Comparative Study of Plantago media Extracts in the Treatment of Acanthamoeba sp. Trophozoites
Abstract
1. Introduction
2. Materials and Methods
2.1. Plant Material
2.2. Preparation of Extracts
2.3. TLC Analysis
2.4. HPLC-DAD Analysis
2.5. Anti-Amoebic Activity
2.6. Statistical Analysis
3. Results
4. Discussion
5. Conclusions
Author Contributions
Funding
Institutional Review Board Statement
Informed Consent Statement
Data Availability Statement
Conflicts of Interest
References
- POWO. Plants of the World Online. Facilitated by the Royal Botanic Gardens, Kew. 2023. Available online: https://powo.science.kew.org/taxon/urn:lsid:ipni.org:names:30001135-2 (accessed on 16 March 2023).
- POWO. Plants of the World Online. Facilitated by the Royal Botanic Gardens, Kew. 2023. Available online: https://powo.science.kew.org/taxon/urn:lsid:ipni.org:names:685411-1 (accessed on 10 March 2023).
- Fierascu, R.C.; Fierascu, I.; Ortan, A.; Paunescu, A. Plantago media L.—Explored and Potential Applications of an Underutilized Plant. Plants 2021, 10, 265. [Google Scholar] [CrossRef] [PubMed]
- Gonçalves, S.; Romano, A. The medicinal potential of plants from the genus Plantago (Plantaginaceae). Ind. Crops Prod. 2016, 83, 213–226. [Google Scholar] [CrossRef]
- European Pharmacopoeia. Ribwort leaf. In Plantaginis lanceolatae folium, 10th ed.; The Council of Europe: Strasbourg, France, 2019; p. 1599. [Google Scholar]
- Bogdanova, E.S.; Grebenkina, T.M.; Nesterov, V.N.; Rozentsvet, O.A. Biologically active compounds from representatives of the family Plantaginaceae. Chem. Nat. Compd. 2014, 50, 1001–1004. [Google Scholar] [CrossRef]
- Chiang, L.C.; Ng, L.T.; Chiang, W.; Chang, M.Y.; Lin, C.C. Immunomodulatory activities of flavonoids, monoterpenoids, triterpenoids, iridoid glycosides and phenolic compound of Plantago species. Planta Med. 2003, 69, 600–604. [Google Scholar] [CrossRef]
- Fleer, H.; Verspohl, E.J. Antispasmodic activity of an extract from Plantago lanceolata L. and some isolated compounds. Phytomedicine 2007, 14, 409–415. [Google Scholar] [CrossRef]
- Weryszko-Chmielewska, E.; Matysik-Woźniak, A.; Sulborska, A.; Rejdak, R. Commercially important properties of the genus Plantago. Acta Agron. 2012, 65, 11–20. [Google Scholar] [CrossRef]
- Rønsted, N.; Franzyk, H.; Molgaard, P.; Jaroszewski, J.W.; Jensen, S.R. Chemotaxonomy and evolution of Plantago L. Plant Syst. Evol. 2003, 242, 63–82. [Google Scholar] [CrossRef]
- Rønsted, N.; Göbel, E.; Franzyk, H.; Jensen, S.R.; Olsen, C.E. Chemotaxonomy of Plantago. Iridoid glucosides and caffeoyl phenylethanoid glycosides. Phytochemistry 2000, 55, 337–348. [Google Scholar] [CrossRef]
- Olennikov, D.N.; Tankhaeva, L.M.; Stolbikova, A.V.; Petrov, E.V. Phenylopropanoids and polysaccharides from Plantago depressa and Plantago media growing in Buryatia. Chem. Nat. Compd. 2011, 47, 165–169. [Google Scholar] [CrossRef]
- Andrzejewska-Golec, E. Taxonomic aspects of the iridoid glucosides occurring in the genus Plantago L. Acta Soc. Bot. Pol. 1997, 66, 201–205. [Google Scholar] [CrossRef]
- Taskova, R.; Evstatieva, L.; Handjieva, N.; Popov, S. Iridoid Patterns of Genus Plantago L. and Their Systematic Significance. Z. Nat. C 2002, 57, 42–50. [Google Scholar] [CrossRef] [PubMed]
- Jurišić Grubešić, R.; Srečnik, G.; Kremer, D.; Vuković Rodríguez, J.; Nikolić, T.; Vladimir-Knežević, S. Simultaneous RP–HPLC–DAD separation, and determination of flavonoids and phenolic acids in Plantago L. species. Chem. Biodiv. 2013, 10, 1305–1316. [Google Scholar] [CrossRef] [PubMed]
- Janković, T.; Zduni, G.; Beara, I.; Balog, K.; Pljevljakušić, D.; Stešsević, D.; Šavikin, K. Comparative study of some polyphenols in Plantago species. Biochem. Syst. Ecol. 2012, 42, 69–74. [Google Scholar] [CrossRef]
- Beara, I.N.; Lesjak, M.M.; Jovin, E.D.; Balog, K.J.; Anačkov, G.T.; Orčic, D.Z.; Mimica-Dukič, N.M. Plantain (Plantago L.) species as novel sources of flavonoid antioxidants. J. Agric. Food Chem. 2009, 57, 9268–9273. [Google Scholar] [CrossRef] [PubMed]
- Ji, H.; Hou, C.; Guo, X. Physicochemical properties, structures, bioactivities and future prospective for polysaccharides from Plantago L. (Plantaginaceae): A review. Int. J. Biol. Macromol. 2019, 135, 637–646. [Google Scholar] [CrossRef] [PubMed]
- Budzianowska, A.; Kikowska, M.; Małkiewicz, M.; Karolak, I.; Budzianowski, J. Phenylethanoid glycosides in Plantago media L. organs obtained in in vitro cultures. Acta Biol. Cracov. Ser. Bot. 2019, 61, 75–86. [Google Scholar] [CrossRef]
- Alipieva, K.; Korkina, L.; Orhan, I.E.; Georgiev, M.I. Verbascoside—A review of its occurrence, (bio)synthesis and pharmacological significance. Biotechnol. Adv. 2014, 32, 1065–1076. [Google Scholar] [CrossRef]
- Fu, G.; Pang, H.; Wong, Y.H. Naturally Occurring Phenylethanoid Glycosides: Potential Leads for New Therapeutics. Curr. Med. Chem. 2008, 15, 2592–2613. [Google Scholar] [CrossRef]
- Wu, L.; Georgiev, M.I.; Cao, H.; Nahar, L.; El-Seedi, H.R.; Sarker, S.D.; Xiao, J.; Lu, B. Therapeutic potential of phenylethanoid glycosides: A systematic review. Med. Res. Rev. 2020, 40, 2605–2649. [Google Scholar] [CrossRef]
- Xue, Z.; Yang, B. Phenylethanoid glycosides: Research advances in their phytochemistry, pharmacological activity and pharmacokinetics. Molecules 2016, 21, 991. [Google Scholar] [CrossRef]
- Bernardi, M.; Ghaani, M.R.; Bayazeid, O. Phenylethanoid glycosides as a possible COVID-19 protease inhibitor: A virtual screening approach. J. Mol. Model. 2001, 27, 341. [Google Scholar] [CrossRef]
- Verutani, S.; Beghelli, E.; Scalambra, E.; Malisardi, G.; Copetti, S.; Dal, T.R.; Baldisserotto, A.; Manfredini, S. Activity and stability studies of acteoside, a novel antioxidant, in dermo-cosmetic and pharmaceutical topical formulations. Molecules 2011, 16, 7068–7080. [Google Scholar] [CrossRef]
- Xiao, Y.; Ren, Q.; Wu, L. The pharmacokinetic property and pharmacological activity of acteoside: A review. Biomed Pharm. 2022, 153, 113296. [Google Scholar] [CrossRef] [PubMed]
- Khan, R.A.; Hossain, R.; Roy, P.; Jain, D.; Mohammad Saikat, A.S.; Roy Shuvo, A.P.; Akram, M.; Elbossaty, W.F.; Khan, I.N.; Painuli, S.; et al. Anticancer effects of acteoside: Mechanistic insights and therapeutic status. Eur. J. Pharmacol. 2022, 916, 174699. [Google Scholar] [CrossRef] [PubMed]
- Maquiaveli, C.C.; Lucon-Júnior, J.F.; Brogi, S.; Campiani, G.; Gemma, S.; Vieira, P.C.; Silva, E.R. Verbascoside inhibits promastigote growth and arginase activity of Leishmania amazonensis. J. Nat. Prod. 2016, 79, 1459–1463. [Google Scholar] [CrossRef] [PubMed]
- Maquiaveli, C.C.; Rochetti, A.L.; Fukumasu, H.; Vieira, P.C.; da Silva, E.R. Antileishmanial activity of verbascoside: Selective arginase inhibition of intracellular amastigotes of Leishmania (Leishmania) amazonensis with resistance induced by LPS plus IFN-γ. Biochem. Pharmacol. 2017, 127, 28–33. [Google Scholar] [CrossRef] [PubMed]
- Siddiqui, R.; Khan, N.A. Biology and pathogenesis of Acanthamoeba. Parasit Vectors 2012, 10, 5–6. [Google Scholar] [CrossRef]
- Derda, M.; Hadaś, E. The use of phytotherapy in diseases caused by parasitic protozoa. Acta Parasitol. 2015, 60, 1–8. [Google Scholar] [CrossRef]
- Derda, M.; Hadaś, E.; Thiem, B. Plant extracts as natural amoebicidal agents. Parasitol. Res. 2009, 104, 705–708. [Google Scholar] [CrossRef]
- Derda, M.; Thiem, B.; Budzianowski, J.; Wojt, W.; Wojtkowiak-Giera, A. The evaluation of the amebicidal activity of Eryngium planum extracts. Acta Pol. Pharm. 2013, 70, 1027–1034. [Google Scholar]
- Derda, M.; Hadaś, E.; Cholewiński, M.; Skrzypczak, Ł.; Grzondziel, A.; Wojtkowiak-Giera, A. Artemisia annua L. as a plant with potential use in the treatment of acanthamoebiasis. Parasitol. Res. 2016, 115, 1635–1639. [Google Scholar] [CrossRef] [PubMed]
- Elsheikha, H.M.; Siddiqui, R.; Khan, N.A. Drug discovery against Acanthamoeba infections: Present knowledge and unmeneeds. Pathogens 2020, 9, 405. [Google Scholar] [CrossRef] [PubMed]
- ESCOP Monographs. Plantaginis lanceolatae folium/herba. European Scientific Cooperation On Phytotherapy. In The Scientific Foundation for Herbal Medicinal Products, 2nd ed.; Thieme: Stuttgart, Germany, 2003; pp. 383–387. [Google Scholar]
- Harborne, J.B. Phytochemical Methods; Chapman and Hall: London, UK, 1998. [Google Scholar]
- Budzianowska, A.; Skrzypczak, L.; Budzianowski, J. Phenylethanoid glucosides from in vitro propagated plants and callus cultures of Plantago lanceolata. Planta Med. 2004, 70, 834–840. [Google Scholar] [CrossRef]
- Budzianowski, J.; Korzeniowska, K.; Chmara, E.; Mrozikiewicz, A. Microvascular protective activity of flavonoid glucuronides fraction from Tulipa gesneriana. Phytother Res. 1999, 13, 166–168. [Google Scholar] [CrossRef]
- Schlauer, J.; Budzianowski, J.; Kukulczanka, K.; Ratajczak, L. Acteoside and related phenylethanoid glycosides in Byblis liniflora Salisb. plants propagated in vitro and its systematic significance. Acta Soc. Bot. Pol. 2004, 73, 9–15. [Google Scholar] [CrossRef]
- Budzianowska, A.; Budzianowski, J. A new flavonoid, a new phenylethanoid glycoside and related compounds isolated from the inflorescences of Plantago lanceolata L. Nat. Prod. Res. 2022, 36, 3813–3824. [Google Scholar] [CrossRef]
- Markham, K.R. Techniques of Flavonoids Identification; Academic Press: London, UK, 1982. [Google Scholar]
- Szopa, A.; Kokotkiewicz, A.; Bednarz, M.; Luczkiewicz, M.; Ekiert, H. Studies on the accumulation of phenolic acids and flavonoids in different in vitro culture systems of Schisandra chinensis (Turcz.) Baill. using a DAD-HPLC method. Phytochem. Lett. 2017, 20, 462–469. [Google Scholar] [CrossRef]
- Szopa, A.; Kokotkiewicz, A.; Kubica, P.; Banaszczak, P.; Wojnatowska-Krośniak, A.; Krośniak, M.; Marzec-Wróblewska, U.; Badura, A.; Zagrodzki, P.; Buciński, A.; et al. Comparative analysis of different groups of phenolic compounds in fruit and leaf extracts of Aronia sp.: A. melanocarpa, A. arbutifolia, and A.×prunifolia and their antioxidant activities. Eur. Food Res. Technol. 2017, 243, 1645–1657. [Google Scholar] [CrossRef]
- Kuźma, Ł.; Derda, M.; Hadaś, E.; Wysokińska, H. Abietane diterpenoids from Salvia sclarea transformed roots as growth inhibitors of pathogenic Acanthamoeba spp. Parasitol. Res. 2015, 114, 323–327. [Google Scholar] [CrossRef]
- Sauter, I.P.; dos Santos, J.C.; Apel, M.A.; Cibulski, S.P.; Roehe, P.M.; von Poser, G.L.; Rott, M.B. Amoebicidal activity and chemical composition of Pteroculon polystachyum (Asteraceae) essential oil. Parasitol. Res. 2011, 109, 1367–1371. [Google Scholar] [CrossRef]
- Kolören, O.; Kolören, Z.; Şekeroğlu, Z.A.; Colayvaz, M.; Karanis, P. Amoebicidal and amoebistatic effects of Artemisia argyi methanolic extracts on Acanthamoeba castellanii trophozoites and cysts. Acta Parasitol. 2019, 64, 63–70. [Google Scholar] [CrossRef] [PubMed]
- Mahboob, T.; Azlan, A.-M.; Tan, T.-C.; Samudi, C.; Sekaran, S.D.; Nissapatorn, V.; Wiart, C. Anti-encystment and amoebicidal activity of Lonicera japonica Thunb. and its major constituent chlorogenic acid in vitro. Asian Pac. J. Trop. Med. 2016, 9, 866–871. [Google Scholar] [CrossRef] [PubMed]
- Rodríguez-Zaragoza, S.; Ordaz, C.; Avila, G.; Muñoz, J.L.; Arciniegas, A.; Romo de Vivar, A. In vitro evaluation of the ame-bicidal activity of Buddleia cordata (Loganiaceae, H.B.K.) on several strains of Acanthamoeba. J. Ethnopharmacol. 1999, 66, 327–334. [Google Scholar] [CrossRef]
- Fakae, L.B.; Stevenson, C.W.; Zhu, X.-Q.; Elsheikha, H.M. In vitro activity of Camellia sinensis (green tea) against trophozoites and cysts of Acanthamoeba castellanii. Int. J. Parasitol. Drugs Drug Resist. 2020, 13, 59–72. [Google Scholar] [CrossRef] [PubMed]
- Kikowska, M.; Chanaj-Kaczmarek, J.; Derda, M.; Budzianowska, A.; Thiem, B.; Ekiert, H.; Szopa, A. The evaluation of phenolic acids and flavonoids content and antiprotozoal activity of Eryngium species biomass produced by biotechnological methods. Molecules 2020, 27, 363. [Google Scholar] [CrossRef]
- Tepe, B.; Malatyali, E.; Degerli, S.; Berk, S. In vitro amoebicidal activities of Teucrium polium and T. chamaedrys on Acanthamoeba castellanii trophozoites and cyst. Parasitol. Res. 2011, 110, 1773–1778. [Google Scholar] [CrossRef]
- Hadaś, E.; Derda, M.; Nawrot, J.; Nowak, G.; Thiem, B. Evaluation of the Amoebicidal Activities of Centaurea bella, Centaurea daghestanica, Rhaponticum pulchrum and Tanacetum vulgare against Pathogenic Acanthamoeba spp. Acta Pol. Pharm. 2017, 74, 1827–1832. Available online: https://www.ptfarm.pl/download/?file=File%2FActa_Poloniae%2F2017%2F6%2F1827.pdf (accessed on 10 April 2023).
- Maliński, M.P.; Budzianowski, J.; Kikowska, M.; Derda, M.; Jaworska, M.M.; Młynarczyk, D.T.; Szukalska, M.; Florek, E.; Thiem, B. Two ecdysteroids isolated from micropropagated Lychnis flos-cuculi and the biological activity of plant material. Molecules 2021, 26, 904. [Google Scholar] [CrossRef]
- Kikowska, M.; Derda, M.; Thiem, B.; Włodarczyk, A.; Długaszewska, J.; Stochmal, A.; Żuchowski, J.; Hadaś, E. Evaluation of antiamoebic and antimicrobial activities in vitro of Chaenomeles japonica (Thunb.) Lindl. ex spach extracts. Acta Biol. Cracov. Ser. Bot. 2019, 61, 47–58. [Google Scholar] [CrossRef]
- Caldwell, R.B.; Toque, H.A.; Narayanan, S.P.; Caldwell, R.W. Arginase: An old enzyme with new tricks. Trends Pharmacol. Sci. 2015, 36, 395–405. [Google Scholar] [CrossRef]
- Maliński, M.P.; Kikowska, M.; Kruszka, D.; Napierała, M.; Florek, E.; Sliwinska, E.; Thiem, B. Various in vitro systems of Ragged Robin (Lychnis flos-cuculi L.): A new potential source of phytoecdysteroids? Plant Cell Tiss. Organ Cult. 2019, 139, 39–52. [Google Scholar] [CrossRef]
- Degerli, S.; Tepe, B.; Celiksoz, A.; Berk, S.; Malatyali, E. In vitro amoebicidal activity of Origanum syriacum and Origanum laevigatum on Acanthamoeba castellanii cysts and trophozoites. Exp. Parasitol. 2012, 131, 20–24. [Google Scholar] [CrossRef] [PubMed]




| Material (Water Fraction of an Extract) | 2D-TLC Cellulose (Adsorbent: Cellulose; Mobile Phases: I: BAW 4:1:5, II: 15%AcOH; Detection—UV 365 nm) | Flavonoids | Phenylethanoid Glycosides |
|---|---|---|---|
| Plantago media in vitro shoots | ![]() | Absent | Present |
| Plantago media in vitro roots | ![]() | Absent | Present |
| Plantago media inflorescences | ![]() | Present | Present |
| Plantago media leaves | ![]() | Present | Present |
| Plantago lanceolata leaves | ![]() | Present | Present |
| Compounds | P. media In Vitro Shoots | P. media In Vitro Roots | P. media Inflorescences | P. media Leaves | P. lanceolata Leaves |
|---|---|---|---|---|---|
| Phenolic acids | |||||
| Gallic acid | 22.91 ± 0.08 a | 17.14 ± 0.09 b | 10.97 ± 0.12 d | 11.40 ± 0.13 c | - |
| Protocatechuic acid | 12.24 ± 0.13 b | 1.08 ± 0.01 d | 7.72 ± 0.15 c | 24.76 ± 0.08 a | 8.99 ± 1.26 c |
| Vanillic acid | 15.86 ± 0.98 a | 5.26 ± 0.21 c | 4.53 ± 0.67 d | 8.00 ± 0.50 b | - |
| Caffeic acid | 5.96 ± 1.41 a | 3.51 ± 0.98 bc | 1.28 ± 0.04 d | 2.49 ± 0.68 c | - |
| Syringic acid | 7.94 ± 1.55 a | 6.87 ± 0.99 a | 2.12 ± 0.09 b | 6.77 ± 0.34 a | - |
| Ferulic acid | - | - | - | - | 7.28 ± 1.34 |
| Isoferulic acid | - | - | - | - | 34.86 ± 2.13 |
| Sum | 64.91 | 33.86 | 26.62 | 53.42 | 51.13 |
| Phenylethanoids | |||||
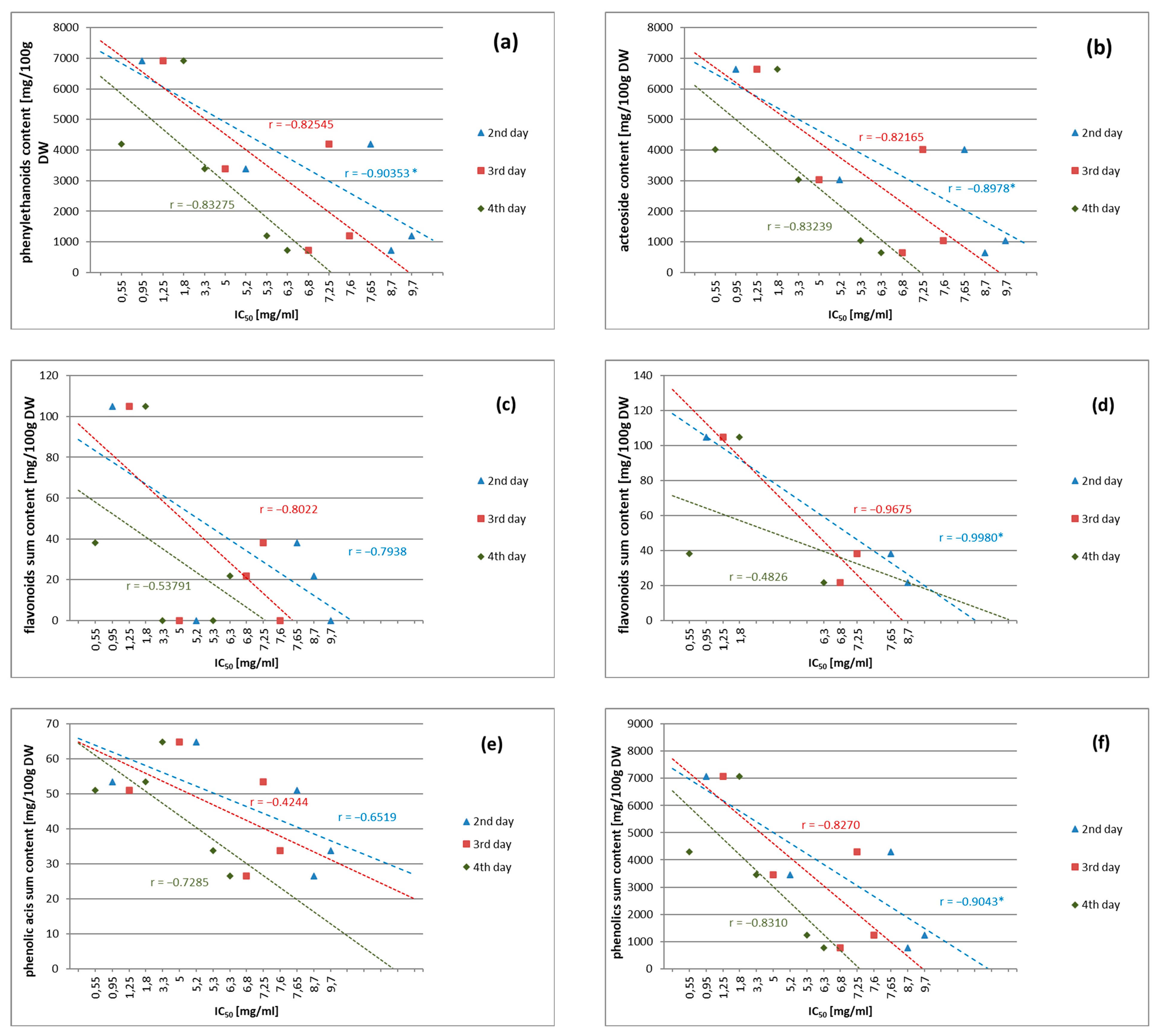
| Acteoside | 3034.11 ± 15.54 c | 1039.31 ± 9.18 d | 655.13 ± 5.16 e | 6641.70 ± 12.06 a | 4015.60 ± 40.2 b |
| Isoacteoside | 358.15 ± 7.03 a | 161.93 ± 6.42 d | 67.68 ± 2.50 e | 278.55 ± 4.64 b | 185.06 ± 8.08 c |
| Sum | 3392.26 | 1201.24 | 722.81 | 6920.25 | 4200.66 |
| Flavonoids | |||||
| Quercetin | - | - | 2.00 ± 0.12 | 11.95 ± 0.58 | 2.24 ± 0.68 |
| Isorhamnetin | - | - | 15.02 ± 0.65 | 82.33 ± 4.82 | - |
| Apigenin | - | - | 4.66 ± 0.29 | 10.57 ± 0.43 | 11.18 ± 0.39 |
| Luteolin | - | - | - | - | 1.23 ± 0.61 |
| Rutoside | - | - | - | - | 23.48 ± 0.61 |
| Sum | 0 | 0 | 21.68 | 104.85 | 38.16 |
| Sum of all compounds | 3457.17 | 1235.10 | 771.11 | 7078.52 | 4289.95 |
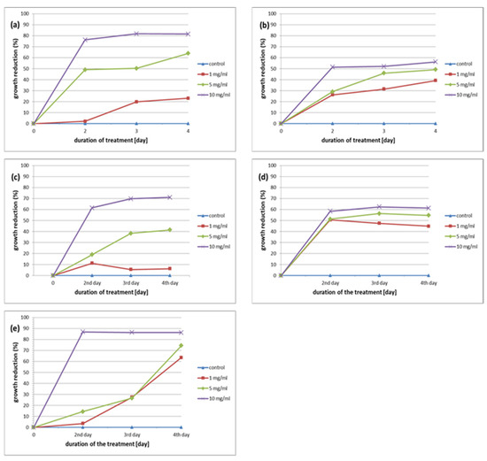
| Plant Material | Extract Concentration | Duration of Treatment [Days] | |||||
|---|---|---|---|---|---|---|---|
| 2nd Day | 3rd Day | 4th Day | |||||
| MN ± SD | % GI | MN ± SD | % GI | MN ± SD | % GI | ||
| Plantago media | control | 12.44 ± 2.22 | 0 | 22.94 ± 3.39 | 0 | 28.38 ± 4.33 | 0 |
| in vitro shoots | 1 mg/mL | 12.18 ± 2.77 | 2.10 | 18.41 ± 4.31 | 19.75 | 21.82 ± 6.80 | 23.11 |
| 5 mg/mL | 6.33 ± 1.98 * | 49.06 | 11.42 ± 5.07 * | 50.22 | 10.25 ± 3.47 * | 63.89 | |
| 10 mg/mL | 2.94 ± 1.61 * | 76.27 | 4.20 ± 2.14 * | 81.70 | 5.27 ± 5.66 * | 81.44 | |
| Plantago media | control | 12.44 ± 2.22 | 0 | 18.94 ± 3.39 | 0 | 27.38 ± 4.33 | 0 |
| in vitro roots | 1 mg/mL | 9.18 ± 2.55 | 26.21 | 13.00 ± 2.94 | 31.37 | 16.67± 1.25 * | 39.12 |
| 5 mg/mL | 8.83 ± 1.67 | 29.02 | 10.25 ± 3.49 * | 45.89 | 13.91 ± 4.46 * | 49.20 | |
| 10 mg/mL | 6.03 ± 1.91 * | 51.45 | 9.09 ± 2.35 * | 52.01 | 12.00 ± 2.52 * | 56.18 | |
| Plantago media | control | 12.12 ± 2.82 | 0 | 26.44 ± 6.04 | 0 | 28.00 ± 5.35 | 0 |
| inflorescences | 1 mg/mL | 10.76 ± 1.92 | 11.23 | 25.00 ± 4.97 | 5.45 | 26.27 ± 3.22 | 6.18 |
| 5 mg/mL | 9.83 ± 2.65 | 18.90 | 16.33 ± 3.73 * | 38.24 | 16.42 ± 4.35 * | 41.36 | |
| 10 mg/mL | 4.67 ± 2.38 * | 61.47 | 8.00 ± 2.47 * | 69.75 | 8.10 ± 3.97 * | 71.04 | |
| Plantago media | control | 12.12 ± 2.82 | 0 | 23.44 ± 6.04 | 0 | 32.00 ± 5.35 | 0 |
| leaves | 1 mg/mL | 6.00 ± 1.97 * | 50.50 | 12.33 ± 3.89 * | 47.40 | 17.67 ± 5.03 * | 44.79 |
| 5 mg/mL | 5.91 ± 1.73 * | 51.24 | 10.25 ± 3.92 * | 56.28 | 14.50 ± 4.03 * | 54.69 | |
| 10 mg/mL | 5.05 ± 2.39 * | 58.34 | 8.81 ± 3.43 * | 62.42 | 12.40 ± 3.88 * | 61.25 | |
| Plantago lanceolata | control | 10.11 ± 2.05 | 0 | 25.72 ± 4.36 | 0 | 38.39 ± 7.77 | 0 |
| leaves | 1 mg/mL | 9.76 ± 2.60 | 3.47 | 18.67 ± 4.88 | 27.42 | 14.00 ± 5.18 * | 63.54 |
| 5 mg/mL | 8.67 ± 1.97 | 14.25 | 16.35 ± 4.83 * | 26.57 | 10.25 ± 3.47 * | 74.31 | |
| 10 mg/mL | 1.33 ± 0.94 * | 86.85 | 3.51 ± 2.32 * | 86.35 | 5.27 ± 5.66 * | 86.27 | |
| IC50 | P. media In-Vitro -Derived Shoots | P. media In-Vitro -Derived Roots | P. media Inflorescences | P. media Leaves | P. lanceolata Leaves |
|---|---|---|---|---|---|
| 2nd day | 5.20 | 9.70 | 8.70 | 0.95 | 7.65 |
| 3rd day | 5.00 | 7.60 | 6.80 | 1.25 | 7.25 |
| 4th day | 3.30 | 5.30 | 6.30 | 1.80 | 0.55 |
| Plant Species | IC50 on 2nd Day | References |
|---|---|---|
| Plantago media L. | Water-soluble fr of MeOH extract from leaves of intact plants, 0.95 mg/mL Water-soluble fr of MeOH extract leaves of in vitro plants, 5.20 mg/mL | This work |
| Salvia sclarea L. | Ferruginol 0.05 mg/mL Salvipisone 0.4 mg/mL | [45] |
| Pterocaulon polystachyum DC | Essential oil 10 mg/mL | [46] |
| Artemisia argyi Levl. et Vant. | MeOH extract 37.4 mg/mL (8 h) | [47] |
| Artemisia annua L. | MeOH extract 12.5 mg/mL Artemisinin 0.12 mg/mL | [34] |
| Buddleya cordata H.B.K. | N.R. amoebostatic at 32 mg/mL | [49] |
| Camelia sinensis (L.) Kuntze | N.R. 50% brew | [50] |
| Eryngium planum L. | N.R. 50% inh. 5 mg/mL | [33,51] |
| Rubus chamaemorus L. | MeOH extract > 0.05 mg/mL | [32] |
| Pueraria lobata (Willd.) | MeOH extract > 0.01 mg/mL | [32] |
| Solidago virgaurea L. | MeOH extract > 0.01 mg/mL | [32] |
| Solidago graminifolia Elliott. | MeOH extract > 0.05 mg/mL | [32] |
| Teucrium polium L. | MeOH extract 60% inh. 16 mg/mL | [52] |
| Teucrium chamaedrys L. | MeOH extract 53% inh. 8 mg/mL | [52] |
| Lychnis flos-cuculi L. | 40% fr MeOH herb extract > 1.0 mg/mL 80% fr MeOH herb extract > 1.0 mg/mL 40% fr MeOH root extract > 5.0 mg/mL 80% fr MeOH root extract > 0.5 mg/mL 20-hydroxyecdysone > 0.5 mg/mL Polypodine B > 0.5 mg/mL | [54] |
| Chaenomeles japonica L. | EtOH fruit extract 6.25 mg/mL EtOH leaves extract 1.80 mg/mL EtOH leaves (in vitro) extract 0.3 mg/mL EtOH callus extract 2.30 mg/mL | [55] |
| Centaurea bella Trautv. | EtOH extract 0.61 mg/mL | [53] |
| Centaurea daghestanica Sosn. | EtOH extract 0.86 mg/mL | [53] |
| Rhaponticum pulchrum Fisch. Et Mey | EtOH extract > 10 mg/mL | [53] |
| Tanacetum vulgare L. | EtOH extract 0.64 mg/mL | [53] |
Disclaimer/Publisher’s Note: The statements, opinions and data contained in all publications are solely those of the individual author(s) and contributor(s) and not of MDPI and/or the editor(s). MDPI and/or the editor(s) disclaim responsibility for any injury to people or property resulting from any ideas, methods, instructions or products referred to in the content. |
© 2023 by the authors. Licensee MDPI, Basel, Switzerland. This article is an open access article distributed under the terms and conditions of the Creative Commons Attribution (CC BY) license (https://creativecommons.org/licenses/by/4.0/).
Share and Cite
Budzianowska, A.; Derda, M.; Budzianowski, J.; Szopa, A.; Kikowska, M. Comparative Study of Plantago media Extracts in the Treatment of Acanthamoeba sp. Trophozoites. Appl. Sci. 2023, 13, 7075. https://doi.org/10.3390/app13127075
Budzianowska A, Derda M, Budzianowski J, Szopa A, Kikowska M. Comparative Study of Plantago media Extracts in the Treatment of Acanthamoeba sp. Trophozoites. Applied Sciences. 2023; 13(12):7075. https://doi.org/10.3390/app13127075
Chicago/Turabian StyleBudzianowska, Anna, Monika Derda, Jaromir Budzianowski, Agnieszka Szopa, and Małgorzata Kikowska. 2023. "Comparative Study of Plantago media Extracts in the Treatment of Acanthamoeba sp. Trophozoites" Applied Sciences 13, no. 12: 7075. https://doi.org/10.3390/app13127075
APA StyleBudzianowska, A., Derda, M., Budzianowski, J., Szopa, A., & Kikowska, M. (2023). Comparative Study of Plantago media Extracts in the Treatment of Acanthamoeba sp. Trophozoites. Applied Sciences, 13(12), 7075. https://doi.org/10.3390/app13127075






