Linear Project-Scheduling Optimization Considering a Reverse Construction Scenario
Abstract
:1. Introduction
- (1)
- Reverse construction activity scenarios were introduced into the field of linear scheduling optimization, while a systematic logical constraint system consisting of 48 scenarios was proposed. To the best of our knowledge, this is the first study on the logical relationship description method and constraint system for reverse construction activities under LSM;
- (2)
- A more practical scheduling optimization model based on LSM was proposed. The model is compatible with reverse construction logic constraints, proposed in this study, and various other classical constraints, and is capable of handling flexible activity–section–crew assignment requirements;
- (3)
- An improved GWO algorithm was designed and used for problem solving. To the best of our knowledge, this is the first application of a GWO-based algorithm in linear scheduling optimization.
2. Literature Review
2.1. Resource Allocation Problem
2.2. Resource Leveling Problem
2.3. Time–Cost Trade-off Problem
2.4. Knowledge Gaps
3. Development of the LSM-CBPS Model
3.1. Assumptions and Notations
- (1)
- The deterministic scenario is considered, i.e., related parameters are determined;
- (2)
- Crew transition time between sections is not considered;
- (3)
- Construction direction and mode are not allowed to be changed during construction;
- (4)
- Other optimization objectives were not considered except for the minimum duration;
- (5)
- Forward construction is defined as construction from a small mileage scale to a large mileage scale, while reverse construction is the opposite.
3.2. Problem Description
- (1)
- Activity can be completed by crews. For each section, only one crew can be selected, and that crew is always used for construction within the mileage range. For subactivity , the chosen crew sequence number is , . The crew number selected for all subactivities forms the set , and the number of crews chosen for activity is (). Additionally, the construction sequence set for crew can be derived, in which the set’s elements are sequence numbers of the subactivities that will be constructed by crew . These are arranged in ascending order. Notably, crew transition time is not considered.
- (2)
- Activity has construction modes. A certain crew can select only one construction mode, , , and it will be maintained until the crew completes all its tasks. Each construction mode is a triplet. With the construction mode, the following information for subactivity can be obtained: the required resources, ; rate, , or duration, , of construction and the direct cost per mile, .
- (3)
- For linear activity , each crew has a choice between forward/reverse construction directions. Forward construction progresses from small mileage to large mileage, while reverse construction proceeds from large mileage to small mileage. Each crew can select only one construction direction, and it will be maintained until the crew completes all its tasks. The construction direction also determines the construction sequence. For example, if = [1,2,3] and crew 1 of activity 1 selects a forward direction, then the construction sequence is [1,2,3]. If crew 1 selects the reverse direction, the construction sequence becomes [3,2,1], as shown in Figure 1.
3.3. Decision Variable
3.4. Objective Function
3.5. Constraints
3.5.1. Spatiotemporal Constraints in the Forward Construction Scenario
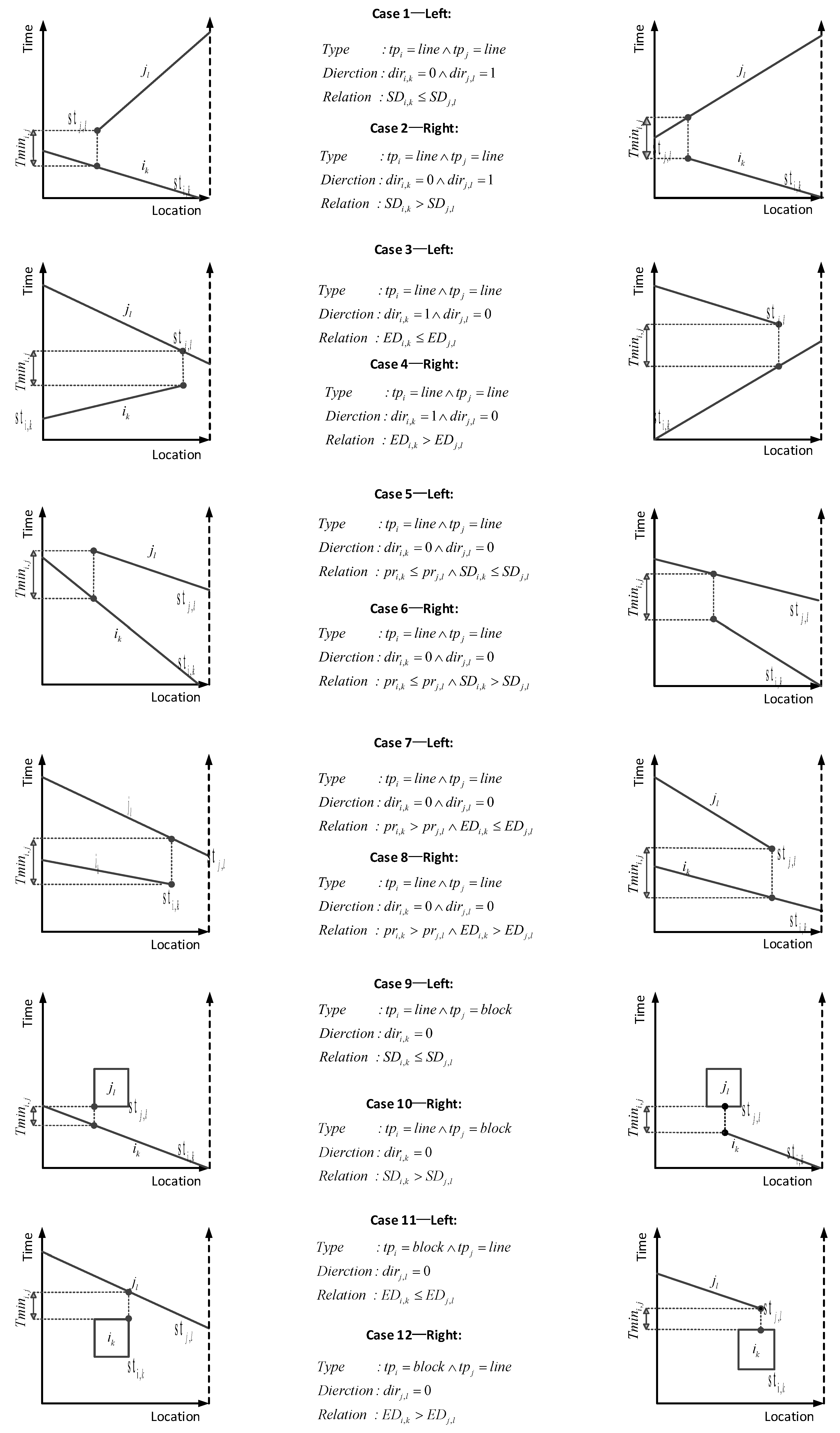
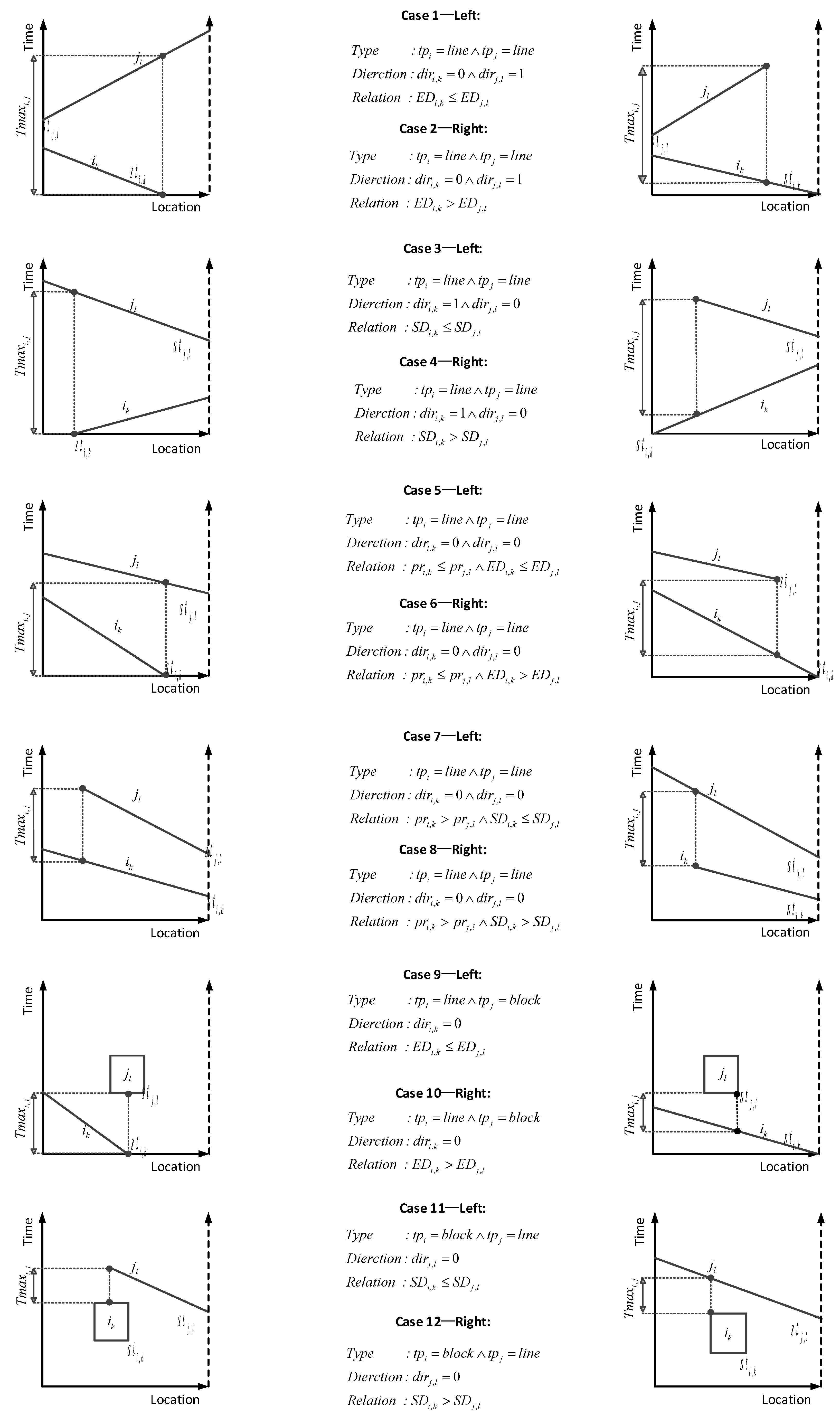
3.5.2. Spatiotemporal Constraints in Reverse Construction Scenarios
- (1)
- Time constraints
- (2)
- Distance constraints
3.5.3. Resource Constraints
3.5.4. Construction Crew Constraints
3.5.5. Construction Period Constraints
3.5.6. Cost Constraints
3.5.7. Construction Mode Constraints
4. Design of a Solving Algorithm for the LSM-CBPS Model
4.1. Grey Wolf Optimization Algorithm
4.2. Improved Grey Wolf Optimization Algorithm Design
| Algorithm 1. Pseudo-code of improved GWO. |
| Input: number of activity , construction mode , construction direction , construction crew , population size , maximum number of iterations , and distance control parameter . Output: project schedule. |
|
4.2.1. Encoding Mode
- (1)
- The first layer represents the selected construction crew for each section. When , it indicates that the construction crew selected for the subactivity of activity on the th section is . Subactivities that share the same construction crew constitute set of the construction crew . All selected crews for activity constitute set ;
- (2)
- The second layer represents the start time of each crew. When , the construction start time for the th crew of activity is ;
- (3)
- The third layer represents the construction direction for each crew. When , the construction direction for the th crew of activity is positive. When , the direction is reversed;
- (4)
- The fourth layer represents the construction mode for each crew. When , the construction mode chosen by the th construction crew representing activity is .
4.2.2. Population Initialization
4.2.3. Decode
4.2.4. Discrete Location Update Operator
4.2.5. Dynamic Constraint Processing
- (1)
- When grey wolves and are not feasible, the one with a small constraint violation value is better;
- (2)
- When both the grey wolves and are feasible, the one with a small objective function value is better;
- (3)
- When the grey wolf is feasible and is not, is superior.
4.2.6. Cross-Mutation Strategy
- (1)
- Cross
- (2)
- Variation
4.2.7. Heuristic Rule
5. Case Study
5.1. Case Description
- (1)
- To validate the model’s capability for multicrew and subsection construction and account for the nonuniform characteristics of section lengths in actual construction projects due to varying geological conditions and activity types, each activity was divided into sections based on the specifications provided in Table 6. The number of optional construction crews for each activity corresponds to the number of sections;
- (2)
- The constraint values for daily resource usage were set to 190 persons/day, resource leveling constraint value was set to 690, indirect cost was set to 2000 yuan/day, and cost constraint value was set to 9,197,389 yuan.
5.2. Algorithm Effectiveness Analysis
5.3. Model Validity Analysis
5.4. Managerial Insights
6. Conclusions
- (1)
- For linear scheduling optimization, scenarios with reverse construction activities were considered. A systematic spatiotemporal logical constraint system consisting of 48 scenarios was proposed to fully describe the temporal and spatial logical relations faced by various reverse construction scenarios in linear project construction. To the best of our knowledge, this is the first study on the spatiotemporal logical relationship description method and constraint portrayal system for reverse construction activities under LSM. The proposed constraint system may serve as a general foundation for future research in this field;
- (2)
- An LSM-based scheduling optimization model named LSM-CBPS was proposed. This model is compatible with the 48 types of reverse construction spatiotemporal logic constraints mentioned above, as well as other classic constraints such as crew and mode constraints, and achieves the flexible matching ability of multisection–multicrew, multicrew–multimode, and multicrew–multiconstruction directions. These practical scenario-oriented designs enhance the practicality of the model;
- (3)
- The application of the GWO algorithm in scheduling optimization based on the LSM framework was explored. An improved GWO algorithm with four-layer coding rules, discrete position update operators, dynamic constraint processing, cross-mutation operators, and heuristic rules was designed. This algorithm demonstrated superior performance compared with other algorithms, i.e., original GWO, GA, and PSO, in terms of solution quality, stability, and efficiency. To the best of our knowledge, this is the first application of GWO-based algorithm in linear scheduling optimization.
Author Contributions
Funding
Institutional Review Board Statement
Informed Consent Statement
Data Availability Statement
Conflicts of Interest
References
- Liao, T.W.; Egbelu, P.; Sarker, B.; Leu, S. Metaheuristics for project and construction management—A state-of-the-art review. Autom. Constr. 2011, 20, 491–505. [Google Scholar] [CrossRef]
- Terzis, D. Monitoring innovation metrics in construction and civil engineering: Trends, drivers and laggards. Dev. Built Environ. 2022, 9, 100064. [Google Scholar] [CrossRef]
- Qiao, J.; Li, Y. Resource leveling using normalized entropy and relative entropy. Autom. Constr. 2018, 87, 263–272. [Google Scholar] [CrossRef]
- Monghasemi, S.; Nikoo, M.R.; Fasaee, M.A.K.; Adamowski, J. A novel multi criteria decision making model for optimizing time–cost–quality trade-off problems in construction projects. Expert Syst. Appl. 2015, 42, 3089–3104. [Google Scholar] [CrossRef]
- Castro-Lacouture, D.; Süer, G.A.; Gonzalez-Joaqui, J.; Yates, J.K. Construction Project Scheduling with Time, Cost, and Material Restrictions Using Fuzzy Mathematical Models and Critical Path Method. J. Constr. Eng. Manag. 2009, 135, 1096–1104. [Google Scholar] [CrossRef]
- Camacho, A.; Caizares, P.C.; Estévez, S.; Núez, M. A tool-supported framework for work planning on construction sites based on constraint programming. Autom. Constr. 2018, 86, 190–198. [Google Scholar] [CrossRef]
- Ponz-Tienda, J.L.; Yepes, V.; Pellicer, E.; Moreno-Flores, J. The Resource Leveling Problem with multiple resources using an adaptive genetic algorithm. Autom. Constr. 2013, 29, 161–172. [Google Scholar] [CrossRef]
- Hegazy, T.; Abdel-Monem, M.; Saad, D.A. Framework for enhanced progress tracking and control of linear projects. Eng. Constr. Arch. Manag. 2014, 21, 94–110. [Google Scholar] [CrossRef]
- Hegazy, T.; Saad, D.A.; Mostafa, K. Enhanced Repetitive-Scheduling Computation and Visualization. J. Constr. Eng. Manag. 2020, 146, 04020118. [Google Scholar] [CrossRef]
- Long, L.D.; Ohsato, A. A genetic algorithm-based method for scheduling repetitive construction projects. Autom. Constr. 2009, 18, 499–511. [Google Scholar] [CrossRef]
- AlTuwaim, A.; El-Rayes, K. Minimizing duration and crew work interruptions of repetitive construction projects. Autom. Constr. 2018, 88, 59–72. [Google Scholar] [CrossRef]
- Tomczak, M.; Jakowski, P. New Approach to Improve General Contractor Crew’s Work Continuity in Repetitive Construction Projects. J. Constr. Eng. Manag. 2020, 146, 4020043. [Google Scholar] [CrossRef]
- Rehab, R.M. RPM: Repetitive Project Modeling. J. Constr. Eng. Manag. 1990, 116, 316–330. [Google Scholar]
- Liu, J.; Lu, M. Constraint Programming Approach to Optimizing Project Schedules under Material Logistics and Crew Availability Constraints. J. Constr. Eng. Manag. 2018, 144, 4018041–4018049. [Google Scholar] [CrossRef]
- Ioannou, P.G.; Yang, I.-T. Repetitive Scheduling Method: Requirements, Modeling, and Implementation. J. Constr. Eng. Manag. 2016, 142, 4016002. [Google Scholar] [CrossRef]
- Ungureanu, L.C.; Hartmann, T.; Serbanoiu, I. Quantitative lean assessment of line of balance schedules’ quality. Eng. Constr. Arch. Manag. 2019, 26, 224–244. [Google Scholar] [CrossRef]
- Bakry, I.; Moselhi, O.; Zayed, T. Optimized acceleration of repetitive construction projects. Autom. Constr. 2014, 39, 145–151. [Google Scholar] [CrossRef]
- Arditi, D.; Tokdemir, O.B.; Suh, K. Challenges in Line-of-Balance Scheduling. J. Constr. Eng. Manag. 2002, 128, 545–556. [Google Scholar] [CrossRef]
- Arditi, D.; Tokdemir, O.B.; Suh, K. Effect of learning on line-of-balance scheduling. Int. J. Proj. Manag. 2001, 19, 265–277. [Google Scholar] [CrossRef]
- Zhang, L.; Zou, X.; Kan, Z. Improved Strategy for Resource Allocation in Repetitive Projects Considering the Learning Effect. J. Constr. Eng. Manag. 2014, 140, 4014053. [Google Scholar] [CrossRef]
- Ammar, M.A. LOB and CPM Integrated Method for Scheduling Repetitive Projects. J. Constr. Eng. Manag. 2013, 139, 44–50. [Google Scholar] [CrossRef]
- Ammar, M.A. Resource optimisation in line of balance scheduling. Constr. Manag. Econ. 2019, 38, 715–725. [Google Scholar] [CrossRef]
- Yamín, R.A.; Harmelink, D.J. Comparison of Linear Scheduling Model (LSM) and Critical Path Method (CPM). J. Constr. Eng. Manag. 2001, 127, 374–381. [Google Scholar] [CrossRef]
- Katsuragawa, C.M.; Lucko, G.; Isaac, S.; Su, Y. Fuzzy Linear and Repetitive Scheduling for Construction Projects. J. Constr. Eng. Manag. 2021, 147, 04021002. [Google Scholar] [CrossRef]
- Tang, Y.; Liu, R.; Wang, F.; Sun, Q.; Kandil, A.A. Scheduling Optimization of Linear Schedule with Constraint Programming. Comput. Aided Civ. Infrastruct. Eng. 2018, 33, 124–151. [Google Scholar] [CrossRef]
- García-Nieves, J.D.; Ponz-Tienda, J.L.; Salcedo-Bernal, A.; Pellicer, E. The Multimode Resource-Constrained Project Scheduling Problem for Repetitive Activities in Construction Projects. Comput. Civ. Infrastruct. Eng. 2018, 33, 655–671. [Google Scholar] [CrossRef]
- Tang, Y.; Sun, Q.; Liu, R.; Wang, F. Resource Leveling Based on Line of Balance and Constraint Programming. Comput. Civ. Infrastruct. Eng. 2018, 33, 864–884. [Google Scholar] [CrossRef]
- Tang, Y.; Liu, R.; Sun, Q. Two-Stage Scheduling Model for Resource Leveling of Linear Projects. J. Constr. Eng. Manag. 2014, 140, 4014022. [Google Scholar] [CrossRef]
- Dai, G.; Liao, M.; Zhang, R. Resource Levelling in Repetitive Construction Projects with Interruptions: An Integrated Approach. J. Civ. Eng. Manag. 2023, 29, 93–106. [Google Scholar] [CrossRef]
- Monghasemi, S.; Abdallah, M. Linear Optimization Model to Minimize Total Cost of Repetitive Construction Projects and Identify Order of Units. J. Manag. Eng. 2021, 37, 04021036. [Google Scholar] [CrossRef]
- Tran, D.; Chou, J.; Luong, D. Multi-objective symbiotic organisms optimization for making time-cost tradeoffs in repetitive project scheduling problem. J. Civ. Eng. Manag. 2019, 25, 322–339. [Google Scholar] [CrossRef]
- Cao, Q.; Zou, X.; Zhang, L. Multiobjective Robust Optimization Model for Generating Stable and Makespan-Protective Repetitive Schedules. J. Constr. Eng. Manag. 2022, 148, 04022099. [Google Scholar] [CrossRef]
- Gouda, A.; Hosny, O.; Nassar, K. Optimal crew routing for linear repetitive projects using graph theory. Autom. Constr. 2017, 81, 411–421. [Google Scholar] [CrossRef]
- Ding, H.; Zhuang, C.; Liu, J. Extensions of the resource-constrained project scheduling problem. Autom. Constr. 2023, 153, 104958. [Google Scholar] [CrossRef]
- Kong, F.; Dou, D. RCPSP with Combined Precedence Relations and Resource Calendars. J. Constr. Eng. Manag. 2020, 146, 04020133. [Google Scholar] [CrossRef]
- Wang, Q.; Liu, C.; Zheng, L. A column-generation-based algorithm for a resource-constrained project scheduling problem with a fractional shared resource. Eng. Optim. 2019, 52, 798–816. [Google Scholar] [CrossRef]
- Garcia-Nieves, J.D.; Ponz-Tienda, J.L.; Ospina-Alvarado, A.; Bonilla-Palacios, M. Multipurpose linear programming optimization model for repetitive activities scheduling in construction projects. Autom. Constr. 2019, 105, 102791–102799. [Google Scholar] [CrossRef]
- Li, H.; Wang, M.; Dong, X. Resource Leveling in Projects with Stochastic Minimum Time Lags. J. Constr. Eng. Manag. 2019, 145, 4019015. [Google Scholar] [CrossRef]
- Gwak, H.; Lee, D. Stochastic resource leveling optimization method for trading off float consumption and project completion probability. Comput. Civ. Infrastruct. Eng. 2021, 36, 1013–1033. [Google Scholar] [CrossRef]
- Wang, Z.; Hu, Z.; Tang, Y. Float-Based Resource Leveling Optimization of Linear Projects. IEEE Access 2020, 8, 176997–177020. [Google Scholar] [CrossRef]
- Piryonesi, S.M.; Nasseri, M.; Ramezani, A. Resource leveling in construction projects with activity splitting and resource constraints: A simulated annealing optimization. Can. J. Civ. Eng. 2019, 46, 81–86. [Google Scholar] [CrossRef]
- Atan, T.; Eren, E. Optimal project duration for resource leveling. Eur. J. Oper. Res. 2018, 266, 508–520. [Google Scholar] [CrossRef]
- Agdas, D.; Warne, D.J.; Osio-Norgaard, J.; Masters, F.J. Utility of Genetic Algorithms for Solving Large-Scale Construction Time-Cost Trade-Off Problems. J. Comput. Civ. Eng. 2018, 32, 4017072. [Google Scholar] [CrossRef]
- Alavipour, S.R.; Arditi, D. Time-cost tradeoff analysis with minimized project financing cost. Autom. Constr. 2018, 98, 110–121. [Google Scholar] [CrossRef]
- Salama, T.; Moselhi, O. Multi-objective optimization for repetitive scheduling under uncertainty. Eng. Constr. Arch. Manag. 2019, 26, 1294–1320. [Google Scholar] [CrossRef]
- Liu, D.; Li, H.; Wang, H.; Qi, C.; Rose, T. Discrete symbiotic organisms search method for solving large-scale time-cost trade-off problem in construction scheduling. Expert Syst. Appl. 2020, 148, 113230. [Google Scholar] [CrossRef]
- Panwar, A.; Jha, K.N. Integrating Quality and Safety in Construction Scheduling Time-Cost Trade-Off Model. J. Constr. Eng. Manag. 2021, 147, 04020160. [Google Scholar] [CrossRef]
- Wang, J.; Han, C.; Li, X. Modified Streamlined Optimization Algorithm for Time–Cost Tradeoff Problems of Complex Large-Scale Construction Projects. J. Constr. Eng. Manag. 2023, 149, 4023022. [Google Scholar] [CrossRef]
- Altuwaim, A.; El-Rayes, K. Multiobjective Optimization Model for Planning Repetitive Construction Projects. J. Constr. Eng. Manag. 2021, 147, 04021072. [Google Scholar] [CrossRef]
- Eid, M.S.; Elbeltagi, E.E.; El-Adaway, I.H. Simultaneous multi-criteria optimization for scheduling linear infrastructure projects. Int. J. Constr. Manag. 2018, 21, 41–55. [Google Scholar] [CrossRef]
- Menaka, M.; Kumar, K.S. Workflow scheduling in cloud environment—Challenges, tools, limitations & methodologies: A review. Meas. Sens. 2022, 24, 100436. [Google Scholar]
- Rana, M.S.; KS, S.K.; Jaisankar, N. Comparison of probabilistic optimization algorithms for resource scheduling in cloud computing environment. Int. J. Eng. Technol. 2013, 5, 1419–1427. [Google Scholar]
- Tang, Y.; Liu, R.; Sun, Q. Schedule control model for linear projects based on linear scheduling method and constraint programming. Autom. Constr. 2014, 37, 22–37. [Google Scholar] [CrossRef]
- Mirjalili, S.; Mirjalili, S.M.; Lewis, A. Grey wolf optimizer. Adv. Eng. Softw. 2014, 69, 46–61. [Google Scholar] [CrossRef]
- Hassan, H.A.; Zellagui, M. Application of Grey Wolf Optimizer Algorithm for Optimal Power Flow of Two-Terminal HVDC Transmission System. Adv. Electr. Electron. Eng. 2018, 15, 701–712. [Google Scholar] [CrossRef]
- Zhang, S.; Zhou, Y.; Li, Z.; Pan, W. Grey wolf optimizer for unmanned combat aerial vehicle path planning. Adv. Eng. Softw. 2016, 99, 121–136. [Google Scholar] [CrossRef]
- Emary, E.; Zawbaa, H.M.; Hassanien, A.E. Binary grey wolf optimization approaches for feature selection. Neurocomputing 2016, 172, 371–381. [Google Scholar] [CrossRef]
- Lu, H.; Chen, W. Dynamic-objective particle swarm optimization for constrained optimization problems. J. Comb. Optim. 2006, 12, 409–419. [Google Scholar] [CrossRef]
- Ransikarbum, K.; Mason, S.J. A bi-objective optimisation of post-disaster relief distribution and short-term network restoration using hybrid NSGA-II algorithm. Int. J. Prod. Res. 2021, 60, 5769–5793. [Google Scholar] [CrossRef]












| Authors (Year) | Methodology | Model Characteristics | Solution Approach | |||||
|---|---|---|---|---|---|---|---|---|
| Multi-Mode | Multi-Crew | Multi-Section | Flexible Section Selection | Flexible Activity–Section–Crew Assignment | Reverse Construction | |||
| F. Kong, D. Dou (2020) [35] | CPM | CP | ||||||
| Q. Wang et al. (2019) [36] | CPM | CG | ||||||
| J.D. Garcia-Nieves et al. (2018) [26] | LSM | √ | √ | Gurobi | ||||
| J.D. Garcia-Nieves et al. (2019) [37] | LSM | √ | √ | √ | Gurobi | |||
| C.M. Katsuragawa et al. (2021) [24] | LSM | √ | Heuristic | |||||
| H.B. Li (2019) [38] | CPM | EA | ||||||
| H.S. Gwak, D.E. Lee (2021) [39] | CPM | GA | ||||||
| Wang et al. (2020) [40] | LSM | √ | √ | √ | QPSO | |||
| Piryonesi et al. (2019) [41] | CPM | SA | ||||||
| T. Atan, E. Eren (2017) [42] | CPM | Heuristic | ||||||
| S.M.R. Alavipour, D. Arditi (2019) [44] | CPM | GA+LP | ||||||
| T. Salama, O. Moselhi (2019) [45] | LSM | √ | √ | GA | ||||
| D. Liu et al. (2020) [46] | CPM | SOS | ||||||
| A. Panwar, K.N. Jha (2021) [47] | CPM | NSGA-III | ||||||
| J. Wang et al. (2023) [48] | CPM | SO | ||||||
| A. Altuwaim, K. El-Rayes (2021) [49] | LSM | √ | √ | GA | ||||
| M.S. Eid et al. (2021) [50] | LSM | √ | √ | √ | GA | |||
| This study | LSM | √ | √ | √ | √ | √ | √ | GWO |
| Index | |
|---|---|
| index of activities | |
| index of segment/section | |
| index of crews | |
| index of construction mode | |
| Constant | |
|---|---|
| number of activities | |
| starting distance of activity | |
| starting distance of section in activity | |
| end distance of activity | |
| end distance of section in activity | |
| number of sections in activity | |
| maximum number of crews available for activity | |
| section in activity (subactivity) | |
| set of crews chosen for activity | |
| number of crews chosen for activity | |
| construction sequence set for crew of activity | |
| number of construction mode for activity | |
| type of activity | |
| minimum time buffer between activity and | |
| maximum time buffer between activity and | |
| minimum distance buffer between activity and | |
| maximum distance buffer between activity and | |
| daily resource supply | |
| expected resource usage fluctuation | |
| expected total project cost | |
| Decision Variable | |
|---|---|
| start time of construction in the kth section of activity i | |
| denotes whether the kth section of activity i is constructed by construction crew c: if yes, it equals 1; if not, it equals 0. | |
| indicates whether the kth section of activity i is constructed according to construction mode m: if yes, it equals 1; if not, it equals 0. | |
| construction direction of activity i in the kth section, where forward is denoted by 1 and reverse by 0. | |
| Variable | |
|---|---|
| shortest construction period | |
| end time of construction in the kth section of activity i | |
| whether the kth section of activity i is constructed on the tth day: if yes, it is 1; otherwise, it is 0. | |
| Activity | Number of Sections | Starting Location of Each Section |
|---|---|---|
| Ground shaping | 3 | DK53+000, DK56+000, DK58+000 |
| Treatment of weak foundation | 1 | DK53+350 |
| General embankment filling | 4 | DK53+000, DK54+500, DK56+000; DK58+000 |
| Embankment filling for base of foundation | 4 | DK53+000, DK54+500, DK55+500, DK58+000 |
| Embankment filling for foundation surface | 3 | DK53+000, DK55+500, DK57+500 |
| Trim of subgrade | 3 | DK53+000, DK55+500, DK57+500 |
| Ancillary works for subgrade | 3 | DK53+000, DK55+500, DK57+500 |
| Trim and ending | 3 | DK53+000, DK55+500, DK57+500 |
| Assessed Factors | Related Case | Related Section |
|---|---|---|
| Performance of GWO | Initial-scale case described in Section 5.1 | Section 5.2 |
| Large-scale case (expanded five times by initial-scale case) | Section 5.2 | |
| Performance of LSM-CBPS | Initial-scale case without reverse construction | Section 5.3 |
| Initial-scale case with reverse construction | Section 5.3 | |
| Large-scale case without reverse construction | Section 5.3 | |
| Large-scale case with reverse construction | Section 5.3 |
| Algorithm | Parameter Setting |
|---|---|
| Improved GWO | The crossover probability is 0.2, the mutation probability is 0.2, and the control parameters linearly decrease from 2 to 0. |
| Original GWO | The control parameter decreases linearly from 2 to 0. |
| GA | Cross probability is 0.8 and mutation probability is 0.08. |
| PSO | The inertia weight is linearly reduced from 0.9 to 0.5 and the acceleration factor sum is 2. The maximum speed is 30 in the start time dimension and 2 in the other dimensions |
| Algorithm | Best Solution | Mean Value | Standard Deviation |
|---|---|---|---|
| Improved GWO | 91.29 | 106.01 | 6.39 |
| Original GWO | 110 | 117.02 | 7.12 |
| GA | 130.57 | 176.33 | 22.71 |
| PSO | 129.43 | 179.08 | 22.48 |
| Algorithm | Number of Feasible Solutions Obtained | Best Solution | Minimum Constraint Violation Value |
|---|---|---|---|
| Improved GWO | 9 | 138.67 | — |
| Original GWO | 3 | 192 | — |
| GA | 0 | — | 40.43 |
| PSO | 0 | — | 31.16 |
| Run Times | Improved GWO Algorithm | Original GWO Algorithm |
|---|---|---|
| 1 | 105.38 | 198.90 |
| 2 | 100 | 256.57 |
| 3 | 98.10 | 196.14 |
| Scenario | Case Selection | Whether Reverse Construction Is Allowed | Best Solution |
|---|---|---|---|
| 1 | Initial case | No | 112 |
| 2 | Initial case | Yes | 91.29 |
| 3 | Large-scale case | No | 112.19 |
| 4 | Large-scale case | Yes | 98.10 |
Disclaimer/Publisher’s Note: The statements, opinions and data contained in all publications are solely those of the individual author(s) and contributor(s) and not of MDPI and/or the editor(s). MDPI and/or the editor(s) disclaim responsibility for any injury to people or property resulting from any ideas, methods, instructions or products referred to in the content. |
© 2023 by the authors. Licensee MDPI, Basel, Switzerland. This article is an open access article distributed under the terms and conditions of the Creative Commons Attribution (CC BY) license (https://creativecommons.org/licenses/by/4.0/).
Share and Cite
Yu, Z.; Wang, C.; Zhao, Y.; Hu, Z.; Tang, Y. Linear Project-Scheduling Optimization Considering a Reverse Construction Scenario. Appl. Sci. 2023, 13, 9407. https://doi.org/10.3390/app13169407
Yu Z, Wang C, Zhao Y, Hu Z, Tang Y. Linear Project-Scheduling Optimization Considering a Reverse Construction Scenario. Applied Sciences. 2023; 13(16):9407. https://doi.org/10.3390/app13169407
Chicago/Turabian StyleYu, Ze, Chuxin Wang, Yuanyuan Zhao, Zhiyuan Hu, and Yuanjie Tang. 2023. "Linear Project-Scheduling Optimization Considering a Reverse Construction Scenario" Applied Sciences 13, no. 16: 9407. https://doi.org/10.3390/app13169407
APA StyleYu, Z., Wang, C., Zhao, Y., Hu, Z., & Tang, Y. (2023). Linear Project-Scheduling Optimization Considering a Reverse Construction Scenario. Applied Sciences, 13(16), 9407. https://doi.org/10.3390/app13169407
