Towards Improved Quality Control of In Situ Sea Surface Temperatures from Drifting and Moored Buoys in the NOAA iQuam System
Abstract
:1. Introduction
2. Data
2.1. In Situ Data
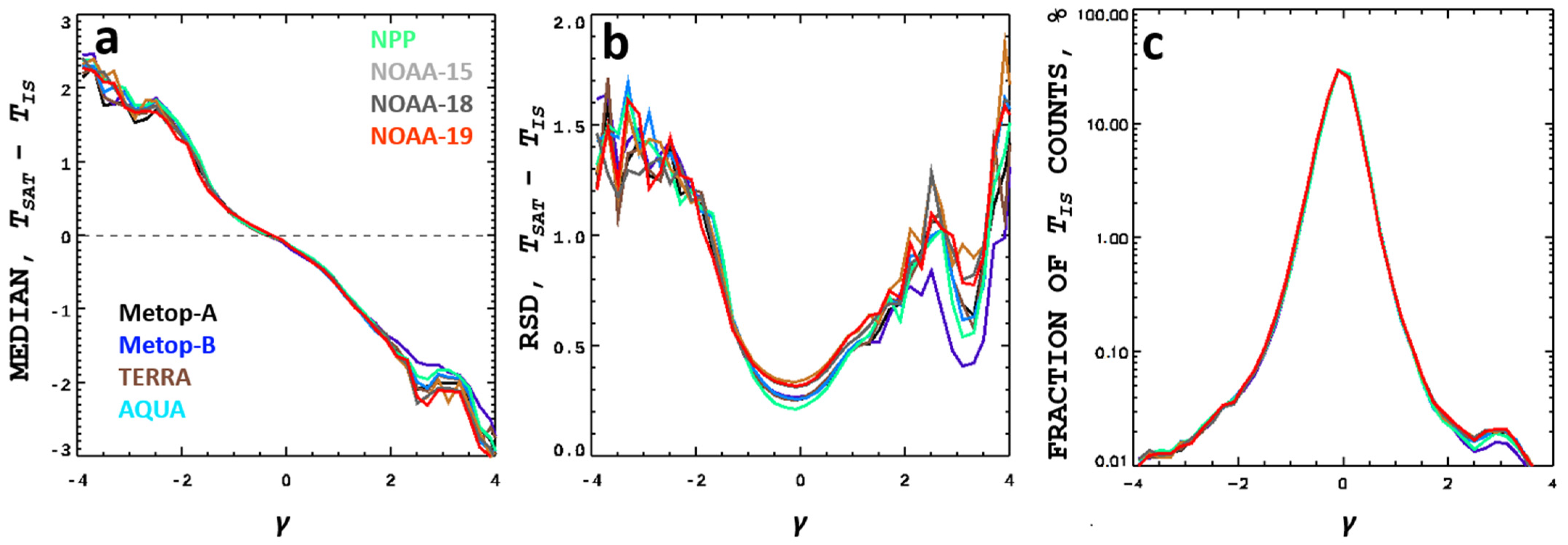
2.2. Matchups with Satellite SSTs
2.3. L4 Analyses
3. The Diurnal Reference Check (DRC)
3.1. Methodology
- -
- Maximum SST in the daytime subsegment, TMAX.
- -
- Minimum SST in the nighttime subsegment, TMIN.
- -
- Median SST in the nighttime subsegment, TNIGHT.
- -
- Amplitude of the DS (ADS), D = TMAX − TMIN if TMAX > TMIN; otherwise, D = 0.
3.2. Setting Maximum Amplitude of the Diurnal Signal
3.3. Quality of the L4 SST in the Presence of Diurnal SST Variations
3.4. Checking Daily Segments for Systematic Errors
3.5. Formulation of the DRC
4. Results
4.1. Examples of Filtering Data of Individual Buoys
4.2. The Impact of the QC on Temporal and Spatial Variability of In Situ SST
4.3. Time Series of Statistics of TIS vs. TSAT and Satellite-Based Retrospective QC
5. Conclusions
Author Contributions
Funding
Institutional Review Board Statement
Informed Consent Statement
Data Availability Statement
Acknowledgments
Conflicts of Interest
Abbreviations
| Acronym | Definition |
| 3S | Sensor Stability for SST system |
| AATSR | Advanced Along-Track Scanning Radiometer |
| ACSPO | Advanced Clear Sky Processor for Ocean |
| ADS | Amplitude of Diurnal Signal |
| AOML | Atlantic Oceanographic and Meteorological Laboratory |
| AVHRR | Advanced Very High Resolution Radiometer |
| BC | Buddy Check |
| CCI | Climate Change Initiative |
| CMC | Canadian Meteorological Center |
| CMEMS | Copernicus Marine Environment Monitoring Service |
| CRW | Coral Reef Watch |
| DMI | Danish Meteorological Institute |
| DTM | Drifters and Tropical Moored buoys |
| DRC | Diurnal Reference Check |
| DS | Diurnal Signal |
| ENVISAT | Environmental Satellite |
| FNMOC | Fleet Numerical Meteorology and Oceanography Center |
| FRAC | 1 km Full Resolution Area Coverage mode |
| GAC | 4 km Global Area Coverage mode |
| GAMSSA | Global Australian Multi-Sensor SST Analysis |
| GC | Plausibility/Geolocation Check |
| GDAC | Global Data Assembly Centers |
| GMPE | SST Global Multi-Product Ensemble |
| GPB | Geo Polar Blended SST |
| IC | Platform ID Check |
| ICOADS | International Comprehensive Ocean-Atmosphere Data Set |
| IMOS | Integrated Marine Observing System (Australia) |
| iQuam | In Situ SST Quality Monitor |
| IR | Infrared |
| LEO | Low-Earth Orbiting |
| LEXT | Local Equator Crossing Time |
| MDS | Data Set of Matchups |
| MODIS | Moderate Resolution Imaging Spectroradiometer |
| OISST | Optimal Interpolation SST |
| OSTIA | Operational Sea Surface Temperature and Sea Ice Analysis |
| OSTIA-RAN | OSTIA Reanalysis |
| PGE | Probability of Gross Error |
| RSD | Robust Standard Deviation |
| SD | Standard Deviation |
| SST | Sea Surface Temperature |
| QC | Quality Control |
| QC EXP | Experimental QC |
| QC SAT | Satellite-based QC |
| QL | Quality Level |
| RC | Reference Check |
| SC | SST Spike Check |
| SQUAM | SST Quality Monitor |
| TC | Platform Track Check |
| VIIRS | Visible Infrared Imaging Radiometer Suite |
References
- In Situ SST Quality Monitor. Available online: https://www.star.nesdis.noaa.gov/socd/sst/iquam/ (accessed on 22 August 2023).
- Xu, F.; Ignatov, A. In situ SST quality monitor (iQuam). J. Atmos. Ocean. Technol. 2014, 31, 164–180. [Google Scholar] [CrossRef]
- Xu, F.; Ignatov, A. Error characterization in iQuam SSTs using triple collocations with satellite measurements. Geophys. Res. Lett. 2016, 43, 10826–10834. [Google Scholar] [CrossRef]
- Brisson, A.; Le Borgne, P.; Marsouin, A. Results of one year of preoperational production of sea surface temperatures from GOES-8. J. Atmos. Ocean. Technol. 2002, 19, 1638–1652. [Google Scholar] [CrossRef]
- Atkinson, C.P.; Rayner, N.A.; Roberts-Jones, J.; Smith, R.O. Assessing the quality of sea surface temperature observations from drifting buoys and ships on a platform-by-platform basis. J. Geophys. Res. Oceans 2013, 118, 3507–3529. [Google Scholar] [CrossRef]
- Kilpatrick, K.A.; Podestá, G.P.; Evans, R. Overview of the NOAA/NASA Advanced Very High Resolution Radiometer Pathfinder algorithm for sea surface temperature and associated matchup database. J. Geophys. Res. 2001, 106, 9179–9197. [Google Scholar] [CrossRef]
- Castro, S.L.; Wick, G.A.; Emery, W.J. Evaluation of the relative performance of sea surface temperature measurements from different types of drifting and moored buoys using satellite-derived reference products. J. Geophys. Res. 2012, 117, C02029. [Google Scholar] [CrossRef]
- Marsouin, A.; Le Borgne, P.; Legendre, G.; Péré, S.; Roquet, H. Six years of OSI-SAF MetOp-A AVHRR sea surface temperature. Remote Sens. Environ. 2015, 159, 288–306. [Google Scholar] [CrossRef]
- Zhang, H.; Ignatov, A.; Hinshaw, D. Evaluation of the in situ Sea Surface Temperature Quality Control in the NOAA in situ SST Quality Monitor (iQuam) System. J. Atmos. Ocean. Technol. 2021, 38, 1249–1263. [Google Scholar] [CrossRef]
- Lorenc, A.C.; Hammon, O. Objective quality control of observations using Bayesian methods. Theory, and a practical implementation. Q. J. R. Meteorol. Soc. 1988, 114, 515–543. [Google Scholar] [CrossRef]
- Donlon, C.; Robinson, I.; Casey, K.S.; Vazquez-Cuervo, J.; Armstrong, E.; Arino, O.; Gentemann, C.; May, D.; LeBorgne, P.; Piollé, J.; et al. The Global Ocean Data Assimilation Experiment High-resolution Sea Surface Temperature Pilot Project. Bull. Am. Meteorol. Soc. 2007, 88, 1197–1214. [Google Scholar] [CrossRef]
- Gentemann, C.L.; Donlon, C.J.; Stuart-Menteth, A.; Wentz, F.J. Diurnal signals in satellite sea surface temperature measurements. Geophys. Res. Lett. 2003, 30, 1140. [Google Scholar] [CrossRef]
- Gentemann, C.L.; Minnett, P.J.; Le Borgne, P.; Merchant, C.J. Multi-satellite measurements of large diurnal warming events. Geophys. Res. Lett. 2008, 35, L22602. [Google Scholar] [CrossRef]
- Eastwood, S.; Le Borgne, P.; Péré, S.; Poulter, D. Diurnal variability in sea surface temperature in the Arctic. Remote Sens. Environ. 2011, 115, 2594–2602. [Google Scholar] [CrossRef]
- Kawai, Y.; Wada, A. Diurnal Sea Surface Temperature Variation and Its Impact on the Atmosphere and Ocean: A Review. J. Oceanogr. 2007, 63, 721–744. [Google Scholar] [CrossRef]
- Kennedy, J.J.; Brohan, P.; Tett, S.F.B. A global climatology of the diurnal variations in sea-surface temperature and implications for MSU temperature trends. Geophys. Res. Lett. 2007, 34, L05712. [Google Scholar] [CrossRef]
- Kawamura, H.; Qin, H.; Ando, K. In-situ diurnal sea surface temperature variations and near-surface thermal structure in the tropical hot event of the Indo-Pacific warm pool. J. Oceanogr. 2008, 64, 847–857. [Google Scholar] [CrossRef]
- Pryamitsyn, V.; Petrenko, B.; Ignatov, A.; Kihai, Y. Metop First Generation AVHRR FRAC SST Reanalysis Version 1. Remote Sens. 2021, 13, 4046. [Google Scholar] [CrossRef]
- Petrenko, B.; Pryamitsyn, V.; Ignatov, A.; Jonasson, O.; Kihai, Y. AVHRR GAC Sea Surface Temperature Reanalysis Version 2. Remote Sens. 2022, 14, 3165. [Google Scholar] [CrossRef]
- Jonasson, O.; Ignatov, A.; Pryamitsyn, V.; Petrenko, B.; Kihai, Y. JPSS VIIRS SST Reanalysis Version 3. Remote Sens. 2022, 14, 3476. [Google Scholar] [CrossRef]
- Sensor Stability for SST (3S). Available online: https://www.star.nesdis.noaa.gov/socd/sst/3s/ (accessed on 22 August 2023).
- Petrenko, B.; Ignatov, A.; Kihai, Y.; Dash, P. Sensor-Specific Error Statistics for SST in the Advanced Clear-Sky Processor for Oceans. J. Atmos. Ocean. Technol. 2016, 33, 345–359. [Google Scholar] [CrossRef]
- Reynolds, R.W.; Smith, T.M.; Liu, C.; Chelton, D.B.; Casey, K.S.; Schlax, M.G. Daily high-resolution-blended analyses for sea surface temperature. J. Clim. 2007, 20, 5473–5496. [Google Scholar] [CrossRef]
- NOAA Optimal Interpolation (OI) SST v.2. Available online: https://psl.noaa.gov/data/gridded/data.noaa.oisst.v2.highres.html (accessed on 22 August 2023).
- GHRSST Level 4 CMC0.2deg Global Foundation Sea Surface Temperature Analysis (GDS Version 2). Available online: https://podaac.jpl.nasa.gov/dataset/CMC0.2deg-CMC-L4-GLOB-v2.0 (accessed on 22 August 2023).
- GHRSST Level 4 CMC0.1deg Global Foundation Sea Surface Temperature Analysis (GDS Version 2). Available online: https://podaac.jpl.nasa.gov/dataset/CMC0.1deg-CMC-L4-GLOB-v3.0 (accessed on 22 August 2023).
- Good, S.; Fiedler, E.; Mao, C.; Martin, M.J.; Maycock, A.; Reid, R.; Roberts-Jones, J.; Searle, T.; Waters, J.; While, J.; et al. The Current Configuration of the OSTIA System for Operational Production of Foundation Sea Surface Temperature and Ice Concentration Analyses. Remote Sens. 2020, 12, 720. [Google Scholar] [CrossRef]
- Global Ocean OSTIA Sea Surface Temperature and Sea Ice Reprocessed. Available online: https://doi.org/10.48670/moi-00168 (accessed on 22 August 2023).
- Merchant, C.J.; Embury, O.; Bulgin, C.E.; Block, T.; Corlett, G.K.; Fiedler, E.; Good, S.A.; Mittaz, J.; Rayner, N.A.; Berry, D.; et al. Satellite-based time-series of sea-surface temperature since 1981 for climate applications. Sci. Data 2019, 6, 223. [Google Scholar] [CrossRef]
- ESA Sea Surface Temperature Climate Initiative Level 4 Analysis Climate Data Record, Versions 2. Available online: https://catalogue.ceda.ac.uk/uuid/aced40d7cb964f23a0fd3e85772f2d48 (accessed on 22 August 2023).
- Bitterman, D.S.; Hansen, D.V. Evaluation of sea surface temperature measurements from drifting buoys. J. Atmos. Ocean. Technol. 1993, 10, 88–96. [Google Scholar] [CrossRef]
- Kawai, Y.; Kawamura, H.; Tanba, S.; Ando, K.; Yoneyama, K.; Nagahama, N. Validity of Sea Surface Temperature Observed with the TRITON Buoy under Diurnal Heating Conditions. J. Oceanogr. 2006, 62, 825–838. [Google Scholar] [CrossRef]















| Satellite, Instrument | Covered Period (DD.MM.YYYY) | Orbit |
|---|---|---|
| NOAA-07 AVHRR/2 (GAC) | 09.01.1981–02.02.1985 | Variable, p.m. |
| NOAA-09 AVHRR/2 (GAC) | 01.31.1985–11.07.1988 | Variable, p.m. |
| NOAA-11 AVHRR/2 (GAC) | 11.08.1988–09.13.1994 | Variable, p.m. |
| NOAA-12 AVHRR/2 (GAC) | 09.16.1991–12.14.1998 | Variable, p.m. |
| NOAA-14 AVHRR/2 (GAC) | 01.19.1995–10.19.2001 | Variable, a.m. |
| NOAA-15 AVHRR/3 (GAC) | 11.01.1998–present | Variable, a.m./p.m. |
| NOAA-16 AVHRR/3 (GAC) | 10.26.2000–09.17.2007 | Variable, p.m. |
| NOAA-17 AVHRR/3 (GAC) | 07.10.2002–03.08.2010 | Variable, a.m. |
| NOAA-18 AVHRR/3 (GAC) | 06.06.2005–present | Variable, p.m./a.m. |
| NOAA-19 AVHRR/3 (GAC) | 02.22.2009–present | Variable, p.m./a.m. |
| Terra MODIS | 02.25.2000–present | Stable, 10:30 a.m. |
| Aqua MODIS | 07.04.2002–present | Stable, 1:30 p.m. |
| Metop-A AVHRR/3 (FRAC) | 12.01.2006–11.25.2021 | Stable, 9:30 a.m. |
| Metop-B AVHRR/3 (FRAC) | 10.19.2012–present | Stable, 9:30 a.m. |
| Metop-C AVHRR/3 (FRAC) | 12.04.2018–present | Stable, 9:30 a.m. |
| S-NPP VIIRS | 12.01.2012–present | Stable, 1:30 p.m. |
| NOAA-20 VIIRS | 01.05.2018–present | Stable, 1:30 p.m. |
| Satellite Instrument | Number of Matchups | Local Equator Crossing Time |
|---|---|---|
| Metop-A AVHRR FRAC | 2.47 × 106 | 9:30 a.m. |
| Metop-B AVHRR FRAC | 2.47 × 106 | 9:30 a.m. |
| Terra MODIS | 2.46 × 106 | 10:30 a.m. |
| Aqua MODIS | 2.46 × 106 | 1:30 p.m. |
| S-NPP VIIRS | 2.48 × 106 | 1:30 p.m. |
| NOAA-15 AVHRR GAC | 2.45 × 106 | 4:30–6:50 p.m. |
| NOAA-18 AVHRR GAC | 2.45 × 106 | 2:30–8:20 p.m. |
| NOAA-19 AVHRR GAC | 2.45 × 106 | 1:30–4:30 p.m. |
Disclaimer/Publisher’s Note: The statements, opinions and data contained in all publications are solely those of the individual author(s) and contributor(s) and not of MDPI and/or the editor(s). MDPI and/or the editor(s) disclaim responsibility for any injury to people or property resulting from any ideas, methods, instructions or products referred to in the content. |
© 2023 by the authors. Licensee MDPI, Basel, Switzerland. This article is an open access article distributed under the terms and conditions of the Creative Commons Attribution (CC BY) license (https://creativecommons.org/licenses/by/4.0/).
Share and Cite
Petrenko, B.; Ignatov, A.; Pryamitsyn, V.; Jonasson, O. Towards Improved Quality Control of In Situ Sea Surface Temperatures from Drifting and Moored Buoys in the NOAA iQuam System. Appl. Sci. 2023, 13, 10205. https://doi.org/10.3390/app131810205
Petrenko B, Ignatov A, Pryamitsyn V, Jonasson O. Towards Improved Quality Control of In Situ Sea Surface Temperatures from Drifting and Moored Buoys in the NOAA iQuam System. Applied Sciences. 2023; 13(18):10205. https://doi.org/10.3390/app131810205
Chicago/Turabian StylePetrenko, Boris, Alexander Ignatov, Victor Pryamitsyn, and Olafur Jonasson. 2023. "Towards Improved Quality Control of In Situ Sea Surface Temperatures from Drifting and Moored Buoys in the NOAA iQuam System" Applied Sciences 13, no. 18: 10205. https://doi.org/10.3390/app131810205
APA StylePetrenko, B., Ignatov, A., Pryamitsyn, V., & Jonasson, O. (2023). Towards Improved Quality Control of In Situ Sea Surface Temperatures from Drifting and Moored Buoys in the NOAA iQuam System. Applied Sciences, 13(18), 10205. https://doi.org/10.3390/app131810205

