A Novel Methodology for Predicting the Production of Horizontal CSS Wells in Offshore Heavy Oil Reservoirs Using Particle Swarm Optimized Neural Network
Abstract
1. Introduction
2. Methodology
3. Generation of the Initial Data Set
3.1. Establishment of the CSS Simulation Model
3.2. Correlation Analysis
3.3. Data Processing
4. Establishment of the PA-LM Model
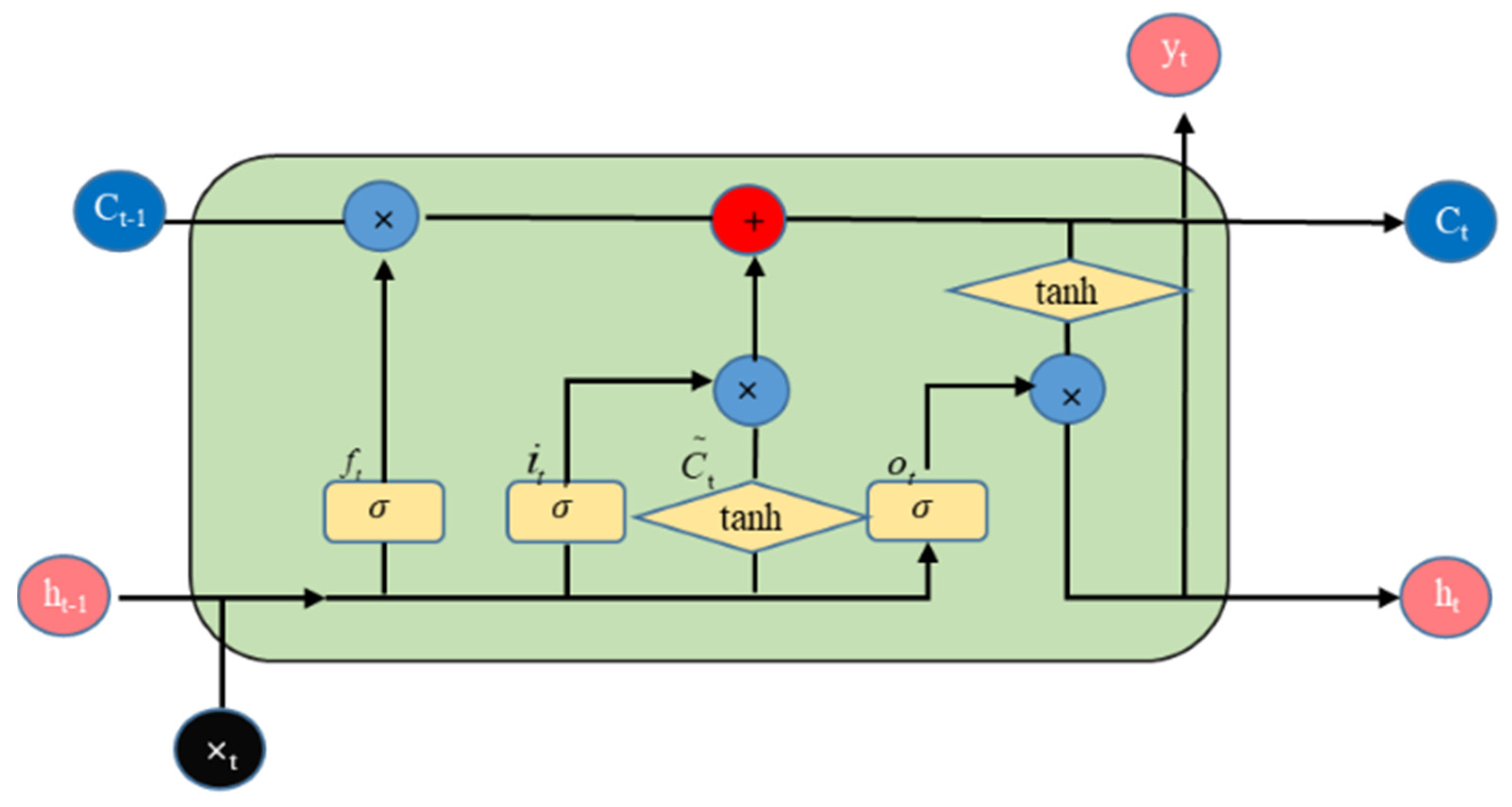
4.1. LM Model
4.2. PA
4.3. Process of PA Optimizing LM Model
5. Evaluation and Application of the PA-LM Model
5.1. Model Evaluation Criteria
5.2. Evaluation of the PA-LM Model
5.3. Application of the PA-LM Model
6. Conclusions
- (1)
- Compared with the LM model, the MAPE of the testing set for the PA-LM model decreased by 4.27%, and the percentage of the paired points in zone A increased by 2.8% in the Clarke error grids. In addition, the MAPEs of the training sets for the PA-LM and LM models stabilized at 267 and 304 epochs, respectively. Therefore, the developed PA-LM model had a higher accuracy, a stronger generalization ability, and a faster convergence rate.
- (2)
- The PA can be used to determine the optimal hyperparameters of the LM model. Therefore, the PA-LM model outperform the LM model in predicting the COP of horizontal CSS wells in offshore heavy oil reservoirs.
- (3)
- The MAPEs of the predicted and actual COP values of the first cycle of the wells B1H and B5H (two horizontal CSS wells in Bohai Bay, China) by the optimized PA-LM model are 8.66% and 5.93%, respectively, satisfying the requirements in field applications. More COP data need to be collected from the following cycles or other CSS wells to further verify the PA-LM model’s accuracy with the subsequent development of the reservoirs in Bohai Bay, China.
- (4)
- The developed PA-LM model provides an effective method for predicting the COP values of horizontal CSS wells in Bohai Bay, China, which was validated by the initial data set and actual production data. However, when the method is used in other offshore heavy oil reservoirs, the establishment process of the PA-LM model shown in this study should be re-conducted based on the practical reservoir conditions.
- (5)
- According to the calculated PCC results, the liquid production rate, oil saturation, and reservoir permeability are strongly related to the COP of the horizontal CSS wells. The soaking time, steam injection volume, steam injection rate, and steam quality have weak correlations with the COP of the horizontal CSS wells.
Author Contributions
Funding
Institutional Review Board Statement
Informed Consent Statement
Data Availability Statement
Conflicts of Interest
References
- Jie, X.; Gonzalez-Cortes, S.; Xiao, T.; Yao, B.; Wang, J.; Slocombe, D.R. The decarbonisation of petroleum and other fossil hydrocarbon fuels for the facile production and safe storage of hydrogen. Energy Environ. Sci. 2019, 12, 238–249. [Google Scholar] [CrossRef]
- Zhang, Y.; Chen, H.; Sun, X.; Duan, X.; Hu, W.; Zhang, X. Optimization of thermal recovery strategies for offshore heavy oil reservoirs in Bohai Bay, China. Pet. Sci. Technol. 2016, 34, 139–144. [Google Scholar] [CrossRef]
- Zheng, W.; Tan, X.; Wang, T.; Bai, Y. Experimental and simulation study of the in situ combustion process in offshore heavy oil reservoirs. Pet. Sci. Technol. 2020, 38, 983–991. [Google Scholar] [CrossRef]
- Liu, Y.; Zou, J.; Meng, X.; Zhong, L.; Wang, Q.; Zhang, W.; Han, X. Progress in Bohai offshore heavy oil thermal recovery. In Proceedings of the Offshore Technology Conference Asia, Kuala Lumpur, Malaysia, 22 March 2016. [Google Scholar]
- Dong, X.; Liu, H.; Hou, J.; Zhang, T.; Zhan, J.; Chen, Z.; Hong, C. The thermal recovery methods and technical limits of Bohai offshore heavy oil reservoirs: A case study. In Proceedings of the OTC Brasil, Rio de Janeiro, Brazil, 27 October 2015. [Google Scholar]
- Davani, K.; Kord, S.; Mohammadzadeh, O.; Moghadasi, J. Numerical simulation and three-phase pressure transient analysis considering capillary number effect–case study of a gas condensate reservoir. Int. J. Oil Gas Coal Technol. 2020, 25, 258–291. [Google Scholar] [CrossRef]
- Catania, P.J.; Catania, C.M. Preliminary comparison of predicted and actual cumulative production for short and Long heavy oil horizontal wells in Saskatchewan. In Proceedings of the Technical Meeting/Petroleum Conference of the South Saskatchewan Section, Regina, SK, Canada, 18 October 1997. [Google Scholar]
- Saripalli, H.K.; Salari, H.; Saeedi, M.; Hassanzadeh, H. Analytical modelling of cyclic steam stimulation (CSS) process with a horizontal well configuration. Can. J. Chem. Eng. 2018, 96, 573–589. [Google Scholar] [CrossRef]
- Li, K.; Home, R.N. An analytical model for production decline-curve analysis in naturally fractured reservoirs. SPE Reserv. Eval. Eng. 2005, 8, 197–204. [Google Scholar] [CrossRef]
- Frenette, C.T.; Saeedi, M.; Henke, J.L. Integrated economic model for evaluation and optimization of cyclic-steam-stimulation projects. SPE Econ. Manag. 2016, 8, 11–22. [Google Scholar] [CrossRef]
- Yang, Y.A.N.G.; Cheng, Y.; Qiao, Y.; Liu, J. A study on oil well production prediction based on time series dynamic analysis. J. Southwest Pet. Univ. (Sci. Technol. Ed.) 2018, 42, 82. [Google Scholar]
- Yuan, S.B.; Wang, L.; Jiang, H.Y. The effect prediction of profile control measures with the SVM. In Proceedings of the ICICTA: 2009 Second International Conference on Intelligent Computation Technology and Automation, Changsha, China, 10–11 October 2009; Volume 1, pp. 915–917. [Google Scholar]
- Hu, H.; Zhai, X.; Feng, J.; Guan, X. Prediction method of crude oil production based on FCM_GA_BP neural network. In Proceedings of the 2018 IEEE 9th International Conference on Software Engineering and Service Science (ICSESS), Beijing, China, 23–25 November 2018; pp. 267–270. [Google Scholar]
- Lu, C.; Jiang, H.; Yang, J.; Wang, Z.; Zhang, M.; Li, J. Shale oil production prediction and fracturing optimization based on machine learning. J. Pet. Sci. Eng. 2022, 217, 110900. [Google Scholar] [CrossRef]
- Fayek, H.M.; Lech, M.; Cavedon, L. Evaluating deep learning architectures for speech emotion recognition. Neural Netw. 2017, 92, 60–68. [Google Scholar] [CrossRef] [PubMed]
- Hochreiter, S.; Schmidhuber, J. Long short-term memory. Neural Comput. 1997, 9, 1735–1780. [Google Scholar] [CrossRef]
- Wang, W.; Tong, M.; Yu, M. Blood glucose prediction with VMD and LSTM optimized by improved particle swarm optimization. IEEE Access 2020, 8, 217908–217916. [Google Scholar] [CrossRef]
- Malhotra, P.; Tv, V.; Ramakrishnan, A.; Anand, G.; Vig, L.; Agarwal, P.; Shroff, G. Multi-Sensor prognostics using an unsupervised health index based on LSTM Encoder-Decoder. arXiv 2016, arXiv:1608.06154. [Google Scholar]
- Li, T.; Hua, M.; Wu, X.U. A hybrid CNN-LSTM model for forecasting particulate matter (PM2.5). IEEE Access 2020, 8, 26933–26940. [Google Scholar] [CrossRef]
- Kırbaş, I.; Sozen, A.; Tuncer, A.D.; Kazancıoglu, F.S. Comparative analysis and forecasting of COVID-19 cases in various European countries with ARIMA, NARNN and LSTM approaches. Chaos Solitons Fractals 2020, 138, 110015. [Google Scholar] [CrossRef] [PubMed]
- Kratzert, F.; Klotz, D.; Brenner, C.; Schulz, K.; Herrnegger, M. Rainfall-runoff modelling using long short-term memory (LSTM) networks. Hydrol. Earth Syst. Sci. 2018, 22, 6005–6022. [Google Scholar] [CrossRef]
- Tapias, O.; Soto, C.P.; Sandoval, J.; Perez, H.H.; Bejarano, A. Reservoir engineer and artificial intelligence techniques for data analysis. In Proceedings of the SPE Asia Pacific Oil and Gas Conference and Exhibition, Jakarta, Indonesia, 17 April 2001. [Google Scholar]
- Xiao, Y.; Li, Z.; Wang, J.; Yang, J.; Ma, Z.; Liu, S.; Han, C. Study on enhancing shale oil recovery by CO2 Pre-Pad energized fracturing in A83 block, ordos basin. Atmosphere 2022, 13, 1509. [Google Scholar] [CrossRef]












| Reservoir Parameters | Values | |
|---|---|---|
| Reservoir porosity | 0.3 | |
| Reservoir permeability (MD) | 3000 | |
| Initial reservoir temperature (°C) | 54 | |
| Oil saturation | 0.6 | |
| Well Parameters | Values | |
| Well spacing (m) | 200 | |
| Well distance (m) | 200 | |
| Heat Transfer Parameters of Rocks and Fluids | Values | |
| Rock volumetric heat capacity (kJ/(cm3·°C)) | 2.575 × 106 | |
| Reservoir rock thermal conductivity (kJ/(cm·min·°C)) | 1.634 × 105 | |
| Oil phase thermal conductivity (kJ/(cm·min·°C)) | 9.77 × 103 | |
| Water phase thermal conductivity (kJ/(cm·min·°C)) | 5.99 × 104 | |
| Gas phase thermal conductivity (kJ/(cm·min·°C)) | 1.9 × 103 | |
| Operational Parameters | Values | |
| Soaking time (day) | 5 | |
| Steam injection volume (m3) | 6600 | |
| Steam injection rate (m3/day) | 300 | |
| Steam quality | 0.4 | |
| liquid production rate (m3/day) | 90 | |
| Steam temperature (°C) | 340 | |
| Oil Viscosities at Different Temperatures | ||
| Temperature (°C) | Viscosities (mPa·s) | |
| 20 | 74,704.94 | |
| 50 | 3969.97 | |
| 100 | 198.82 | |
| 150 | 35.19 | |
| 200 | 11.84 | |
| 250 | 5.66 | |
| 300 | 3.32 | |
| Water and Oil Relative Permeabilities | ||
| Sw | Krw | Kro |
| 0.305 | 0.000 | 1.000 |
| 0.373 | 0.006 | 0.738 |
| 0.427 | 0.012 | 0.572 |
| 0.497 | 0.036 | 0.380 |
| 0.505 | 0.045 | 0.360 |
| 0.533 | 0.060 | 0.292 |
| 0.588 | 0.080 | 0.173 |
| 0.626 | 0.100 | 0.104 |
| 0.720 | 0.147 | 0.000 |
| 1.000 | 1.000 | 0.000 |
| Geological and Operational Parameters | PCC | Order |
|---|---|---|
| Reservoir porosity | 0.0171 | 4 |
| Reservoir permeability (MD) | 0.0217 | 3 |
| Oil saturation | 0.0557 | 2 |
| Well spacing (m) | 0.0160 | 5 |
| Well distance (m) | 0.0147 | 6 |
| Initial reservoir temperature (°C) | 0.0104 | 8 |
| Steam temperature (°C) | 0.0111 | 7 |
| Steam quality | 0.0022 | 11 |
| Steam injection volume (m3) | 0.0045 | 10 |
| Steam injection rate (m3/day) | 0.0051 | 9 |
| Liquid production rate (m3/day) | 0.6321 | 1 |
| Soaking time (day) | 0.0018 | 12 |
| Hyperparameters of the LM Model | Values |
|---|---|
| n1 | 250 |
| Number of input variables | 8 |
| Number of output variables | 1 |
| n2 | 200 |
| m | 15 |
| L | 0.01 |
| Loss function | MAPE |
| Optimizer | Adam |
| M | 400 |
| P | 20 |
| F | 0.8 |
| D | 0.3 |
| PA Parameters | Values |
| n | 20 |
| c1 and c2 | 1.5 |
| Tmax | 300 |
| r | [0, 1] |
| The Types of Data Sets and Model | MAPE (%) | MSE | RMSE | R2 |
|---|---|---|---|---|
| The training set of the LM model | 7.68 | 8876.42 | 8876.4 | 0.9135 |
| The testing set of the LM model | 9.33 | 10,124.82 | 10,124.8 | 0.9027 |
| The training set of the PA-LM model | 2.34 | 3931.32 | 3931.3 | 0.9913 |
| The testing set of the PA-LM model | 5.06 | 6054.332 | 6054.33 | 0.9807 |
| Well Name | MAPE (%) | MSE | RMSE |
|---|---|---|---|
| B1H | 8.66 | 1363.812 | 1363.81 |
| B5H | 5.93 | 1058.662 | 1058.66 |
Disclaimer/Publisher’s Note: The statements, opinions and data contained in all publications are solely those of the individual author(s) and contributor(s) and not of MDPI and/or the editor(s). MDPI and/or the editor(s) disclaim responsibility for any injury to people or property resulting from any ideas, methods, instructions or products referred to in the content. |
© 2023 by the authors. Licensee MDPI, Basel, Switzerland. This article is an open access article distributed under the terms and conditions of the Creative Commons Attribution (CC BY) license (https://creativecommons.org/licenses/by/4.0/).
Share and Cite
Zhang, L.; Xie, H.; Fan, Z.; Bai, Y.; Hu, J.; Wang, C.; Sun, X. A Novel Methodology for Predicting the Production of Horizontal CSS Wells in Offshore Heavy Oil Reservoirs Using Particle Swarm Optimized Neural Network. Appl. Sci. 2023, 13, 2540. https://doi.org/10.3390/app13042540
Zhang L, Xie H, Fan Z, Bai Y, Hu J, Wang C, Sun X. A Novel Methodology for Predicting the Production of Horizontal CSS Wells in Offshore Heavy Oil Reservoirs Using Particle Swarm Optimized Neural Network. Applied Sciences. 2023; 13(4):2540. https://doi.org/10.3390/app13042540
Chicago/Turabian StyleZhang, Lijun, Haojun Xie, Zehua Fan, Yuting Bai, Jinpeng Hu, Chengkai Wang, and Xiaofei Sun. 2023. "A Novel Methodology for Predicting the Production of Horizontal CSS Wells in Offshore Heavy Oil Reservoirs Using Particle Swarm Optimized Neural Network" Applied Sciences 13, no. 4: 2540. https://doi.org/10.3390/app13042540
APA StyleZhang, L., Xie, H., Fan, Z., Bai, Y., Hu, J., Wang, C., & Sun, X. (2023). A Novel Methodology for Predicting the Production of Horizontal CSS Wells in Offshore Heavy Oil Reservoirs Using Particle Swarm Optimized Neural Network. Applied Sciences, 13(4), 2540. https://doi.org/10.3390/app13042540

