Sign in to use this feature.

Years

Between: -

Subjects

remove_circle_outline
remove_circle_outline
remove_circle_outline
remove_circle_outline
remove_circle_outline
remove_circle_outline
remove_circle_outline
remove_circle_outline
remove_circle_outline

Journals

remove_circle_outline
remove_circle_outline
remove_circle_outline
remove_circle_outline
remove_circle_outline
remove_circle_outline
remove_circle_outline
remove_circle_outline
remove_circle_outline
remove_circle_outline
remove_circle_outline
remove_circle_outline
remove_circle_outline
remove_circle_outline
remove_circle_outline
remove_circle_outline
remove_circle_outline
remove_circle_outline

Article Types

Countries / Regions

remove_circle_outline
remove_circle_outline
remove_circle_outline
remove_circle_outline
remove_circle_outline
remove_circle_outline
remove_circle_outline
remove_circle_outline
remove_circle_outline

Search Results (7,016)

Search Parameters:
Keywords = plant phenolics

Order results
Result details
Results per page
Select all
Export citation of selected articles as:
65 pages, 861 KB  
Review
Fermented Plant-Based Foods and Postbiotics for Glycemic Control—Microbial Biotransformation of Phytochemicals
by Emilia Cevallos-Fernández, Elena Beltrán-Sinchiguano, Belén Jácome, Tatiana Quintana and Nadya Rivera
Molecules 2026, 31(2), 360; https://doi.org/10.3390/molecules31020360 - 20 Jan 2026
Abstract
Plant-based fermented foods are increasingly promoted for glycemic control, yet their mechanisms and clinical impact remain incompletely defined. This narrative review synthesizes mechanistic, preclinical, and human data for key matrices—kimchi and other fermented vegetables, tempeh/miso/natto, and related legume ferments, kombucha and fermented teas, [...] Read more.
Plant-based fermented foods are increasingly promoted for glycemic control, yet their mechanisms and clinical impact remain incompletely defined. This narrative review synthesizes mechanistic, preclinical, and human data for key matrices—kimchi and other fermented vegetables, tempeh/miso/natto, and related legume ferments, kombucha and fermented teas, plant-based kefir, and cereal/pulse sourdoughs. Across these systems, microbial β-glucosidases, esterases, tannases, and phenolic-acid decarboxylases remodel polyphenols toward more bioaccessible aglycones and phenolic acids, while lactic and acetic fermentations generate organic acids, exopolysaccharides, bacterial cellulose, γ-polyglutamic acid, γ-aminobutyric acid, and bioactive peptides. We map these postbiotic signatures onto proximal mechanisms—α-amylase/α-glucosidase inhibition, viscosity-driven slowing of starch digestion, gastric emptying and incretin signaling, intestinal-barrier reinforcement, and microbiota-dependent short-chain–fatty-acid and bile-acid pathways—and their downstream effects on AMPK/Nrf2 signaling and the gut–liver axis. Animal models consistently show improved glucose tolerance, insulin sensitivity, and hepatic steatosis under fermented vs. non-fermented diets. In humans, however, glycemic effects are modest and highly context-dependent: The most robust signal is early postprandial attenuation with γ-PGA-rich natto, strongly acidified or low-glycemic sourdough breads, and selected kombucha formulations, particularly in individuals with impaired glucose regulation. We identify major sources of heterogeneity (starters, process parameters, substrates, background diet) and safety considerations (sodium, ethanol, gastrointestinal symptoms) and propose minimum reporting standards and trial designs integrating metabolomics, microbiome, and host-omics. Overall, plant-based ferments appear best positioned as adjuncts within cardiometabolic dietary patterns and as candidates for “purpose-built” postbiotic products targeting early glycemic excursions and broader metabolic risk. Full article
(This article belongs to the Special Issue Phytochemistry, Antioxidants, and Anti-Diabetes)
Show Figures

Figure 1

19 pages, 1980 KB  
Article
The Addition of Extra-Virgin Olive Oil Enhances the Antioxidant Capacity, Nutritional Quality, and Sensory Attributes of Vegetable Patties Prepared Using Different Cooking Methods
by Andrés Bustamante, Consuelo Valle, Francisca Echeverría, Elva Gonzales, Mónica Cabrales, Camila Farias, Yasna Muñoz, Beatriz Reyes, Lorena Mercado-López and Rodrigo Valenzuela
Foods 2026, 15(2), 366; https://doi.org/10.3390/foods15020366 - 20 Jan 2026
Abstract
The growing demand for healthier and more sustainable foods has driven interest in plant-based formulations with improved nutritional and sensory quality. In this context, this study evaluated the effect of extra-virgin olive oil (EVOO) addition and different cooking methods (baking, air-frying, and deep-frying) [...] Read more.
The growing demand for healthier and more sustainable foods has driven interest in plant-based formulations with improved nutritional and sensory quality. In this context, this study evaluated the effect of extra-virgin olive oil (EVOO) addition and different cooking methods (baking, air-frying, and deep-frying) on the nutritional composition, fatty acid profile, total polyphenol content (TPC), antioxidant capacity (ORAC, FRAP, and DPPH), and sensory acceptability of vegetable patties. Patties were prepared with or without EVOO and cooked using the three methods. Deep-frying markedly increased fat content (45–75%), whereas baking and air-frying effectively limited oil absorption (0–10%). EVOO addition increased monounsaturated fatty acids, particularly oleic acid (37.2 g/100 g DW), and enhanced the transfer of phenolic compounds to the patties. Deep-fried, EVOO-enriched samples showed the highest TPC (3.93–5.22 mg GAE/100 g DW), while raw patties exhibited the highest ORAC values (5.17–6.02 µmol TE/100 g DW). Sensory evaluation indicated that EVOO-enriched patties achieved the highest overall preference when air-fried or baked (77–89%). Overall, enriching EVOO with less oil-intensive cooking methods improved the lipid profile, antioxidant capacity, and sensory quality of vegetable patties. These findings should be interpreted within the context of a single frying cycle representative of domestic cooking practices and a sensory evaluation conducted with an untrained panel mainly composed of young adults. Full article
Show Figures

Graphical abstract

20 pages, 1448 KB  
Article
Exogenous Melatonin Modulates Drought Response and Recovery in Wheat with Contrasting Grain Colour
by Martin Zelený, Kamil Kraus, Tomáš Müller and Helena Hniličková
Agronomy 2026, 16(2), 237; https://doi.org/10.3390/agronomy16020237 - 20 Jan 2026
Abstract
Melatonin is recognised as a multifunctional regulatory molecule that enhances plant tolerance to abiotic stresses, but its effectiveness is often strongly genotype-dependent. This study aimed to elucidate how exogenous melatonin (200 µM) modulates the physiological and biochemical responses of wheat during drought and [...] Read more.
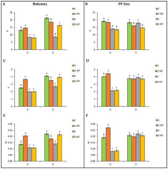
Melatonin is recognised as a multifunctional regulatory molecule that enhances plant tolerance to abiotic stresses, but its effectiveness is often strongly genotype-dependent. This study aimed to elucidate how exogenous melatonin (200 µM) modulates the physiological and biochemical responses of wheat during drought and subsequent recovery in two genotypes with contrasting grain pigmentation: the standard cv. Bohemia (red grain) and an experimental purple-pericarp (PP) line. Plants were exposed to drought at the early vegetative stage (BBCH 15), and gas exchange, leaf water potential, and biochemical markers (proline, malondialdehyde, phenolics, and flavonoids) were assessed during drought and after rehydration. In cv. Bohemia, water deficit led to a pronounced decrease in CO2 assimilation, stomatal conductance, and leaf water potential, accompanied by strong increases in proline (Pro) and malondialdehyde (MDA). Melatonin application in this genotype markedly reduced the accumulation of Pro and MDA and accelerated the recovery of gas exchange, indicating a significant protective effect. The lower Pro levels in melatonin-treated Bohemia plants suggest that melatonin mitigated the perceived stress intensity, thereby reducing the physiological demand for osmotic adjustment. In contrast, the PP line exhibited higher inherent stability of the photosynthetic apparatus and more moderate biochemical shifts; its recovery was almost complete and independent of melatonin. Overall, these results indicate that the functional benefit of exogenous melatonin is greater in genotypes with a lower intrinsic stress-buffering capacity. This study highlights the importance of considering constitutive genotype traits and the recovery phase when using physiological regulators to improve wheat drought resilience. Full article
Show Figures

Figure 1

27 pages, 2278 KB  
Article
Germination as a Sustainable Green Pre-Treatment for the Recovery and Enhancement of High-Value Compounds in Broccoli and Kale
by Christine (Neagu) Dragomir, Corina Dana Misca, Sylvestre Dossa, Daniela Stoin, Ariana Velciov, Călin Jianu, Isidora Radulov, Mariana Suba, Catalin Ianasi and Ersilia Alexa
Molecules 2026, 31(2), 350; https://doi.org/10.3390/molecules31020350 - 19 Jan 2026
Abstract
Germination is widely recognized as an effective strategy to enhance the nutritional quality and reduce anti-nutritional factors in plant foods. This study evaluated the impact of germination on Cruciferous vegetables (family Cruciferae or Brassicaceae) broccoli and kale by assessing changes in proximate [...] Read more.
Germination is widely recognized as an effective strategy to enhance the nutritional quality and reduce anti-nutritional factors in plant foods. This study evaluated the impact of germination on Cruciferous vegetables (family Cruciferae or Brassicaceae) broccoli and kale by assessing changes in proximate composition, macro- and microelement profiles, total and individual polyphenols, phytic acid content, antimicrobial activity, and structural characteristics using Fourier Transform Infrared Spectroscopy (FTIR) and Small- and Wide-Angle X-ray Scattering (SAXS/WAXS) analyses. Germination significantly increased protein content (30.33% in broccoli sprouts and 30.21% in kale sprouts), total phenolic content (424.40 mg/100 g in broccoli sprouts and 497.94 mg/100 g in kale sprouts), and essential minerals, while reducing phytic acid levels in both species (up to 82.20%). Antimicrobial effects were matrix-dependent, being detected in broccoli and kale seed powders, while no inhibitory activity was observed for the corresponding sprout powders under the tested conditions. FTIR spectra indicated notable modifications in functional groups related to carbohydrates, proteins, and phenolic compounds, while SAXS analysis revealed structural reorganizations at the nanoscale. Overall, germination improved the nutritional and phytochemical quality of broccoli and kale while decreasing anti-nutritional compounds, highlighting its potential to enhance the health-promoting value of Brassica sprouts. Full article
Show Figures

Figure 1

16 pages, 530 KB  
Article
Applications of Spectroscopy in the Study of Bioactive Compounds from Cornus mas L.
by Carmen Mihaela Topală, Loredana Elena Vijan, Oana Hera and Monica Sturzeanu
Appl. Sci. 2026, 16(2), 1007; https://doi.org/10.3390/app16021007 - 19 Jan 2026
Abstract
Five Cornus mas L. genotypes were analysed based on their attractive colour and high productivity. The ‘Bordo’ cultivar stood out, demonstrating the highest berry weight (3.07 g) and yield per plant (8.24 kg). Close behind was the MH-7-17 selection, with an average yield [...] Read more.
Five Cornus mas L. genotypes were analysed based on their attractive colour and high productivity. The ‘Bordo’ cultivar stood out, demonstrating the highest berry weight (3.07 g) and yield per plant (8.24 kg). Close behind was the MH-7-17 selection, with an average yield of 7.37 kg per plant. Both the ‘Bordo’ cultivar and the MH-7-17 selection exhibited excellent agronomic potential, making them ideal candidates for large-scale cultivation. UV-Vis absorption spectroscopy was used to quantify the fruits’ levels of sugars, polyphenols, flavonoids, tannins, anthocyanins and carotenoids (lycopene and β-carotene) and to evaluate their antioxidant capacity. The ‘Bordo’ cultivar had the highest carotenoid content (0.88 mg lycopene and 2.47 mg β-carotene per 100 g), while the TG-J-9-17 and TG-J-20-17 selections had the highest total content of sugars, polyphenols, flavonoids, tannins and anthocyanins and the highest antioxidant capacity. According to the correlations analysis, bigger fruit (which correlated to higher yield) had higher carotenoid content, although lower-level tannin (TTC), flavonoid (TFC), anthocyanin (TAC), and sugar (TSC). Also, total phenolic content (TPC) was positively correlated to TTC, TFC, and radical scavenging activity (RSA), while TFC was positively correlated to TTC, TAC, RSA, but also to TSC. Other positive correlations were those found between TTC and RSA and between lycopene and β-carotene. FTIR spectroscopy was used to identify the characteristic vibrations of the biochemical constituents. Processing the FTIR data using chemometric techniques (principal component analysis and hierarchical clustering analysis) revealed consistent clustering patterns between samples with similar characteristics. Full article
Show Figures

Figure 1

31 pages, 3414 KB  
Article
Biological Characterization and Essential Oil Profiles of Eastern European Cultivars of Thymus, Satureja, and Monarda
by Katarzyna Pokajewicz, Monika Chodura, Hayet Ahlem Lezrag, Liudmyla Svydenko, Małgorzata Nabrdalik, Ewa Moliszewska, Sofiane Fatmi, Nataliia Hudz and Piotr P. Wieczorek
Molecules 2026, 31(2), 338; https://doi.org/10.3390/molecules31020338 - 19 Jan 2026
Abstract
Thymus, Satureja, and Monarda are three plant genera, belonging to the Lamiaceae family, that are particularly valued for their essential oils (EOs) abundant in phenolic terpenoids. In this study, a botanical characterization of the following eight Eastern European cultivars (some of [...] Read more.
Thymus, Satureja, and Monarda are three plant genera, belonging to the Lamiaceae family, that are particularly valued for their essential oils (EOs) abundant in phenolic terpenoids. In this study, a botanical characterization of the following eight Eastern European cultivars (some of them newly bred) grown in Ukraine is distinguished: Thymus vulgaris (‘Yalos’, ‘101’), Thymus richardii (‘Fantasia’), Satureja montana (‘Krymsky smaragd’, ‘Lunata’, ‘4-18’), Monarda fistulosa (‘Premiera’), and Monarda × hybrida hort., which is a Monarda didyma × Monarda fistulosa hybrid (‘Tonya’). The EO of those cultivars was obtained and characterized in detail using GC-MS and GC-FID. Additionally, some biological activities of these oils were tested. Antimicrobial activity was verified against Escherichia coli, Staphylococcus aureus, and Candida albicans using disk diffusion and microdilution methods. Furthermore, some preliminary tests were performed on the motility of bull sperm using the CASA system. All the Thymus cultivars were very rich in thymol (57.99–67.62%), and all the S. montana cultivars were very abundant in carvacrol (62.22–75.53%). M. fistulosa cv. ‘Premiera’ contained mainly thymol (49.87%), and M. × hybrida cv. ‘Tonya’ contained both thymol (46.70%) and carvacrol (10.37%). All the tested EOs, as well as thymol and carvacrol, exhibited strong antibacterial and antifungal action with minimal inhibitory concentrations ranging from <0.25–0.5 mg/mL for Satureja, through <0.25–0.5 mg/mL for Monarda, to 0.5–4 mg/mL for Thymus. The EOs, at a concentration of 0.4 µL/mL, exhibited cytotoxicity towards bull spermatozoa when compared to the control sample. Full article
(This article belongs to the Section Natural Products Chemistry)
Show Figures

Figure 1

19 pages, 1214 KB  
Article
Primary Fermentation in Wine Production Influence on Phenolic Retention and Valorization Potential of Berry Skin By-Products
by Audrone Ispiryan and Elvyra Jarienė
Plants 2026, 15(2), 296; https://doi.org/10.3390/plants15020296 - 19 Jan 2026
Abstract
Berry skins are rich in phenolic compounds but are commonly discarded as low-value waste during berry wine production. The present study evaluated how primary alcoholic fermentation affects the retention and transformation of phenolics in berry skins of blackcurrant (Ribes nigrum L.), black [...] Read more.
Berry skins are rich in phenolic compounds but are commonly discarded as low-value waste during berry wine production. The present study evaluated how primary alcoholic fermentation affects the retention and transformation of phenolics in berry skins of blackcurrant (Ribes nigrum L.), black chokeberry (Aronia melanocarpa L.), lingonberry (Vaccinium vitis-idaea L.), rowanberry (Sorbus aucuparia L.), and cranberry (Vaccinium macrocarpon L.). Non-fermented and fermented skin fractions were analysed using Folin–Ciocalteu and HPLC to determine total and individual phenolic profiles. Primary fermentation induced significant species-dependent changes in phenolic composition. Blackcurrant, lingonberry, and rowanberry skins exhibited substantial decreases in total phenolics (−66%, −26%, and −57%, respectively), driven by strong losses of flavan-3-ols and hydroxycinnamic acids. In contrast, cranberry and chokeberry skins showed net increases in phenolic content (+47% and +18%, respectively), associated with the release of bound phenolics and the appearance of new low-molecular-weight phenolic acids such as gallic acid. Across all species, fermentation enhanced biotransformation into simpler phenolics while reducing major native anthocyanins and catechins. These results demonstrate that the influence of primary fermentation on berry skins is not uniform but dictated by their inherent phenolic architecture. Berries rich in polymeric or conjugated phenolics benefit from fermentation through increased phenolic extractability. The findings provide a comparative basis for optimizing fermentation and post-processing strategies to enhance the valorization potential of berry by-products in food and nutraceutical applications. Full article
(This article belongs to the Section Phytochemistry)
Show Figures

Figure 1

18 pages, 5948 KB  
Article
Root and Leaf-Specific Metabolic Responses of Ryegrass to Arbuscular Mycorrhizal Fungi Under Cadmium Stress
by Dapeng Jin, Lingyu Xin, Panpan Tu, Huiping Song, Yan Zou, Zhiwei Bian and Zhengjun Feng
J. Fungi 2026, 12(1), 74; https://doi.org/10.3390/jof12010074 - 19 Jan 2026
Abstract
Cadmium (Cd) drastically inhibits plant growth and metabolism, whereas arbuscular mycorrhizal (AM) fungi can enhance plant Cd tolerance through metabolic regulation. To clarify tissue-specific responses, we conducted a pot experiment combined with GC-MS to examine how AM fungi influence root and leaf metabolism [...] Read more.
Cadmium (Cd) drastically inhibits plant growth and metabolism, whereas arbuscular mycorrhizal (AM) fungi can enhance plant Cd tolerance through metabolic regulation. To clarify tissue-specific responses, we conducted a pot experiment combined with GC-MS to examine how AM fungi influence root and leaf metabolism of ryegrass (Lolium perenne L.) under different Cd levels. Root and leaf metabolomes diverged substantially in composition and function. In total, 83 metabolites were identified in roots, mainly phenolics, amines, and sugars associated with carbon–nitrogen metabolism and stress-defense pathways, whereas 75 metabolites were identified in leaves, largely related to photosynthetic metabolism. Roots were more sensitive to Cd, showing significant metabolic alterations at Cd ≥ 5 mg·kg−1, including disruption of galactose metabolism, while leaves exhibited notable changes only at Cd ≥ 100 mg·kg−1, with suppression of citrate, L-aspartate, and starch and sucrose metabolism. AM fungi modulated plant metabolism more strongly under Cd stress. Specifically, AM fungi restored Cd-suppressed galactose and glyoxylate/dicarboxylate metabolism in roots, enhanced starch and sucrose metabolism and amino acid pathways in leaves, and increased stress-related amino acids and organic acids in both tissues. Overall, AM fungi substantially alleviated Cd-induced metabolic inhibition, particularly at Cd ≥ 50 mg·kg−1, providing mechanistic insight into AM-enhanced Cd tolerance and supporting the application of AM symbiosis in remediation of Cd-contaminated soils. Full article
(This article belongs to the Section Environmental and Ecological Interactions of Fungi)
Show Figures

Figure 1

15 pages, 1635 KB  
Article
Chemical and Molecular Insights into the Arid Wild Plant Diversity of Saudi Arabia
by Najla A. Al Shaye
Plants 2026, 15(2), 295; https://doi.org/10.3390/plants15020295 - 19 Jan 2026
Abstract
Arid and semi-arid ecosystems harbor a wealth of underexplored plant biodiversity with untapped ecological and pharmacological potential. This study integrates morphological and molecular barcoding (ITS and rbcL) to confirm the identity of eight wild plant species native to the Saudi Arabian desert: Calligonum [...] Read more.
Arid and semi-arid ecosystems harbor a wealth of underexplored plant biodiversity with untapped ecological and pharmacological potential. This study integrates morphological and molecular barcoding (ITS and rbcL) to confirm the identity of eight wild plant species native to the Saudi Arabian desert: Calligonum crinitum, Tribulus terrestris, Cornulaca monacantha, Cleome pallida, Leptadenia pyrotechnica, Cyperus conglomeratus, Indigofera argentea, and Artemisia monosperma. High-resolution GC–MS analysis identified over 25 bioactive compounds across these taxa, grouped into functional classes including hydrocarbons, esters, fatty acids, quinones, terpenoids, and phenolics. Notable compounds such as n-hexadecanoic acid, 2,4-di-tert-butylphenol, lupeol, and D-limonene were linked to antioxidant activity, desiccation tolerance, and membrane protection under stress. L. pyrotechnica and A. monosperma emerged as chemical outliers with unique metabolite profiles, suggesting divergent strategies for climate resilience. Our results highlight the ecological and bioeconomic value of desert flora, positioning them as candidates for future research in metabolic engineering, dryland restoration, and plant-based pharmaceuticals. This integrative approach underscores the relevance of desert plants for sustainable development in the face of climate change. Full article
(This article belongs to the Special Issue Medicinal Plants: Phytochemistry and Pharmacology Studies)
Show Figures

Figure 1

28 pages, 6020 KB  
Article
Comprehensive Morpho-Functional Profiling of Peruvian Andean Capsicum pubescens Germplasm Reveals Promising Accessions with High Agronomic and Nutraceutical Value
by Erick Leao Salas-Zeta, Katherine Lisbeth Bernal-Canales, Andrea Delgado-Lazo, Gonzalo Pacheco-Lizárraga, Marián Hermoza-Gutiérrez, Hector Cántaro-Segura, Elizabeth Fernandez-Huaytalla, Dina L. Gutiérrez-Reynoso, Fredy Quispe-Jacobo and Karina Ccapa-Ramirez
Plants 2026, 15(2), 288; https://doi.org/10.3390/plants15020288 - 17 Jan 2026
Viewed by 124
Abstract
Capsicum pubescens (rocoto) is an Andean domesticate with notable agronomic and nutraceutical potential, yet it remains underrepresented in chili pepper breeding programs. In this study, 78 accessions from the Peruvian Andes were evaluated in a single field environment during the 2024 growing season [...] Read more.
Capsicum pubescens (rocoto) is an Andean domesticate with notable agronomic and nutraceutical potential, yet it remains underrepresented in chili pepper breeding programs. In this study, 78 accessions from the Peruvian Andes were evaluated in a single field environment during the 2024 growing season for 28 variables spanning plant architecture, phenology and yield, color (CIELAB), weight, fruit morphology, physicochemical variables, and functional phytochemicals, including total phenolics, carotenoids, ascorbic acid, capsaicinoids, and antioxidant activity (FRAP, DPPH, ABTS). Descriptive analyses revealed broad phenotypic diversity in key variables such as yield and bioactive compounds. Spearman correlations uncovered a clear modular structure, with strong within-domain associations across morphological, chromatic, and biochemical variables, and statistically significant but low-magnitude cross-domain associations (e.g., fruit length with pungency, redness with total phenolics). Principal component analysis and hierarchical clustering resolved three differentiated phenotypic profiles: (i) low-pungency accessions with high soluble solids and varied fruit colors; (ii) highly pungent materials with elevated antioxidant capacity; and (iii) large, red-fruited accessions with considerable carotenoid content and high moisture. This multivariate architecture revealed weak cross-block correlations among agronomic, color, and functional traits, enabling selection of promising accessions combining desirable agronomic attributes and favorable bioactive profiles in specific accessions. These results provide a quantitative foundation for future breeding strategies in C. pubescens, opening concrete opportunities to develop improved cultivars that simultaneously meet productivity and functional quality criteria. Full article
Show Figures

Figure 1

23 pages, 1473 KB  
Article
Natural Dyes and Antioxidant Compounds from Safflower (Carthamus tinctorius L.) Florets: The Effects of Genotype and Sowing Time
by Clarissa Clemente, Silvia Tavarini, Shaula Antoni, Silvia Zublena, Luciana G. Angelini and Ilaria Degano
Plants 2026, 15(2), 282; https://doi.org/10.3390/plants15020282 - 17 Jan 2026
Viewed by 162
Abstract
Safflower (Carthamus tinctorius L.) is increasingly attracting the attention of Mediterranean farmers due to its broad environmental adaptability and low input requirements. Although still relatively underexplored, this species holds remarkable potential as a source of natural dyes and bioactive phytochemicals with recognized [...] Read more.
Safflower (Carthamus tinctorius L.) is increasingly attracting the attention of Mediterranean farmers due to its broad environmental adaptability and low input requirements. Although still relatively underexplored, this species holds remarkable potential as a source of natural dyes and bioactive phytochemicals with recognized health-promoting and phytotherapeutic properties. In this study, the effects of genotype and sowing time on safflower’s productive and qualitative traits were investigated by testing six genotypes and two sowing times (autumn and spring) in an open-field trial conducted in central Tuscany. The Pieve genotype achieved the highest floret dry yield per head, number of heads per plant, and total floret yield per plant, whereas the Montola 2000 genotype was distinguished by its elevated polyphenol concentration and pronounced antioxidant activity. Autumn sowing resulted in higher yields of bioactive pigments, including carthamin and yellow quinochalcones, alongside greater total phenolic content and antioxidant capacity. Conversely, spring sowing appeared to limit pigment biosynthesis, likely due to environmental stressors such as elevated temperature and excessive light exposure. Overall, these findings highlight the strong influence of genotype and sowing time on the accumulation of health-beneficial compounds in safflower. By optimizing these factors, safflower can be strategically valorized as a multipurpose crop in the Mediterranean region, combining economic and environmental sustainability with the production of natural compounds of high nutraceutical and phytotherapeutic value. Full article
(This article belongs to the Section Phytochemistry)
Show Figures

Figure 1

27 pages, 2235 KB  
Review
Phytochemical Diversity and Antimicrobial Potential of Fabaceae Species Occurring in Tamaulipas, Mexico: A Systematic Review
by Paulina Rachel Gutiérrez-Durán, Jorge Víctor Horta-Vega, Fabián Eliseo Olazarán-Santibáñez, Juan Flores-Gracia and Hugo Brígido Barrios-García
Plants 2026, 15(2), 278; https://doi.org/10.3390/plants15020278 - 16 Jan 2026
Viewed by 270
Abstract
Antimicrobial resistance represents a critical challenge to global public health, driving the search for bioactive compounds in medicinal plants. The Fabaceae family stands out for its chemical richness and pharmacological properties; however, in the state of Tamaulipas, Mexico—an area of high diversity due [...] Read more.
Antimicrobial resistance represents a critical challenge to global public health, driving the search for bioactive compounds in medicinal plants. The Fabaceae family stands out for its chemical richness and pharmacological properties; however, in the state of Tamaulipas, Mexico—an area of high diversity due to its location between the Nearctic and Neotropical regions—this flora remains largely unexplored. The objective of this review was to analyze the global scientific literature on the Fabaceae of Tamaulipas, integrating floristic records, phytochemistry, and antimicrobial activity. Of the 347 species recorded in the state, only 60 have phytochemical studies, and 43 have documented medicinal uses. The results show that extraction methods predominantly use polar solvents to isolate phenolic compounds, flavonoids, and alkaloids, which show efficacy against pathogens such as Staphylococcus aureus, Escherichia coli, and Candida albicans. Despite limited local ethnobotanical documentation, the potential demonstrated by these species in other regions positions Tamaulipas as a strategic reservoir. This review identifies research gaps and emphasizes the need for systematic studies that validate traditional uses and prioritize bioprospecting of the flora of northeastern Mexico for the development of new therapeutic alternatives. Full article
(This article belongs to the Section Phytochemistry)
Show Figures

Figure 1

16 pages, 3731 KB  
Article
Influence of Drying Temperature on Quality Characteristics and Drying Kinetics of Siraitia grosvenorii Fruit
by Li Li, Ting Gan, Lihong Xie, Ping Yi, Yuhan Long, Min Huang, Dan Luo, Lan Zhang, Fenglai Lu, Jian Sun and Dianpeng Li
Foods 2026, 15(2), 335; https://doi.org/10.3390/foods15020335 - 16 Jan 2026
Viewed by 104
Abstract
Siraitia grosvenorii fruit, a traditional medicinal and edible plant, undergoes significant alterations in quality and bioactive composition during the dehydration process. This study investigated the effects of hot-air drying at various temperatures on the physicochemical properties, antioxidant activity, and drying kinetics of S. [...] Read more.
Siraitia grosvenorii fruit, a traditional medicinal and edible plant, undergoes significant alterations in quality and bioactive composition during the dehydration process. This study investigated the effects of hot-air drying at various temperatures on the physicochemical properties, antioxidant activity, and drying kinetics of S. grosvenorii fruit. The drying process was terminated when fruit moisture content reached 15%, with corresponding drying durations of 420, 225, 144, 96, and 51 h at 40 °C, 50 °C, 60 °C, 70 °C and 80 °C, respectively. Among the ten mathematical models evaluated, the Midilli–Kucuk model provided the most accurate description of the drying kinetics of S. grosvenorii fruit. Quality analysis revealed that drying reduced the sugar/acid ratio, contents of mogrosides and ascorbic acid, while increasing total phenolic and flavonoid levels. Microstructural analysis revealed that higher temperatures increased drying rates by expanding the porosity of the pulp. Based on the retention of bioactive components and antioxidant capacity, 70 °C was identified as the optimal drying temperature. Overall, these findings suggest that oven-drying optimizes drying efficiency and ensures the retention of essential bioactive constituents in S. grosvenorii. Full article
Show Figures

Figure 1

18 pages, 1300 KB  
Article
Influence of Heat Treatment Prior to Fortification on Goitrogenic Compounds, Iodine Stability and Antioxidant Activity in Cauliflower
by Agata Jankowska, Monika Przeor, Katarzyna Waszkowiak and Krystyna Szymandera-Buszka
Foods 2026, 15(2), 315; https://doi.org/10.3390/foods15020315 - 15 Jan 2026
Viewed by 131
Abstract
Iodine deficiency remains a global public health concern. Preliminary studies confirmed that cauliflower can serve as a carrier for iodine salts. However, the influence of its endogenous goitrogenic compounds (phenolic compounds and glucosinolates) on iodine utilisation is not fully understood. This study aimed [...] Read more.
Iodine deficiency remains a global public health concern. Preliminary studies confirmed that cauliflower can serve as a carrier for iodine salts. However, the influence of its endogenous goitrogenic compounds (phenolic compounds and glucosinolates) on iodine utilisation is not fully understood. This study aimed to assess the potential for enhancing cauliflower’s effectiveness as an iodine carrier through various thermal pre-treatment methods, and to examine how these methods, along with the plant’s endogenous goitrogens, affect iodine stability. Cauliflower was cooked by steaming or boiling (covered or uncovered) and fortified with KI or KIO3. Iodine content, selected phenolic compounds (sinigrin, progoitrin, glucobrassicin, gluconapin, indole-3-carbinol) and antioxidant activity (ABTS●+, DPPH) were analysed immediately after fortification and after 90 days of storage at 4, 21, or 40 °C under controlled humidity and darkness. The results showed that both the heat-treatment method and storage temperature significantly affected iodine retention and were associated with changes in goitrogenic compounds and antioxidant capacity. Cauliflower demonstrated favourable stability as a carrier of iodine, although phytochemical composition influenced fortification outcomes. These findings suggest that the initial heat treatment of cauliflower significantly affects its effectiveness as a matrix for iodine fortification, likely due to differences in the content of goitrogenic compounds. Full article
Show Figures

Figure 1

17 pages, 825 KB  
Article
Gallic Acid, 3-Hydroxytyrosol, and Quercetin Modulate Cholinesterase Activity in Drosophila melanogaster
by Tugba Ucar Akyurek, Fatma Sezer Senol Deniz, Ilkay Erdogan Orhan, Memet Gozuboyuk, Gulnur Ipek Erdemli and Guzin Emecen
Int. J. Mol. Sci. 2026, 27(2), 859; https://doi.org/10.3390/ijms27020859 - 15 Jan 2026
Viewed by 123
Abstract
The current study investigates the modulatory effects of gallic acid (GA), 3-hydroxytyrosol (3-HT), and quercetin (QUE) on key cholinesterase enzymes using Drosophila melanogaster (fruit fly) head homogenates as a source of central cholinesterases following in vivo larval exposure. The choice of these plant [...] Read more.
The current study investigates the modulatory effects of gallic acid (GA), 3-hydroxytyrosol (3-HT), and quercetin (QUE) on key cholinesterase enzymes using Drosophila melanogaster (fruit fly) head homogenates as a source of central cholinesterases following in vivo larval exposure. The choice of these plant phenolics was predicated on their cholinesterase (ChE) inhibitory effect reported recently by our group. The study utilized D. melanogaster larvae subjected to varying doses of GA, 3-HT, and QUE, subsequently evaluating enzymatic activity of acetylcholinesterase (AChE) and butyrylcholinesterase (BChE). Galanthamine HBr was used as a positive control. All three phenolic compounds exhibited elevated ΔOD/min values for BChE inhibition compared to the negative control (ethanol). GA and QUE inhibited AChE, though with lower potency than galanthamine; at 1 mM, GA and QUE achieved 79.23% and 80.98% inhibition, respectively, compared to 98.34% for galanthamine. Interestingly, the effect of 3-HT on AChE was inversely related to the dose. The results indicate that GA and QUE modulate cholinesterase activity in vivo, consistent with our prior in vitro reports. This study also provides the first in vivo evidence of 3-HT’s ChE-modulating activity in Drosophila within a whole-organism model. Full article
Show Figures

Figure 1

Back to TopTop