Next Article in Journal
Research on Dynamic and Thermal Effects Based on the Calculation of the Short-Circuit Current in Low-Voltage DC Distribution Systems for Civil Buildings
Previous Article in Journal
Economic Analysis of the Production Process of Probiotics Based on the Biological and Physiological Parameters of the Cells
Previous Article in Special Issue
Radial Gradient Seismic Metamaterials with Ultra-Low Frequency and Ultra-Wide Band Gap
 
 
Font Type:
Arial Georgia Verdana
Font Size:
Aa Aa Aa
Line Spacing:
Column Width:
Background:
Article

Ultra-Low-Frequency Acoustic Black Hole Radial Elastic Metamaterials

School of Mechanical and Electrical Engineering, Xi’an University of Architecture and Technology, Xi’an 710055, China
*
Author to whom correspondence should be addressed.
Appl. Sci. 2023, 13(20), 11542; https://doi.org/10.3390/app132011542
Submission received: 5 August 2023 / Revised: 22 September 2023 / Accepted: 19 October 2023 / Published: 21 October 2023

Abstract

:
In this paper, we propose an acoustic black hole radial elastic metamaterial (AREM). Through the study of its dispersion relations, it is found that, compared with the conventional elastic metamaterial, the AREM gathers energy at the tip of the black hole cell, which can trigger the local resonance (LR) effect and couples with the Bragg scattering (BS) effect, thus opening the very low-frequency strong attenuation broadband. The influence of the structural parameters of the AREM on the bandgap (BG) characteristics is further explored, and the bandwidth can be modulated in the frequency range of 0–1300 Hz by varying the truncation thickness and power exponent of the acoustic black hole (ABH) structure. Finally, by analyzing the transmission spectrum and displacement field, it is found that the total bandwidth of the flexural BG is better than that of the conventional radial elastic metamaterial, and the wave attenuation capability is improved by more than 110%. It is also discovered that the BG characteristics of the longitudinal BG are also better than those of the conventional radial elastic metamaterial, and the total bandwidth of the longitudinal BG is superior to that of the conventional radial elastic metamaterial, with the wave attenuation capability improved by more than 56%. The research findings may have applications in engineering fields such as ultra-low-frequency vibration reduction.

1. Introduction

In the last decade, acoustic black holes (ABHs) have become a research hotspot in the field of vibration and noise reduction due to their excellent modulation effect on elastic waves. ABHs realize the asymptotic change of structural impedance by power-law tailoring the structure, and then realize the energy aggregation and manipulation of waves [1]. Research scholars have studied ABHs from various perspectives, such as vibration control, acoustic radiation reduction, and energy harvesting [2,3].
The most important feature of ABHs is the modulation of flexural waves [4]. The ABH changes the phase and group velocities of flexural waves in the structure through the change in structural impedance, which realizes the aggregation of waves in the local region of the structure. Conventional ABH units can dissipate vibrations very effectively at high frequencies [5], but limited by modern manufacturing process levels and structural features of ABHs, the ABH truncation thickness and ABH cutoff frequency prevent ABH units from producing effective attenuation of low-frequency vibrations [6]. To improve the damping and noise reduction capability of ABH structures in the low frequency range, Tang and Cheng [7] first proposed the ABH elastic metamaterial structure by arranging the double-leaf-type ABH structure on a beam in a periodic pattern, thus generating multiple bandgaps (BGs) in the frequency range of 0–30 kHz. Subsequently, Tang and Cheng [8] proposed an embedded double-leaf ABH metamaterial plate to achieve the directional attenuation of flexural waves in the low frequency range in a plate-type structure. Gao et al. [9,10,11,12] presented a two-lobe ABH beam structure with a spatial V-bend, a one-dimensional (1D) two-lobe ABH beam with nested damping units, and a 1D two-lobe ABH beam with a periodic array of large and small units, all of which have some vibration attenuation at low frequencies. Zhu et al. [13] investigated two-dimensional (2D) periodic ABHs and found that the 2D periodic arrangement of the square lattice thin plates embedded in ABHs have dispersion properties such as bi-refraction and zero-group velocity in the fundamental mode. Conlon et al. [14] applied embedded ABH features to panel structures and found that 2D ABH arrays can reduce the vibration and acoustic radiation from beams and plates. Although the above work obtained a low-frequency BG, the width of the BG needs to be further widened. This is because the ABH structure is limited by its cutoff frequency, and it is difficult to extend its structural BG to the low frequency range. Although there are BGs that extend into the low frequency range, the BG width is narrow, and practical application scenarios are limited by the narrow bandwidth. Therefore, widening the width of the low-frequency BG of ABH structures is of great importance for the study of ABHs.
Radial elastic metamaterials are ring-like structures with omnidirectional BG properties, and the structures are periodically arranged in the radial direction [15,16,17]. An et al. [18] studied a 2D column-shell circular plate-type structure and obtained a two-component disk-like structure with a complete BG by adding scatterer material in the radial and circumferential directions to the substrate. Ma et al. [19] studied a two-layer radial phononic crystal plate with a low-broadband BG that could significantly modulate the omnidirectional BG by crystal slip in the radial direction and perpendicular to the plate thickness. The high efficiency, frequency selectivity, and omnidirectional wave shielding characteristics of radial elastic metamaterials for elastic wave attenuation provide superior wave shielding and modulation characteristics compared to conventional metamaterials [20], making them have great potential applications in the field of ultra-low-frequency vibration/shock reduction.
In this paper, we propose an ABH radial elastic metamaterial (AREM) structure, whose ABH structure is periodically arranged in the radial direction to obtain a very low-frequency ultra-wide BG. The paper is structured as follows: Section 2 presents the AREM model and ABH principle. Section 3 presents an in-depth analysis of the mechanism of the very low-frequency ultra-wide BG. Section 4 investigates the effect of structural parameters on the BG performance of the AREM structure. Section 5 investigates the transmission spectrum and the radial displacement field. Finally, a short conclusion is given.

2. Models and Methods

2.1. Models of Acoustic Black Hole Radial Elastic Metamaterials

Figure 1a shows the schematic diagram of the ABH structure used in the design of this paper: l denotes the length of the ABH, h denotes the height of the ABH, and the variation in the thickness of the ABH portion follows the power function h ( x ) = 0.42 x 2 + h 0   ( mm )   x ( 0 , l ) . The cell of the AREM proposed in this paper is shown in Figure 1b, with a (a > 2l) denoting the lattice constant, b (b = 2h) denoting the height of the lattice, and c (c = 2h0) denoting the thickness of the lattice center. Figure 1c shows the schematic of the four-cycle AREM 3D model. Figure 1d shows how radial elastic metamaterials are formed. The cell of the wedge-shaped radial elastic metamaterial structure (WREM) with thickness variation following a one-dimensional linear variation is shown in Figure 1e, and the rest of the parameters are kept consistent with the AREM. Figure 1f shows a schematic of the four-cycle WREM 3D model.

2.2. Principles of Acoustic Black Hole

The wave equation of flexural waves in a thin plate structure with a power function h ( x ) = ε x m   ( m 2 ) variation in thickness is [4]
2 ( D 2 w ) ( 1 v ) ( 2 D x 2 2 w x 2 2 2 D x y 2 w x y + 2 D y 2 2 w y 2 ) = ρ h 2 w t 2
where w is the transverse displacement of the structure, ρ is the density, and t is the time variable; D(x) = Eh3/12 (1 − v2) is the flexural stiffness, where E is the Young’s modulus, h is the thickness of the structure, and v is Poisson’s ratio. The amplitude of Z at any point during wave propagation can be expressed as [4]
U ( x ) = A ( x ) e i Φ ( x )
where Φ is the cumulative phase; A ( x ) is the amplitude of the wave at x.
Among them,
Φ = 0 x k ( x )   d x    
when the thickness of the structure changes according to the above, the cumulative phase Φ of the flexural wave tends to infinity, which means that the wave will not reach the boundary with the smallest thickness, nor can it reflect at the boundary with the smallest thickness, so the flexural wave will gather at the boundary with the smallest thickness. At this time, without considering the effect of the moment of inertia and shear force, the wave number k is used to describe the relationship between the wavelength and the physical quantity of the medium:
k = ( ρ h ω 2 / D ) 1 / 4
where ω is the angular frequency, and then the phase velocity of the flexural wave c = ω/k. This is represented as
c = ω h [ E 12 ρ ( 1 v 2 ) ] 1 / 4
It can be seen from Equation (5) that the phase velocity c of the flexural wave with frequency ω in the homogeneous thin plate is proportional to h. Therefore, for a two-dimensional acoustic black hole plate with a thickness change that satisfies h ( x ) = ε x m ,   m 2 , as the plate thickness decreases, the flexural wave velocity also gradually decreases, and energy accumulation effects occur at the boundary with the smallest thickness.

3. Analysis of Results and Mechanisms

3.1. Very Low-Frequency Wideband Characteristic Dispersion Relation Curve

In this section, the dispersion relation curves of the AREM and WREM (a = 5.00 mm, b = 3.40 mm, c = 0.04 mm, and l = 2.00 mm) were obtained by applying the finite element approach. The simulations in this paper were performed using COMSOL Multiphysics 5.6 software. The model material is silicone rubber and the material parameters are Young’s modulus E = 1.199 × 10 5   Pa , density ρ = 1300   kg / m 3 , and Poisson’s ratio v = 0.49998 [21]. The transverse wave velocity in silicone rubber is c t = 5.6   m · s 1 .
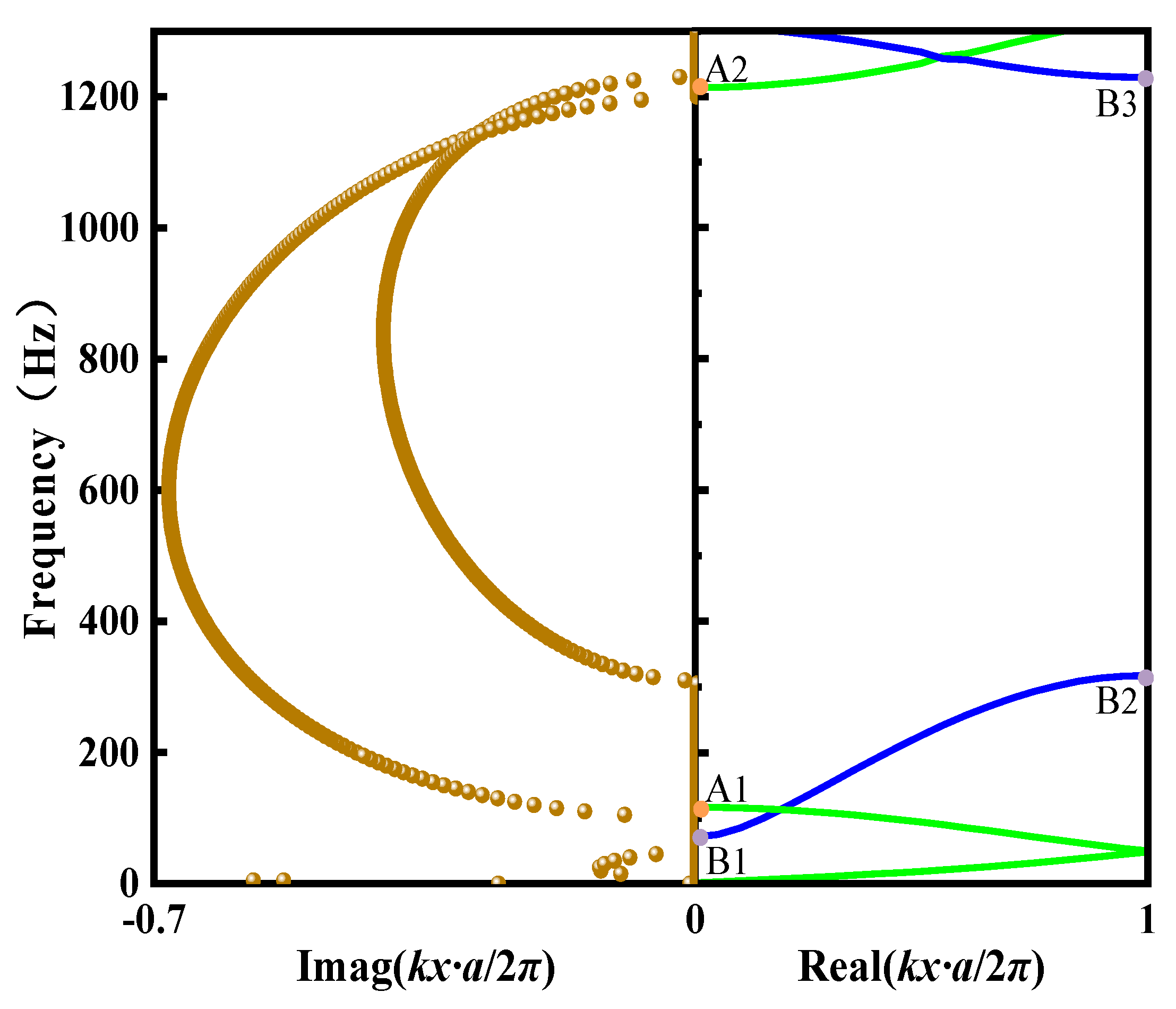
Figure 2 illustrates the dispersion relation curve of the AREM, with the imaginary part of the dispersion relation curve (used to describe the wave attenuation performance within the BG) on the left and the real part of the dispersion relation curve on the right. There are five dispersion curves of the AREM in the range below 1300 Hz, and one flexural BG and two longitudinal BGs are generated. The start and cutoff frequencies of the first flexural BG are 115.4 Hz and 1213.3 Hz, respectively, with a center frequency w g of 664.4 Hz and a normalized bandwidth of w / w g = 1.653 (where w is the bandwidth of the BG). The start and cutoff frequencies of the first longitudinal BG are 0 Hz and 70.0 Hz, respectively, and the center frequency is 35.0 Hz. The normalized bandwidth is w / w g = 2.0 . The start and cutoff frequencies of the second longitudinal BG are 316.6 Hz and 1228.9 Hz, respectively, and the center frequency is 772.8 Hz. The normalized bandwidth is w / w g = 1.181 .
For comparison, the dispersion relation curves for the imaginary and real parts of the WREM were calculated as shown in Figure 3. The WREM has six dispersion curves in the range below 1300 Hz, producing three flexural BGs and two longitudinal BGs. The start and cutoff frequencies of the first flexural BG are 42.7 Hz and 193.8 Hz, respectively, and the center frequency w g is 118.3 Hz, with the normalized bandwidth   w / w g = 1.277 . The start and cutoff frequencies of the second flexural BG are 398.6 Hz and 1129.7 Hz, respectively, and the center frequency w g is 750.6 Hz, with a normalized bandwidth of   w / w g = 0.957 . The start and cutoff frequencies of the third flexural BG are 1197.3 Hz and 1235.8 Hz, respectively, with a center frequency w g of 1216.6 Hz and a normalized bandwidth of   w / w g = 0.032 . The start and cutoff frequencies of the first longitudinal BG are 0 Hz and 71.6 Hz, respectively, and the center frequency w g is 35.8 Hz. The normalized bandwidth is w / w g = 2.0 . The start and cutoff frequencies of the second longitudinal BG are 447.4 Hz and 1101.7 Hz, respectively, and the center frequency w g is 774.6 Hz. The normalized bandwidth is w / w g = 0.845 .
By comparing Figure 2 and Figure 3, it is observed that the flexural BG of the AREM is one large forbidden band in the range of 0–1300 Hz, while the flexural BG of the WREM is three forbidden bands, and the total bandwidth of the flexural BG of the AREM is better than that of the WREM. The proposed AREM structure is isometrically scaled up by a factor of 46 in this paper and compared with the existing typical structures. With the same material and similar lattice constants, the AREM structure has an ultra-wide BG. As shown in Table 1, the forbidden band share of the AREM is also better than the other two structures in the range below 5000 Hz. It is noteworthy that the forbidden band of the second flexural BG ranges from 1116 Hz to 12,576 Hz, with a bandwidth of 11,460 Hz, which is of great practical significance for the expansion of engineering applications in the field of low-frequency vibration damping of metamaterials and other fields. And the transmission of the AREM is also smaller in the same finite period for the four structures, indicating that the AREM can realize an excellent vibration suppression effect in fewer periods.

3.2. Analysis of Very Low-Frequency Wideband Mechanisms

In this section, the eigenmode and displacement vector fields are calculated for the edge-specific points of the flexural BG and the longitudinal BG in the AREM dispersion relation curve of Figure 2, as shown in Figure 4. It is utilized to investigate the physical mechanism of the AREM ultra-low-frequency broadband characteristics.
As can be seen from Figure 4, at the point A1, the lower boundary of the first flexural BG, the vibration mode exhibits antisymmetric flexural vibration influenced by rotational motion, which is caused by complicated multiple elastic scattering of traveling waves between periodic structures, which is a typical Bragg scattering (BS) phenomenon [22]. At both ends of the whole structure, the antisymmetric flexural vibration modes are opposite, the vibration displacement of the part further away from the rotation center is larger, and the vibration modes exhibit a local resonance (LR) mode. At the point A2 on the first flexural BG upper boundary, the vibration mode is shown as a two-sided symmetric flexural vibration influenced by rotational motion, with the center of the structure moving upward parallel to the Z direction, and the vibration displacement of the center of the structure is the largest, showing an LR mode. It is noteworthy that the structural LR modes appear in both points A1 and A2. Further, by means of Figure 2 and characteristics of a BS-type phonon crystal, it can be viewed that the elastic wave wavelength λ = c t / f = 0.0089   m = 8.90   mm corresponding to the center frequency of the first flexural BG is in an order of magnitude with the lattice constant a. In addition, by observing the dispersion relation curve of the imaginary part of the AREM in Figure 2, it can be seen that the imaginary part corresponding to the first flexural BG shows a semicircular shape, which indicates that the wave attenuation performance within the BG varies with the smoothness of the frequency, and because the width of the BG is larger compared to that of the single LR mechanism or the BS mechanism. This is a characteristic of the wave attenuation performance of the coupled BG of the LR and BS mechanisms [23]. Therefore, the production of the first flexural BG is associated with both the LR mechanism and the BS mechanism. In addition, in the vibration mode at point A1, the deformation at the center of the ABH contour is near zero, which means the attenuation of the low-frequency flexural wave is the coupling between the vibration modes rather than caused by the ABH effect, and its effect should be more reflected at the middle and high frequencies [9,24,25,26]. In the vibration mode at point A2, the deformation at the center of the ABH contour is dominant. This means that the attenuation of the flexural wave at point A2 is caused by the ABH effect of the ABH contour. At the point B1 on the first longitudinal BG upper boundary, the AREM single cell as a whole vibrates in the radial direction, the vibration displacement on the right side of the structure is larger, and the structure exhibits an LR mode. The combined force formed by this mode in the radial direction couples with the long-wave traveling waves propagating in the structure, resulting in the generation of this local resonant BG. At the same time, the imaginary part of the first longitudinal BG in Figure 2 also shows an obvious asymmetry, which is the result of the interference of the Fano-like phenomenon characteristic of the LR BG, one of the typical features of the LR BG [27,28]. All the above findings indicate that the first longitudinal BG in the AREM is related to the LR mechanism. At the point B2 of the lower boundary of the second longitudinal BG, the AREM single cell shows a symmetric longitudinal vibration mode in the radial direction where both sides of the ABH center are stretched outward. And at the point B3 of the lower boundary of the second longitudinal BG, the AREM structure as a whole is a longitudinal vibration mode with one side being stretched and the other side being compressed, and the structure shows an LR mode. In addition, the longitudinal wavelength λ = c l / f = 0.012   m corresponding to the center frequency of the second longitudinal BG is similar to the lattice constant a. In addition, by viewing the dispersion relation curve of the imaginary part of the AREM in Figure 2, it can be seen that the imaginary part corresponding to the second longitudinal BG shows a semicircular shape, indicating that the wave attenuation performance within the BG varies with the smoothness of the frequency. This phenomenon indicates that the generation of the second longitudinal direction is also related to both the LR mechanism and the BS mechanism.
To further investigate the important role of the ABH effect in the AREM structure, the points with similar BG characteristics in the BGs of the AREM and WREM were compared and analyzed. The eigenmodes and displacement vector fields of the special points at the upper and lower edges of the second flexural BG of the WREM structure in Figure 3 are shown in Figure 5. As can be seen in Figure 4 and Figure 5, the modes at points A1 and C1 both exhibit antisymmetric flexural vibration affected by rotational motion, and at the two ends of the whole structure, the antisymmetric flexural vibration modes are opposite, the vibration displacement of the part further away from the rotation center is larger, and the vibration modes exhibit LR modes. The difference is that the AREM has less stiffness compared to the WREM, and the mode at point A1 has a higher degree of energy localization. Therefore, the frequency of the mode at point A1 is lower than that at point C1, the vibration mode at point A2 shows the up-and-down motion of the center of the structure, and the displacement amplitude of the rotational motion on both sides is much smaller than that of the center of the structure. The vibration mode at point C2 is the up-and-down motion of the center of the structure and the rotational motion of both sides of the structure. The displacement amplitude of the rotational motion on both sides is not negligible with respect to the displacement amplitude of the center of the structure. By observing the vibration modes at points A2 and C2, it can be found that the energy is localized at the position of less stiffness in the structure. The difference is that the energy localization at point A2 is much higher than that at point C2. This is due to the fact that the smaller stiffness of the AREM structure and the ABH effect in the ABH structure are coupled with each other, which greatly improves the resonance characteristics of the AREM. It makes more energy localized at the center of the AREM.
Figure 6 shows the vibrational attenuation of each interface in the eight-cycle AREM and WREM structures when excited by constant flexural and longitudinal waves, respectively, at the right end of the finite period. Comparing Figure 6b,d, it can be observed that the AREM finite-period structure can form more obvious attenuation domains at each interface in the corresponding interface frequencies under the flexural excitation. In contrast, the WREM finite-period structure can only form a more obvious attenuation domain after three to four cells in the BG range. The combined effect of the ABH effect and BG mechanism is the main reason for this phenomenon. After the flexural wave enters the AREM structure, it is not only suppressed due to the existence of the BG, but also because of the aggregation of the flexural wave by the ABH, it is gathered in the center of the AREM, so that it cannot continue to propagate forward. By observing Figure 6c,e, it can be found that the longitudinal attenuation of the finite-stage structure of the AREM and WREM is in the same surface, and the difference between the attenuation values of the two is not large. This shows that the ABH effect has little effect on the longitudinal attenuation.

4. Parameter Analysis

4.1. Effect of Truncation Thickness on AREM Bandgap Characteristics

The ABH tip truncation thickness, h0, is an important structural parameter of ABHs. This section analyzes the influence of the truncation thickness at the BG characteristics between the energy bands of the AREM, while keeping the material parameters and lattice constants constant, as illustrated in Figure 7. Figure 7a displays the change in the BG characteristics of the flexural BG of the AREM as the truncation thickness h0 increases. When the truncation thickness h0 = 0.02 mm, the bandwidth of the first flexure BG is very narrow. With the increase in the truncation thickness h0, the central frequency of the first flexural BG progressively moves to a high frequency, and the bandwidth first decreases and then increases. For the second flexural BG, as the cutoff thickness h0 grows, the bandwidth of the second flexural BG gradually reduces as its lower starting frequency shifts to higher frequencies and its cutoff frequency shifts to lower frequencies. Figure 7b illustrates the influence of the variation in the truncation thickness h0 on the BG characteristics of the longitudinal BG of the AREM. The broadband and central frequency of the first longitudinal BG do not shift significantly with the increase in the truncation thickness h0. For the second longitudinal BG, the broadband of the second longitudinal BG gradually decreases and the central frequency shifts to high frequencies as the cutoff thickness h0 increases. The evolution of the flexural and longitudinal BG characteristics with the cutoff thickness h0 can be determined by the above analysis. From the application point of view, the truncation thickness h0 discussed so far is still small. Therefore, the dispersion relation curves of the AREM structure with the truncation thickness h0 = 0.25 mm (c = 0.5 mm) are calculated. Its flexural BG is under 1100 Hz, the forbidden bandwidth of the flexural BG is 733 Hz, and the percentage of the flexural forbidden band is 66.6%. The forbidden bandwidth of the longitudinal BG is 536.2 Hz, and the proportion of the longitudinal forbidden band is 48.8%. It still has good BG characteristics.
To better interpret the physical mechanisms presented by AREM BG characteristics, the dispersion relation curves were calculated for h0 = 0.01, 0.03, and 0.05, respectively, as presented in Figure 8. It can be noticed from Figure 8 that the flatness of the second and third flexural energy bands in the dispersion curve gradually reduces with the growth of the truncation thickness, indicating that the degree of structural localization is weakened. This is due to the increase in the truncation thickness, which makes the stiffness of the structure increase and at the same time weakens the ABH effect in the AREM. Therefore, the change in the second flexural BG properties is clearly associated with the change in the degree of structural localization. Also, it is increased by the truncated thickness, which makes the AREM stiffness and mass larger, and the stiffness dominates the energy band effect. Therefore, as the truncation thickness increases, the upper cutoff frequency of the first BG and the lower cutoff frequency of the second flexural BG gradually move to higher frequencies. As for the longitudinal BG, we can find that the change in the cutoff thickness has basically no effect on the first longitudinal BG. Due to the increase in truncation thickness, the ABH effect of the structure is weakened, making the LR effect in the BG weaker and causing the energy band flatness to decrease. At the same time, it also makes the structural stiffness increase, prompting the BG to move to high frequencies. Therefore, the second longitudinal BG also shifts to high frequencies and the bandwidth gradually decreases with the increase in the cutoff thickness. In summary, the smaller the truncation thickness h0 is, the stronger the ABH effect of the structure and the better the BG characteristics of the AREM.

4.2. Effect of Power Exponent on Bandgap Characteristics

In this section, we investigate the influence of the power exponent m on the BG characteristics of the AREM. The effect of the power exponent m on the BG characteristics between the energy bands of the AREM is analyzed while keeping the material parameters and structural parameters constant, as indicated in Figure 9. Figure 9a illustrates the variation in the flexural BG characteristics of the AREM as the power exponent m increases. As the power exponent m increases, the starting frequency of the first BG decreases quickly, the cutoff frequency remains unchanged, and the first flexural BG shows a trend of gradually increasing bandwidth and shifting the center frequency to lower frequencies. For the second flexural BG, as the power exponent m increases, the starting frequency slowly decreases and the cutoff frequency rapidly shifts to lower frequencies. Therefore, the second flexural BG shows a trend of decreasing bandwidth and shifting to lower frequencies. With increasing power exponent m, the broadband of the otherwise narrow third flexural BG gradually grows and gradually shifts to lower frequencies. Figure 9b illustrates the variation in the longitudinal BG characteristics of the AREM with increasing power exponent m. Neither the bandwidth nor the central frequency of the first longitudinal BG changes significantly as the power exponent m increases. The second longitudinal BG bandwidth gradually increases as the power exponent m grows, its starting frequency shifts to the low frequency, and the cutoff frequency moves to the high frequency.
To better explain the physical mechanism presented by the AREM BG characteristics, the dispersion relation curves were calculated for m = 2.0, 2.4, and 2.8 respectively, as shown in Figure 10. From Figure 10, it can be noticed that the flatness of the first, second, third, and fourth flexural energy bands increases significantly with the increase in the power exponent m, indicating the enhancement of the structure localization and better LR characteristics. This is due to the increase in m, which enhances the ABH effect in the structure to some extent. Also, it can be found that a new flexural BG is generated below 100 Hz as the power exponent m grows. This is because the increase in the power exponent m decreases the stiffness of the AREM. Thus, we can observe from Figure 10 that the third flexural energy band moves rapidly to lower frequencies as the power exponent m increases, while the second flexural energy band moves very slowly to lower frequencies. This indicates that the second flexural energy band is largely unaffected by the change in stiffness. In contrast, the stiffness is a major factor influencing the change in the third flexural band. Specifically, for the fourth flexural energy band, when the power exponent m is less than 2.4, the fourth flexural energy band is only able to increase the energy band flatness with the increase in power exponent m. The fourth flexural energy band is not only able to increase the energy band flatness with the increase in power exponent m, but also the energy band gradually moves to the lower frequency. When the power exponent m is greater than 2.4, the fourth flexural energy band not only increases the energy band flatness with the increase in the power exponent m, but also the energy band gradually moves to the lower frequency. Therefore, when the power exponent m is less than 2.4, the LR effect is the dominant factor for the energy band change. When the power exponent m is greater than 2.4, this indicates that the change in stiffness and the LR effect jointly affect the change in energy bands. As for the longitudinal BG, it can be viewed from Figure 10. With the growth in the power exponent m, the flatness of the energy bands of the first and second longitudinal BGs also gradually increases, while the energy bands do not move to the lower frequencies. This means that the change in stiffness has no effect on the first and second longitudinal BGs. The LR effect is the dominant factor in the longitudinal BG change. For this reason, the positions of the first and second longitudinal BGs do not change significantly with increasing power exponent m. Therefore, the increase in the power exponent m can effectively improve the BG characteristics of the AREM, but it does not mean that a larger power exponent m is better. On the contrary, when the power exponent m is too large, the smoothing criterion of ABHs will no longer be satisfied and wave scattering may be generated, impairing the ABH effect. Therefore, the LR effect may also be weakened, and the LR BG may also be weakened [6,29].

5. Transmission Spectrum and Radial Displacement Field Study Analysis

In vibration theory, transmittance and level drop are used to reflect the structural vibration transmission characteristics. For finite-period radial metamaterial structures, the transmission spectrum is usually used to characterize their transmission properties. As shown in Figure 11, the transmission spectrum is calculated by loading the acceleration excitation on the excitation side of this finite-period structure when the free surface in the Z-direction maintains a stress-free boundary condition, and the acceleration response after passing through the finite period is recorded on the response side. The transmission spectrum is generally defined by Equation (6):
T = 20 log ( a 2 / a 1 )
where a2 and a1 are the transmitted and incident accelerations, respectively.

5.1. Analysis of Transmission Spectrum Results

In order to verify the correctness of the calculated dispersion relation curves, the flexural wave and longitudinal transmission spectra of the 1/2/3/8-period finite-cycle AREM and WREM were calculated for the r-direction excitation state, respectively, as shown in Figure 12 and Figure 13.
Figure 12 and Figure 13a–d show the flexural wave dispersion relation curve, flexural wave transmission spectrum, longitudinal wave dispersion relation curve, and longitudinal wave transmission spectrum from the AREM structure and WREM structure, respectively. The green shaded part indicates the flexural wave attenuation region, and the blue shaded part indicates the longitudinal wave attenuation region. It can be observed that the position of the forbidden band in the dispersion curve corresponds to the attenuation region of the wave in the transmission spectrum. It can be observed from Figure 12 and Figure 13 that the flexural wave attenuation of the eight-period AREM structure can reach a maximum of −280 dB, and the longitudinal wave attenuation can reach a maximum of −180 dB. The flexural wave attenuation of the eight-period WREM structure can reach a maximum of −130 dB, and the longitudinal wave attenuation can reach a maximum of −110 dB. It is worth noting that the attenuation of the second longitudinal BG under the one-cycle AREM shows Fano-like interference. With the gradual increase in the number of cycles, the BS mechanism in the BG is gradually presented, the attenuation band of the second longitudinal BG gradually shows a centrosymmetric tendency, and the attenuation performance varies smoothly with frequency, with the maximum attenuation appearing near the center frequency of the BG. Therefore, the flexural BG in the AREM has a stronger attenuation effect on the transmission of vibration energy. Compared with the WREM, the wave attenuation capacity is increased by more than 110%. For the longitudinal BG, the total bandwidth of the AREM is increased by 34% compared to the WREM. The longitudinal BG in the AREM also has stronger attenuation of vibration energy transmission, and its wave attenuation capacity is improved by more than 56% compared to the WREM. And in the range of the longitudinal BG and flexural BG, the AREM only needs four to five cycles of finite-period structure to achieve the attenuation equivalent to the WREM eight cycles of finite structure. In summary, the AREM not only has wider bandwidth in both the flexural BG and longitudinal BG compared to the WREM, but also exhibits stronger wave attenuation characteristics than the WREM.

5.2. Radial Vibration Displacement Field Analysis of the Flexural Wave

To further explore the mechanism of flexural wave very low-frequency broadband generation in AREM structures, the vibrational displacement fields along the radial direction at 780 Hz in the transmission spectrum were calculated for eight cycles of the AREM and WREM, as shown in Figure 14a,b, respectively.
As can be observed in Figure 14a, in the structure of the AREM, when the incident wave enters the structure from the right end of the first AREM cell, the wave undergoes an energy convergence phenomenon as it passes through the ABH region, and only a very small portion of the wave continues to propagate forward, while the vast majority of the wave is compressed in the central region of the AREM, which is consistent with the energy convergence effect of an ABH [5]. The vibration displacement of the center of the first AREM is the largest at this time, which is four times the given displacement. The displacement of the center of the second AREM structure is only less than 0.1 m. And as can be observed from Figure 14b, in the structure of the WREM, after the incident wave enters the structure from the right end of the first WREM cell, more waves continue to propagate forward, so it can be seen that the left half of the first WREM cell has quite a lot of energy. And the displacement size of the center of the second WREM structure is nearly 0.3 m, which is three times the displacement size of the center of the second AREM structure. The vibration displacement of the first WREM center is only less than two times the given displacement. It is also because of the significant convergence effect of ABHs on the flexural waves that the AREM needs only two cycles to attenuate the incident waves to a small size. On the other hand, the WREM requires three to four cycles to achieve the same effect. In summary, in the attenuation of flexural waves, the AREM has a more obvious advantage. The excellent attenuation performance of the AREM on the flexural wave is derived from the ABH effect of the AREM.

6. Conclusions

In this paper, based on the finite element method of Bloch’s theorem, we theoretically investigate the dispersion relation and transmission spectrum of the AREM. The AREM is formed by a radially periodic arrangement of ABH singlet cells of I-beam-like shape. The numerical results show that the AREM can open both the ultra-wide flexural BG and the longitudinal BG in the very low-frequency range, the wave attenuation ability of the flexural BG is improved by more than 110%, and that of the longitudinal BG is improved by more than 56% compared with the conventional elastomeric metamaterial. The role of ABHs in AREMs is explored by calculating the eigenmodes at particular points in the dispersion relation. The results show that with the introduction of the ABH structure, the LR effect can be triggered and coupled with the BS mechanism to produce a very low-frequency ultra-wide BG. Then, the enhancement of the wave attenuation effect in the BG is related to the energy aggregation function of the ABH structure. Inspired from the results of the eigenmode study, we also investigate the effect of structural parameters of the AREM on the BG properties. The results show that the BG can be modulated over a considerable frequency range by varying the structural parameters of the ABH. Furthermore, we explain well the variation relationship between the BG and the structural parameters of the ABH. This study extends the study of ABH structures to the field of radial elastic metamaterials. With this study, we can obtain a broad-frequency BG with strong attenuation at ultra-low frequencies and can modulate the BG over a range of frequencies, which is very valuable for engineering applications of ultra-low-frequency damping in radial metamaterials.

Author Contributions

Conceptualization, methodology, software, validation, writing—original draft preparation, L.L. and H.H.; formal analysis, writing—review and editing, supervision, funding acquisition, L.L. and X.W. All authors have read and agreed to the published version of the manuscript.

Funding

This research was funded by the Natural Science Foundation of China under Grant No. 51405368, the Natural Science Foundation of China Shaanxi Province under Grant No. 15JK1405, and the Natural Science Foundation of China Shaanxi Province under Grant No. 2017JM5024.

Institutional Review Board Statement

Not applicable.

Informed Consent Statement

Not applicable.

Data Availability Statement

The datasets analyzed in this study are available upon request from the corresponding author.

Conflicts of Interest

The authors declare no conflict of interest.

References

  1. Mironov, M.A. Propagation of a flexural wave in a plate whose thickness decreases smoothly to zero in a finite interval. Sov. Phys. Acoust. 1988, 34, 318–319. [Google Scholar]
  2. Krylov, V.V. Conditions for validity of the geometrical-acoustics approximation in application to waves in an acute-angle solid wedge. Sov. Phys. Acoust. 1989, 35, 176–180. [Google Scholar] [CrossRef]
  3. Pelat, A.; Gautier, F.; Conlon, S.C.; Semperlotti, F. The acoustic black hole: A review of theory and applications. J. Sound. Vib. 2020, 476, 115316. [Google Scholar] [CrossRef]
  4. Krylov, V.V. New type of vibration dampers utilising the effect of acoustic ‘black holes’. Acta Acust. United Acust. 2004, 90, 830–837. [Google Scholar]
  5. Krylov, V.V.; Tilman, F. Acoustic ‘black holes’ for flexural waves as effective vibration dampers. J. Sound. Vib. 2004, 274, 605–619. [Google Scholar] [CrossRef]
  6. Tang, L.; Cheng, L. Broadband locally resonant band gaps in periodic beam structures with embedded acoustic black holes. J. Appl. Phys. 2017, 121, 605. [Google Scholar] [CrossRef]
  7. Tang, L.; Cheng, L. Ultrawide band gaps in beams with double-leaf acoustic black hole indentations. J. Acoust. Soc. Am. 2017, 142, 2802–2807. [Google Scholar] [CrossRef]
  8. Tang, L.; Cheng, L. Periodic plates with tunneled Acoustic-Black-Holes for directional band gap generation. Mech. Syst. Signal Process. 2019, 133, 106257. [Google Scholar] [CrossRef]
  9. Gao, N.; Wang, B.; Lu, K.; Hou, H. Complex band structure and evanescent Bloch wave propagation of periodic nested acoustic black hole phononic structure. Appl. Acoust. 2021, 177, 107906. [Google Scholar] [CrossRef]
  10. Gao, N.; Wei, Z.; Hou, H.; Krushynska, A.O. Design and experimental investigation of V-folded beams with acoustic black hole indentations. J. Acoust. Soc. Am. 2019, 145, EL79–EL83. [Google Scholar] [CrossRef]
  11. Gao, N.; Wei, Z.; Zhang, R.; Hou, H. Low-frequency elastic wave attenuation in a composite acoustic black hole beam. Appl. Acoust. 2019, 154, 68–76. [Google Scholar] [CrossRef]
  12. Gao, N.S.; Guo, X.Y.; Cheng, B.Z.; Zhang, Y.N.; Wei, Z.Y.; Hou, H. Elastic wave modulation in hollow metamaterial beam with acoustic black hole. IEEE Access 2019, 7, 124141–124146. [Google Scholar] [CrossRef]
  13. Zhu, H.; Semperlotti, F. Phononic Thin Plates with Embedded Acoustic Black Holes. Phys. Review. B Condens. Matter 2015, 91, 104304.1–104304.9. [Google Scholar] [CrossRef]
  14. Conlon, S.C.; Fahnline, J.B.; Semperlotti, F. Numerical analysis of the vibroacoustic properties of plates with embedded grids of acoustic black holes. J. Acoust. Soc. Am. 2015, 137, 447. [Google Scholar] [CrossRef] [PubMed]
  15. Torrent, D.; Sánchez-Dehesa, J. Radial wave crystals: Radially periodic structures from anisotropic metamaterials for engineering acoustic or electromagnetic waves. Phys. Rev. Lett. 2009, 103, 064301. [Google Scholar] [CrossRef] [PubMed]
  16. Torrent, D.; Sánchez-Dehesa, J. Acoustic resonances in two-dimensional radial sonic crystal shells. New J. Phys. 2010, 12, 073034. [Google Scholar] [CrossRef]
  17. Spiousas, I.; Torrent, D.; Sánchez-Dehesa, J. Experimental realization of broadband tunable resonators based on anisotropic metafluids. Appl. Phys. Lett. 2011, 98, 452. [Google Scholar] [CrossRef]
  18. An, S.; Shu, H.; Liang, S.; Shi, X.; Zhao, L. Band gap characteristics of radial wave in a two-dimensional cylindrical shell with radial and circumferential periodicities. Aip Adv. 2018, 8, 035110. [Google Scholar] [CrossRef]
  19. Ma, T.; Chen, T.; Wang, X.; Li, Y.; Wang, P. Band structures of bilayer radial phononic crystal plate with crystal gliding. J. Appl. Phys. 2014, 116, 104505. [Google Scholar] [CrossRef]
  20. Liu, H.; He, W.; Li, L.; Jia, Q. Theoretical and experimental investigations on the ultra-low-frequency broadband of quasi-static metamaterials. Appl. Sci. 2022, 12, 8981. [Google Scholar] [CrossRef]
  21. Still, T.; Oudich, M.; Auerhammer, G.K.; Vlassopoulos, D.; Djafari-Rouhani, B.; Fytas, G.; Sheng, P. Soft silicone rubber in phononic structures: Correct elastic moduli. Phys. Rev. B 2013, 88, 094102. [Google Scholar] [CrossRef]
  22. Ho, K.M.; Cheng, C.K.; Yang, Z.; Zhang, X.X.; Sheng, P. Broadband locally resonant sonic shields. Appl. Phys. Lett. 2003, 83, 5566–5568. [Google Scholar] [CrossRef]
  23. Feng, L.; Liu, X.-P.; Lu, M.-H.; Chen, Y.-F.; Mao, Y.-W.; Zi, J.; Zhu, Y.-Y.; Zhu, S.-N.; Ming, N.-B. Acoustic Backward-Wave Negative Refractions in the Second Band of a Sonic Crystal. Phys. Rev. Lett. 2006, 96, 014301. [Google Scholar] [CrossRef] [PubMed]
  24. Foucaud, S.; Michon, G.; Gourinat, Y.; Pelat, A.; Gautier, F. Artificial cochlea and acoustic black hole travelling waves observation: Model and experimental results. J. Sound. Vib. 2014, 333, 3428–3439. [Google Scholar] [CrossRef]
  25. Miranda, E.J.P.; Santos, J. Evanescent Bloch waves and complex band structure in magnetoelectroelastic phononic crystals. Mech. Syst. Signal Process. 2018, 112, 280–304. [Google Scholar] [CrossRef]
  26. Veres, I.A.; Berer, T.; Matsuda, O. Complex band structures of two dimensional phononic crystals: Analysis by the finite element method. J. Appl. Phys. 2013, 114, 083519. [Google Scholar] [CrossRef]
  27. Achaoui, Y.; Khelif, A.; Benchabane, S.; Robert, L.; Laude, V. Experimental observation of locally-resonant and Bragg band gaps for surface guided waves in a phononic crystal of pillars. Phys. Rev. B Condens. Matter 2011, 83, 5121–5124. [Google Scholar] [CrossRef]
  28. Ghaffarivardavagh, R.; Nikolajczyk, J.; Anderson, S.; Zhang, X. Ultra-open acoustic metamaterial silencer based on Fano-like interference. Phys. Rev. B 2019, 99, 024302.1–024302.10. [Google Scholar] [CrossRef]
  29. Feurtado, P.A.; Conlon, S.C.; Semperlotti, F. A normalized wave number variation parameter for acoustic black hole design. J. Acoust. Soc. Am. 2014, 136, EL148–EL152. [Google Scholar] [CrossRef]
Figure 1. Radial elastic metamaterial: (a) schematic of the structure of an acoustic black hole (ABH); (b) unit lattice of acoustic black hole radial elastic metamaterial (AREM); (c) schematic diagram of AREM three-dimensional (3D) model; (d) formation of radial elastic metamaterial; (e) unit lattice of the wedge-shaped radial metamaterial structure (WREM); (f) schematic diagram of the WREM 3D model.
Figure 1. Radial elastic metamaterial: (a) schematic of the structure of an acoustic black hole (ABH); (b) unit lattice of acoustic black hole radial elastic metamaterial (AREM); (c) schematic diagram of AREM three-dimensional (3D) model; (d) formation of radial elastic metamaterial; (e) unit lattice of the wedge-shaped radial metamaterial structure (WREM); (f) schematic diagram of the WREM 3D model.
Applsci 13 11542 g001
Figure 2. The dispersion relation curve of BG characteristics of AREM. The brown scatter represents the imaginary part of the reduced wave vector and the green and blue lines represent the real part of the reduced wave vector, where the green line indicates the flexural vibration mode, and the blue line represents the longitudinal vibration mode.
Figure 2. The dispersion relation curve of BG characteristics of AREM. The brown scatter represents the imaginary part of the reduced wave vector and the green and blue lines represent the real part of the reduced wave vector, where the green line indicates the flexural vibration mode, and the blue line represents the longitudinal vibration mode.
Applsci 13 11542 g002
Figure 3. The dispersion relation curve of BG characteristics of WREM. The brown scatter represents the imaginary part of the reduced wave vector and the green and blue lines represent the real part of the reduced wave vector, where the green line indicates the flexural vibration mode, and the blue line represents the longitudinal vibration mode.
Figure 3. The dispersion relation curve of BG characteristics of WREM. The brown scatter represents the imaginary part of the reduced wave vector and the green and blue lines represent the real part of the reduced wave vector, where the green line indicates the flexural vibration mode, and the blue line represents the longitudinal vibration mode.
Applsci 13 11542 g003
Figure 4. Eigenmode and displacement vector fields at special points A1 and A2 are the lower and upper boundary modes of the first flexural BG of the AREM structure; B1 is the upper boundary mode of the first longitudinal BG of the AREM structure; B2 and B3 are the lower and upper boundary modes of the second longitudinal BG of the AREM structure.
Figure 4. Eigenmode and displacement vector fields at special points A1 and A2 are the lower and upper boundary modes of the first flexural BG of the AREM structure; B1 is the upper boundary mode of the first longitudinal BG of the AREM structure; B2 and B3 are the lower and upper boundary modes of the second longitudinal BG of the AREM structure.
Applsci 13 11542 g004
Figure 5. Eigenmode and displacement vector fields at special points C1 and C2 are the lower and upper boundary modes of the second flexural BG of the WREM structure.
Figure 5. Eigenmode and displacement vector fields at special points C1 and C2 are the lower and upper boundary modes of the second flexural BG of the WREM structure.
Applsci 13 11542 g005
Figure 6. Frequency response analysis of interfaces in AREM and WREM structures consisting of 8 cells: (a) computational schematic of the corresponding analysis of the frequencies of the different interfaces; (b) flexural attenuation at the different interfaces of AREM; (c) longitudinal attenuation at the different interfaces of AREM; (d) flexural attenuation at the different interfaces of WREM; (e) longitudinal attenuation at the different interfaces of WREM.
Figure 6. Frequency response analysis of interfaces in AREM and WREM structures consisting of 8 cells: (a) computational schematic of the corresponding analysis of the frequencies of the different interfaces; (b) flexural attenuation at the different interfaces of AREM; (c) longitudinal attenuation at the different interfaces of AREM; (d) flexural attenuation at the different interfaces of WREM; (e) longitudinal attenuation at the different interfaces of WREM.
Applsci 13 11542 g006
Figure 7. Effect of the cutoff thickness h0 on the BG characteristics between AREM energy bands: (a) flexural BG; (b) longitudinal BG.
Figure 7. Effect of the cutoff thickness h0 on the BG characteristics between AREM energy bands: (a) flexural BG; (b) longitudinal BG.
Applsci 13 11542 g007
Figure 8. Dispersion relationship graph for AREM with different truncation thickness h0: (ac) represent the dispersion relation curves for truncated thicknesses h0 of 0.01, 0.03, and 0.05, respectively. The green lines indicate the curved dispersion relation curves, and the blue lines indicate the longitudinal dispersion relation curves.
Figure 8. Dispersion relationship graph for AREM with different truncation thickness h0: (ac) represent the dispersion relation curves for truncated thicknesses h0 of 0.01, 0.03, and 0.05, respectively. The green lines indicate the curved dispersion relation curves, and the blue lines indicate the longitudinal dispersion relation curves.
Applsci 13 11542 g008
Figure 9. Effect of power exponent m on the BG characteristics between the AREM energy bands: (a) flexural BG; (b) longitudinal BG.
Figure 9. Effect of power exponent m on the BG characteristics between the AREM energy bands: (a) flexural BG; (b) longitudinal BG.
Applsci 13 11542 g009
Figure 10. Dispersion relation graph of AREM with different power exponent m. The green lines indicate the curved dispersion relation curves, and the blue lines indicate the longitudinal dispersion relation curves.
Figure 10. Dispersion relation graph of AREM with different power exponent m. The green lines indicate the curved dispersion relation curves, and the blue lines indicate the longitudinal dispersion relation curves.
Applsci 13 11542 g010
Figure 11. Schematic diagram of transmission spectrum calculation for finite-period AREM structures.
Figure 11. Schematic diagram of transmission spectrum calculation for finite-period AREM structures.
Applsci 13 11542 g011
Figure 12. (a) Flexural wave dispersion relation curve of AREM; (b) flexural wave transmission spectrum of AREM; (c) longitudinal wave dispersion relation curve of AREM; (d) longitudinal wave transmission spectrum of AREM.
Figure 12. (a) Flexural wave dispersion relation curve of AREM; (b) flexural wave transmission spectrum of AREM; (c) longitudinal wave dispersion relation curve of AREM; (d) longitudinal wave transmission spectrum of AREM.
Applsci 13 11542 g012
Figure 13. (a) Flexural wave dispersion relation curve of WREM; (b) flexural wave transmission spectrum of WREM; (c) longitudinal wave dispersion relation curve of WREM; (d) longitudinal wave transmission spectrum of WREM.
Figure 13. (a) Flexural wave dispersion relation curve of WREM; (b) flexural wave transmission spectrum of WREM; (c) longitudinal wave dispersion relation curve of WREM; (d) longitudinal wave transmission spectrum of WREM.
Applsci 13 11542 g013
Figure 14. Radial vibration displacement field study of flexural wave: (a) radial vibration displacement field of AREM at 800 Hz; (b) radial vibration displacement field of WREM at 800 Hz.
Figure 14. Radial vibration displacement field study of flexural wave: (a) radial vibration displacement field of AREM at 800 Hz; (b) radial vibration displacement field of WREM at 800 Hz.
Applsci 13 11542 g014
Table 1. BG comparison of similar structures.
Table 1. BG comparison of similar structures.
ReferenceLattice Constant (mm)MaterialsBandgap Range
(Hz)
Percentage of Bandgap Below 5000 HZMinimum Transmission
(dB)
[11]120steel366–92269.1%−40
1497–4135
4291–4551
6326–7012
9239–10,000
[10]230249–96764.2%−50
1751–3220
3304–3761
3992–4558
[9]220176–21873.7%−70
304–937
1171–2658
2770–3866
3886–4314
This work230452–54379.5%−140
1116–12,576
Disclaimer/Publisher’s Note: The statements, opinions and data contained in all publications are solely those of the individual author(s) and contributor(s) and not of MDPI and/or the editor(s). MDPI and/or the editor(s) disclaim responsibility for any injury to people or property resulting from any ideas, methods, instructions or products referred to in the content.

Share and Cite

MDPI and ACS Style

Li, L.; Hu, H.; Wu, X. Ultra-Low-Frequency Acoustic Black Hole Radial Elastic Metamaterials. Appl. Sci. 2023, 13, 11542. https://doi.org/10.3390/app132011542

AMA Style

Li L, Hu H, Wu X. Ultra-Low-Frequency Acoustic Black Hole Radial Elastic Metamaterials. Applied Sciences. 2023; 13(20):11542. https://doi.org/10.3390/app132011542

Chicago/Turabian Style

Li, Lixia, Haiteng Hu, and Xiaolan Wu. 2023. "Ultra-Low-Frequency Acoustic Black Hole Radial Elastic Metamaterials" Applied Sciences 13, no. 20: 11542. https://doi.org/10.3390/app132011542

APA Style

Li, L., Hu, H., & Wu, X. (2023). Ultra-Low-Frequency Acoustic Black Hole Radial Elastic Metamaterials. Applied Sciences, 13(20), 11542. https://doi.org/10.3390/app132011542

Note that from the first issue of 2016, this journal uses article numbers instead of page numbers. See further details here.

Article Metrics

Back to TopTop