Study of Oxygen Vacancies in TiO2 Nanostructures and Their Relationship with Photocatalytic Activity
Abstract
:1. Introduction
2. Materials and Methods
3. Results
3.1. Morphological and Topography Characterization
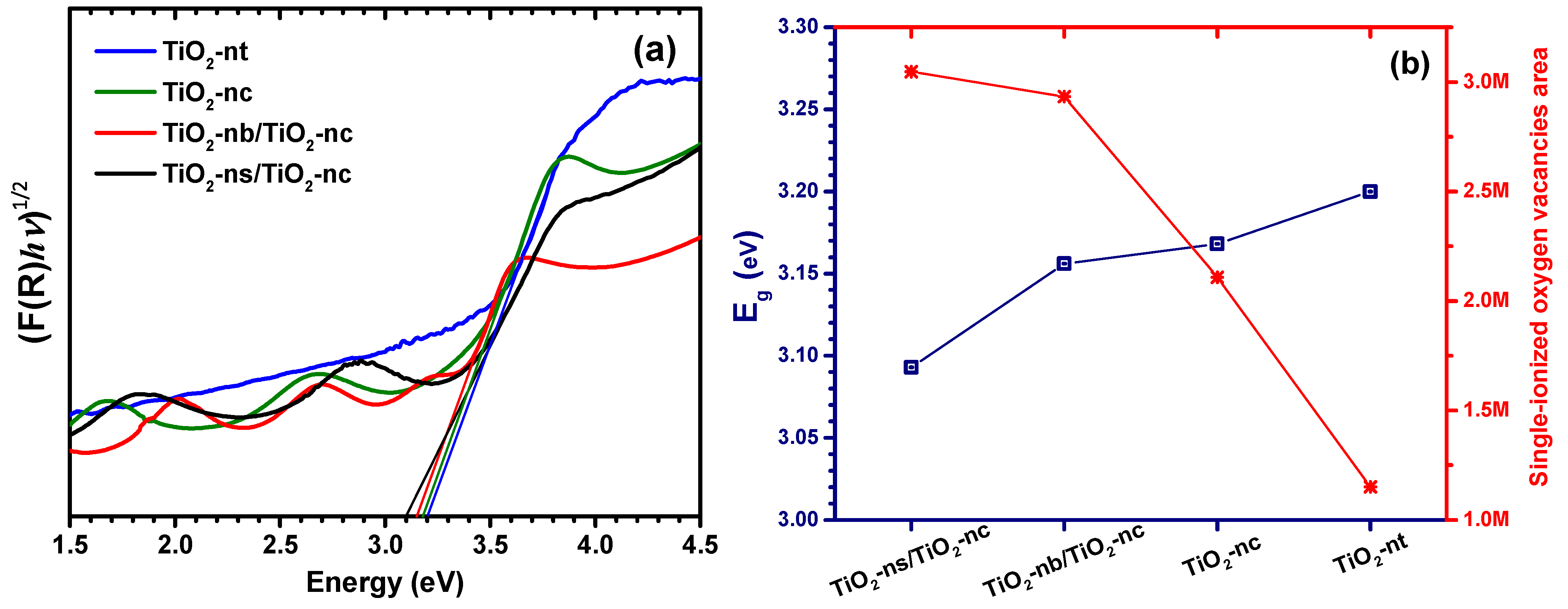
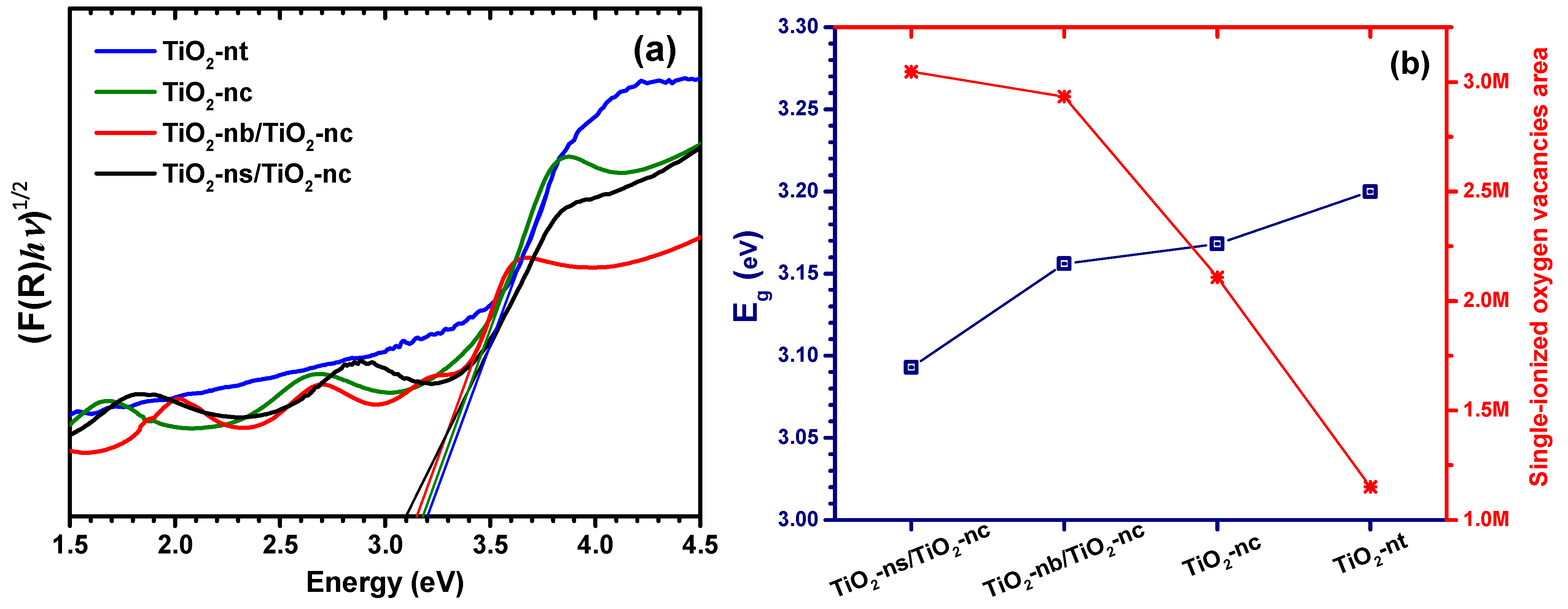
3.2. Optical Characterization
3.3. Structural Characterization
3.4. Catalysis Process Characterization
4. Conclusions
Supplementary Materials
Author Contributions
Funding
Institutional Review Board Statement
Informed Consent Statement
Data Availability Statement
Acknowledgments
Conflicts of Interest
References
- Chen, X.; Mao, S.S. Titanium Dioxide Nanomaterials: Synthesis, Properties, Modifications, and Applications. Chem. Rev. 2007, 107, 2891–2959. [Google Scholar] [CrossRef] [PubMed]
- Bagheri, S.; Shameli, K.; Hamid, S.B.A. Synthesis and Characterization of Anatase Titanium Dioxide Nanoparticles Using Egg White Solution via Sol-Gel Method. J. Chem. 2013, 2013, 848205. [Google Scholar] [CrossRef]
- Li, M.; Chen, Y.; Li, W.; Li, X.; Tian, H.; Wei, X.; Ren, Z.; Han, G. Ultrathin anatase TiO2 nanosheets for high-performance photocatalytic hydrogen production. Small 2017, 13, 1604115. [Google Scholar] [CrossRef] [PubMed]
- Loubet, N.; Hook, T.; Montanini, P.; Yeung, C.-W.; Kanakasabapathy, S. Stacked Nanosheet Gate-All-Around Transistor to Enable Scaling Beyond FinFET. In Proceedings of the 2017 Symposium on VLSI Technology, Kyoto, Japan, 5–8 June 2017; pp. T230–T231. [Google Scholar]
- Zhang, M.; Xiao, X.; Wang, X.; Chen, M.; Lu, Y.; Liu, M.; Chen, L. Excellent catalysis of TiO2 nanosheets with high-surface-energy {001} facets on hydrogen storage properties of MgH2. Nanoscale 2019, 11, 7465–7473. [Google Scholar] [CrossRef] [PubMed]
- Yang, L.; Kou, P.; He, N.; Dai, H.; He, S. Anomalous light trapping enhancement in a two-dimensional gold nanobowl array with an amorphous silicon coating. Opt. Express 2017, 25, 14115. [Google Scholar] [CrossRef]
- Wang, W.; He, Y.; Qi, L. High-efficiency colorful perovskite solar cells using TiO2 nanobowl arrays as a structured electron transport layer. Sci. China Mater. 2020, 63, 35–46. [Google Scholar] [CrossRef]
- Fan, H.; Cheng, M.; Wang, Z.; Wang, R. Layer-controlled Pt-Ni porous nanobowls with enhanced electrocatalytic performance. J. Colloid Interface Sci. 2019, 556, 140–146. [Google Scholar] [CrossRef]
- Shen, S.; Chen, J.; Wang, M.; Sheng, X.; Chen, X.; Feng, X.; Mao, S.S. Titanium dioxide nanostructures for photoelectrochemical applications. Prog. Mater. Sci. 2018, 98, 299. [Google Scholar] [CrossRef]
- Liang, F.; Luo, L.-B.; Tsang, C.-K.; Zheng, L.; Cheng, H.; Li, Y.Y. TiO2 nanotube-based field effect transistors and their application as humidity sensors. Mater. Res. Bull. 2012, 47, 54–58. [Google Scholar] [CrossRef]
- Montakhab, E.; Rashchi, F.; Sheibani, S. Modification and photocatalytic activity of open channel TiO2 nanotubes array synthesized by anodization process. Appl. Surf. Sci. 2020, 534, 147581. [Google Scholar] [CrossRef]
- Nie, X.; Yin, S.; Duan, W.; Zhao, Z.; Li, L.; Zhang, Z. Recent Progress in Anodic Oxidation of TiO2 Nanotubes and Enhanced Photocatalytic Performance: A Short Review. Nano 2021, 16, 2130002. [Google Scholar] [CrossRef]
- Fu, Y.; Mo, A. A Review on the Electrochemically Self-organized Titania Nanotube Arrays: Synthesis, Modifications, and Biomedical Applications. Nanoscale Res. Lett. 2018, 13, 187. [Google Scholar] [CrossRef]
- Nishanthi, S.T.; Iyyapushpam, S.; Sundarakannan, B.; Subramanian, E.; Padiyan, D.P. Inter-relationship between extent of anatase crystalline phase and photocatalytic activity of TiO2 nanotubes prepared by anodization and annealing method. Sep. Purif. Technol. 2014, 131, 102–107. [Google Scholar] [CrossRef]
- Choudhury, B.; Bayan, S.; Choudhury, A.; Chakraborty, P. Narrowing of band gap and effective charge carrier separation in oxygen deficient TiO2 nanotubes with improved visible light photocatalytic Activity. J. Colloid Interface Sci. 2016, 465, 1–10. [Google Scholar] [CrossRef] [PubMed]
- Arenas-Hernandez, A.; Zúñiga-Islas, C.; Torres-Jacome, A.; Mendoza-Cervantes, J.C. Self-organized and self-assembled TiO2 nanosheets and nanobowls on TiO2 nanocavities by electrochemical anodization and their properties. Nano Ex. 2020, 1, 010054. [Google Scholar] [CrossRef]
- Sopha, H.; Tesar, K.; Knotek, P.; Jäger, A.; Hromadko, L.; Macak, J.M. TiO2 nanotubes grown on Ti substrates with different microstructure. Mater. Res. Bull. 2018, 103, 197–204. [Google Scholar] [CrossRef]
- Yoo, J.E.; Schmuki, P. Critical factors in the anodic formation of extremely ordered titania nanocavities. J. Electrochem. Soc. 2019, 166, C3389–C3398. [Google Scholar] [CrossRef]
- Zhang, G.; Huang, H.; Zhang, Y.; Chan, H.L.W.; Zhou, L. Highly ordered nanoporous TiO2 and its photocatalytic properties. Electrochem. Commun. 2007, 9, 2854–2858. [Google Scholar] [CrossRef]
- Chong, B.; Yu, D.L.; Gao, M.Q.; Fan, H.W.; Yang, C.Y.; Ma, W.H.; Zhang, S.Y.; Zhu, X.F. Formation mechanism of gaps and ribs around anodic TiO2 nanotubes and method to avoid formation of ribs. J. Electrochem. Soc. 2015, 162, H244–H250. [Google Scholar] [CrossRef]
- Moreno, M.; Torres, A.; Ambrosio, R.; Zuniga, C.; Torres-Rios, A.; Monfil, K.; Rosales, P.; Itzmoyotl, A. Study of the effect of the deposition parameters on the structural, electric and optical characteristics of polymorphous silicon films prepared by low frequency PECVD. J. Mater. Sci. Eng. B 2011, 176, 1373–1377. [Google Scholar] [CrossRef]
- Xu, M.; Chen, Y.; Qin, J.; Feng, Y.; Li, W.; Chen, W.; Zhu, J.; Li, H.; Bian, Z. Unveiling the Role of Defects on Oxygen Activation and Photodegradation of Organic Pollutants. Environ. Sci. Technol. 2018, 52, 13879–13886. [Google Scholar] [CrossRef] [PubMed]
- Liu, F.; Lu, L.; Xiao, P.; He, H.; Qiao, L.; Zhang, Y. Effect of Oxygen Vacancies on Photocatalytic Efficiency of TiO2 Nanotubes Aggregation. Bull. Korean Chem. Soc. 2012, 33, 2255. [Google Scholar] [CrossRef]
- Rosales, M.; Zoltan, T.; Yadarola, C.; Mosquera, E.; Gracia, F.; García, A. The influence of the morphology of1D TiO2 nanostructures on photogeneration of reactive oxygen species and enhanced photocatalytic activity. J. Mol. Liq. 2019, 281, 59–69. [Google Scholar] [CrossRef]
- Pandiyan, R.; Bartali, R.; Micheli, V.; Gottardi, G.; Luciu, I.; Risticd, D.; Goget, G.A.; Ferrari, M.; Laidani, N. Influence of Nd3+ doping on the structural and near-IR photoluminescence properties of nanostructured TiO2 films. Energy Procedia 2011, 10, 167–171. [Google Scholar] [CrossRef]
- Arenas-Hernandez, A.; Zúñiga-Islas, C.; Mendoza-Cervantes, J.C. A study of the effect of morphology on the optical and electrical properties of TiO2 nanotubes for gas sensing applications. Eur. Phys. J. Appl. Phys. 2020, 90, 30102. [Google Scholar] [CrossRef]
- Amoresi, R.A.C.; Teodoro, V.; Teixeira, G.F.; Li, M.S.; Simões, A.Z.; Perazolli, L.A.; Longo, E.; Zaghete, M.A. Electrosteric colloidal stabilization for obtaining SrTiO3/TiO2 heterojunction: Microstructural evolution in the interface and photonics properties. J. Eur. Ceram. Soc. 2018, 38, 1621–1631. [Google Scholar] [CrossRef]
- Povolotskaya, A.V.; Povolotskiy, A.V.; Manshina, A.A. Hybrid nanostructures: Synthesis, morphology and functional properties. Russ. Chem. Rev. 2015, 84, 579–600. [Google Scholar] [CrossRef]
- Pasikhani, J.V.; Gilani, N.; Pirbazari, A.E. The effect of the anodization voltage on the geometrical characteristics and photocatalytic activity of TiO2 nanotube arrays. Nano-Struct. Nano-Objects. 2016, 8, 7–14. [Google Scholar] [CrossRef]
- Huang, W.; Wang, X.; Xue, Y.; Yang, Y.; Ao, X. Hybrid nanostructures of mixed-phase TiO2 for enhanced photoelectrochemical water splitting. RSC Adv. 2015, 5, 56098–56102. [Google Scholar] [CrossRef]
- Valeeva, A.A.; Kozlova, E.A.; Vokhmintsev, A.S.; Kamalov, R.V.; Dorosheva, I.B.; Saraev, A.A.; Weinstein, I.A.; Rempel, A.A. Nonstoichiometric titanium dioxide nanotubes with enhanced catalytical activity under visible light. Sci. Rep. 2018, 8, 9607. [Google Scholar] [CrossRef]
- Lamberti, A.; Chiodoni, A.; Shahzad, N.; Bianco, S.; Quaglio, M.; Pirri, C.F. Ultrafast room-temperature crystallization of TiO2 nanotubes exploiting water-vapor treatment. Sci. Rep. 2014, 5, 7808. [Google Scholar] [CrossRef] [PubMed]
- Ren, Y.; Shi, X.; Xia, P.; Li, S.; Lv, M.; Wang, Y.; Mao, Z. In Situ Raman Investigation of TiO2 Nanotube Array-Based Ultraviolet Photodetectors: Effects of Nanotube Length. Molecules 2020, 25, 1854. [Google Scholar] [CrossRef] [PubMed]
- Xue, X.; Ji, W.; Mao, Z.; Mao, H.; Wang, Y.; Wang, X.; Ruan, W.; Zhao, B.; Lombardi, J.R. Raman Investigation of Nanosized TiO2: Effect of Crystallite Size and Quantum Confinement. J. Phys. Chem. C. 2012, 116, 8792–8797. [Google Scholar] [CrossRef]
- Al-Hashem, M.; Akbar, S.; Morris, P. Role of Oxygen Vacancies in Nanostructured Metal-Oxide Gas Sensors: A Review. Sens. Actuators B Chem. 2019, 301, 126845. [Google Scholar] [CrossRef]
- Etacheri, V.; Valentin, C.D.; Schneider, J.; Bahnemann, D.; Pillai, S.C. Visible-Light Activation of TiO2 Photocatalysts: Advances in Theory and Experiments. J. Photochem. Photobiol. C Photochem. Rev. 2015, 25, 1–29. [Google Scholar] [CrossRef]
- Peighambardoust, N.S.; Asl, S.K.; Maghsoudi, M. The effect of doping concentration of TiO2 nanotubes on energy levels and its direct correlation with photocatalytic activity. Thin Solid Film. 2019, 690, 137558. [Google Scholar] [CrossRef]
- Dariani, R.S.; Esmaeili, A.; Mortezaali, A.; Dehghanpour, S. Photocatalytic reaction and degradation of methylene blue on TiO2 nano-sized particles. Optik 2016, 127, 7143–7154. [Google Scholar] [CrossRef]
- Trandafilovic, L.V.; Jovanovi, D.J.; Zhang, X.; Ptasinska, S.; Dramicanin, M.D. Enhanced photocatalytic degradation of methylene blue and methyl’ orange by ZnO:Eu nanoparticles. Appl. Catal. B Environ. 2017, 203, 740–752. [Google Scholar] [CrossRef]
- Li, J.; Zhang, M.; Guan, Z.; Li, Q.; He, C.; Yang, J. Synergistic effect of surface and bulk single-electron-trapped oxygen vacancy of TiO2 in the photocatalytic reduction of CO2. Appl. Catal. B Environ. 2017, 206, 300–307. [Google Scholar] [CrossRef]
- Da Silva Cardoso, R.; De Amorim Suelen, M.; Scaratti, G.; Moura-Nickel, C.D.; Muniz Moreira, R.P.; Li Puma, G.; Muniz Moreira, R.D.F.P. Structural, optical and photocatalytic properties of erbium (Er3+) and yttrium (Y3+) doped TiO2 thin films with remarkable self-cleaning superhydrophilic properties. RSC Adv. 2020, 10, 17247. [Google Scholar] [CrossRef]
- Noeiaghaei, T.; Yun, J.-H.; Nam, S.W.; Zoh, K.D.; Gomes, V.G.; Kim, J.O.; Chae, S.R. The influence of geometrical characteristics on the photocatalytic activity of TiO2 nanotube arrays for degradation of refractory organic pollutants in wastewater. Water Sci. Technol. 2015, 71, 9. [Google Scholar] [CrossRef] [PubMed]
- Löffler, F.; Altermann, F.; Bucharsky, E.; Schell, K.; Vera, M.L. Morphological characterization and photocatalytic efficiency measurements of pure silica transparent open-cell sponges coated with TiO2. Int. J. Appl. Ceram. Technol. 2020, 17, 31930–31939. [Google Scholar] [CrossRef]
- Schneider, J.; Matsuoka, M.; Takeuchi, M.; Zhang, J.; Horiuchi, Y.; Anpo, M.; Bahnemann, D.W. Understanding TiO2 Photocatalysis: Mechanisms and Materials. Chem. Rev. 2014, 114, 9919–9986. [Google Scholar] [CrossRef] [PubMed]
- Verma, R.; Samdarshi, S.K. Correlating oxygen vacancies and phase ratio/interface with efficient photocatalytic activity in mixed phase TiO2. J. Alloys Compd. 2015, 629, 105. [Google Scholar] [CrossRef]
- Acharyya, D.; Hazra, A.; Bhattacharyya, P. A journey towards reliability improvement of TiO2 based Resistive Random Access Memory: A review. Microelectron. Reliab. 2014, 54, 541–560. [Google Scholar] [CrossRef]
- Sarkar, A.; Gopa, K.G. The Formation and Detection Techniques of Oxygen Vacancies in Titanium Oxide-based Nano-structures. Nanoscale 2019, 11, 3414. [Google Scholar] [CrossRef]
- Niu, L.; Zhao, X.; Tang, Z.; Lv, H.; Wu, F.; Wang, X.; Zhao, T.; Wang, J.; Wu, A.; Giesy, J.P. Difference in performance and mechanism for methylene blue when TiO2 nanoparticles are converted to nanotube. J. Cleaner Prod. 2021, 297, 126498. [Google Scholar] [CrossRef]
- Li, H.; Tang, N.; Yang, H.; Leng, X.; Zou, J. Interface feature characterization and Schottky interfacial layer confirmation of TiO2 nanotube array film. Appl. Surf. Sci. 2015, 355, 849–860. [Google Scholar] [CrossRef]
- Liao, Y.; Yuan, B.; Zhang, D.; Wang, X.; Li, Y.; Wen, Q.; Zhang, H.; Zhong, Z. A Facile Method for Loading CeO2 Nanoparticles on Anodic TiO2 Nanotube Arrays. Nanoscale Res. Lett. 2018, 13, 89. [Google Scholar] [CrossRef] [PubMed]
- Shimizu, N.; Ogino, C.; Dadjour, M.F.; Murata, T. Sonocatalytic degradation of methylene blue with TiO2 pellets in water. Ultrason. Sonochem. 2007, 14, 184–190. [Google Scholar] [CrossRef] [PubMed]
- Hou, X.; Liu, X.; Han, J.; Liu, H.; Yao, J.; Li, D.; Wang, L.; Liao, B.; Li, J.; Zhang, R. Enhanced photoelectrocatalytic degradation of organic pollutants using TiO2 nanotubes implanted with nitrogen ions. J. Mater. Sci. 2020, 55, 5843–5860. [Google Scholar] [CrossRef]
- Chiu, Y.-H.; Chang, T.-F.M.; Chen, C.-Y.; Sone, M.; Hsu, Y.-J. Mechanistic Insights into Photodegradation of Organic Dyes Using Heterostructure Photocatalysts. Catalysts 2019, 9, 430. [Google Scholar] [CrossRef]
- Zheng, P.; Pan, Z.; Li, H.; Bai, B.; Guan, W. Effect of different type of scavengers on the photocatalytic removal of copper and cyanide in the presence of TiO2@yeast hybrids. J. Mater. Sci.-Mater. Electron. 2015, 26, 9. [Google Scholar] [CrossRef]
- Pu, Y.-C.; Chou, H.-Y.; Kuo, W.-S.; Wei, K.-H.; Hsu, Y.-J. Interfacial charge carrier dynamics of cuprous oxide-reduced graphene oxide (Cu2O-rGO) nanoheterostructures and their related visible-light-driven photocatalysis. Appl. Catal. B 2017, 204, 21–32. [Google Scholar] [CrossRef]
- Wang, Q.; Zhang, S.; He, H.; Xie, C.; Tang, Y.; He, C.; Shao, M.; Wang, H. Oxygen Vacancy Engineering in Titanium Dioxide for Sodium Storage. Chem. Asian J. 2021, 16, 3–19. [Google Scholar] [CrossRef] [PubMed]
- Lin, Y.-F.; Hsu, Y.-J. Interfacial charge carrier dynamics of type-II semiconductor nanoheterostructures. Appl. Catal. B. 2013, 130–131, 93–98. [Google Scholar] [CrossRef]
- Wu, S.; Tan, X.; Liu, K.; Lei, J.; Wang, L.; Zhang, J. TiO2 (B) nanotubes with ultrathin shell for highly efficient photocatalytic fixation of nitrogen. Catal. Today. 2018, 335, 214–220. [Google Scholar] [CrossRef]








| Nanostructure | Outer Diameter (nm) | Inner Diameter (nm) | Length (nm) | Sa (nm) |
|---|---|---|---|---|
| TiO2-nt | 98 | 65 | 1670 | 20.8 |
| TiO2-nc | 84 | 29 | 250 | 3.79 |
| TiO2-ns/TiO2-nc | 85 | 62/22 | 35 */362 | 10.6 |
| TiO2-nb/TiO2-nc | 75 | 55/30 | 40 */96 | 3.74 |
Publisher’s Note: MDPI stays neutral with regard to jurisdictional claims in published maps and institutional affiliations. |
© 2022 by the authors. Licensee MDPI, Basel, Switzerland. This article is an open access article distributed under the terms and conditions of the Creative Commons Attribution (CC BY) license (https://creativecommons.org/licenses/by/4.0/).
Share and Cite
Arenas-Hernandez, A.; Zuñiga Islas, C.; Moreno, M.; Calleja Arriaga, W.; Mendoza-Cervantes, J.C.; Carlos, N.; Ascencio-Hurtado, C.R.; Heredia Jiménez, A. Study of Oxygen Vacancies in TiO2 Nanostructures and Their Relationship with Photocatalytic Activity. Appl. Sci. 2022, 12, 3690. https://doi.org/10.3390/app12073690
Arenas-Hernandez A, Zuñiga Islas C, Moreno M, Calleja Arriaga W, Mendoza-Cervantes JC, Carlos N, Ascencio-Hurtado CR, Heredia Jiménez A. Study of Oxygen Vacancies in TiO2 Nanostructures and Their Relationship with Photocatalytic Activity. Applied Sciences. 2022; 12(7):3690. https://doi.org/10.3390/app12073690
Chicago/Turabian StyleArenas-Hernandez, Alba, Carlos Zuñiga Islas, Mario Moreno, Wilfrido Calleja Arriaga, Julio César Mendoza-Cervantes, Netzahualcoyotl Carlos, Carlos Roberto Ascencio-Hurtado, and Aurelio Heredia Jiménez. 2022. "Study of Oxygen Vacancies in TiO2 Nanostructures and Their Relationship with Photocatalytic Activity" Applied Sciences 12, no. 7: 3690. https://doi.org/10.3390/app12073690
APA StyleArenas-Hernandez, A., Zuñiga Islas, C., Moreno, M., Calleja Arriaga, W., Mendoza-Cervantes, J. C., Carlos, N., Ascencio-Hurtado, C. R., & Heredia Jiménez, A. (2022). Study of Oxygen Vacancies in TiO2 Nanostructures and Their Relationship with Photocatalytic Activity. Applied Sciences, 12(7), 3690. https://doi.org/10.3390/app12073690

