Shaping 1,2,4-Triazolium Fluorinated Ionic Liquid Crystals
Abstract
1. Introduction
2. Materials and Methods
2.1. General
2.1.1. Materials
2.1.2. Methods
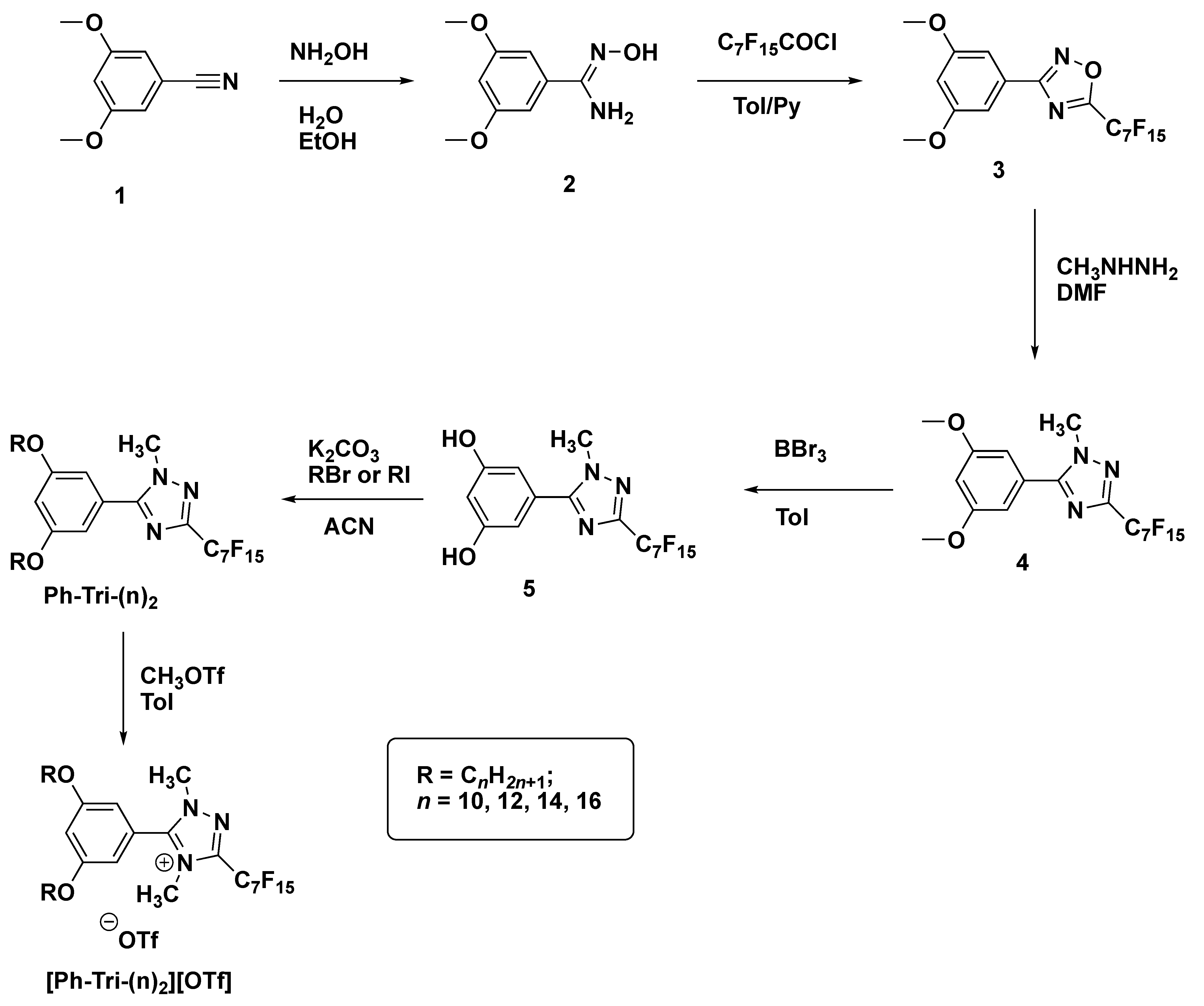
2.2. Synthesis of (Z)-N’-Hydroxy-3,5-Methoxybenzimidamide (2)
2.3. Synthesis of 1,2,4-Oxadiazole (3)
2.4. Synthesis of Compound (4)
2.5. Synthesis of Compound (5)
2.6. Synthesis of Triazole Precursors
2.7. Synthesis of Trifluoromethanesulfonate Triazolium Salts
3. Results and Discussion
3.1. Synthesis of ILCs
3.2. Thermal Analysis
4. Conclusions
Supplementary Materials
Author Contributions
Funding
Institutional Review Board Statement
Informed Consent Statement
Data Availability Statement
Acknowledgments
Conflicts of Interest
References
- Goossens, K.; Lava, K.; Bielawski, C.W.; Binnemans, K. Ionic liquid crystals: Versatile materials. Chem. Rev. 2016, 116, 4643–4807. [Google Scholar] [CrossRef]
- Kapernaum, N.; Lange, A.; Ebert, M.; Grunwald, M.A.; Haege, C.; Marino, S.; Zens, A.; Taubert, A.; Giesselmann, F.; Laschat, S. Current topics in ionic liquid crystals. ChemPlusChem 2022, 87, e202100397. [Google Scholar] [CrossRef]
- Nagaraj, M.; Lehmann, A.; Prehm, M.; Tschierske, C.; Vij, J.K. Evidence of a polar cybotactic smectic A phase in a new fluorine substituted bent-core compound. J. Mater. Chem. 2011, 21, 17098–17103. [Google Scholar] [CrossRef]
- Ruan, Q.; Yao, M.; Yuan, D.; Dong, H.; Liu, J.; Yuan, X.; Fang, W.; Zhao, G.; Zhang, H. Ionic liquid crystal electrolytes: Fundamental, applications and prospects. Nano Energy 2023, 106, 108087. [Google Scholar] [CrossRef]
- Safavi, A.; Tohidi, M. Design and characterization of liquid crystal—Graphite composite electrodes. J. Phys. Chem. 2010, 114, 6132–6140. [Google Scholar] [CrossRef]
- Shvedene, N.V.; Avramenko, O.A.; Baulin, V.E.; Tomilova, L.G.; Pletnev, I.V. Iodide-Selective Screen-Printed Electrodes Based on Low-Melting Ionic Solids and Metallated Phthalocyanine. Electroanalysis 2011, 23, 1067–1072. [Google Scholar] [CrossRef]
- Henmi, M.; Nakatsuji, K.; Ichikawa, T.; Tomioka, H.; Sakamoto, T.; Yoshio, M.; Kato, T. Self-organized liquid-crystalline nanostructured membranes for water treatment: Selective permeation of ions. Adv. Mater. 2012, 24, 2238–2241. [Google Scholar] [CrossRef]
- Axenov, K.V.; Laschat, S. Thermotropic ionic liquid crystals. Materials 2011, 4, 206–259. [Google Scholar] [CrossRef]
- Pibiri, I.; Beneduci, A.; Carraro, M.; Causin, V.; Casella, G.; Corrente, G.A.; Chidichimo, G.; Pace, A.; Riccobono, A.; Saielli, G. Mesomorphic and electrooptical properties of viologens based on non-symmetric alkyl/polyfluoroalkyl functionalization and on an oxadiazolyl-extended bent core. J. Mater. Chem. 2019, 7, 7974–7983. [Google Scholar] [CrossRef]
- Weber, M.S.; Schulze, M.; Lazzara, G.; Piccionello, A.P.; Pace, A.; Pibiri, I. Oxadiazolyl-Pyridinium as Cationic Scaffold for Fluorinated Ionic Liquid Crystals. Appl. Sci. 2021, 11, 10347. [Google Scholar] [CrossRef]
- Abu-Hashem, A.A. Synthesis and antimicrobial activity of new 1,2,4-triazole, 1,3,4-oxadiazole, 1,3,4-thiadiazole, thiopyrane, thiazolidinone, and azepine derivatives. J. Heterocycl. Chem. 2021, 58, 74–92. [Google Scholar] [CrossRef]
- Abu-Hashem, A.A.; Al-Hussain, S.A. Design, synthesis of new 1, 2, 4-triazole/1, 3, 4-thiadiazole with spiroindoline, imidazo [4, 5-b] quinoxaline and thieno [2, 3-d] pyrimidine from isatin derivatives as anticancer agents. Molecules 2022, 27, 835. [Google Scholar] [CrossRef]
- Pibiri, I.; Buscemi, S. A recent portrait of bioactive triazoles. Curr. Bioact. Compd. 2010, 6, 208–242. [Google Scholar] [CrossRef]
- Pibiri, I.; Lentini, L.; Tutone, M.; Melfi, R.; Pace, A.; Di Leonardo, A. Exploring the readthrough of nonsense mutations by non-acidic Ataluren analogues selected by ligand-based virtual screening. Eur. J. Med. Chem. 2016, 122, 429–435. [Google Scholar] [CrossRef]
- Dingemans, T.J.; Murthy, N.S.; Samulski, E.T. Javelin-, hockey stick-, and boomerang-shaped liquid crystals. Structural variations on p-quinquephenyl. J. Phys. Chem. 2001, 105, 8845–8860. [Google Scholar] [CrossRef]
- Hird, M. Fluorinated liquid crystals–properties and applications. Chem. Soc. Rev. 2007, 36, 2070–2095. [Google Scholar] [CrossRef]
- Tschierske, C. Liquid Crystals: Materials Design and Self-Assembly; Tschierske, C., Ed.; Springer: Berlin/Heidelberg, Germany, 2012; pp. 1–108. [Google Scholar] [CrossRef]
- Abate, A.; Petrozza, A.; Cavallo, G.; Lanzani, G.; Matteucci, F.; Bruce, D.W.; Houbenov, N.; Metrangolo, P.; Resnati, G. Anisotropic ionic conductivity in fluorinated ionic liquid crystals suitable for optoelectronic applications. J. Mater. Chem. 2013, 1, 6572–6578. [Google Scholar] [CrossRef]
- Celso, F.L.; Pibiri, I.; Triolo, A.; Triolo, R.; Pace, A.; Buscemi, S.; Vivona, N. Study on the thermotropic properties of highly fluorinated 1, 2, 4-oxadiazolylpyridinium salts and their perspective applications as ionic liquid crystals. J. Mater. Chem. 2007, 17, 1201–1208. [Google Scholar] [CrossRef]
- Zama, I.; Gorni, G.; Borzatta, V.; Cassani, M.C.; Crupi, C.; Di Marco, G. Fluorinated imidazolium salts having liquid crystal characteristics. J. Mol. Liq. 2016, 223, 749–753. [Google Scholar] [CrossRef]
- Cavallo, G.; Abate, A.; Rosati, M.; Venuti, G.P.; Pilati, T.; Terraneo, G.; Resnati, G.; Metrangolo, P. Tuning of ionic liquid crystal properties by combining halogen bonding and fluorous effect. ChemPlusChem 2021, 86, 469–474. [Google Scholar] [CrossRef]
- Almantariotis, D.; Gefflaut, T.; Pádua, A.A.H.; Coxam, J.Y.; Gomes, M.F.C. Effect of fluorination and size of the alkyl side-chain on the solubility of carbon dioxide in 1-alkyl-3-methylimidazolium bis (trifluoromethylsulfonyl) amide ionic liquids. J. Phys. Chem. 2010, 114, 3608–3617. [Google Scholar] [CrossRef] [PubMed]
- Riccobono, A.; Lazzara, G.; Rogers, S.E.; Pibiri, I.; Pace, A.; Slattery, J.M.; Bruce, D.W. Synthesis and mesomorphism of related series of triphilic ionic liquid crystals based on 1, 2, 4-triazolium cations. J. Mol. Liq. 2021, 321, 114758. [Google Scholar] [CrossRef]
- Riccobono, A.; Parker, R.R.; Whitwood, A.C.; Slattery, J.M.; Bruce, D.W.; Pibiri, I.; Pace, A. 1,2,4-Triazolium ions as flexible scaffolds for the construction of polyphilic ionic liquid crystals. Chem. Commun. 2018, 54, 9965–9968. [Google Scholar] [CrossRef] [PubMed]
- Xu, L.-L.; Wu, Y.-F.; Wang, L.; Li, C.-C.; Li, L.; Di, B.; You, Q.-D.; Jiang, Z.-Y. Structure-activity and structure-property relationships of novel Nrf2 activators with a 1, 2, 4-oxadiazole core and their therapeutic effects on acetaminophen (APAP)-induced acute liver injury. Eur. J. Med. Chem. 2018, 157, 1376–1394. [Google Scholar] [CrossRef]
- Kayukova, L.A. Synthesis of 1, 2, 4-oxadiazoles (a review). Pharm. Chem. J. 2005, 39, 539–547. [Google Scholar] [CrossRef]
- Buscemi, S.; Pace, A.; Pibiri, I.; Vivona, N.; Lanza, C.Z.; Spinelli, D. Fluorinated Heterocyclic Compounds—The First Example of an Irreversible Ring-Degenerate Rearrangement on Five-Membered Heterocycles by Attack of an External Bidentate Nucleophile. Eur. J. Org. Chem. 2004, 2004, 974–980. [Google Scholar] [CrossRef]
- Buscemi, S.; Pace, A.; Pibiri, I.; Vivona, N.; Spinelli, D. Fluorinated heterocyclic compounds. An expedient route to 5-perfluoroalkyl-1,2,4-triazoles via an unusual hydrazinolysis of 5-perfluoroalkyl-1,2,4-oxadiazoles: First examples of an ANRORC-like reaction in 1,2,4-oxadiazole derivatives. J. Org. Chem. 2003, 68, 605–608. [Google Scholar] [CrossRef]
- Pibiri, I.; Pace, A.; Buscemi, S.; Vivona, N.; Malpezzi, L. Designing fluorous domains. Synthesis of a series of pyridinium salts bearing a perfluoroalkylated azole moiety. Heterocycles 2006, 68, 307–321. [Google Scholar]
- Buscemi, S.; Pace, A.; Piccionello, A.P.; Pibiri, I.; Vivona, N.; Giorgi, G.; Mazzanti, A.; Spinelli, D. Five-to-six membered ring-rearrangements in the reaction of 5-perfluoroalkyl-1, 2, 4-oxadiazoles with hydrazine and methylhydrazine. J. Org. Chem. 2006, 71, 8106–8113. [Google Scholar] [CrossRef]
- Singh, S.; Dunmur, D.A. Liquid Crystals: Fundamentals; World Scientific Publishing Co., Pte Ltd.: Singapore, 2022; pp. 58–59. [Google Scholar]
- Saielli, G.; Margola, T.; Satoh, K. Tuning Coulombic interactions to stabilize nematic and smectic ionic liquid crystal phases in mixtures of charged soft ellipsoids and spheres. Soft Matter 2017, 13, 5204–5213. [Google Scholar] [CrossRef]
- Artzner, F.; Veber, M.; Clerc, M.; Levelut, A.-M. Evidence of nematic, hexagonal and rectangular columnar phases in thermotropic ionic liquid crystals. Liq. Cryst. 1997, 23, 27–33. [Google Scholar] [CrossRef]
- Takagi, K.; Yamauchi, K.; Kubota, S.; Nagano, S.; Hara, M.; Seki, T.; Murakami, K.; Ooyama, Y.; Ohshita, J.; Kondo, M.; et al. Fused π-conjugated imidazolium liquid crystals: Synthesis, self-organization, and fluorescence properties. RSC Adv. 2016, 6, 9152–9159. [Google Scholar] [CrossRef]







| Neutral Triazole | Tm (°C) a | ΔH (kJ mol−1) |
|---|---|---|
| Ph-Tri-(10)2 | 22.7 | 36.8 |
| Ph-Tri-(12)2 | 40.6 | 57.5 |
| Ph-Tri-(14)2 | 53.2 | 76.9 |
| Ph-Tri-(16)2 | 59.8 | 78.9 |
| ILCs | T (°C) a | ΔH (kJ mol−1) | Transition b |
|---|---|---|---|
| [Ph-Tri-(10)2][OTf] | 71.8 | 2.6 | Iso-LC (Col) |
| 62.1 | 6.7 | LC (Col)-Cr | |
| [Ph-Tri-(12)2][OTf] | 81.3 | 0.9 | Iso-LC (Col) |
| 76.6 | 10.6 | LC (Col)-Cr | |
| [Ph-Tri-(14)2][OTf] | 74.3 | 2.6 | Iso-LC (Col) |
| 54.6 | 7.3 | LC (Col)-Cr’ | |
| [Ph-Tri-(16)2][OTf] | 102.7 | 3.1 | Iso-LC (Col) |
| 80.1 | 12.6 | LC (Col)-LC (Colh) | |
| 21.9 | 10.5 | LC (Colh)-Cr |
Disclaimer/Publisher’s Note: The statements, opinions and data contained in all publications are solely those of the individual author(s) and contributor(s) and not of MDPI and/or the editor(s). MDPI and/or the editor(s) disclaim responsibility for any injury to people or property resulting from any ideas, methods, instructions or products referred to in the content. |
© 2023 by the authors. Licensee MDPI, Basel, Switzerland. This article is an open access article distributed under the terms and conditions of the Creative Commons Attribution (CC BY) license (https://creativecommons.org/licenses/by/4.0/).
Share and Cite
Rizzo, C.; Fiduccia, I.; Buscemi, S.; Palumbo Piccionello, A.; Pace, A.; Pibiri, I. Shaping 1,2,4-Triazolium Fluorinated Ionic Liquid Crystals. Appl. Sci. 2023, 13, 2947. https://doi.org/10.3390/app13052947
Rizzo C, Fiduccia I, Buscemi S, Palumbo Piccionello A, Pace A, Pibiri I. Shaping 1,2,4-Triazolium Fluorinated Ionic Liquid Crystals. Applied Sciences. 2023; 13(5):2947. https://doi.org/10.3390/app13052947
Chicago/Turabian StyleRizzo, Carla, Ignazio Fiduccia, Silvestre Buscemi, Antonio Palumbo Piccionello, Andrea Pace, and Ivana Pibiri. 2023. "Shaping 1,2,4-Triazolium Fluorinated Ionic Liquid Crystals" Applied Sciences 13, no. 5: 2947. https://doi.org/10.3390/app13052947
APA StyleRizzo, C., Fiduccia, I., Buscemi, S., Palumbo Piccionello, A., Pace, A., & Pibiri, I. (2023). Shaping 1,2,4-Triazolium Fluorinated Ionic Liquid Crystals. Applied Sciences, 13(5), 2947. https://doi.org/10.3390/app13052947

