Characterization of the Products of the Catalytic Pyrolysis of Discarded COVID-19 Masks over Sepiolite
Abstract
1. Introduction
2. Materials and Methods
2.1. Materials and Characterization
2.2. Pyrolysis Experiments
2.3. Characterization of Liquid Fraction
2.4. Characterization of Solid Fraction (Biochar)
2.5. Characterization of Syngas Fraction
3. Results and Discussions
3.1. Characterization of the Face Masks
3.2. Thermal Pyrolysis
3.3. Catalytic Pyrolysis
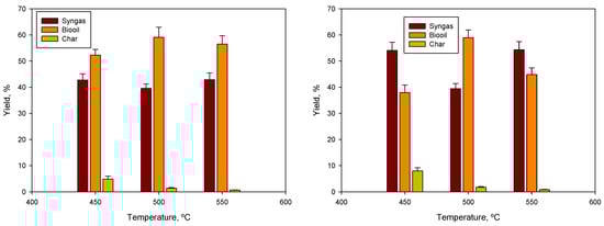
3.3.1. Effect of Sepiolite on Product Yield
3.3.2. Characterization of Liquid Fraction
3.3.3. Characterization of Solid Fraction
3.3.4. Characterization of Syngas Fraction
3.3.5. Effect of Regeneration on Sepiolite Properties
4. Conclusions
- The construction of detailed kinetic models.
- Understanding of the pyrolysis mechanism over sepiolite to adequately modify this material to develop more selective sepiolite-based catalysts towards specific high-value products.
- The analysis of the socio-economic and environmental impacts.
Supplementary Materials
Author Contributions
Funding
Institutional Review Board Statement
Informed Consent Statement
Conflicts of Interest
References
- Aragaw, T.A. Surgical face masks as a potential source for microplastic pollution in the COVID-19 scenario. Mar. Pollut. Bull. 2020, 159, 111517. [Google Scholar] [CrossRef] [PubMed]
- Prata, J.C.; Silva, A.L.; Walker, T.R.; Duarte, A.C.; Rocha-Santos, T. COVID-19 Pandemic Repercussions on the Use and Management of Plastics. Environ. Sci. Technol. 2020, 54, 7760–7765. [Google Scholar] [CrossRef] [PubMed]
- Roberts, K.P.; Phang, S.C.; Williams, J.B.; Hutchinson, D.J.; Kolstoe, S.E.; de Bie, J.; Williams, I.D.; Stringfellow, A.M. Increased personal protective equipment litter as a result of COVID-19 measures. Nat. Sustain. 2021, 5, 272–279. [Google Scholar] [CrossRef]
- INE. 2020. Available online: https://www.ine.es/prensa/eiap_2020.pdf (accessed on 26 February 2023).
- Abhilash; Inamdar, I. Recycling of plastic wastes generated from COVID-19: A comprehensive illustration of type and properties of plastics with remedial options. Sci. Total Environ. 2022, 838, 155895. [Google Scholar] [CrossRef] [PubMed]
- Sun, X.; Liu, Z.; Shi, L.; Liu, Q. Pyrolysis of COVID-19 disposable masks and catalytic cracking of the volatiles. J. Anal. Appl. Pyrolysis 2022, 163, 105481. [Google Scholar] [CrossRef]
- Dargahi, A.; Jeddi, F.; Ghobadi, H.; Vosoughi, M.; Karami, C.; Sarailoo, M.; Hadisi, A.; Mokhtari, S.A.; Haghighi, S.B.; Sadeghi, H.; et al. Evaluation of masks’ internal and external surfaces used by health care workers and patients in coronavirus-2 (SARS-CoV-2) wards. Environ. Res. 2021, 196, 110948. [Google Scholar] [CrossRef]
- Ilyas, S.; Srivastava, R.R.; Kim, H. Disinfection technology and strategies for COVID-19 hospital and bio-medical waste management. Sci. Total Environ. 2020, 749, 141652. [Google Scholar] [CrossRef]
- Dharmaraj, S.; Ashokkumar, V.; Chew, K.W.; Chia, S.R.; Show, P.L.; Ngamcharussrivichai, C. Novel strategy in biohydrogen energy production from COVID-19 plastic waste: A critical review. Int. J. Hydrogen Energy 2021, 47, 42051–42074. [Google Scholar] [CrossRef]
- Alabi, O.A.; Ologbonjaye, K.I.; Awosolu, O.; Alalade, O.E. Public and Environmental Health Effects of Plastic Wastes Disposal: A Review. J. Toxicol. Risk Assess. 2019, 5, 021. [Google Scholar] [CrossRef]
- Siwal, S.S.; Chaudhary, G.; Saini, A.K.; Kaur, H.; Saini, V.; Mokhta, S.K.; Chand, R.; Chandel, U.; Christie, G.; Thakur, V.K. Key ingredients and recycling strategy of personal protective equipment (PPE): Towards sustainable solution for the COVID-19 like pandemics. J. Environ. Chem. Eng. 2021, 9, 106284. [Google Scholar] [CrossRef]
- Zhao, X.; Klemeš, J.J.; You, F. Energy and environmental sustainability of waste personal protective equipment (PPE) treatment under COVID-19. Renew. Sustain. Energy Rev. 2021, 153, 111786. [Google Scholar] [CrossRef]
- Wang, J.; Jiang, J.; Zhang, Y.; Meng, X.; Ragauskas, A.J. Upcycling disposable face masks into fuel range iso-alkanes through hydropyrolysis coupled with vapor-phase hydrocracking. Energy 2023, 263, 125843. [Google Scholar] [CrossRef]
- Dogu, O.; Pelucchi, M.; Van de Vijver, R.; Van Steenberge, P.H.; D’Hooge, D.R.; Cuoci, A.; Mehl, M.; Frassoldati, A.; Faravelli, T.; Van Geem, K.M. The chemistry of chemical recycling of solid plastic waste via pyrolysis and gasification: State-of-the-art, challenges, and future directions. Prog. Energy Combust. Sci. 2021, 84, 100901. [Google Scholar] [CrossRef]
- Sharma, G.; Upadhyay, E. Production of Hydrocarbon Liquid Fuels from waste Personal Protective Equipment (PPEs) through Pyrolysis. Chemistryselect 2022, 7, e202200356. [Google Scholar] [CrossRef]
- Kartik, S.; Balsora, H.K.; Sharma, M.; Saptoro, A.; Jain, R.K.; Joshi, J.B.; Sharma, A. Valorization of plastic wastes for production of fuels and value-added chemicals through pyrolysis—A review. Therm. Sci. Eng. Prog. 2022, 32. [Google Scholar] [CrossRef]
- Yoshioka, T.; Handa, T.; Grause, G.; Lei, Z.; Inomata, H.; Mizoguchi, T. Effects of metal oxides on the pyrolysis of poly(ethylene terephthalate). J. Anal. Appl. Pyrolysis. 2005, 73, 139–144. [Google Scholar] [CrossRef]
- Ji, M.; Chen, L.; Que, J.; Zheng, L.; Chen, Z.; Wu, Z. Effects of transition metal oxides on pyrolysis properties of PVC. Process. Saf. Environ. Prot. 2020, 140, 211–220. [Google Scholar] [CrossRef]
- Fadillah, G.; Fatimah, I.; Sahroni, I.; Musawwa, M.; Mahlia, T.; Muraza, O. Recent Progress in Low-Cost Catalysts for Pyrolysis of Plastic Waste to Fuels. Catalysts 2021, 11, 837. [Google Scholar] [CrossRef]
- Li, C.; Yuan, X.; Sun, Z.; Suvarna, M.; Hu, X.; Wang, X.; Ok, Y.S. Pyrolysis of waste surgical masks into liquid fuel and its life-cycle assessment. Bioresour. Technol. 2021, 346, 126582. [Google Scholar] [CrossRef]
- Chen, R.; Zhang, D.; Xu, X.; Yuan, Y. Pyrolysis characteristics, kinetics, thermodynamics and volatile products of waste medical surgical mask rope by thermogravimetry and online thermogravimetry-Fourier transform infrared-mass spectrometry analysis. Fuel 2021, 295, 120632. [Google Scholar] [CrossRef]
- Hazan, M.A.; Mamat, M.S.; Ismail, I.; Hussein, M.Z.; Yaakob, Y. Fractionation of waste nitrile butadiene rubber (NBR) latex sludge. AIP Conf. Proc. 2019, 2151, 020012. [Google Scholar] [CrossRef]
- Jung, S.; Lee, S.; Dou, X.; Kwon, E.E. Valorization of disposable COVID-19 mask through the thermo-chemical process. Chem. Eng. J. 2020, 405, 126658. [Google Scholar] [CrossRef] [PubMed]
- Aragaw, T.A.; Mekonnen, B.A. Current plastics pollution threats due to COVID-19 and its possible mitigation techniques: A waste-to-energy conversion via Pyrolysis. Environ. Syst. Res. 2021, 10, 1–11. [Google Scholar] [CrossRef] [PubMed]
- Park, C.; Choi, H.; Lin, K.-Y.A.; Kwon, E.E.; Lee, J. COVID-19 mask waste to energy via thermochemical pathway: Effect of Co-Feeding food waste. Energy 2021, 230, 120876. [Google Scholar] [CrossRef]
- Brillard, A.; Kehrli, D.; Douguet, O.; Gautier, K.; Tschamber, V.; Bueno, M.-A.; Brilhac, J.-F. Pyrolysis and combustion of community masks: Thermogravimetric analyses, characterizations, gaseous emissions, and kinetic modeling. Fuel 2021, 306, 121644. [Google Scholar] [CrossRef]
- Skrzyniarz, M.; Sajdak, M.; Zajemska, M.; Iwaszko, J.; Biniek-Poskart, A.; Skibiński, A.; Morel, S.; Niegodajew, P. Plastic Waste Management towards Energy Recovery during the COVID-19 Pandemic: The Example of Protective Face Mask Pyrolysis. Energies 2022, 15, 2629. [Google Scholar] [CrossRef]
- Nawaz, A.; Kumar, P. Thermal degradation of hazardous 3-layered COVID-19 face mask through pyrolysis: Kinetic, thermodynamic, prediction modelling using ANN and volatile product characterization. J. Taiwan Inst. Chem. Eng. 2022, 139, 104538. [Google Scholar] [CrossRef]
- Ali, L.; Kuttiyathil, M.S.; Altarawneh, M. Catalytic upgrading of the polymeric constituents in Covid-19 masks. J. Environ. Chem. Eng. 2022, 10, 106978. [Google Scholar] [CrossRef]
- Lee, S.B.; Lee, J.; Tsang, Y.F.; Kim, Y.-M.; Jae, J.; Jung, S.-C.; Park, Y.-K. Production of value-added aromatics from wasted COVID-19 mask via catalytic pyrolysis. Environ. Pollut. 2021, 283, 117060. [Google Scholar] [CrossRef]
- Yuwen, C.; Liu, B.; Rong, Q.; Zhang, L.; Guo, S. Self-activated pyrolytic synthesis of S, N and O co-doped porous carbon derived from discarded COVID-19 masks for lithium sulfur batteries. Renew. Energy 2022, 192, 58–66. [Google Scholar] [CrossRef]
- Yang, W.; Cao, L.; Li, W.; Du, X.; Lin, Z.; Zhang, P. Carbon Nanotube prepared by catalytic pyrolysis as the electrode for supercapacitors from polypropylene wasted face masks. Ionics 2022, 28, 3489–3500. [Google Scholar] [CrossRef]
- Ramalingam, S.; Thamizhvel, R.; Sudagar, S.; Silambarasan, R. Production of third generation bio-fuel through thermal cracking process by utilizing Covid-19 plastic wastes. Mater. Today Proc. 2023, 72, 1618–1623. [Google Scholar] [CrossRef]
- Maity, S.; Srinivas, B.; Prasad, V.; Singh, A.; Dhar, G.M.; Rao, T. Studies on sepiolite supported hydrotreating catalysts. Stud. Surf. Sci. Catal. 1998, 113, 579–590. [Google Scholar] [CrossRef]
- Deer, W.A.; Howie, R.A.; Zussman, J. An Introduction to the Rock-Forming Minerals, 2nd ed.; The Mineralogical Society: London, UK, 1992; Available online: http://pubs.geoscienceworld.org/minersoc/books/book/952/chapter-pdf/3751723/9780903056434_frontmatter.pdf (accessed on 9 January 2023).
- Akbulut, A.; Kadir, S. The geology and origin of sepiolite, palygorskite and saponite in Neogene lacustrine sediments of the Serinhisar-Acipayam Basin, Denizli, SW Turkey. Clays Clay Miner. 2003, 51, 279–292. [Google Scholar] [CrossRef]
- Sabah, E.; Çelik, M.S. Sepiolite: An effective bleaching adsorbent for the physical refining of degummed rapeseed oil. J. Am. Oil Chem. Soc. 2005, 82, 911–916. [Google Scholar] [CrossRef]
- Suárez, M.; García-Rivas, J.; García-Romero, E.; Jara, N. Mineralogical characterisation and surface properties of sepiolite from Polatli (Turkey). Appl. Clay Sci. 2016, 131, 124–130. [Google Scholar] [CrossRef]
- Song, N.; Hursthouse, A.; McLellan, I.; Wang, Z. Treatment of environmental contamination using sepiolite: Current approaches and future potential. Environ. Geochem. Health 2020, 43, 2679–2697. [Google Scholar] [CrossRef]
- Foffi, R.; Savuto, E.; Stante, M.; Mancini, R.; Gallucci, K. Study of Energy Valorization of Disposable Masks via Thermochemical Processes: Devolatilization Tests and Simulation Approach. Energies 2022, 15, 2103. [Google Scholar] [CrossRef]
- Remón, J.; Zapata, G.; Oriol, L.; Pinilla, J.L.; Suelves, I. A novel ‘sea-thermal’, synergistic co-valorisation approach for biofuels production from unavoidable food waste (almond hulls) and plastic residues (disposable face masks). Chem. Eng. J. 2022, 449, 137810. [Google Scholar] [CrossRef]
- Fang, J.; Zhang, L.; Sutton, D.; Wang, X.; Lin, T. Needleless Melt-Electrospinning of Polypropylene Nanofibres. J. Nanomater. 2012, 2012, 382639. [Google Scholar] [CrossRef]
- Gulmine, J.; Janissek, P.; Heise, H.; Akcelrud, L. Polyethylene characterization by FTIR. Polym. Test. 2002, 21, 557–563. [Google Scholar] [CrossRef]
- Pinto, F.; Costa, P.; Gulyurtlu, I.; Cabrita, I. Pyrolysis of plastic wastes: 2. Effect of catalyst on product yield. J. Anal. Appl. Pyrolysis 1999, 51, 57–71. [Google Scholar] [CrossRef]
- Tarach, K.A.; Góra-Marek, K.; Martinez-Triguero, J.; Melián-Cabrera, I. Acidity and accessibility studies of desilicated ZSM-5 zeolites in terms of their effectiveness as catalysts in acid-catalyzed cracking processes. Catal. Sci. Technol. 2017, 7, 858–873. [Google Scholar] [CrossRef]
- Yousef, S.; Eimontas, J.; Striūgas, N.; Abdelnaby, M.A. Pyrolysis kinetic behaviour and TG-FTIR-GC–MS analysis of Coronavirus Face Masks. J. Anal. Appl. Pyrolysis 2021, 156, 105118. [Google Scholar] [CrossRef] [PubMed]
- Yousef, S.; Eimontas, J.; Stasiulaitiene, I.; Zakarauskas, K.; Striūgas, N. Pyrolysis of all layers of surgical mask waste as a mixture and its life-cycle assessment. Sustain. Prod. Consum. 2022, 32, 519–531. [Google Scholar] [CrossRef]
- Achilias, D.S.; Roupakias, C.; Megalokonomos, P.; Lappas, A.A.; Antonakou, E.V. Chemical recycling of plastic wastes made from polyethylene (LDPE and HDPE) and polypropylene (PP). J. Hazard. Mater. 2007, 149, 536–542. [Google Scholar] [CrossRef]
- Donaj, P.J.; Kaminsky, W.; Buzeto, F.; Yang, W. Pyrolysis of polyolefins for increasing the yield of monomers’ recovery. Waste Manag. 2011, 32, 840–846. [Google Scholar] [CrossRef]
- Marongiu, A.; Faravelli, T.; Ranzi, E. Detailed kinetic modeling of the thermal degradation of vinyl polymers. J. Anal. Appl. Pyrolysis 2007, 78, 343–362. [Google Scholar] [CrossRef]
- Silvério, F.O.; Barbosa, L.C.A.; Piló-Veloso, D. Pyrolysis as an analytical technique. Quim. Nova 2008, 31, 1543–1552. [Google Scholar] [CrossRef]
- Serra, A.C.S.; Milato, J.V.; Faillace, J.G.; Calderari, M.R.C.M. Reviewing the use of zeolites and clay based catalysts for pyrolysis of plastics and oil fractions. Braz. J. Chem. Eng. 2022, 1–33. [Google Scholar] [CrossRef]
- Supriyanto; Ylitervo, P.; Richards, T. Gaseous Products from Primary Reactions of Fast Plastic Pyrolysis. J. Anal. Appl. Pyrolysis 2021, 158, 105248. [Google Scholar] [CrossRef]
- Kumar, S.; Panda, A.K.; Singh, R. A review on tertiary recycling of high-density polyethylene to fuel. Resour. Conserv. Recycl. 2011, 55, 893–910. [Google Scholar] [CrossRef]
- Noreña, L.; Aguilar, J.; Mugica, V.; Gutiérrez, M.; Torres, M. Materials and Methods for the Chemical Catalytic Cracking of Plastic Waste. Mater. Recycl. Trends Perspect. 2012, 151–174. [Google Scholar] [CrossRef]
- Almeida, D.; Marques, M.D.F. Thermal and catalytic pyrolysis of plastic waste. Polímeros 2016, 26, 44–51. [Google Scholar] [CrossRef]
- Kass, M.D.; Armstrong, B.L.; Kaul, B.C.; Connatser, R.M.; Lewis, S.; Keiser, J.R.; Jun, J.; Warrington, G.; Sulejmanovic, D. Stability, Combustion, and Compatibility of High-Viscosity Heavy Fuel Oil Blends with a Fast Pyrolysis Bio-Oil. Energy Fuels 2020, 34, 8403–8413. [Google Scholar] [CrossRef]
- Syamsiro, M.; Saptoadi, H.; Norsujianto, T.; Noviasri, P.; Cheng, S.; Alimuddin, Z.; Yoshikawa, K. Fuel Oil Production from Municipal Plastic Wastes in Sequential Pyrolysis and Catalytic Reforming Reactors. Energy Procedia 2014, 47, 180–188. [Google Scholar] [CrossRef]
- Harussani, M.; Sapuan, S.; Rashid, U.; Khalina, A. Development and Characterization of Polypropylene Waste from Personal Protective Equipment (PPE)-Derived Char-Filled Sugar Palm Starch Biocomposite Briquettes. Polymers 2021, 13, 1707. [Google Scholar] [CrossRef]
- Ouadi, M.; Jaeger, N.; Greenhalf, C.; Santos, J.; Conti, R.; Hornung, A. Thermo-Catalytic Reforming of municipal solid waste. Waste Manag. 2017, 68, 198–206. [Google Scholar] [CrossRef]
- Martín-Lara, M.; Piñar, A.; Ligero, A.; Blázquez, G.; Calero, M. Characterization and Use of Char Produced from Pyrolysis of Post-Consumer Mixed Plastic Waste. Water 2021, 13, 1188. [Google Scholar] [CrossRef]
- Vo, T.A.; Tran, Q.K.; Ly, H.V.; Kwon, B.; Hwang, H.T.; Kim, J.; Kim, S.-S. Co-pyrolysis of lignocellulosic biomass and plastics: A comprehensive study on pyrolysis kinetics and characteristics. J. Anal. Appl. Pyrolysis 2022, 163, 105464. [Google Scholar] [CrossRef]
- Novak, J.M.; Cantrell, K.B.; Watts, D.W. Compositional and Thermal Evaluation of Lignocellulosic and Poultry Litter Chars via High and Low Temperature Pyrolysis. BioEnergy Res. 2012, 6, 114–130. [Google Scholar] [CrossRef]
- Yaqoob, L.; Noor, T.; Iqbal, N. Conversion of Plastic Waste to Carbon-Based Compounds and Application in Energy Storage Devices. ACS Omega 2022, 7, 13403–13435. [Google Scholar] [CrossRef] [PubMed]
- Azni, A.A.; Ghani, W.A.W.A.K.; Idris, A.; Ja’Afar, M.F.Z.; Salleh, M.A.M.; Ishak, N.S. Microwave-assisted pyrolysis of EFB-derived biochar as potential renewable solid fuel for power generation: Biochar versus sub-bituminous coal. Renew. Energy 2019, 142, 123–129. [Google Scholar] [CrossRef]
- Xu, J.; Yu, J.; Xu, J.; Sun, C.; He, W.; Huang, J.; Li, G. High-value utilization of waste tires: A review with focus on modified carbon black from pyrolysis. Sci. Total Environ. 2020, 742, 140235. [Google Scholar] [CrossRef]
- Yousef, S.; Eimontas, J.; Subadra, S.P.; Striūgas, N. Functionalization of char derived from pyrolysis of metallised food packaging plastics waste and its application as a filler in fiberglass/epoxy composites. Process. Saf. Environ. Prot. 2021, 147, 723–733. [Google Scholar] [CrossRef]
- Wijesekara, D.A.; Sargent, P.; Ennis, C.J.; Hughes, D. Prospects of using chars derived from mixed post waste plastic pyrolysis in civil engineering applications. J. Clean. Prod. 2021, 317, 128212. [Google Scholar] [CrossRef]
- Vanapalli, K.R.; Bhattacharya, J.; Samal, B.; Chandra, S.; Medha, I.; Dubey, B.K. Single-use LDPE—Eucalyptus biomass char composite produced from co-pyrolysis has the properties to improve the soil quality. Process. Saf. Environ. Prot. 2020, 149, 185–198. [Google Scholar] [CrossRef]
- Bernardo, M.; Lapa, N.; Gonçalves, M.; Mendes, B.; Pinto, F.; Fonseca, I.; Lopes, H. Physico-chemical properties of chars obtained in the co-pyrolysis of waste mixtures. J. Hazard. Mater. 2012, 219–220, 196–202. [Google Scholar] [CrossRef]
- Harussani, M.M.; Rashid, U.; Sapuan, S.M.; Abdan, K. Low-Temperature Thermal Degradation of Disinfected COVID-19 Non-Woven Polypropylene—Based Isolation Gown Wastes into Carbonaceous Char. Polymers 2021, 13, 3980. [Google Scholar] [CrossRef]
- Miskolczi, N.; Ateş, F.; Borsodi, N. Comparison of real waste (MSW and MPW) pyrolysis in batch reactor over different catalysts. Part II: Contaminants, char and pyrolysis oil properties. Bioresour. Technol. 2013, 144, 370–379. [Google Scholar] [CrossRef]
- Singh, E.; Kumar, A.; Khapre, A.; Saikia, P.; Shukla, S.K.; Kumar, S. Efficient removal of arsenic using plastic waste char: Prevailing mechanism and sorption performance. J. Water Process. Eng. 2019, 33, 101095. [Google Scholar] [CrossRef]
- Dutta, N.; Gupta, A. Characterization and use of waste plastic char for removal of arsenic and COD from aqueous solution. Int. J. Environ. Sci. Technol. 2022, 1–14. [Google Scholar] [CrossRef]
- Solís, R.R.; Martín-Lara, M.; Ligero, A.; Balbís, J.; Blázquez, G.; Calero, M. Revalorizing a Pyrolytic Char Residue from Post-Consumer Plastics into Activated Carbon for the Adsorption of Lead in Water. Appl. Sci. 2022, 12, 8032. [Google Scholar] [CrossRef]
- Alkan, M.; Tekin, G.; Namli, H. FTIR and zeta potential measurements of sepiolite treated with some organosilanes. Microporous Mesoporous Mater. 2005, 84, 75–83. [Google Scholar] [CrossRef]
- Sabah, E.; Çelik, M. Interaction of Pyridine Derivatives with Sepiolite. J. Colloid Interface Sci. 2002, 251, 33–38. [Google Scholar] [CrossRef]
- Justo, A.; Morillo, E. Structural alteration of pyrophyllite by dry grinding as studied by IR spectroscopy. J. Mater. Sci. Lett. 1994, 13, 915–918. [Google Scholar] [CrossRef]
- Walczyk, A.; Karcz, R.; Kryściak-Czerwenka, J.; Napruszewska, B.D.; Duraczyńska, D.; Michalik, A.; Olejniczak, Z.; Tomczyk, A.; Klimek, A.; Bahranowski, K.; et al. Influence of Dry Milling on Phase Transformation of Sepiolite upon Alkali Activation: Implications for Textural, Catalytic and Sorptive Properties. Materials 2020, 13, 3936. [Google Scholar] [CrossRef]







| Surgical Mask | FFP2 Mask | ||
|---|---|---|---|
| Proximate analysis (%) | Moisture | 0.3 | 4.6 |
| Volatile matter | 90.4 | 92.9 | |
| Fixed carbon | 3.7 | 1.9 | |
| Ash | 5.6 | 0.6 | |
| Elemental analysis (%) | Carbon | 83.2 | 81.4 |
| Hydrogen | 8.4 | 15.9 | |
| Nitrogen | --- | --- | |
| Sulfur | --- | --- | |
| Oxygen | 2.8 | 2.1 |
| Component List | Type of Pyrolysis | |||||||
|---|---|---|---|---|---|---|---|---|
| Thermal | Catalytic-1st Run | Catalytic-2nd Run | Catalytic-3rd Run | |||||
| Component | Area, % | Component | Area, % | Component | Area, % | Component | Area, % | |
| 1st | 2,4-Dimethyl-1-heptene | 12.27 | 2,4-Dimethyl-1-heptene | 40.56 | 2,4-Dimethyl-1-heptene | 26.16 | 2,4-Dimethyl-1-heptene | 11.12 |
| 2nd | Cembrane | 5.59 | 3-Eicosene, (E)- | 10.97 | 3-Eicosene, (E)- | 7.13 | 1,2-Epoxyhexadecane | 6.46 |
| 3rd | 3-Eicosene, (E)- | 4.48 | 5-Eicosene, (E)- | 6.22 | 1,2-Epoxyhexadecane | 5.46 | 3-Eicosene, (E)- | 5.73 |
| 4th | 1,2-Epoxyhexadecane | 4.11 | 3-Tetradecene, (E)- | 4.01 | 1,7-Dicyclopentyl-4-n-octylheptane | 5.15 | 1,7-Dicyclopentyl-4-n-octylheptane | 4.06 |
| 5th | 1,7-Dicyclopentyl-4-n-octylheptane | 3.46 | 1,3,5-Trimethylcyclohexane | 3.60 | Cembrane | 4.66 | Hexadecyl trichloroacetate | 3.67 |
| Component List | Type of Pyrolysis | |||||||
|---|---|---|---|---|---|---|---|---|
| Thermal | Catalytic-1st Run | Catalytic-2nd Run | Catalytic-3rd Run | |||||
| Component | Area, % | Component | Area, % | Component | Area, % | Component | Area, % | |
| 1st | 2,4-Dimethyl-1-heptene | 30.26 | 2,4-Dimethyl-1-heptene | 35.71 | 2,4-Dimethyl-1-heptene | 31.61 | 2,4-Dimethyl-1-heptene | 29.61 |
| 2nd | 1-Decene | 6.47 | 3-Eicosene, (E)- | 11.35 | 3-Eicosene, (E)- | 11.75 | 3-Eicosene, (E)- | 12.01 |
| 3rd | 1,2-Epoxyhexadecane | 6.32 | 5-Eicosene, (E)- | 6.42 | 5-Eicosene, (E)- | 6.73 | 1,2-Epoxyhexadecane | 8.01 |
| 4th | Cembrane | 5.78 | 1,2-Epoxyhexadecane | 5.47 | 1,2-Epoxyhexadecane | 5.88 | 5-Eicosene, (E)- | 7.11 |
| 5th | 5-Eicosene, (E)- | 5.24 | Hexadecyl trichloroacetate | 3.91 | Hexadecyl trichloroacetate | 4.36 | Hexadecyl trichloroacetate | 5.09 |
| Type of Pyrolysis | Main Component Groups | |||||
|---|---|---|---|---|---|---|
| Paraffin | Isoparaffin | Naphthene | Olefin | Others | ||
| Surgical mask | Thermal | 0.34% | 2.19% | 16.38% | 43.01% | 38.07% |
| Catalytic-1st run | 0.00% | 5.15% | 3.81% | 71.82% | 19.22% | |
| Catalytic-2nd run | 0.68% | 1.72% | 9.08% | 42.15% | 46.37% | |
| Catalytic-3rd run | 0.76% | 2.98% | 11.24% | 41.35% | 43.67% | |
| FFP2 mask | Thermal | 0.00% | 2.88% | 10.64% | 56.68% | 29.80% |
| Catalytic-1st run | 0.00% | 3.22% | 6.39% | 64.33% | 26.06% | |
| Catalytic-2nd run | 0.00% | 2.91% | 5.33% | 62.54% | 29.22% | |
| Catalytic-3rd run | 0.00% | 1.69% | 8.00% | 60.44% | 29.87% | |
| Type of Pyrolysis | Chain Size | Average MW of Biooil (g/mol) | |||
|---|---|---|---|---|---|
| C 5–9 | C 9–13 | C +13 | |||
| Surgical Mask | Thermal | 27.4% | 8.2% | 64.4% | 271.4 |
| Catalytic-1st run | 50.5% | 12.1% | 37.4% | 186.8 | |
| Catalytic-2nd run | 32.7% | 11.0% | 56.3% | 230.9 | |
| Catalytic-3rd run | 22.6% | 12.3% | 65.1% | 259.3 | |
| FFP2 Mask | Thermal | 38.6% | 15.4% | 46.0% | 211.8 |
| Catalytic-1st run | 42.8% | 9.2% | 48.1% | 207.5 | |
| Catalytic-2nd run | 38.5% | 10.0% | 51.4% | 214.0 | |
| Catalytic-3rd run | 32.3% | 12.0% | 55.7% | 228.5 | |
| Surgical Mask | FFP2 Mask | |||
|---|---|---|---|---|
| Thermal | Catalytic-1st Run | Thermal | Catalytic-1st Run | |
| Density 15 °C (kg/m3) | 810 | 790 | 850 | 830 |
| Viscosity (cSt) | 4.09 | 3.15 | 154.49 | 15.03 |
| pH value | 6.0 | 6.1 | 6.0 | 5.9 |
| Biochar Samples | Elements, wt. % | C/N | C/H | HHV, MJ/kg | ||||
|---|---|---|---|---|---|---|---|---|
| N | C | H | S | O * | ||||
| FFP2 mask biochar | 5.37 | 59.81 | 9.35 | 0.00 | 25.47 | 11.13 | 6.40 | 32.88 |
| FFP2 mask (5% sepiolite 1st run) biochar | 3.39 | 56.72 | 3.25 | 0.00 | 36.64 | 16.73 | 17.45 | 23.22 |
| FFP2 mask (5% sepiolite 2nd run) biochar | 3.34 | 56.24 | 3.17 | 0.00 | 37.23 | 16.84 | 17.71 | 22.95 |
| FFP2 mask (5% sepiolite 3rd run) biochar | 3.30 | 55.77 | 3.10 | 0.00 | 37.83 | 16.90 | 17.99 | 22.69 |
| Surgical mask biochar | 1.13 | 50.01 | 7.53 | 0.00 | 41.34 | 44.26 | 6.64 | 27.08 |
| Surgical mask (5% sepiolite 1st run) biochar | 2.81 | 70.92 | 3.92 | 0.00 | 22.35 | 25.24 | 18.09 | 28.82 |
| Surgical mask (5% sepiolite 2nd run) biochar | 3.31 | 69.84 | 4.16 | 0.00 | 22.69 | 21.13 | 16.79 | 28.81 |
| Surgical mask (5% sepiolite 3rd run) biochar | 3.80 | 68.76 | 4.40 | 0.00 | 23.04 | 18.09 | 15.63 | 28.80 |
| Sample | HHV, MJ/Nm3 | Molar Composition (%) | ||||||||
|---|---|---|---|---|---|---|---|---|---|---|
| Hydrogen | Methane | Carbon Monoxide | Ethane | Ethylene | Carbon Dioxide | Ethyne | Propane | Propyne | ||
| Surgical mask | 46.71 | 0.83 | 42.84 | 9.63 | 15.99 | 5.07 | 10.46 | 0.91 | 8.20 | 6.07 |
| Surgical mask + catalyst (1st) | 45.65 | 0.83 | 46.53 | 7.63 | 12.95 | 4.71 | 11.42 | 3.08 | 6.28 | 6.57 |
| Surgical mask + catalyst (2nd) | 42.31 | 1.30 | 46.75 | 9.29 | 16.25 | 5.65 | 11.61 | 2.65 | 0.00 | 6.50 |
| Surgical mask + catalyst (3rd) | 43.50 | 0.97 | 45.60 | 9.20 | 18.88 | 5.54 | 10.56 | 3.61 | 0.00 | 5.65 |
| FFP2 mask | 47.12 | 1.55 | 46.70 | 3.59 | 18.93 | 8.03 | 9.37 | 4.96 | 1.54 | 5.34 |
| FFP2 mask + catalyst (1st) | 41.95 | 1.75 | 52.45 | 7.37 | 8.76 | 8.22 | 10.62 | 4.52 | 0.00 | 6.31 |
| FFP2 mask + catalyst (2nd) | 42.73 | 0.97 | 51.50 | 6.82 | 12.73 | 7.83 | 11.10 | 2.38 | 0.00 | 6.67 |
| FFP2 mask + catalyst (3rd) | 42.01 | 0.76 | 50.92 | 8.99 | 12.27 | 7.38 | 10.70 | 2.74 | 0.00 | 6.23 |
| Catalyst (Before Using) | Used Catalyst (3rd Run) (Surgical Masks) | Used Catalyst (3rd Run) (FFP2 Masks) | |
|---|---|---|---|
| BET surface area | 138 m2/g | 118 m2/g | 116 m2/g |
| Pore volume (<370 Å) | 0.3 cm3/g | 0.2 cm3/g | 0.2 cm3/g |
| Micropore area | 9 m2/g | 3 m2/g | 2 m2/g |
| External surface area | 129 m2/g | 115 m2/g | 113 m2/g |
| Average pore size | 2.3 nm | 2.0 nm | 2.0 nm |
Disclaimer/Publisher’s Note: The statements, opinions and data contained in all publications are solely those of the individual author(s) and contributor(s) and not of MDPI and/or the editor(s). MDPI and/or the editor(s) disclaim responsibility for any injury to people or property resulting from any ideas, methods, instructions or products referred to in the content. |
© 2023 by the authors. Licensee MDPI, Basel, Switzerland. This article is an open access article distributed under the terms and conditions of the Creative Commons Attribution (CC BY) license (https://creativecommons.org/licenses/by/4.0/).
Share and Cite
Ortega, F.; Martín-Lara, M.Á.; Pula, H.J.; Zamorano, M.; Calero, M.; Blázquez, G. Characterization of the Products of the Catalytic Pyrolysis of Discarded COVID-19 Masks over Sepiolite. Appl. Sci. 2023, 13, 3188. https://doi.org/10.3390/app13053188
Ortega F, Martín-Lara MÁ, Pula HJ, Zamorano M, Calero M, Blázquez G. Characterization of the Products of the Catalytic Pyrolysis of Discarded COVID-19 Masks over Sepiolite. Applied Sciences. 2023; 13(5):3188. https://doi.org/10.3390/app13053188
Chicago/Turabian StyleOrtega, Francisco, María Ángeles Martín-Lara, Héctor J. Pula, Montserrat Zamorano, Mónica Calero, and Gabriel Blázquez. 2023. "Characterization of the Products of the Catalytic Pyrolysis of Discarded COVID-19 Masks over Sepiolite" Applied Sciences 13, no. 5: 3188. https://doi.org/10.3390/app13053188
APA StyleOrtega, F., Martín-Lara, M. Á., Pula, H. J., Zamorano, M., Calero, M., & Blázquez, G. (2023). Characterization of the Products of the Catalytic Pyrolysis of Discarded COVID-19 Masks over Sepiolite. Applied Sciences, 13(5), 3188. https://doi.org/10.3390/app13053188

