine of Its Kind. IEEE Robot. Autom. Mag. 2018, 25, 40–48. [Google Scholar] [CrossRef]
- Paletta, L.; Schüssler, S.; Zuschnegg, J.; Steiner, J.; Pansy-Resch, S.; Lammer, L.; Prodromou, D.; Brunsch, S.; Lodron, G.; Fellner, M. AMIGO—A Socially Assistive Robot for Coaching Multimodal Training of Persons with Dementia. In Social Robots: Technological, Societal and Ethical Aspects of Human-Robot Interaction; Korn, O., Ed.; Springer International Publishing: Cham, Switzerland, 2019; pp. 265–284. [Google Scholar] [CrossRef]
- Fattal, C.; Cossin, I.; Pain, F.; Haize, E.; Marissael, C.; Schmutz, S.; Ocnarescu, I. Perspectives on Usability and Accessibility of an Autonomous Humanoid Robot Living with Elderly People. Disabil. Rehabil. Assist. Technol. 2022, 17, 418–430. [Google Scholar] [CrossRef]
- Robinson, N.L.; Cottier, T.V.; Kavanagh, D.J. Psychosocial Health Interventions by Social Robots: Systematic Review of Randomized Controlled Trials. J. Med Internet Res. 2019, 21, e13203. [Google Scholar] [CrossRef]
- Piasek, J.; Wieczorowska-Tobis, K. Acceptance and Long-Term Use of a Social Robot by Elderly Users in a Domestic Environment. In Proceedings of the 2018 11th International Conference on Human System Interaction (HSI), Gdansk, Poland, 4–6 July 2018; pp. 478–482. [Google Scholar] [CrossRef]
- Mucchiani, C.; Sharma, S.; Johnson, M.; Sefcik, J.; Vivio, N.; Huang, J.; Cacchione, P.; Johnson, M.; Rai, R.; Canoso, A.; et al. Evaluating Older Adults’ Interaction with a Mobile Assistive Robot. In Proceedings of the 2017 IEEE/RSJ International Conference on Intelligent Robots and Systems (IROS), Vancouver, BC, Canada, 24–28 September 2017; pp. 840–847. [Google Scholar] [CrossRef]
- Biswas, M.; Romeo, M.; Cangelosi, A.; Jones, R.B. Are Older People Any Different from Younger People in the Way They Want to Interact with Robots? Scenario Based Survey. J. Multimodal User Interfaces 2020, 14, 61–72. [Google Scholar] [CrossRef]
- Ostrowski, A.K.; Breazeal, C.; Park, H.W. Mixed-Method Long-Term Robot Usage: Older Adults’ Lived Experience of Social Robots. In Proceedings of the 2022 17th ACM/IEEE International Conference on Human-Robot Interaction (HRI), Sapporo, Japan, 7–10 March 2022; pp. 33–42. [Google Scholar] [CrossRef]
- Van der Putte, D.; Boumans, R.; Neerincx, M.; Rikkert, M.O.; de Mul, M. A Social Robot for Autonomous Health Data Acquisition Among Hospitalized Patients: An Exploratory Field Study. In Proceedings of the 2019 14th ACM/IEEE International Conference on Human-Robot Interaction (HRI), Daegu, Republic of Korea, 11–14 March 2019; pp. 658–659. [Google Scholar] [CrossRef]
- Boumans, R.; van Meulen, F.; van Aalst, W.; Albers, J.; Janssen, M.; Peters-Kop, M.; Huisman-de Waal, G.; van de Poll, A.; Hindriks, K.; Neerincx, M.; et al. Quality of Care Perceived by Older Patients and Caregivers in Integrated Care Pathways With Interviewing Assistance From a Social Robot: Noninferiority Randomized Controlled Trial. J. Med. Internet Res. 2020, 22, e18787. [Google Scholar] [CrossRef]
- Mann, J.A.; MacDonald, B.A.; Kuo, I.H.; Li, X.; Broadbent, E. People Respond Better to Robots than Computer Tablets Delivering Healthcare Instructions. Comput. Hum. Behav. 2015, 43, 112–117. [Google Scholar] [CrossRef]
- Manh Do, H.; Sheng, W.; Harrington, E.E.; Bishop, A.J. Clinical Screening Interview Using a Social Robot for Geriatric Care. IEEE Trans. Autom. Sci. Eng. 2021, 18, 1229–1242. [Google Scholar] [CrossRef]
- Van Greunen, D. User Experience for Social Human-Robot Interactions. In Proceedings of the 2019 Amity International Conference on Artificial Intelligence (AICAI), Dubai, United Arab Emirates, 4–6 February 2019; pp. 32–36. [Google Scholar] [CrossRef]
- Phiriyapokanon, T. Is a Big Button Interfaceenough for Elderly Users? Towards User Interface Guidelines for Elderly Users. Master’s Thesis, Mälardalen University, Västerås, Sweden, 2011. [Google Scholar]
- Shourmasti, E.S.; Colomo-Palacios, R.; Holone, H.; Demi, S. User Experience in Social Robots. Sensors 2021, 21, 5052. [Google Scholar] [CrossRef]
- Laugwitz, B.; Held, T.; Schrepp, M. Construction and Evaluation of a User Experience Questionnaire. In Proceedings of the HCI and Usability for Education and Work, Graz, Austria, 20–21 November 2008; Holzinger, A., Ed.; Springer: Berlin/Heidelberg, Germany, 2008; pp. 63–76. [Google Scholar] [CrossRef]
- Gerłowska, J.; Skrobas, U.; Grabowska-Aleksandrowicz, K.; Korchut, A.; Szklener, S.; Szczęśniak-Stańczyk, D.; Tzovaras, D.; Rejdak, K. Assessment of Perceived Attractiveness, Usability, and Societal Impact of a Multimodal Robotic Assistant for Aging Patients With Memory Impairments. Front. Neurol. 2018, 9, 392. [Google Scholar] [CrossRef]
- Schrepp, M.; Thomaschewski, J. Design and Validation of a Framework for the Creation of User Experience Questionnaires. Int. J. Interact. Multimed. Artif. Intell. 2019, 5, 88–95. [Google Scholar] [CrossRef]
- Brooke, J. SUS: A ’Quick and Dirty’ Usability Scale. In Usability Evaluation In Industry; CRC Press: Boca Raton, FL, USA, 1996. [Google Scholar]
- Grier, R.A.; Bangor, A.; Kortum, P.; Peres, S.C. The System Usability Scale: Beyond Standard Usability Testing. Proc. Hum. Factors Ergon. Soc. Annu. Meet. 2013, 57, 187–191. [Google Scholar] [CrossRef]
- Borsci, S.; Federici, S.; Lauriola, M. On the Dimensionality of the System Usability Scale: A Test of Alternative Measurement Models. Cogn. Process. 2009, 10, 193–197. [Google Scholar] [CrossRef] [PubMed]
- Bevilacqua, R.; Felici, E.; Marcellini, F.; Glende, S.; Klemcke, S.; Conrad, I.; Esposito, R.; Cavallo, F.; Dario, P. Robot-Era Project: Preliminary Results on the System Usability. In Proceedings of the Design, User Experience, and Usability: Interactive Experience Design, Los Angeles, CA, USA, 2–7 August 2015; Marcus, A., Ed.; Springer International Publishing: Cham, Switzerland, 2015; pp. 553–561. [Google Scholar] [CrossRef]
- Di Nuovo, A.; Varrasi, S.; Conti, D.; Bamsforth, J.; Lucas, A.; Soranzo, A.; McNamara, J. Usability Evaluation of a Robotic System for Cognitive Testing. In Proceedings of the 2019 14th ACM/IEEE International Conference on Human-Robot Interaction (HRI), Daegu, Republic of Korea, 11–14 March 2019; pp. 588–589. [Google Scholar] [CrossRef]
- Poberznik, A.; Merilampi, S. Older Adults’ Experiences with Pepper Humanoid Robot. Tutkimusfoorumi 2019, 13, 148. [Google Scholar]
- Normenausschuss, D. DIN EN ISO 9241-110; Ergonomics of Human-System-Interaction—Part 110: Interaction Principles; Beuth Verlag GmbH: Berlin, Germany, 2020. [Google Scholar]
- Stolee, P.; Hillier, L.M.; Esbaugh, J.; Bol, N.; McKellar, L.; Gauthier, N. Instruments for the Assessment of Pain in Older Persons with Cognitive Impairment: Pain assessment in persons with cognitive impairment. J. Am. Geriatr. Soc. 2005, 53, 319–326. [Google Scholar] [CrossRef]
- Rasa. Introduction to Rasa Open Source & Rasa Pro. 2022. Available online: https://rasa.com/docs/rasa/ (accessed on 2 December 2022).
- Paraschiv, E.A.; Petrache, C.M.; Bica, O. On the Continuous Development of IoT in Big Data Era in the Context of Remote Healthcare Monitoring & Artificial Intelligence. In Proceedings of the 2022 14th International Conference on Electronics, Computers and Artificial Intelligence (ECAI), Ploiesti, Romania, 30 June–1 July 2022; pp. 1–6. [Google Scholar] [CrossRef]
- Giggins, O.M.; Doyle, J.; Smith, S.; Crabtree, D.R.; Fraser, M. Measurement of Heart Rate Using the Withings ScanWatch Device During Free-living Activities: Validation Study. JMIR Form. Res. 2022, 6, e34280. [Google Scholar] [CrossRef]
- Edouard, P.; Campo, D.; Bartet, P.; Yang, R.Y.; Bruyneel, M.; Roisman, G.; Escourrou, P. Validation of the Withings Sleep Analyzer, an under-the-Mattress Device for the Detection of Moderate-Severe Sleep Apnea Syndrome. J. Clin. Sleep Med. 2021, 17, 1217–1227. [Google Scholar] [CrossRef]
- SA, W.F. Withings-API Developer Documentation. Available online: https://developer.withings.com/api-reference/ (accessed on 27 November 2022).
- SA, W.F. Public API Integration Guide. Available online: https://developer.withings.com/developer-guide/v3/integration-guide/public-health-data-api/public-health-data-api-overview (accessed on 28 November 2022).
- Nielsen, J.; Landauer, T.K. A Mathematical Model of the Finding of Usability Problems. In Proceedings of the SIGCHI Conference on Human Factors in Computing Systems-CHI ’93, Amsterdam, The Netherlands, 24–29 April 1993; ACM Press: Amsterdam, The Netherlands, 1993; pp. 206–213. [Google Scholar] [CrossRef]
- Hinderks, A.; Schrepp, M.; Domínguez Mayo, F.J.; Escalona, M.J.; Thomaschewski, J. Developing a UX KPI Based on the User Experience Questionnaire. Comput. Stand. Interfaces 2019, 65, 38–44. [Google Scholar] [CrossRef]
- Bogner, K.; Landrock, U. Antworttendenzen in Standardisierten Umfragen; SDM Survey Guidelines; GESIS—Leibniz Institut für Sozialwissenschaften: Mannheim, Germany, 2015; pp. 1–9. [Google Scholar] [CrossRef]







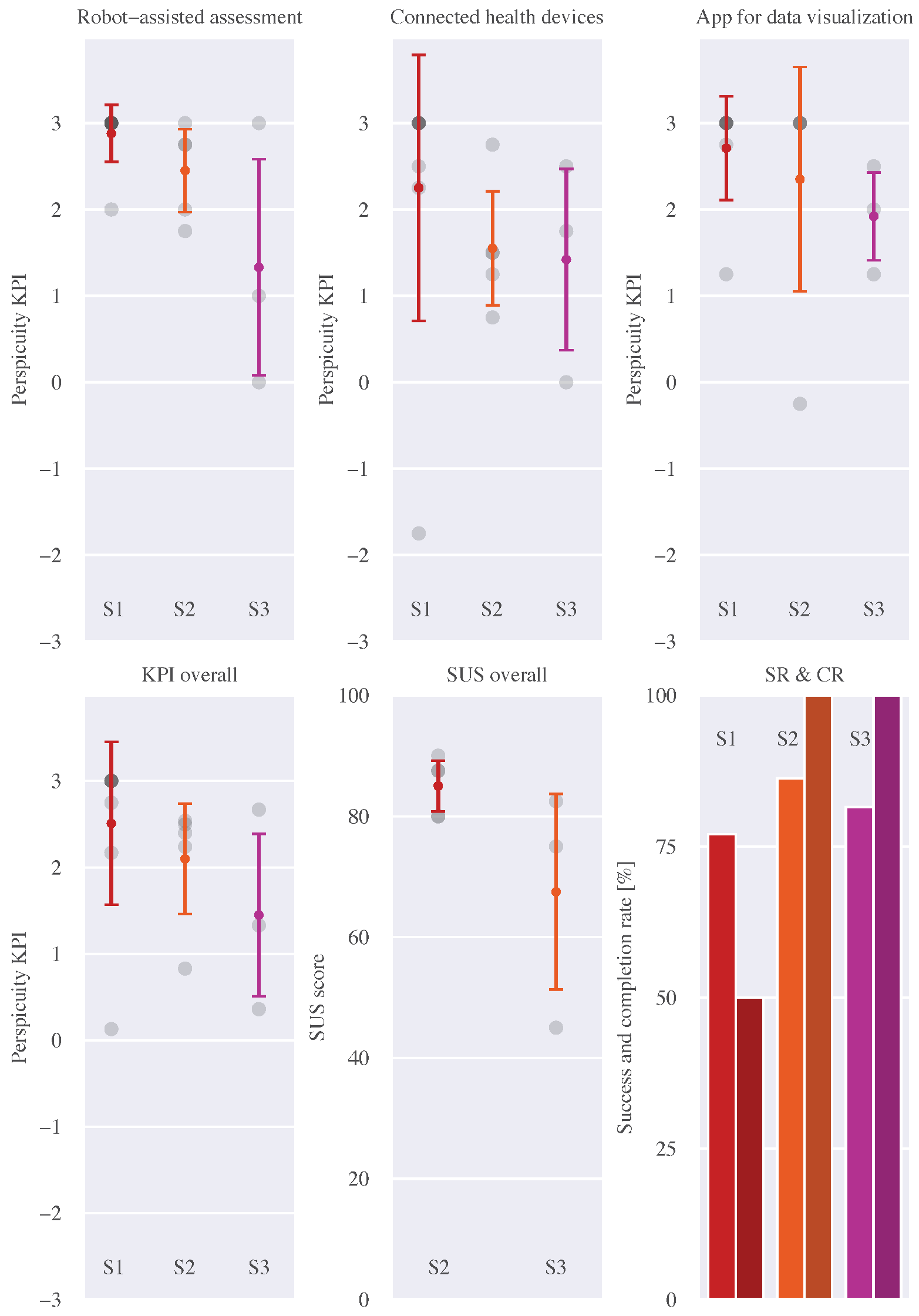
| Session 1—Group A in residential care, N = 8 + 1, 5 + 1 with previous Pepper experience | |||||
|---|---|---|---|---|---|
| Perspicuity | Mean (SD) | Median | Importance (SD) | KPI (SD) | Range |
| Pepper | 2.88 (0.48) | 3 | 2.00 (1.41) | 2.88 (0.33) | 2–3 |
| Sensors | 2.25 (1.64) | 3 | 2.00 (1.41) | 2.25 (1.54) | 1.75–3 |
| App | 2.71 (1.13) | 3 | 2.00 (1.77) | 2.71 (0.60) | 0–3 |
| KPI Overall (SD) | 2.51 (0.94) | 0.13–3 | |||
| Session 2—Group B in lab, N = 5, 4 with previous Pepper experience | |||||
| Perspicuity | Mean (SD) | Median | Importance (SD) | KPI (SD) | Range |
| Pepper | 2.45 (0.59) | 2.5 | 2 (0.63) | 2.45 (0.48) | −1.75–3 |
| Sensors | 1.55 (1.28) | 1.5 | 2.67 (0.49) | 1.55 (0.66) | 0.75–2.75 |
| App | 2.35 (1.35) | 3 | 2.2 (0.75) | 2.35 (1.3) | 0–2.5 |
| KPI Overall (SD) | 2.1 (0.64) | 0.83–2.54 | |||
| SUS Overall (SD) | 85 (4.18) | 80–90 | |||
| Session 3—Group C in assisted living, N = 3, 3 with previous Pepper experience | |||||
| Perspicuity | Mean (SD) | Median | Importance (SD) | KPI (SD) | Range |
| Pepper | 1.33 (1.97) | 2 | 1.33 (1.25) | 1.33 (1.25) | 1.25–3 |
| Sensors | 1.42 (1.61) | 2 | 0.75 (1.41) | 1.42 (1.05) | −0.25–3 |
| App | 1.92 (0.86) | 2 | 0.33 (2.05) | 1.92 (0.51) | 1.25–2.5 |
| KPI Overall (SD) | 1.45 (0.94) | 0.36–2.67 | |||
| SUS Overall (SD) | 67.5 (16.20) | 45–82.5 | |||
| Error Categories | Session 1 w/Aborted Tries | Session 1 w/out Aborted Tries | Session 2 | Session 3 |
|---|---|---|---|---|
| No. of questions repeated (for whatever reason) | 24 | 22 | 0 | 0 |
| Overall off-script-events | 34 | 27 | 23 | 19 |
| Not a valid answer option | 15 | 11 | 7 | 3 |
| Off-topic remark/remark directed at researcher | 8 | 6 | 0 | 2 |
| System error (correct input matched wrong) | 4 | 4 | 1 | 0 |
| User uttering spoken too softly/no speech recognized | 3 | 3 | 7 | 10 |
| STT error (system understood correct input wrong) | 3 | 2 | 2 | 4 |
| Training data error | 1 | 1 | 6 | 0 |
| Session 1 w/ Aborted Attempts | Session 1 w/out Aborted Attempts | Session 2 | Session 3 | |
|---|---|---|---|---|
| Total turns taken (incl. aborted attempts) | 148 | 136 | 167 | 103 |
| Successful turns (incl. aborted attempts) | 114 | 109 | 144 | 84 |
| Success rate | 77.03% | 80.01% | 86.23% | 81.55% |
| No. of aborted queries | 3 | - | 0 | 0 |
| Total no. of queries (w/out aborted attempts) | 8 | 5 | 3 | |
| Total no. of completed queries | 4 | 5 | 3 | |
| Completion rate | 50% | 100% | 100% |
| Session 1 Participants | Session 1 Participants | |
|---|---|---|
| with Experience (N = 5) | without Experience (N = 3) | |
| Total turns (w/aborted attempts) | 95 | 53 |
| Successful turns | 79 | 35 |
| Success rate | 83.16% | 66.04% |
| Completion rate | 60.00% | 33.33% |
Disclaimer/Publisher’s Note: The statements, opinions and data contained in all publications are solely those of the individual author(s) and contributor(s) and not of MDPI and/or the editor(s). MDPI and/or the editor(s) disclaim responsibility for any injury to people or property resulting from any ideas, methods, instructions or products referred to in the content. |
© 2023 by the authors. Licensee MDPI, Basel, Switzerland. This article is an open access article distributed under the terms and conditions of the Creative Commons Attribution (CC BY) license (https://creativecommons.org/licenses/by/4.0/).
Share and Cite
Neef, C.; Linden, K.; Richert, A. Exploring the Influencing Factors on User Experience in Robot-Assisted Health Monitoring Systems Combining Subjective and Objective Health Data. Appl. Sci. 2023, 13, 3537. https://doi.org/10.3390/app13063537
Neef C, Linden K, Richert A. Exploring the Influencing Factors on User Experience in Robot-Assisted Health Monitoring Systems Combining Subjective and Objective Health Data. Applied Sciences. 2023; 13(6):3537. https://doi.org/10.3390/app13063537
Chicago/Turabian StyleNeef, Caterina, Katharina Linden, and Anja Richert. 2023. "Exploring the Influencing Factors on User Experience in Robot-Assisted Health Monitoring Systems Combining Subjective and Objective Health Data" Applied Sciences 13, no. 6: 3537. https://doi.org/10.3390/app13063537
APA StyleNeef, C., Linden, K., & Richert, A. (2023). Exploring the Influencing Factors on User Experience in Robot-Assisted Health Monitoring Systems Combining Subjective and Objective Health Data. Applied Sciences, 13(6), 3537. https://doi.org/10.3390/app13063537

