Impact of Interaction between Biochar and Soil Microorganisms on Growth of Chinese Cabbage by Increasing Soil Fertility
Abstract
:1. Introduction
2. Materials and Methods
2.1. Soil, Biochar, Chinese Cabbage and Chemicals
2.2. Strains and Culture Condition
2.3. Experimental Design
2.4. Soil Measurement
2.5. Plant Measurement
2.6. Determination of Soil Bacterial Diversity
2.7. Statistical Analysis
3. Results
3.1. Promotion to Cabbage Growth by the Interaction of Biochar with Microbes
3.2. Biochar Stimulates Microbial Activity in Soil
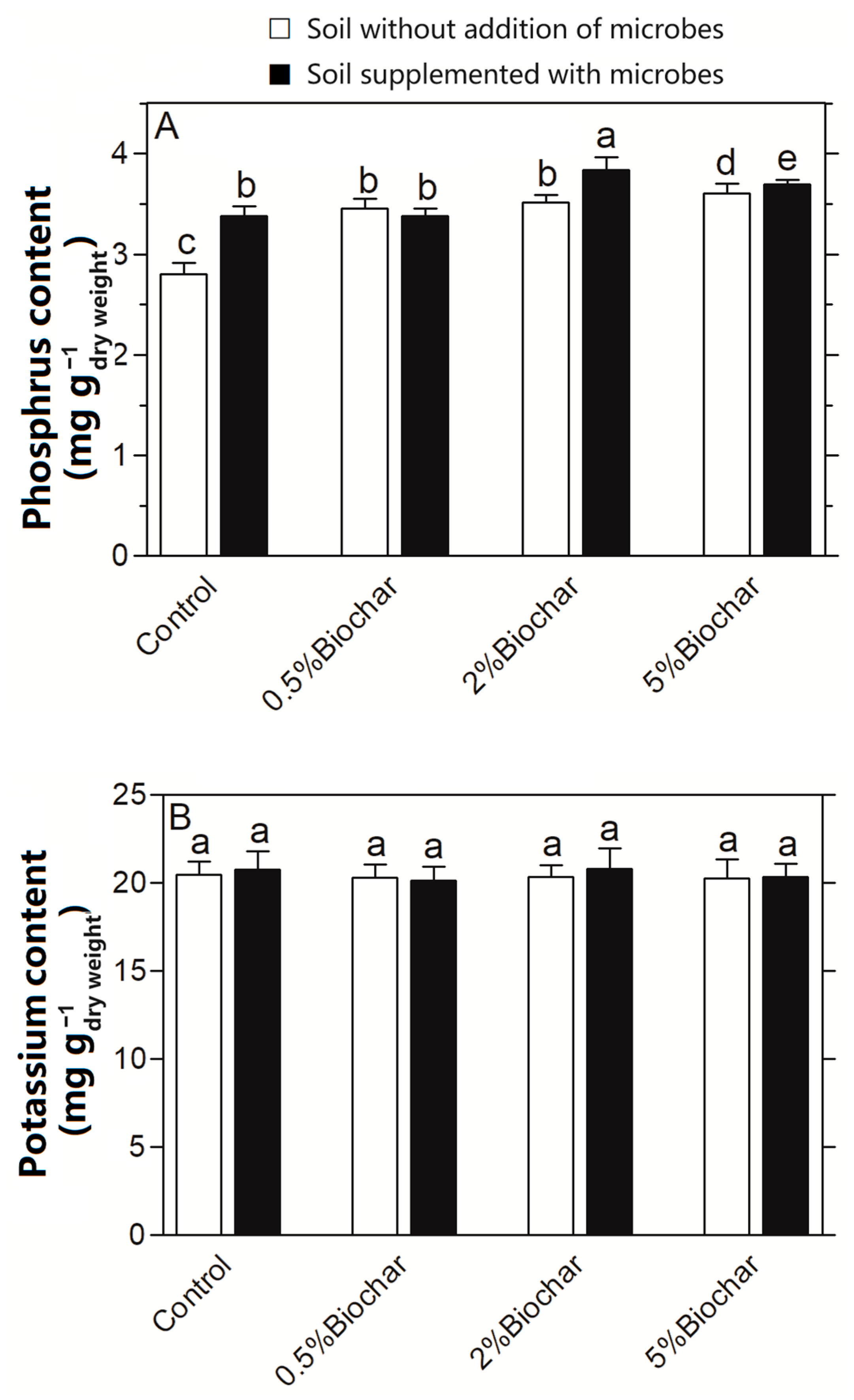
3.3. Improvement of Soil Fertility by the Interaction of Biochar with Microbes
3.4. Improvement of Soil Enzymes Activity by the Interaction of Biochar with Microbes
3.5. Cabbage Improvement by the Interaction of Biochar with Microbes
3.6. Relationships between the Interaction of Biochar with Microbes and the Properties of Soil and Cabbage Growth
4. Discussion
5. Conclusions
Author Contributions
Funding
Institutional Review Board Statement
Informed Consent Statement
Data Availability Statement
Conflicts of Interest
References
- Guido, F.; Pellegrino, C.; Villiam, B.; Fabiana, Z.; Germana, L.; Delia, C.M.; Vito, F.; Luca, M.; Paolo, L.M. Changes in physicochemical properties of biochar after addition to soil. Agriculture 2022, 12, 320. [Google Scholar] [CrossRef]
- Lu, Y.; Gu, K.; Shen, Z.; Tang, C.; Tang, C.; Shi, B.; Zhou, Q. Biochar implications for the engineering properties of soils: A review. Sci. Total Environ. 2023, 888, 164185. [Google Scholar] [CrossRef] [PubMed]
- Yan, P.; Shen, C.; Zou, Z.; Fu, J.; Li, X.; Zhang, L.; Zhang, L.; Han, W.; Fan, L. Biochar stimulates tea growth by improving nutrients in acidic soil. Sci. Hortic. 2021, 283, 110078. [Google Scholar] [CrossRef]
- Andrey, V.; Tatiana, M.; Saglara, S.; Leonid, V.; Gerhard, S.; Inna, V.; Vishnu, D.; Svetlana, N.; Dinesh, M.; Jun, Y. The mechanisms of biochar interactions with microorganisms in soil. Environ. Geochem. Health 2020, 42, 2495–2518. [Google Scholar] [CrossRef]
- Prem, P.; Zilong, M.; Scott, X. Biochar increases soil microbial biomass with changes in extra- and intracellular enzyme activities: A global meta-analysis. Biochar 2020, 2, 65–79. [Google Scholar] [CrossRef]
- David, L.; Pierce, F.; Baiqun, W.; Robert, H.; Douglas, K. Biochar impact on nutrient leaching from a Midwestern agricultural soil. Geoderma 2010, 158, 436–442. [Google Scholar] [CrossRef]
- Adekiya, A.O.; Agbede, T.M.; Aboyeji, C.M.; Dunsin, O.; Simeon, V.T. Effects of biochar and poultry manure on soil characteristics and the yield of radish. Sci. Hortic. 2019, 243, 457–463. [Google Scholar] [CrossRef]
- Asfaw, E.; Nebiyu, A.; Bekele, E.; Ahmed, E.; Astatkie, T. Coffee-husk biochar application increased AMF root colonization, P accumulation, N2 fixation, and yield of soybean grown in a tropical Nitisol, southwest Ethiopia. J. Plant Nutr. Soil Sci. 2019, 182, 419–428. [Google Scholar] [CrossRef]
- Gul, S.; Whalen, J.K.; Thomas, B.W.; Sachdeva, V.; Deng, H. Physico-chemical properties and microbial responses in biochar-amended soils: Mechanisms and future directions. Agric. Ecosyst. Environ. 2015, 206, 46–59. [Google Scholar] [CrossRef]
- Castaño1, M.I.L.; Jannoura1, R.; Joergensen, R.G. Coffee mucilage impact on young coffee seedlings and soil microorganisms. J. Plant Nutr. Soil Sci. 2019, 182, 782–790. [Google Scholar] [CrossRef]
- Palansooriya, K.N.; Wang, J.T.F.; Hashimoto, Y.; Huang, L.; Rinklebe, J.; Chang, S.X.; Bolan, N.; Wang, H.; Ok, Y.S. Response of microbial communities to biochar-amended soils: A critical review. Biochar 2019, 1, 3–12. [Google Scholar] [CrossRef]
- Roghayeh, M.; MirHassan, R.; Ebrahim, S.; Mohsen, B.; Ramesh, R.V. Improving phosphorus availability and wheat yield in saline soil of the lake urmia basin through enriched biochar and microbial inoculation. Agriculture 2023, 13, 805. [Google Scholar] [CrossRef]
- Egamberdieva, D.; Wirth, S.; Behrendt, U.; Abd-Allah, E.F.; Berg, G. Biochar treatment resulted in a combined effect on soybean growth promotion and a shift in plant growth promoting rhizobacteria. Front. Microbial. 2016, 7, 209. [Google Scholar] [CrossRef] [PubMed]
- Yang, F.; Zhou, Y.; Liu, W.; Tang, W.; Meng, J.; Chen, W.; Li, X. Strain-specific effects of biochar and its water-soluble compounds on bacterial growth. Appl. Sci. 2019, 9, 3209. [Google Scholar] [CrossRef]
- Chan, K.Y.; Zwieten, L.V.; Meszaros, I.; Downie, A.; Joseph, S. Agronomic values of greenwaste biochar as a soil amendment. Aust. J. Soil Res. 2007, 45, 629–634. [Google Scholar] [CrossRef]
- Liu, S.; Tang, W.; Yang, F.; Meng, J.; Chen, W.; Li, X. Influence of biochar application on potassium-solubilizing Bacillus mucilaginosus as potential biofertilizer. Prep. Biochem. Biotechnol. 2016, 47, 32–37. [Google Scholar] [CrossRef]
- Bini, D.; Santos, C.A.D.; Bernal, L.P.T.; Andrade, G.; Nogueira, M.A. Identifying indicators of C and N cycling in a clayey ultisol under different tillage and uses in winter. Appl. Soil Ecol. 2014, 76, 95–101. [Google Scholar] [CrossRef]
- Zhang, J.; Wen, J.; Zhang, T.; Zhang, Y.; Peng, Z.; Tang, C.; Wang, Y.; Su, S.; Zhang, N.; Zeng, X. Effects of five-year inorganic and organic fertilization on soil phosphorus availability and phosphorus resupply for plant P uptake during maize growth. Agriculture 2023, 13, 858. [Google Scholar] [CrossRef]
- Chrysargyris, A.; Prasad, M.; Kavanagh, A.; Tzortzakis, N. Biochar type and ratio as a peat additive/partial peat replacement in growing media for cabbage seedling production. Agronomy 2019, 9, 639–659. [Google Scholar] [CrossRef]
- Zhu, X.; Chen, B.; Zhu, L.; Xing, B. Effects and mechanisms of biochar-microbe interactions in soil improvement and pollution remediation: A review. Environ. Pollut. 2017, 22, 98–115. [Google Scholar] [CrossRef]
- Chiomento, J.L.T.; De Nardi, F.S.; Filippi, D.; Trentin, T.S.; Dornelles, A.G.; Fornari, M.; Nienow, A.A.; Calvete, E.O. Morpho-horticultural performance of strawberry cultivated on substrate with arbuscular mycorrhizal fungi and biochar. Sci. Hortic. 2021, 282, 110053. [Google Scholar] [CrossRef]
- Choppala, G.K.; Bolan, N.S.; Megharaj, M.; Chen, Z.; Naidu, R. The influence of biochar and black carbon on reduction and bioavailability of chromate in soils. J. Environ. Qual. 2012, 41, 1175–1184. [Google Scholar] [CrossRef] [PubMed]
- Suksabye, P.; Pimthong, A.; Dhurakit, P.; Mekvichitsaeng, P.; Thiravetyan, P. Effect of biochars and microorganisms on cadmium accumulation in rice grains grown in Cd-contaminated soil. Environ. Sci. Pollut. Res. 2015, 23, 962–973. [Google Scholar] [CrossRef] [PubMed]
- Fox, A.; Kwapinski, W.; Griffiths, B.S.; Schmalenberger, A. The role of sulfur- and phosphorus-mobilizing bacteria in biochar-induced growth promotion of Lolium perenne. FEMS Microbiol. Ecol. 2014, 90, 78–91. [Google Scholar] [CrossRef] [PubMed]
- Prendergast-Miller, M.T.; Duvall, M.; Sohi, S.P. Biochar–root interactions are mediated by biochar nutrient content and impacts on soil nutrient availability. Eur. J. Soil Sci. 2013, 65, 173–185. [Google Scholar] [CrossRef]
- Liu, H.; Wang, Y.; Jiang, H.; Sun, D.; Yang, F. Insight into the correlation between biochar amendment and shifts in bacterial community 4 years after a single incorporation in soybean- and maize-planted soils in northeastern China. Can. J. Microbiol. 2019, 65, 353–364. [Google Scholar] [CrossRef]
- Dume, B.; Berecha, G.; Tulu, S. Characterization of biochar produced at different temperatures and its effect on acidic nitosol of Jimma, Southwest Ethiopia. Int. J. Soil Sci. 2015, 10, 63–73. [Google Scholar] [CrossRef]
- Leal, O.D.; Dick, D.P.; Lombardi, K.C.; Maciel, V.G.; Gonzalez-Perez, J.A.; Knicker, H. Soil chemical properties and organic matter composition of a subtropical Cambisol after charcoal fine residues incorporation. J. Soils Sed. 2015, 15, 805–815. [Google Scholar] [CrossRef]
- Zhang, K.; Chen, L.; Li, Y.; Brookes, P.C.; Xu, J.; Luo, Y. The effects of combinations of biochar, lime, and organic fertilizer on nitrification and nitrifiers. Biol. Fertil. Soils 2017, 53, 77–87. [Google Scholar] [CrossRef]
- Zhao, Y.; Wang, X.; Yao, G.; Lin, Z.; Xu, L.; Jiang, Y.; Jin, Z.; Shan, S.; Ping, L. Advances in the effects of biochar on microbial ecological function in soil and crop quality. Sustainability 2022, 14, 10411. [Google Scholar] [CrossRef]
- Jaiswal, A.K.; Frenkel, O.; Tsechansky, L.; Elad, Y.; Graber, E.R. Immobilization and deactivation of pathogenic enzymes and toxic metabolites by biochar: A possible mechanism involved in soilborne disease suppression. Soil Biol. Biochem. 2018, 121, 59–66. [Google Scholar] [CrossRef]
- Sun, D.; Meng, J.; Liang, H.; Yang, E.; Huang, Y.; Chen, W.; Jiang, L.; Lan, Y.; Zhang, W.; Gao, J. Effect of volatile organic compounds absorbed to fresh biochar on survival of Bacillus mucilaginosus and structure of soil microbial communities. J. Soils Sediments 2015, 15, 271–281. [Google Scholar] [CrossRef]
- Bueno, C.; Fraceto, L.; Rosa, A. Biochar influence the production and release of exopolysaccharides on plant growth promoting bacteria. Chem. Eng. Trans. 2018, 65, 823–828. [Google Scholar] [CrossRef]
- Akbar, K.; Abdolamir, M.; Mostafa, C.; Naeimeh, E. Application of biochar changed the status of nutrients and biological activity in a calcareous soil. J. Soil Sci. Plant Nutr. 2020, 20, 450–459. [Google Scholar] [CrossRef]
- Fox, A.; Gahan, J.; Ikoyi, I.; Kwapinski, W.; O’Sullivan, O.; Cotter, P.D.; Schmalenberger, A. Miscanthus biochar promotes growth of spring barley and shifts bacterial community structures including phosphorus and sulfur mobilizing bacteria. Pedobiologia 2016, 59, 195–202. [Google Scholar] [CrossRef]
- Wang, X.; Song, D.; Liang, G.; Zhang, Q.; Ai, C.; Zhou, W. Maize biochar addition rate influences soil enzyme activity and microbial community composition in a fluvo-aquic soil. Appl. Soil Ecol. 2015, 96, 265–272. [Google Scholar] [CrossRef]
- Zhang, A.; Bian, R.; Pan, G.; Cui, L.; Hussain, Q.; Li, L.; Zheng, J.; Zheng, J.; Zhang, X.; Han, X.; et al. Effects of biochar amendment on soil quality, crop yield and greenhouse gas emission in a Chinese rice paddy: A field study of 2 consecutive rice growing cycles. Field Crop. Res. 2012, 127, 153–160. [Google Scholar] [CrossRef]
- Rasul, M.; Cho, J.; Shin, H.; Hur, J. Biochar-induced priming effects in soil via modifying the status of soil organic matter and microflora: A review. Sci. Total Environ. 2022, 805, 150304. [Google Scholar] [CrossRef]
- Bailey, V.L.; Fansler, S.J.; Smith, J.L.; Bolton, H., Jr. Reconciling apparent variability in effects of biochar amendment on soil enzyme activities by assay optimization. Soil Biol. Biochem. 2011, 43, 296–301. [Google Scholar] [CrossRef]
- Ameloot, N.; Sleutel, S.; Case, S.D.C.; Alberti, G.; McNamara, N.P.; Zavalloni, C.; Vervisch, B.; Vedove, G.; De Neve, S. C mineralization and microbial activity in four biochar field experiments several years after incorporation. Soil Biol. Biochem. 2014, 78, 195–203. [Google Scholar] [CrossRef]
- Limwikran, T.; Kheoruenromne, I.; Suddhiprakarn, A.; Prakongkep, N.; Gilkes, R.J. Dissolution of K, Ca, and P from biochar grains in tropical soils. Geoderma 2018, 312, 139–150. [Google Scholar] [CrossRef]
- Deb, D.; Kloft, M.; Lässig, J.; Walsh, S. Variable effects of biochar and P solubilizing microbes on crop productivity in different soil conditions. Agroecol. Sust. Food 2016, 40, 145–168. [Google Scholar] [CrossRef]






| Indexes b | Microbial Content | The Relative Abundance of Ochrobactrum sp. | The Relative Abundance of Bacillus mucilaginosus |
|---|---|---|---|
| OM | 0.952 * | 0.987 * | 0.657 |
| AP | 0.987 * | 0.991 ** | 0.501 |
| AK | 0.657 | 0.664 | 0.959 * |
| PS | 0.998 ** | 0.977 * | 0.636 |
| US | 0.975 * | 0.976 * | 0.494 |
| FW | 0.958 * | 0.973 * | 0.820 |
| PC | 0.970 * | 0.990 ** | 0.755 |
| KC | 0.945 | 0.984 * | 0.965 * |
Disclaimer/Publisher’s Note: The statements, opinions and data contained in all publications are solely those of the individual author(s) and contributor(s) and not of MDPI and/or the editor(s). MDPI and/or the editor(s) disclaim responsibility for any injury to people or property resulting from any ideas, methods, instructions or products referred to in the content. |
© 2023 by the authors. Licensee MDPI, Basel, Switzerland. This article is an open access article distributed under the terms and conditions of the Creative Commons Attribution (CC BY) license (https://creativecommons.org/licenses/by/4.0/).
Share and Cite
Luan, J.; Fu, Y.; Tang, W.; Yang, F.; Li, X.; Yu, Z. Impact of Interaction between Biochar and Soil Microorganisms on Growth of Chinese Cabbage by Increasing Soil Fertility. Appl. Sci. 2023, 13, 12545. https://doi.org/10.3390/app132312545
Luan J, Fu Y, Tang W, Yang F, Li X, Yu Z. Impact of Interaction between Biochar and Soil Microorganisms on Growth of Chinese Cabbage by Increasing Soil Fertility. Applied Sciences. 2023; 13(23):12545. https://doi.org/10.3390/app132312545
Chicago/Turabian StyleLuan, Jing, Yang Fu, Wenzhu Tang, Fan Yang, Xianzhen Li, and Zhimin Yu. 2023. "Impact of Interaction between Biochar and Soil Microorganisms on Growth of Chinese Cabbage by Increasing Soil Fertility" Applied Sciences 13, no. 23: 12545. https://doi.org/10.3390/app132312545
APA StyleLuan, J., Fu, Y., Tang, W., Yang, F., Li, X., & Yu, Z. (2023). Impact of Interaction between Biochar and Soil Microorganisms on Growth of Chinese Cabbage by Increasing Soil Fertility. Applied Sciences, 13(23), 12545. https://doi.org/10.3390/app132312545

