Development and Proposal of a Novel Scoring System to Classify Dry Mouth Severity
Abstract
:Featured Application
Abstract
1. Introduction
2. Materials and Methods
2.1. Study Participants
2.2. The DMSS
2.3. Description of Selected Parameters for DMSS
2.4. Proposed Cut-Off Values for DMSS
2.5. Distribution and Correlations of DMSS
2.6. Statistical Analyses
3. Results
3.1. Study Group
3.2. Parameters Included in DMSS
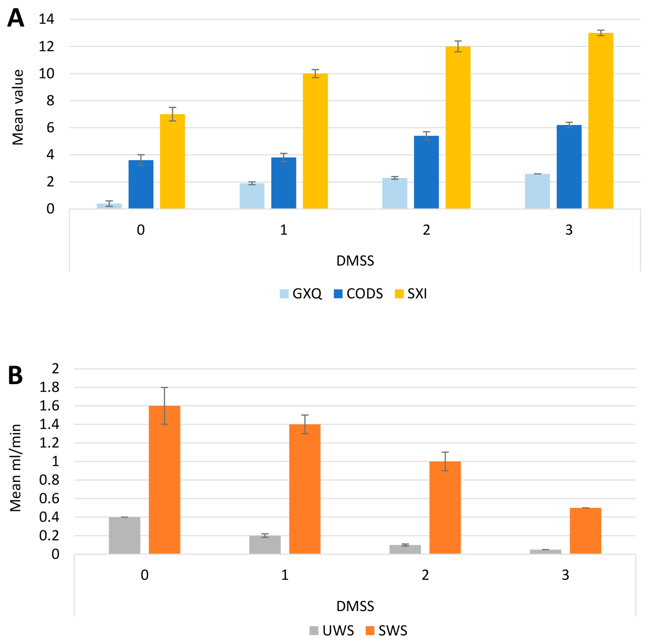
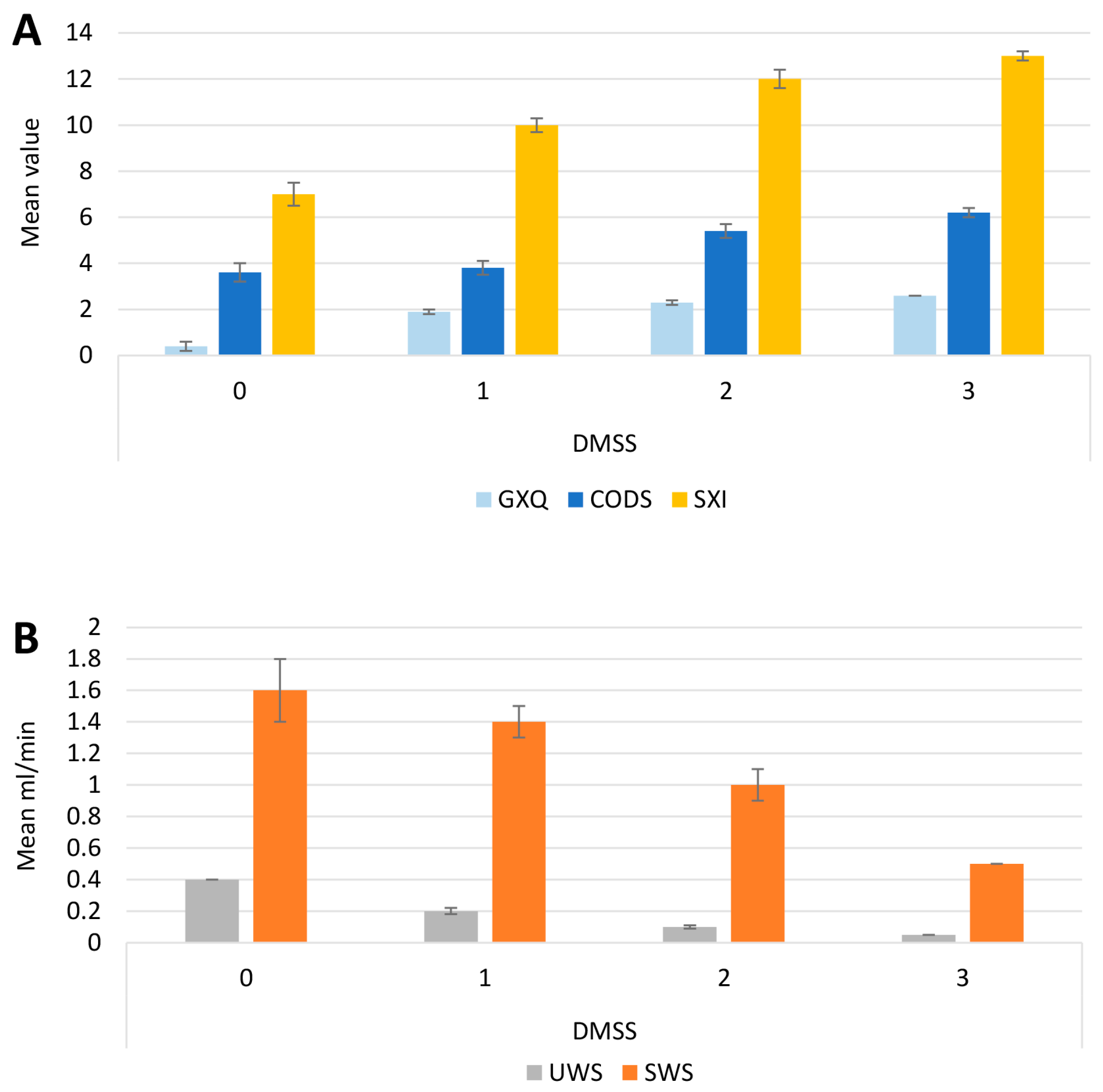
3.3. Distribution, Sensitivity, Specificity and Reliability of DMSS
3.4. Correlations with OHIP-14 and SF-36
4. Discussion
4.1. Gaps in the Literature
4.2. Application of the DMSS
4.3. Selection of Dry Mouth Parameters
4.4. Sensitivity, Specificity and Reliability of DMSS
4.5. Correlations with Quality of Life Measurements
4.6. Strengths and Limitations of the Study
5. Conclusions
Supplementary Materials
Author Contributions
Funding
Institutional Review Board Statement
Informed Consent Statement
Data Availability Statement
Acknowledgments
Conflicts of Interest
References
- Proctor, G.B. Medication-Induced Dry Mouth. In Dry Mouth: A Clinical Guide on Causes, Effects and Treatments; Carpenter, G., Ed.; Springer: Berlin/Heidelberg, Germany, 2015; pp. 33–50. [Google Scholar] [CrossRef]
- Furness, S.; Worthington, H.V.; Bryan, G.; Birchenough, S.; McMillan, R. Interventions for the management of dry mouth: Topical therapies. Cochrane Database Syst. Rev. 2011, 12, cd008934. [Google Scholar] [CrossRef]
- Ying Joanna, N.D.; Thomson, W.M. Dry mouth—An overview. Singap. Dent. J. 2015, 36, 12–17. [Google Scholar] [CrossRef] [PubMed]
- National Library of Medicine. ClinicalTrials.gov. Available online: https://www.clinicaltrials.gov/search?cond=dry%20mouth (accessed on 26 October 2023).
- Asakawa, R.; Suzuki, H.; Yagi, T.; Yasuda, A.; Takeuchi, H.; Ebato, A.; Oguchi, S.; Sakamaki, T.; Kawara, M.; Komiyama, O. Subjective Assessment of a New Mouthwash for Relieving Oral Dryness. Int. J. Oral-Med. Sci. 2018, 17, 39–44. [Google Scholar] [CrossRef]
- Epstein, J.B.; Villines, D.C.; Singh, M.; Papas, A. Management of dry mouth: Assessment of oral symptoms after use of a polysaccharide-based oral rinse. Oral Surg. Oral Med. 2017, 123, 76. [Google Scholar] [CrossRef]
- Salom, M.; Hachulla, E.; Bertolus, C.; Deschaumes, C.; Simoneau, G.; Mouly, S. Efficacy and safety of a new oral saliva equivalent in the management of xerostomia: A national, multicenter, randomized study. Oral Surg. Oral Med. Oral Pathol. Oral Radiol. 2015, 119, 301–309. [Google Scholar] [CrossRef] [PubMed]
- Lemp, M.A. The Definition and Classification of Dry Eye Disease: Report of the Definition and Classification Subcommittee of the International Dry Eye Workshop. Ocul. Surf. 2007, 5, 75–92. [Google Scholar] [CrossRef]
- Liu, B.; Dion, M.R.; Jurasic, M.M.; Gibson, G.; Jones, J.A. Xerostomia and salivary hypofunction in vulnerable elders: Prevalence and etiology. Oral Surg. Oral Med. Oral Pathol. Oral Radiol. 2012, 114, 52–60. [Google Scholar] [CrossRef] [PubMed]
- Agostini, B.A.; Cericato, G.O.; Silveira, E.R.d.; Nascimento, G.G.; Costa, F.d.S.; Thomson, W.M.; Demarco, F.F. How Common is Dry Mouth? Systematic Review and Meta-Regression Analysis of Prevalence Estimates. Braz. Dent. J. 2018, 29, 606–618. [Google Scholar] [CrossRef]
- Orellana, M.F.; Lagravère, M.O.; Boychuk, D.G.; Major, P.W.; Flores-Mir, C.; Ortho, C. Prevalence of Xerostomia in Population-based Samples: A Systematic Review. J. Public Health Dent. 2006, 66, 152–158. [Google Scholar] [CrossRef] [PubMed]
- Jensen, S.B.; Pedersen, A.M.L.; Vissink, A.; Andersen, E.; Brown, C.G.; Davies, A.N.; Dutilh, J.; Fulton, J.S.; Jankovic, L.; Lopes, N.N.F.; et al. A systematic review of salivary gland hypofunction and xerostomia induced by cancer therapies: Prevalence, severity and impact on quality of life. Support Care Cancer 2010, 18, 1039–1060. [Google Scholar] [CrossRef]
- Tashbayev, B.; Garen, T.; Palm, Ø.; Chen, X.; Herlofson, B.B.; Young, A.; Hove, L.H.; Rykke, M.; Singh, P.B.; Aqrawi, L.A.; et al. Patients with non-Sjögren’s sicca report poorer general and oral health-related quality of life than patients with Sjögren’s syndrome: A cross-sectional study. Sci. Rep. 2020, 10, 2063. [Google Scholar] [CrossRef] [PubMed]
- Westgaard, K.L.; Hynne, H.; Amdal, C.D.; Young, A.; Singh, P.B.; Chen, X.; Rykke, M.; Hove, L.H.; Aqrawi, L.A.; Utheim, T.P.; et al. Oral and ocular late effects in head and neck cancer patients treated with radiotherapy. Sci. Rep. 2021, 11, 4026. [Google Scholar] [CrossRef]
- Frigaard, J.; Hynne, H.; Randsborg, K.; Mellin-Olsen, T.; Young, A.; Rykke, M.; Singh, P.B.; Hove, L.H.; Hofgaard, A.K.; Jensen, J.L. Exploring oral health indicators, oral health-related quality of life and nutritional aspects in 23 medicated patients from a short-term psychiatric ward. Front. Public Health 2023, 11, 1083256. [Google Scholar] [CrossRef]
- Mariette, X.; Criswell, L.A. Primary Sjögren’s Syndrome. N. Engl. J. Med. 2018, 378, 931–939. [Google Scholar] [CrossRef]
- Vitali, C.; Bombardieri, S.; Jonsson, R.; Moutsopoulos, H.M.; Alexander, E.L.; Carsons, S.E.; Daniels, T.E.; Fox, P.C.; Fox, R.I.; Kassan, S.S.; et al. Classification criteria for Sjögren’s syndrome: A revised version of the European criteria proposed by the American-European Consensus Group. Ann. Rheum. Dis. 2002, 61, 554–558. [Google Scholar] [CrossRef]
- Thomson, W.M.; Chalmers, J.M.; Spencer, A.J.; Ketabi, M. The occurrence of xerostomia and salivary gland hypofunction in a population-based sample of older South Australians. Spec. Care Dentist. 1999, 19, 20–23. [Google Scholar] [CrossRef] [PubMed]
- Thomson, W.M.; Putten, G.-J.v.d.; de Baat, C.; Ikebe, K.; Matsuda, K.-i.; Enoki, K.; Hopcraft, M.; Ling, G.Y. Shortening the Xerostomia Inventory. Oral Surg. Oral Med. Oral Pathol. Oral Radiol. Endod. 2011, 112, 322–327. [Google Scholar] [CrossRef] [PubMed]
- Rusthen, S.; Young, A.; Herlofson, B.B.; Aqrawi, L.A.; Rykke, M.; Hove, L.H.; Palm, Ø.; Jensen, J.L.; Singh, P.B. Oral disorders and oral health-related quality of life in patients with primary Sjögren’s Syndrome. Eur. J. Oral Sci. 2017, 125, 265–271. [Google Scholar] [CrossRef]
- Riva, F.; Seoane, M.; Reichenheim, M.E.; Tsakos, G.; Celeste, R.K. Adult oral health-related quality of life instruments: A systematic review. Community Dent. Oral Epidemiol. 2022, 50, 333–338. [Google Scholar] [CrossRef]
- Ware, J.E.; Gandek, B. Overview of the SF-36 Health Survey and the International Quality of Life Assessment (IQOLA) Project. J. Clin. Epidemiol. 1998, 51, 903–912. [Google Scholar] [CrossRef]
- Jager, D.H.J.; Bots, C.P.; Forouzanfar, T.; Brand, H.S. Clinical oral dryness score: Evaluation of a new screening method for oral dryness. Odontology 2018, 106, 439–444. [Google Scholar] [CrossRef]
- Challacombe, S.J.; Osailan, S.M.; Proctor, G.B. Clinical Scoring Scales for Assessment of Dry Mouth; Springer: Berlin/Heidelberg, Germany, 2014; pp. 119–132. [Google Scholar] [CrossRef]
- Ericsson, Y.; Hardwick, L. Individual Diagnosis, Prognosis and Counselling for Caries Prevention. Caries Res. 1978, 12, 94–102. [Google Scholar] [CrossRef] [PubMed]
- Tashbayev, B.; Rusthen, S.; Young, A.; Herlofson, B.B.; Hove, L.H.; Singh, P.B.; Rykke, M.; Aqrawi, L.A.; Chen, X.; Utheim, Ø.A.; et al. Interdisciplinary, Comprehensive Oral and Ocular Evaluation of Patients with Primary Sjögren’s Syndrome. Sci. Rep. 2017, 7, 10761–10769. [Google Scholar] [CrossRef] [PubMed]
- Hummel, T.; Kobal, G.; Gudziol, H.; Mackay-Sim, A. Normative data for the “Sniffin’ Sticks” including tests of odor identification, odor discrimination, and olfactory thresholds: An upgrade based on a group of more than 3,000 subjects. Eur. Arch. Otorhinolaryngol. 2007, 264, 237–243. [Google Scholar] [CrossRef]
- Mueller, C.; Kallert, S.; Renner, B.; Stiassny, K.; Temmel, A.F.; Hummel, T.; Kobal, G. Quantitative assessment of gustatory function in a clinical context using impregnated “taste strips”. Rhinology 2003, 41, 2–6. [Google Scholar] [PubMed]
- Putten, G.-J.v.d.; Brand, H.S.; Schols, J.M.; Baat, C.d. The diagnostic suitability of a xerostomia questionnaire and the association between xerostomia, hyposalivation and medication use in a group of nursing home residents. Clin. Oral Investig. 2011, 15, 185–192. [Google Scholar] [CrossRef]
- Diep, M.T.; Jensen, J.L.; Skudutyte-Rysstad, R.; Young, A.; Sødal, A.T.T.; Petrovski, B.É.; Hove, L.H. Xerostomia and hyposalivation among a 65-yr-old population living in Oslo, Norway. Eur. J. Oral Sci. 2021, 129, e12757. [Google Scholar] [CrossRef] [PubMed]
- Osailan, S.M.; Pramanik, R.; Shirlaw, P.; Proctor, G.B.; Challacombe, S.J. Clinical assessment of oral dryness: Development of a scoring system related to salivary flow and mucosal wetness. Oral Surg. Oral Med. Oral Pathol. Oral Radiol. 2012, 114, 597–603. [Google Scholar] [CrossRef]
- Slade, G.D.; Spencer, A.J. Development and evaluation of the Oral Health Impact Profile. Community Dent Health 1994, 11, 3–11. [Google Scholar]
- Bland, J.M.; Altman, D.G. Cronbach’s alpha. BMJ 1997, 314, 572. [Google Scholar] [CrossRef]
- Epstein, J.B.; Villines, D.C.; Sroussi, H.Y. Patient reported outcomes of the clinical use of a proprietary topical dry mouth product. Spec. Care Dentist. 2015, 35, 197–204. [Google Scholar] [CrossRef]
- Barbe, A.G.; Schmidt-Park, Y.; Hamacher, S.; Derman, S.H.M.; Noack, M.J. Efficacy of GUM® Hydral versus Biotène® Oralbalance mouthwashes plus gels on symptoms of medication-induced xerostomia: A randomized, double-blind, crossover study. Clin. Oral Investig. 2018, 22, 169–180. [Google Scholar] [CrossRef] [PubMed]
- Warde, P.; Kroll, B.; O’Sullivan, B.; Aslanidis, J.; Tew-George, E.; Waldron, J.; Maxymiw, W.; Liu, F.-F.; Payne, D.; Cummings, B. A phase II study of Biotene in the treatment of postradiation xerostomia in patients with head and neck cancer. Support Care Cancer 2000, 8, 203–208. [Google Scholar] [CrossRef] [PubMed]
- Jose, A.; Singh, M.L.; Magnuson, B.; Farag, A.; Varghese, R.; Papas, A. A randomized controlled study to evaluate an experimental moisturizing mouthwash formulation in participants experiencing dry mouth symptoms. Oral Surg. Oral Med. Oral Pathol. Oral Radiol. 2018, 126, 231. [Google Scholar] [CrossRef]
- Thomson, W.M.; Chalmers, J.M.; Spencer, A.J.; Williams, S.M. The Xerostomia Inventory: A multi-item approach to measuring dry mouth. Community Dent. Health 1999, 16, 12–17. [Google Scholar]
- Yüce Sarı, S.; Tuğce Yılmaz, M.; Elmalı, A.; Kılıç, L.; Yüce, D.; Özyiğit, G.; Cengiz, M.; Yazıcı, G. Turkish translation and validation of the Xerostomia Inventory. Arch. Rheumatol. 2022, 37, 351–360. [Google Scholar] [CrossRef] [PubMed]
- Hohenberger, R.; Baumann, I.; Plinkert, P.K.; Brinster, R.; Krisam, J.; Affolter, A.; Hein, M.; Flechsig, P.; Rathke, H.; Oladokun, D.; et al. Validating the Xerostomia Inventory in a radiation-induced xerostomia population in German language. Oral Dis. 2019, 25, 1744–1750. [Google Scholar] [CrossRef]
- Amaral, J.P.d.A.R.; Marques, D.N.d.S.; Thomson, W.M.; Vinagre, A.R.R.; Mata, A.D.S.P. Validity and reliability of a Portuguese version of the Summated Xerostomia Inventory-5. Gerodontology 2018, 35, 33–37. [Google Scholar] [CrossRef]
- Johansson, A.-K.; Johansson, A.; Unell, L.; Ekbäck, G.; Ordell, S.; Carlsson, G.E. Self-reported dry mouth in Swedish population samples aged 50, 65 and 75 years: Self-reported dry mouth age 50–75. Gerodontology 2012, 29, e107–e115. [Google Scholar] [CrossRef] [PubMed]
- Benn, A.M.L.; Broadbent, J.M.; Thomson, W.M. Occurrence and impact of xerostomia among dentate adult New Zealanders: Findings from a national survey. Aust. Dent. J. 2015, 60, 362–367. [Google Scholar] [CrossRef]
- Singh, P.B.; Young, A.; Homayouni, A.; Hove, L.H.; Petrovski, B.E.; Herlofson, B.B.; Palm, O.; Rykke, M.; Jensen, J.L. Distorted Taste and Impaired Oral Health in Patients with Sicca Complaints. Nutrients 2019, 11, 264. [Google Scholar] [CrossRef]
- Thomson, W.M.; Lawrence, H.P.; Broadbent, J.M.; Poulton, R. The impact of xerostomia on oral-health-related quality of life among younger adults. Health Qual. Life Outcomes 2006, 4, 86. [Google Scholar] [CrossRef] [PubMed]
- Serrano, J.; López-Pintor, R.M.; Fernández-Castro, M.; Ramírez, L.; Sanz, M.; López, J.; Blázquez, M.Á.; González, J.J.; Hernández, G. Usefulness of implementing the OHIP-14 questionnaire to assess the impact of xerostomia and hyposalivation on quality of life in patients with primary Sjögren’s syndrome. J. Oral Pathol. Med. 2022, 51, 810–817. [Google Scholar] [CrossRef]
- Nascimento, M.-L.D.; de Farias, A.-B.-S.; Carvalho, A.-T.; de Albuquerque, R.-F.; Ribeiro, L.-N.; Leão, J.-C.; Silva, I.-H.-M. Impact of xerostomia on the quality of life of patients submitted to head and neck radiotherapy. Med. Oral Patol. Oral Cir. Bucal. 2019, 24, e770–e775. [Google Scholar] [CrossRef] [PubMed]
- Gandía, M.; Morales-Espinoza, E.M.; Martín-González, R.M.; Retamozo, M.S.; Kostov, B.; Belenguer-Prieto, R.; Buss, D.; Caballero Borrego, M.; Bové, A.; Gueitasi, H.; et al. Factors influencing dry mouth in patients with primary Sjögren syndrome: Usefulness of the ESSPRI index. Oral Health Dent. Manag. 2014, 13, 402–407. [Google Scholar]
- Fernández-Martínez, G.; Zamora-Legoff, V.; Hernández Molina, G. Oral health-related quality of life in primary Sjögren’s syndrome. Reumatol. Clin. 2020, 16, 92–96. [Google Scholar] [CrossRef]
- Pow, E.H.N.; Kwong, D.L.W.; McMillan, A.S.; Wong, M.C.M.; Sham, J.S.T.; Leung, L.H.T.; Leung, W.K. Xerostomia and quality of life after intensity-modulated radiotherapy vs. conventional radiotherapy for early-stage nasopharyngeal carcinoma: Initial report on a randomized controlled clinical trial. Int. J. Radiat. Oncol. Biol. Phys. 2006, 66, 981–991. [Google Scholar] [CrossRef]
- Hopcraft, M.S.; Tan, C. Xerostomia: An update for clinicians. Aust. Dent. J. 2010, 55, 238–244. [Google Scholar] [CrossRef] [PubMed]




| Questionnaires | Reference |
|---|---|
| The General Xerostomia Question (GXQ) | [18] |
| The Summated Xerostomia Inventory (SXI) | [19] |
| Complaints of previous oral candidiasis, bad breath (halitosis), bad taste (dysgeusia), and burning mouth | [20] |
| Subjective evaluation of taste and smell functions (visual analog scale) | [20] |
| The Oral Health Impact Profil-14 (OHIP-14) | [21] |
| The Short Form Health Survey-36 (SF-36) | [22] |
| Clinical examinations | |
| Clinical Oral Dryness Score (CODS) | [23,24] |
| Measuring unstimulated (UWS) and chewing-stimulated whole saliva (SWS) | [25] |
| Candida growth (swab samples) | [26] |
| Recording of mucosal pathology, dental plaque, tooth mobility, implants and dental caries status | [26] |
| Objective evaluation of taste and smell functions | [27,28] |
| SXI | CODS |
|---|---|
|
|
| Patients (n = 131) | Controls (n = 59) | p-Value | |
|---|---|---|---|
| Age (years) | 52 ± 15 | 51 ± 17 | 0.438 |
| Gender | 0.192 | ||
| Male | 26 (20%) | 17 (29%) | |
| Female | 105 (80%) | 42 (71%) | |
| Ethnicity | 0.056 | ||
| Scandinavian | 119 (91%) | 49 (83%) | |
| European | 8 (6%) | 6 (10%) | |
| Other | 4 (3%) | 4 (7%) | |
| Educational level | 0.029 * | ||
| Basic (7–10 years) | 9 (7%) | 2 (3%) | |
| Secondary (10–13 years) | 39 (30%) a | 6 (10%) | |
| Higher (>13 years) | 83 (63%) a | 51 (86%) | |
| Occupation | <0.001 * | ||
| Working | 56 (43%) b | 41 (69%) | |
| Sick leave/rehabilitation/disabled | 40 (31%) b,c | 1 (2%) | |
| Unemployed | 8 (6%) e | 1 (2%) | |
| Student | 3 (2%) c,d,e | 8 (14%) | |
| Retired | 24 (18%) d | 8 (14%) | |
| Smoking status | 16 (12%) | 1 (2%) | 0.025 * |
| DMSS Parameter | Patients Mean ± SD | Controls Mean ± SD | p-Value |
|---|---|---|---|
| GXQ | 2.2 ± 0.9 | 0.1 ± 0.2 | <0.001 * |
| SXI | 11.7 ± 2.5 | 6.0 ± 0.9 | <0.001 * |
| CODS | 5.2 ± 1.9 | 1.1 ± 1.4 | <0.001 * |
| UWS | 0.13 ± 0.13 | 0.31 ± 0.18 | <0.001 * |
| SWS | 0.95 ± 0.68 | 1.70 ± 0.76 | <0.001 * |
| Patients n (%) | Controls n (%) | p-Value | |
| GXQ ≥ 2 | 103 (79%) | 0 | |
| SXI ≥ 11 | 93 (71%) | 0 | |
| CODS ≥ 6 | 65 (50%) | 1 (2%) | <0.001 * |
| UWS ≤ 0.1 mL/min | 85 (65%) | 13 (21%) | <0.001 * |
| SWS ≤ 0.7 mL/min | 57 (44%) | 3 (5%) | <0.001 * |
| Points | Patients | Controls | DMSS | Patients | Controls | p-Value |
|---|---|---|---|---|---|---|
| 0 | 9 (7%) | 46 (78%) | 0 | 9 (7%) | 46 (78%) | <0.001 * |
| 1 | 10 (8%) | 10 (17%) | 1 | 37 (28%) | 13 (22%) | 0.555 |
| 2 | 27 (21%) | 3 (5%) | ||||
| 3 | 29 (22%) | 0% | 2 | 29 (22%) | 0% | |
| 4 | 28 (21%) | 0% | 3 | 56 (43%) | 0% | |
| 5 | 28 (21%) | 0% |
Disclaimer/Publisher’s Note: The statements, opinions and data contained in all publications are solely those of the individual author(s) and contributor(s) and not of MDPI and/or the editor(s). MDPI and/or the editor(s) disclaim responsibility for any injury to people or property resulting from any ideas, methods, instructions or products referred to in the content. |
© 2023 by the authors. Licensee MDPI, Basel, Switzerland. This article is an open access article distributed under the terms and conditions of the Creative Commons Attribution (CC BY) license (https://creativecommons.org/licenses/by/4.0/).
Share and Cite
Frigaard, J.; Hynne, H.; Jensen, J.L. Development and Proposal of a Novel Scoring System to Classify Dry Mouth Severity. Appl. Sci. 2023, 13, 11758. https://doi.org/10.3390/app132111758
Frigaard J, Hynne H, Jensen JL. Development and Proposal of a Novel Scoring System to Classify Dry Mouth Severity. Applied Sciences. 2023; 13(21):11758. https://doi.org/10.3390/app132111758
Chicago/Turabian StyleFrigaard, Julie, Håvard Hynne, and Janicke Liaaen Jensen. 2023. "Development and Proposal of a Novel Scoring System to Classify Dry Mouth Severity" Applied Sciences 13, no. 21: 11758. https://doi.org/10.3390/app132111758
APA StyleFrigaard, J., Hynne, H., & Jensen, J. L. (2023). Development and Proposal of a Novel Scoring System to Classify Dry Mouth Severity. Applied Sciences, 13(21), 11758. https://doi.org/10.3390/app132111758

