Intelligent Trajectory Tracking Linear Active Disturbance Rejection Control of a Powered Parafoil Based on Twin Delayed Deep Deterministic Policy Gradient Algorithm Optimization
Abstract
:1. Introduction
- A guidance law for the trajectory tracking of a powered parafoil is proposed, which effectively addresses the underactuation of the system.
- Based on the guidance law, two LADRC controllers aiming to achieve 3D trajectory tracking control are designed to address challenges stemming from wind disturbances and the coupling between horizontal trajectory and altitude.
- The TD3 algorithm is employed to acquire the controller’s real-time parameters by leveraging the powered parafoil’s flight states. The TD3-optimized LADRC was compared against the traditional LADRC control method using simulation results, demonstrating the effectiveness of the proposed approach.
2. Dynamic Modeling Introduction of Powered Parafoil
3. Trajectory Tracking Controller Design Based on LADRC
3.1. Guidance Law Design for Horizontal Trajectory
3.2. LADRC Design Process for Trajectory Tracking
3.2.1. Horizontal Trajectory Tracking Controller
3.2.2. Altitude Controller
4. Optimized LADRC Approach Using TD3
4.1. The Basics of the TD3 Agent
| Algorithm 1 TD3 Algorithm |
|
4.2. Agent Design for Powered Parafoil System
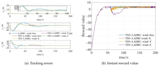
5. Simulation Results
- Wind-free: there is no wind during the flight;
- Wind-X: a wind of 2 m/s from the west direction is added at 60 s and lasts until the end of the simulation;
- Wind-Y: a wind of 2 m/s from the south direction is added at 60 s and lasts until the end of the simulation;
- Wind-Z: a wind of 2 m/s from the vertical direction is added at 60 s and lasts until the end of the simulation.
6. Conclusions
Author Contributions
Funding
Institutional Review Board Statement
Informed Consent Statement
Data Availability Statement
Conflicts of Interest
Appendix A
References
- Li, B.; He, Y.; Han, J.; Xiao, J. A new modeling scheme for powered parafoil unmanned aerial vehicle platforms: Theory and experiments. Chin. J. Aeronaut. 2019, 32, 2466–2479. [Google Scholar] [CrossRef]
- Murali, N.; Dineshkumar, M.; WC, A.K. Parafoil trajectory comparison for optimal control and proportional controller. In Proceedings of the 2013 International Conference on Control Communication and Computing (ICCC), Thiruvananthapuram, India, 13–15 December 2013; pp. 227–232. [Google Scholar]
- Yang, H.; Song, L.; Wang, W.; Huang, J. 4-DOF longitudinal dynamic simulation of powered-parafoil. J. Beijing Univ. Aeronaut. Astronaut. 2014, 40, 1615–1622. [Google Scholar]
- Zhang, Z.; Zhao, Z.; Fu, Y. Dynamics analysis and simulation of six DOF parafoil system. Clust. Comput. 2018, 22, 12669–12680. [Google Scholar] [CrossRef]
- Zhu, E.; Sun, Q.; Tan, P.; Chen, Z.; Kang, X.; He, Y. Modeling of powered parafoil based on Kirchhoff motion equation. Nonlinear Dyn. 2014, 79, 617–629. [Google Scholar] [CrossRef]
- Guo, Y.; Yan, J.; Wu, C.; Xiao, B. Modeling and practical fixed-time attitude tracking control of a paraglider recovery system. ISA Trans. 2022, 128, 391–401. [Google Scholar] [CrossRef]
- Hur, G.; Valasek, J. System identification of powered parafoil-vehicle from flight test data. In Proceedings of the AIAA Atmospheric Flight Mechanics Conference and Exhibit, Austin, TX, USA, 11–14 August 2003; p. 5539. [Google Scholar]
- Feng, L.; Xing, X.; Gong, Q.; Li, Y.; Guo, Y. Trajectory Control of PFC Recovery under ADRC and Improved LOS Guidance Law. In International Conference on Guidance, Navigation and Control; Springer Nature: Singapore, 2022; pp. 5498–5507. [Google Scholar]
- Guo, Y.; Yan, J.; Wu, C.; Chen, M.; Xing, X. Autonomous homing design and following for parafoil/rocket system with high-altitude. J. Intell. Robot. Syst. 2021, 101, 73. [Google Scholar] [CrossRef]
- Viswa, S.; Avijit, B.; Sumeet, S.; Roy, S.; Nikolakopoulos, G. Adaptive control for a payload carrying spacecraft with state constraints. Control Eng. Pract. 2023, 135, 105515. [Google Scholar]
- Sun, Q.; Yu, L.; Zheng, Y.; Tao, J.; Sun, H.; Sun, M.; Dehmer, M.; Chen, Z. Trajectory tracking control of powered parafoil system based on sliding mode control in a complex environment. Aerosp. Sci. Technol. 2022, 122, 107406. [Google Scholar] [CrossRef]
- Li, Z.; Nan, Y. Optimal Path Planning and Tracking Control Methods for Parafoil. Appl. Sci. 2023, 13, 8115. [Google Scholar] [CrossRef]
- Guo, Y.; Xing, X.; Wu, X.; Wu, C.; Xiao, B. Adaptive path-following control for parafoil dynamic systems with wind disturbance and rate constraint. Nonlinear Dyn. 2023, 111, 13039–13051. [Google Scholar] [CrossRef]
- Zheng, Y.; Tao, J.; Sun, Q.; Sun, H.; Chen, Z.; Sun, M.; Duan, F. Deep-reinforcement-learning-based active disturbance rejection control for lateral path following of parafoil system. Sustainability 2022, 15, 435. [Google Scholar] [CrossRef]
- Li, Y.; Zhao, M.; Yao, M.; Chen, Q.; Guo, R.; Sun, T.; Jiang, T.; Zhao, Z. 6-DOF modeling and 3D trajectory tracking control of a powered parafoil system. IEEE Access 2020, 8, 151087–151105. [Google Scholar] [CrossRef]
- Zheng, Y.; Tao, J.; Sun, Q.; Sun, H.; Chen, Z.; Sun, M.; Xie, G. Sideslip angle estimation based active disturbance rejection 3D trajectory tracking control for powered parafoil system and hardware-in-the-loop simulation verification. Aerosp. Sci. Technol. 2023, 141, 108497. [Google Scholar] [CrossRef]
- Han, J. From PID to active disturbance rejection control. IEEE Trans. Ind. Electron. 2019, 56, 900–906. [Google Scholar] [CrossRef]
- Gao, Z. On the foundation of active disturbance rejection control. Control Theory Appl. 2013, 30, 1498–1510. [Google Scholar]
- Xia, G.; Chu, H.; Shao, Y.; Xia, B. DSC and LADRC Path Following Control for Dynamic Positioning Ships at High Speed. In Proceedings of the 2019 IEEE International Conference on Mechatronics and Automation (ICMA), Tianjin, China, 4–7 August 2019; pp. 39–44. [Google Scholar]
- Kang, N.; Han, Y.; Guan, T.; Wang, S. Improved ADRC-Based Autonomous Vehicle Path-Tracking Control Study Considering Lateral Stability. Appl. Sci. 2022, 12, 4660. [Google Scholar] [CrossRef]
- Li, H.; An, X.; Feng, R.; Chen, Y. Motion Control of Autonomous Underwater Helicopter Based on Linear Active Disturbance Rejection Control with Tracking Differentiator. Appl. Sci. 2023, 13, 3836. [Google Scholar] [CrossRef]
- Marini, F.; Walczak, B. Particle swarm optimization (PSO). A tutorial. Chemom. Intell. Lab. Syst. 2015, 149, 153–165. [Google Scholar] [CrossRef]
- Katoch, S.; Chauhan, S.; Kumar, V. A review on genetic algorithm: Past, present, and future. Multimed. Tools Appl. 2021, 80, 8091–8126. [Google Scholar] [CrossRef]
- Sun, X.; Xiong, Y.; Yao, M.; Tang, X.; Tian, X. A unified control method combined with improved TSF and LADRC for SRMs using modified grey wolf optimization algorithm. ISA Trans. 2022, 131, 662–671. [Google Scholar] [CrossRef]
- Abdul-Kareem, A.I.; Hasan, A.F.; Al-Qassar, A.A.; Humaidi, A.J.; Hassan, R.F.; Ibraheem, I.K.; Azar, A.T. Rejection of wing-rock motion in delta wing aircrafts based on optimal LADRC schemes with butterfly optimization algorithm. J. Eng. Sci. Technol. 2022, 17, 2476–2495. [Google Scholar]
- Sun, C.; Liu, C.; Feng, X.; Jiao, X. Visual servoing of flying robot based on fuzzy adaptive linear active disturbance rejection control. IEEE Trans. Circuits Syst. II Express Briefs 2021, 68, 2558–2562. [Google Scholar] [CrossRef]
- Liu, W.; Zhao, T.; Wu, Z.; Huang, W. Linear active disturbance rejection control for hysteresis compensation based on backpropagation neural networks adaptive control. Trans. Inst. Meas. Control 2021, 43, 915–924. [Google Scholar] [CrossRef]
- Arulkumaran, K.; Deisenroth, M.; Brundage, M.; Bharath, A.A. Deep reinforcement learning: A brief survey. IEEE Signal Process. Mag. 2017, 34, 26–38. [Google Scholar] [CrossRef]
- Osband, I.; Blundell, C.; Pritzel, A.; Van Roy, B. Deep exploration via bootstrapped DQN. In Proceedings of the Advances in Neural Information Processing Systems, Barcelona, Spain, 5–10 December 2016; p. 29. [Google Scholar]
- Li, S.; Wu, Y.; Cui, X.; Dong, H.; Fang, F.; Russell, S. Robust multi-agent reinforcement learning via minimax deep deterministic policy gradient. In Proceedings of the AAAI Conference on Artificial Intelligence, Honolulu, HI, USA, 27 January–1 February 2019; Volume 33, pp. 4213–4220. [Google Scholar] [CrossRef]
- Dankwa, S.; Zheng, W. Twin-delayed ddpg: A deep reinforcement learning technique to model a continuous movement of an intelligent robot agent. In Proceedings of the 3rd International Conference on Vision, Image and Signal Processing, Vancouver, BC, Canada, 26–28 August 2019; pp. 1–5. [Google Scholar]
- Zhang, H.; Yin, C.; Zhang, Y. Motion planning using reinforcement learning method for underactuated ship berthing. In Proceedings of the 2020 IEEE 16th International Conference on Control & Automation (ICCA), Sapporo, Japan, 9–11 October 2020; pp. 354–359. [Google Scholar]
- Wang, Y.; Gao, Z.; Zhang, J.; Cao, X.; Zheng, D.; Gao, Y.; Ng, D.W.; Di Renzo, M. Trajectory design for UAV-based Internet of Things data collection: A deep reinforcement learning approach. IEEE Internet Things J. 2021, 9, 3899–3912. [Google Scholar] [CrossRef]
- Chu, Z.; Sun, B.; Zhu, D.; Zhang, M.; Luo, C. Motion control of unmanned underwater vehicles via deep imitation reinforcement learning algorithm. IET Intell. Transp. Syst. 2020, 14, 764–774. [Google Scholar] [CrossRef]
- Zhu, H.; Sun, Q.; Tao, J.; Chen, Z.; Dehmer, M.; Xie, G. Flexible modeling of parafoil delivery system in wind environments. Commun. Nonlinear Sci. Numer. Simul. 2022, 108, 106210. [Google Scholar] [CrossRef]
- Jin, H.; Song, J.; Lan, W.; Gao, Z. On the characteristics of ADRC: A PID interpretation. Sci. China Inf. Sci. 2020, 63, 1–3. [Google Scholar] [CrossRef]
- Qin, H.; Tan, P.; Chen, Z.; Sun, M.; Sun, Q. Deep reinforcement learning based active disturbance rejection control for ship course control. Neurocomputing 2022, 484, 99–108. [Google Scholar] [CrossRef]
- Bu, X.; Xiao, Y.; Lei, H. An adaptive critic design-based fuzzy neural controller for hypersonic vehicles: Predefined behavioral nonaffine control. IEEE/ASME Trans. Mechatronics 2019, 24, 1871–1881. [Google Scholar] [CrossRef]
- Bu, X.; Qi, Q. Fuzzy optimal tracking control of hypersonic flight vehicles via single-network adaptive critic design. IEEE Trans. Fuzzy Syst. 2020, 30, 270–278. [Google Scholar] [CrossRef]
- Qi, Q.; Bu, X. Adaptive dynamic programing design for the neural control of hypersonic flight vehicles. J. Frankl. Inst. 2021, 358, 8169–8192. [Google Scholar] [CrossRef]











| Parameter Description | Value |
|---|---|
| Wing span | 4.5 m |
| Mean aerodynamic chord | 1.3 m |
| Mass of parafoil | 1.7 kg |
| Mass of payload | 20 kg |
| Wing area | 6.5 |
| Rope length | 3 m |
Disclaimer/Publisher’s Note: The statements, opinions and data contained in all publications are solely those of the individual author(s) and contributor(s) and not of MDPI and/or the editor(s). MDPI and/or the editor(s) disclaim responsibility for any injury to people or property resulting from any ideas, methods, instructions or products referred to in the content. |
© 2023 by the authors. Licensee MDPI, Basel, Switzerland. This article is an open access article distributed under the terms and conditions of the Creative Commons Attribution (CC BY) license (https://creativecommons.org/licenses/by/4.0/).
Share and Cite
Zheng, Y.; Fei, Z.; Tao, J.; Sun, Q.; Sun, H.; Chen, Z.; Sun, M. Intelligent Trajectory Tracking Linear Active Disturbance Rejection Control of a Powered Parafoil Based on Twin Delayed Deep Deterministic Policy Gradient Algorithm Optimization. Appl. Sci. 2023, 13, 12555. https://doi.org/10.3390/app132312555
Zheng Y, Fei Z, Tao J, Sun Q, Sun H, Chen Z, Sun M. Intelligent Trajectory Tracking Linear Active Disturbance Rejection Control of a Powered Parafoil Based on Twin Delayed Deep Deterministic Policy Gradient Algorithm Optimization. Applied Sciences. 2023; 13(23):12555. https://doi.org/10.3390/app132312555
Chicago/Turabian StyleZheng, Yuemin, Zelin Fei, Jin Tao, Qinglin Sun, Hao Sun, Zengqiang Chen, and Mingwei Sun. 2023. "Intelligent Trajectory Tracking Linear Active Disturbance Rejection Control of a Powered Parafoil Based on Twin Delayed Deep Deterministic Policy Gradient Algorithm Optimization" Applied Sciences 13, no. 23: 12555. https://doi.org/10.3390/app132312555
APA StyleZheng, Y., Fei, Z., Tao, J., Sun, Q., Sun, H., Chen, Z., & Sun, M. (2023). Intelligent Trajectory Tracking Linear Active Disturbance Rejection Control of a Powered Parafoil Based on Twin Delayed Deep Deterministic Policy Gradient Algorithm Optimization. Applied Sciences, 13(23), 12555. https://doi.org/10.3390/app132312555

