Physical, Chemical and Microbiological Properties during Storage of Red Prickly Pear Juice Processed by a Continuous Flow UV-C System
Abstract
:1. Introduction
2. Materials and Methods
2.1. Solvents and Reagents
2.2. Juice Preparation
2.3. UV-C Treatment
2.4. Thermal Treatment
2.5. Optical Properties
2.6. Microbiological Analysis
2.7. Soluble Solids and pH
2.8. Titratable Acidity
2.9. Color Parameters
2.10. Extracts for Chemical Determination
2.11. Total Phenolics
2.12. Antioxidant Activity
2.13. Betalain Quantification
2.14. Retention of Betanin and Indicaxanthin
2.15. Experimental Design and Statistical Analysis
3. Results
3.1. Optical Properties of Red Prickly Pear Juice
3.2. Effects of UV-C Irradiation and Thermal Treatment on the Natural Microbiota of Red Prickly Pear Juice (PPJP)
3.3. Effect of UV-C Irradiation and Thermal Treatment on the Physical Properties of Red Prickly Pear Juice (PPJP)
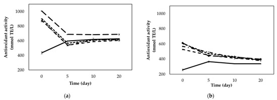
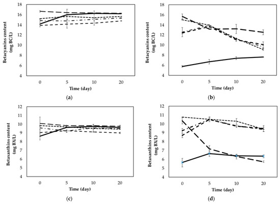
3.4. Effect of UV-C Irradiation and Thermal Treatment on the Chemical Properties of Red Prickly Pear Juice (PPJP)
4. Conclusions
Author Contributions
Funding
Institutional Review Board Statement
Informed Consent Statement
Data Availability Statement
Acknowledgments
Conflicts of Interest
References
- El-Wahab, H.M.F.A.; Moram, G.S.E.D. Toxic Effects of Some Synthetic Food Colorants and/or Flavor Additives on Male Rats. Toxicol. Ind. Health 2012, 29, 224–232. [Google Scholar] [CrossRef] [PubMed]
- Coy-Barrera, E. Analysis of Betalains (Betacyanins and Betaxanthins). In Recent Advances in Natural Products Analysis; Elsevier Inc.: Amsterdam, The Netherlands, 2020; pp. 593–619. [Google Scholar]
- Kuti, J. Antioxidant Compounds from Four Opuntia Cactus Pear Fruit Varieties. Food Chem. 2004, 85, 527–533. [Google Scholar] [CrossRef]
- Sadowska-Bartosz, I.; Bartosz, G. Biological Properties and Applications of Betalains. Molecules 2021, 26, 2520. [Google Scholar] [CrossRef] [PubMed]
- Herbach, K.M.; Stintzing, F.C.; Carle, R. Betalain Stability and Degradation—Structural and Chromatic Aspects. J. Food Sci. 2006, 71, 41–50. [Google Scholar] [CrossRef]
- Kathiravan, T.; Nadanasabapathi, S.; Kumar, R. Standardization of Process Condition in Batch Thermal Pasteurization and its Effect on Antioxidant, Pigment and Microbial Inactivation of Ready to Drink (RTD) Beetroot (Beta vulgaris L.) Juice. Int. Food Res. J. 2014, 21, 1305–1312. [Google Scholar]
- Jiménez-Aguilar, D.M.; Escobedo-Avellaneda, Z.; Martín-Belloso, O.; Gutiérrez-Uribe, J.; Valdez-Fragoso, A.; García-García, R.; Torres, J.A.; Welti-Chanes, J. Effect of High Hydrostatic Pressure on the Content of Phytochemical Compounds and Antioxidant Activity of Prickly Pears (Opuntia ficus-indica) beverages. Food Eng. Rev. 2015, 7, 198–208. [Google Scholar] [CrossRef]
- Koutchma, T. Advances in Ultraviolet Light Technology for Non-Thermal Processing of Liquid Foods. Food Bioproc. Technol. 2009, 2, 138–155. [Google Scholar] [CrossRef]
- FDA. Food and Drug Administration (16 de Octubre del 2018). Juice HACCP Regulator Training. Available online: https://www.fda.gov/about-fda/fda-en-espanol (accessed on 18 February 2022).
- Müller, A.; Noack, L.; Greiner, R.; Stahl, M.R.; Posten, C. Effect of UV-C and UV-B Treatment on Polyphenol Oxidase Activity and Shelf Life of Apple and Grape Juices. Innov. Food Sci. Emerg. Technol. 2014, 26, 498–504. [Google Scholar] [CrossRef]
- Demir, H.; Oral, M.O. Nonthermal Pasteurization of Onion Juice by Continuous UV-C Reactor. J. Food Saf. 2018, 38, e12533. [Google Scholar] [CrossRef]
- Taze, B.H.; Unluturk, S.; Buzrul, S.; Alpas, H. The Impact of UV-C Irradiation on Spoilage Microorganisms and Colour of Orange Juice. J. Food Sci. Technol. 2013, 52, 1000–1007. [Google Scholar] [CrossRef] [Green Version]
- Antonio-Gutiérrez, O.T.; López-Malo, A.; Palou, E.; Ramírez-Corona, N. Métodos para la Determinación de la Dosis de Radiación Ultravioleta de Onda Corta (UVC) en Alimentos. Temas Selectos de Ingeniería de Alimentos—UDLAP. TSIA 2015, 9, 34–40. [Google Scholar]
- Goh, S.G.; Noranizan, M.; Leong, C.M.; Sew, C.C.; Sobhi, B. Effect of Thermal and Ultraviolet Treatments on the Stability of Antioxidant Compounds in Single Strength Pineapple Juice Throughout Refrigerated Storage. Int. Food Res. J. 2012, 19, 1131–1136. [Google Scholar]
- Pala, C.; Tocluku, A.K. Effect of UV-C Light on Anthocyanin and other Quality Parameters of Pomegranate Juice. Food Compost. Anal. 2011, 24, 790–795. [Google Scholar] [CrossRef]
- Ochoa-Velasco, C.E.; Guerrero-Beltrán, J.Á. Ultraviolet-C Light Effect on Pitaya (Stenocereus griseus) Juice. J. Food Res. 2012, 1, 60–70. [Google Scholar] [CrossRef]
- Gopisetty, V.; Patras, A.; Kilonzo-Nthenge, A.; Yannam, S.; Bansode, R.R.; Sasges, M.; Burns, M.; Vergne, M.J.; Pan, C.; Xiao, H. Impact of UV-C irradiation on the quality, safety, and cytotoxicity of cranberry-flavored water using a novel continuous flow UV system. LWT 2018, 95, 230–239. [Google Scholar] [CrossRef]
- Rodríguez-Rodríguez, M.Z.; Meléndez-Pizarro, C.O.; Espinoza-Hicks, J.C.; Quintero-Ramos, A.; Sánchez-Madrigal, M.Á.; Meza-Velázquez, J.A.; Jiménez-Castro, J.A. Effects of UV-C Irradiation and Traditional Thermal Processing on Acemannan Contained in Aloe Vera Gel Blends. Carbohydr. Polym. 2019, 19, 175–188. [Google Scholar] [CrossRef]
- Barreiro-Méndez, J.A.; Sandoval-Briceño, A.J. Operaciones de Conservación de Alimentos por Bajas Temperaturas, 1st ed.; Equiniccio, Ed.; Universidad Simón Bolívar: Caracas, Venezuela, 2006; pp. 47–74. [Google Scholar]
- Gayán, E.; Condón, S.; Álvarez, I. Continuous-Flow UV Liquid Food Pasteurization: Engineering Aspects. Food Bioproc. Technol. 2014, 7, 2813–2827. [Google Scholar] [CrossRef]
- AOAC International. Official Methods of Analysis; AOAC: Gaithersburg, MD, USA, 1998. [Google Scholar]
- Singleton, V.L.; Orthofer, R.; Lamuela-Raventós, R. Analysis of Total Phenols and other Oxidation Substrates and Antioxidants by Means of Folin-Ciocalteu Reagent. In Methods in Enzymology; Academic Press: Cambridge, MA, USA, 1999; Volume 299, pp. 152–178. [Google Scholar]
- Brand-Williams, W.; Cuvelier, M.E.; Berset, C. Use of a Free Radical Method to Evaluate Antioxidant Activity. LWT-Food Sci. Technol. 1995, 28, 25–30. [Google Scholar] [CrossRef]
- Stintzing, F.C.; Schieber, A.; Carle, R. Identification of Betalains from Yellow Beet (Beta Vulgaris L.) and Cactus Pear (Opuntia ficus-indica (L.) Mill) by High-Performance Liquid Chromatography-Electrospray Ionization Mass Spectrometry. J. Agric. Food Chem. 2002, 50, 230–237. [Google Scholar] [CrossRef]
- Castellanos-Santiago, E.; Yahia, E.M. Identification and Quantification of Betalains from the Fruits of 10 Mexican Prickly Pear Cultivars by High-Performance Liquid Chromatography and Electrospray Ionization Mass Spectrometry. J. Agric. Food Chem. 2008, 56, 5758–5764. [Google Scholar] [CrossRef]
- Statistical Software; Minitab 17.1.0; Minitab Inc.: State College, PA, USA, 2013.
- Statistical Package for Social Sciences (SPSS); Version 22; SPSS Inc.: Armonk, NY, USA, 2013.
- Falguera, V.; Pagán, J.; Garza, S.; Garvín, A.; Ibarz, A. Ultraviolet Processing of Liquid Food: A Review. Food Res. Int. 2011, 44, 1580–1588. [Google Scholar] [CrossRef]
- Kaya, Z.; Unluturk, S. Processing of Clear and Turbid Grape Juice by a Continuous Flow UV System. Innov. Food Sci. Emerg. Technol. 2016, 33, 282–288. [Google Scholar] [CrossRef] [Green Version]
- Meléndez-Pizarro, C.O.; Calva-Quintana, A.; Espinoza-Hicks, J.C.; Sánchez-Madrigal, M.Á.; Quintero-Ramos, A. Continuous Flow UV-C Irradiation Effects on the Physicochemical Properties of Aloe Vera Gel and Pitaya (Stenocereus spp.). blend. Foods 2020, 9, 1068. [Google Scholar] [CrossRef] [PubMed]
- Koutchma, T.; Parisi, B.; Patazca, E. Validation of UV Coiled Tube Reactor for Fresh Juices. J. Environ. Eng. Sci. 2007, 6, 319–328. [Google Scholar] [CrossRef]
- Riganakos, K.A.; Karabagias, I.K.; Gertzou, I.; Stahl, M. Comparison of UV-C and Thermal Treatments for the Preservation of Carrot Juice. Innov. Food Sci. Emerg. Technol. 2017, 42, 165–172. [Google Scholar] [CrossRef]
- Pala, C.U.; Toklucu, A.K. Microbial, Physicochemical and Sensory Properties of UV-C Processes Orange Juice and its Microbial Stability during Refrigerated Storage. Food Sci. Technol. 2013, 50, 426–431. [Google Scholar]
- Shamsudin, R.; Mohd, A.; Pui-Yee, Y.; Mansor, A. Effect of Repetitive Ultraviolet Irradiation on the Physico-Chemical Properties and Microbial Stability of Pineapple Juice. Innov. Food Sci. Emerg. Technol. 2014, 23, 114–120. [Google Scholar] [CrossRef]
- Arcos, S.; Condori, D.; Manchego, J.; Acero, U. Colorantes Sintéticos y Betalaínas; Universidad Nacional Jorge Basadre Grohmann: Tacna, Peru, 2012; p. 43. [Google Scholar]
- Herbach, K.M.; Rohe, M.; Stintzing, F.C.; Carle, R. Structural and Chromatic Stability of Purple Pitaya (Hylocereus polyrhizus [Weber] Britton & Rose) Betacyanins as Affected by the Juice Matrix and Selected Additives. Food Res. Int. 2006, 39, 667–677. [Google Scholar]
- Herbach, K.M.; Stintzing, F.C.; Carle, R. Impact of Thermal Treatment on Color and Pigment Pattern of Red Beet (Beta vulgaris L.) Preparations. J. Food Sci. 2004, 6, 491–498. [Google Scholar] [CrossRef]
- Cserhalmi, Z.; Sass-Kiss, A.; Tóth-Markus, M.; Lechner, N. Study of Pulsed Electric Field Treated Citrus Juices. Innov. Food Sci. Emerg. Technol. 2006, 7, 49–54. [Google Scholar] [CrossRef]
- Mandujo-Ruiz, R. Estudio Preliminar de los Pigmentos Presentes en Cáscara de Pitaya (Stenocereus stellatus) de la Región. Tesis de Ingeniero Químico, Universidad Tecnológica de la Mixteca, Huajuapan de León, Oaxaca, México, 2006. [Google Scholar]
- Moldovan, B.; David, L.; Chişbora, C.; Cimpoiu, C. Degradation Kinetics of Anthocyanins from European Cranberrybush (Viburnum opulus L.) Fruit Extracts. Effects of Temperature, pH and Storage Solvent. Molecules 2012, 17, 11655–11666. [Google Scholar] [CrossRef]
- Islam, M.S.; Patras, A.; Pokharel, B.; Wu, Y.; Vergne, M.J.; Shade, L.; Xiao, H.; Sasges, M. UV-C Irradiation as an Alternative Disinfection Technique: Study of its Effect on Polyphenols and Antioxidant Activity of Apple Juice. Innov. Food Sci. Emerg. Technol. 2016, 34, 344–351. [Google Scholar] [CrossRef] [Green Version]
- Caminiti, I.; Palagan, I.; Muñoz, A.; Noci, F.; Whyte, P.; Morgan, D.J.; Cronin, D.; Lyng, J. The Effect of Ultraviolet Ligth on Microbial Inactivation and Quality Attributes of Apple Juice. Food Bioprocess Technol. 2012, 5, 680–686. [Google Scholar] [CrossRef]
- Santhirasegaram, V.; Razali, Z.; George, D.S.; Somasundram, C. Comparison of UV-C Treatment and Thermal Pasteurization on Quality of Chokanan Mango (Mangifera indica L.) Juice. Food Bioprod. Processing 2015, 94, 313–321. [Google Scholar] [CrossRef]
- Barut Gök, S. UV-C Treatment of Apple and Grape Juices by Modified UV-C Reactor Based on Dean Vortex Technology: Microbial, Physicochemical and Sensorial Parameters Evaluation. Food Bioproc. Technol. 2021, 14, 1055–1066. [Google Scholar] [CrossRef]
- Cruz-Cansino, N.S.; Ramírez-Moreno, E.; León-Rivera, J.E.; Delgado-Olivares, L.; Alanís-García, E.; Ariza-Ortega, J.A.; Jaramillo-Bustos, D.P. Shelf Life, Physicochemical, Microbiological and Antioxidant Properties of Purple Cactus Pear (Opuntia ficus indica) Juice after Thermoultrasound Treatment. Ultrason. Sonochemistry 2015, 27, 277–286. [Google Scholar] [CrossRef] [PubMed]
- Ruiz-Gutiérrez, M.G.; Amaya-Guerra, A.; Quintero-Ramos, A.; Ruiz-Anchondo, T.J.; Gutiérrez-Uribe, J.A.; Báez-González, J.G.; Lardizabal-Gutiérrez, D.; Campos-Venegas, K. Effect of Soluble Fiber on the Physicochemical Properties of Cactus Pear (Opuntia ficus indica) Encapsulated Using Spray Drying. Food Sci. Biotechnol. 2014, 23, 755–763. [Google Scholar] [CrossRef]
- Moßhammer, M.R.; Robe, M.; Stintzing, F.C.; Carle, R. Stability of Yellow-Orange Cactus Pear (Opuntia ficus-indica [L.] Mill. cv. ‘Gialla’) Betalains as Affected by the Juice Matrix and Selected Food Additives. Eur. Food Res. Technol. 2007, 225, 21–32. [Google Scholar] [CrossRef]





| T (NTU) | α (1/cm) | λ (cm) | |
|---|---|---|---|
| Juice no-diluted | 274.8 ± 0.56 a | 24.36 ± 0.31 a | 0.04 ± 0.00 b |
| PPJP at pH 3.6 | 21.35 ± 0.14 c | 5.97 ± 0.03 b | 0.17 ± 0.00 a |
| PPJP at pH 7.0 | 68.70 ± 0.30 b | 6.09 ± 0.07 b | 0.16 ± 0.00 a |
| Treatment | Total Coliforms (Log CFU/mL) | |||||||
| pH 3.6 | pH 7 | |||||||
| Day 0 | Day 5 | Day 10 | Day 20 | Day 0 | Day 5 | Day 10 | Day 20 | |
| Untreated juice (Control) | 4.94 ± 0.05 | ND | ND | ND | 3.95 ± 0.03 | 4.8 ± 0.01 | 3.29 ± 0.03 | ND |
| UV-C (9.87 mJ/cm2) | ND | ND | ND | ND | ND | ND | ND | ND |
| UV-C (15.13 mJ/cm2) | ND | ND | ND | ND | ND | ND | ND | ND |
| UV-C (31.78 mJ/cm2) | ND | ND | ND | ND | ND | ND | ND | ND |
| HTST (80 °C) | ND | ND | ND | ND | N/A | N/A | N/A | N/A |
| UHT (130 °C) | N/A | N/A | N/A | N/A | ND | ND | ND | ND |
| Treatment | Yeast and Molds (Log CFU/mL) | |||||||
| pH 3.6 | pH 7 | |||||||
| Day 0 | Day 5 | Day 10 | Day 20 | Day 0 | Day 5 | Day 10 | Day 20 | |
| Untreated juice (Control) | 2.32 ± 0.00 | 3.46 ± 0.26 | 4.3 ± 0.00 | 1.44 ± 0.04 | 3.26 ± 0.01 | 1.88 ± 0.05 | 1.81 ± 0.16 | 1.66 ± 0.09 |
| UV-C (9.87 mJ/cm2) | ND | 0.57 ± 0.18 | 1.13 ± 0.03 | 1.34 ± 0.06 | ND | ND | ND | ND |
| UV-C (15.13 mJ/cm2) | ND | ND | ND | 0.74 ± 0.29 | ND | ND | ND | ND |
| UV-C (31.78 mJ/cm2) | ND | ND | ND | ND | ND | ND | ND | ND |
| HTST (80 °C) | ND | ND | ND | ND | N/A | N/A | N/A | N/A |
| UHT (130 °C) | N/A | N/A | N/A | N/A | ND | ND | ND | ND |
| Treatment | Mesophilic (Log CFU/mL) | |||||||
| pH 3.6 | pH 7 | |||||||
| Day 0 | Day 5 | Day 10 | Day 20 | Day 0 | Day 5 | Day 10 | Day 20 | |
| Untreated juice (Control) | 6.17 ± 0.08 | 6.28 ± 0.13 | 5.22 ± 0.15 | ND | 6.41 ± 0.01 | 8.23 ± 0.01 | 8.21 ± 0.05 | ND |
| UV-C (9.87 mJ/cm2) | ND | ND | ND | ND | ND | ND | ND | ND |
| UV-C (15.13 mJ/cm2) | ND | ND | ND | ND | ND | ND | ND | ND |
| UV-C (31.78 mJ/cm2) | ND | ND | ND | ND | ND | ND | ND | ND |
| HTST (80 °C) | ND | ND | ND | ND | N/A | N/A | N/A | N/A |
| UHT (130 °C) | N/A | N/A | N/A | N/A | ND | ND | ND | ND |
| Treatment | Psycrophilic (Log CFU/mL) | |||||||
| pH 3.6 | pH 7 | |||||||
| Day 0 | Day 5 | Day 10 | Day 20 | Day 0 | Day 5 | Day 10 | Day 20 | |
| Untreated juice (Control) | 5.57 ± 0.02 | 4.94 ± 0.03 | 4.25 ± 0.06 | ND | 5.55 ± 0.05 | 4.47 ± 0.00 | ND | ND |
| UV-C (9.87 mJ/cm2) | ND | ND | ND | ND | ND | 1.06 ± 0.00 | 3.47 ± 0.00 | ND |
| UV-C (15.13 mJ/cm2) | ND | ND | ND | ND | ND | 1.5 ± 0.11 | 3.47 ± 0.01 | ND |
| UV-C (31.78 mJ/cm2) | ND | ND | ND | ND | ND | ND | 3.47 ± 0.02 | ND |
| HTST (80 °C) | ND | ND | ND | ND | N/A | N/A | N/A | N/A |
| UHT (130 °C) | N/A | N/A | N/A | N/A | ND | ND | ND | ND |
| Treatment | pH | |||||||
| pH 3.6 | pH 7 | |||||||
| Day 0 | Day 5 | Day 10 | Day 20 | Day 0 | Day 5 | Day 10 | Day 20 | |
| Untreated juice (Control) | 3.7 ± 0.0 d | 3.7 ± 0.1 b | 3.7 ± 0.1 c | 3.6 ± 0.0 b | 7.0 ± 0.0 bc | 3.8 ± 0.0 b | 3.8 ± 0.0 c | 3.8 ± 0.0 b |
| UV-C (9.87 mJ/cm2) | 3.7 ± 0.0 d | 3.7 ± 0.0 b | 3.7 ± 0.0 c | 3.7 ± 0.0 b | 7.1 ± 0.0 a | 7.0 ± 0.0 a | 6.9 ± 0.0 ab | 6.8 ± 0.0 a |
| UV-C (15.13 mJ/cm2) | 3.7 ± 0.0 d | 3.7 ± 0.0 b | 3.7 ± 0.0 c | 3.7 ± 0.0 b | 7.1 ± 0.0 ab | 7.0 ± 0.0 a | 6.8 ± 0.0 b | 6.9 ± 0.1 a |
| UV-C (31.78 mJ/cm2) | 3.7 ± 0.0 d | 3.7 ± 0.0 b | 3.8 ± 0.0 c | 3.7 ± 0.0 b | 7.00 ± 0.0 c | 7.0 ± 0.0 a | 6.9 ± 0.0 ab | 6.9 ± 0.1 a |
| HTST (80 °C) | 3.8 ± 0.0 d | 3.7 ± 0.0 b | 3.6 ± 0.0 c | 3.6 ± 0.0 b | N/A | N/A | N/A | N/A |
| UHT (130 °C) | N/A | N/A | N/A | N/A | 7.0 ± 0.0 abc | 7.1 ± 0.0 a | 7.0 ± 0.0 a | 7.1 ± 0.0 a |
| Treatment | Titratable Acidity (%) | |||||||
| pH 3.6 | pH 7 | |||||||
| Day 0 | Day 5 | Day 10 | Day 20 | Day 0 | Day 5 | Day 10 | Day 20 | |
| Untreated juice (Control) | 0.02 ± 0.0 a | 0.02 ± 0.0 a | 0.02 ± 0.0 ab | 0.02 ± 0.0 a | 0.001 ± 0.00 c | 0.02 ± 0.00 a | 0.020 ± 0.00 b | 0.020 ± 0.00 a |
| UV-C (9.87 mJ/cm2) | 0.02 ± 0.0 a | 0.02 ± 0.0 a | 0.02 ± 0.0 a | 0.01 ± 0.0 b | 0.001 ± 0.00 c | 0.001 ± 0.00 b | 0.002 ± 0.00 c | 0.001 ± 0.00 c |
| UV-C (15.13 mJ/cm2) | 0.02 ± 0.0 a | 0.02 ± 0.0 a | 0.02 ± 0.0 a | 0.01 ± 0.0 b | 0.001 ± 0.00 c | 0.001 ± 0.00 b | 0.002 ± 0.00 c | 0.001 ± 0.00 c |
| UV-C (31.78 mJ/cm2) | 0.02 ± 0.0 a | 0.02 ± 0.0 a | 0.02 ± 0.0 a | 0.01 ± 0.0 b | 0.001 ± 0.00 c | 0.001 ± 0.00 b | 0.002 ± 0.00 c | 0.001 ± 0.00 c |
| HTST (80 °C) | 0.02 ± 0.0 b | 0.02 ± 0.0 a | 0.02 ± 0.0 ab | 0.02 ± 0.0 a | N/A | N/A | N/A | N/A |
| UHT (130 °C) | N/A | N/A | N/A | N/A | 0.001 ± 0.00 c | 0.001 ± 0.00 b | 0.001 ± 0.00 c | 0.001 ± 0.00 c |
| Treatment | L* | |||||||
| pH 3.6 | pH 7 | |||||||
| Day 0 | Day 5 | Day 10 | Day 20 | Day 0 | Day 5 | Day 10 | Day 20 | |
| Untreated juice (Control) | 54.5 ± 0.2 cd | 53.9 ± 0.2 b | 53.1 ± 0.1 cd | 52.8 ± 1.0 d | 52.8 ± 0.3 e | 52.6 ± 0.1 b | 52.0 ± 0.0 d | 52.0 ± 0.2 d |
| UV-C (9.87 mJ/cm2) | 54.7 ± 0.3 cd | 55.2 ± 0.1 b | 54.6 ± 0.2 bc | 54.4 ± 0.1 c | 52.9 ± 0.2 e | 54.4 ± 0.1 b | 55.2 ± 0.1 b | 59.3 ± 0.0 b |
| UV-C (15.13 mJ/cm2) | 54.8 ± 0.3 cd | 55.6 ± 0.1 b | 54.5 ± 0.1 bc | 54.5 ± 0.2 c | 52.9 ± 0.2 e | 54.4 ± 0.1 b | 55.3 ± 0.2 b | 58.3 ± 0.1 b |
| UV-C (31.78 mJ/cm2) | 55.1 ± 0.1 bc | 55.7 ± 0.7 b | 55.1 ± 0.2 b | 54.8 ± 0.1 c | 53.3 ± 0.1 de | 54.5 ± 0.1 b | 55.2 ± 0.2 b | 59.1 ± 0.3 b |
| HTST (80 °C) | 56.5 ± 0.4 b | 54.0 ± 0.0 b | 54.4 ± 0.1 bc | 55.0 ± 0.4 c | N/A | N/A | N/A | N/A |
| UHT (130 °C) | N/A | N/A | N/A | N/A | 68.6 ± 1.0 a | 63.86 ± 6.4 a | 64.2 ± 1.3 a | 64.4 ± 0.4 a |
| Treatment | a* | |||||||
| pH 3.6 | pH 7 | |||||||
| Day 0 | Day 5 | Day 10 | Day 20 | Day 0 | Day 5 | Day 10 | Day 20 | |
| Untreated juice (Control) | 64.0 ± 0.1 a | 63.5 ± 0.5 a | 63.5 ± 0.0 a | 63.3 ± 0.1 a | 63.7 ± 0.2 ab | 63.6 ± 0.1 a | 62.5 ± 0.1 a | 62.1 ± 0.1 ab |
| UV-C (9.87 mJ/cm2) | 62.0 ± 0.4 abc | 61.9 ± 0.0 a | 63.4 ± 0.2 a | 63.2 ± 0.1 a | 60.1 ± 0.2 c | 58.3 ± 0.2 bc | 56.8 ± 0.3 b | 47.4 ± 0.8 d |
| UV-C (15.13 mJ/cm2) | 61.3 ± 0.3 bc | 61.9 ± 0.2 a | 63.0 ± 0.1 a | 62.8 ± 0.4 a | 60.2 ± 0.1 c | 58.3 ± 0.1 bc | 56.5 ± 0.0 b | 50.1 ± 0.0 c |
| UV-C (31.78 mJ/cm2) | 61.2 ± 0.1 bc | 61.0 ± 0.2 ab | 62.2 ± 0.0 a | 62.4 ± 0.0 ab | 59.7 ± 0.3 c | 57.5 ± 0.0 c | 56.8 ± 0.1 b | 48.7 ± 0.0 cd |
| HTST (80 °C) | 59.8 ± 0.5 c | 62.6 ± 0.2 a | 62.3 ± 0.2 a | 60.9 ± 0.1 b | N/A | N/A | N/A | N/A |
| UHT (130 °C) | N/A | N/A | N/A | N/A | 32.8 ± 1.8 d | 31.4 ± 2.2 d | 39.5 ± 1.3 c | 38.4 ± 0.8 e |
| Treatment | b* | |||||||
| pH 3.6 | pH 7 | |||||||
| Day 0 | Day 5 | Day 10 | Day 20 | Day 0 | Day 5 | Day 10 | Day 20 | |
| Untreated juice (Control) | 14.5 ± 0.0 c | 13.2 ± 0.4 de | 13.2 ± 0.0 d | 13.1 ± 0.1 c | 17.6 ± 0.3 b | 13.9 ± 0.1 c | 14.0 ± 0.1 d | 13.3 ± 0.1 c |
| UV-C (9.87 mJ/cm2) | 15.8 ± 0.7 c | 14.6 ± 0.1 d | 11.6 ± 0.2 e | 10.2 ± 0.0 d | 20.3 ± 0.2 b | 20.4 ± 0.2 b | 23.8 ± 0.2 b | 29.5 ± 0.0 a |
| UV-C (15.13 mJ/cm2) | 15.4 ± 0.4 c | 14.4 ± 0.2 d | 11.6 ± 0.1 e | 10.4 ± 0.0 d | 20.2 ± 0.1 b | 20.2 ± 0.1 b | 24.2 ± 0.1 b | 27.9 ± 0.2 ab |
| UV-C (31.78 mJ/cm2) | 15.2 ± 0.1 c | 14.0 ± 0.1 d | 11.7 ± 0.4 e | 10.6 ± 0.1 d | 20.1 ± 0.2 b | 20.1 ± 0.2 b | 22.4 ± 0.1 c | 28.8 ± 0.6 a |
| HTST (80 °C) | 10.0 ± 0.3 d | 11.9 ± 0.5 e | 12.3 ± 0.1 e | 12.3 ± 0.2 cd | N/A | N/A | N/A | N/A |
| UHT (130 °C) | N/A | N/A | N/A | N/A | 31.7 ± 0.8 a | 33.9 ± 1.4 a | 28.0 ± 0.3 a | 26.3 ± 1.7 b |
| Treatment | Hue angle | |||||||
| pH 3.6 | pH 7 | |||||||
| Day 0 | Day 5 | Day 10 | Day 20 | Day 0 | Day 5 | Day 10 | Day 20 | |
| Untreated juice (Control) | 1.3 ± 0.0 b | 1.3 ± 0.00 a | 1.4 ± 0.0 bc | 1.4 ± 0.0 ab | 1.3 ± 0.0 c | 1.3 ± 0.0 ab | 1.4 ± 0.0 c | 1.3 ± 0.0 b |
| UV-C (9.87 mJ/cm2) | 1.3 ± 0.0 bc | 1.3 ± 0.00 a | 1.4 ± 0.0 a | 1.4 ± 0.0 a | 1.3 ± 0.0 bc | 1.2 ± 0.0 b | 1.2 ± 0.0 e | 1.0 ± 0.0 cd |
| UV-C (15.13 mJ/cm2) | 1.3 ± 0.0 bc | 1.3 ± 0.00 a | 1.4 ± 0.0 a | 1.4 ± 0.0 a | 1.3 ± 0.0 c | 1.2 ± 0.0 b | 1.2 ± 0.0 e | 1.1 ± 0.0 c |
| UV-C (31.78 mJ/cm2) | 1.3 ± 0.0 bc | 1.3 ± 0.00 a | 1.4 ± 0.0 a | 1.4 ± 0.0 a | 1.3 ± 0.0 c | 1.2 ± 0.0 b | 1.2 ± 0.0 d | 1.0 ± 0.0 c |
| HTST (80 °C) | 1.4 ± 0.0 a | 1.4 ± 0.00 a | 1.4 ± 0.0 ab | 1.4 ± 0.0 ab | N/A | N/A | N/A | N/A |
| UHT (130 °C) | N/A | N/A | N/A | N/A | 0.8 ± 0.0 d | 0.8 ± 0.1 c | 1.00 ± 0.1 f | 1.0 ± 0.0 d |
| Treatment | Chroma* | |||||||
| pH 3.6 | pH 7 | |||||||
| Day 0 | Day 5 | Day 10 | Day 20 | Day 0 | Day 5 | Day 10 | Day 20 | |
| Untreated juice (Control) | 64.8 ± 1.2 a | 65.2 ± 0.6 a | 65.0 ± 0.3 a | 64.8 ± 0.0 a | 64.4 ± 1.0 a | 64.3 ± 0.1 ab | 65.7 ± 0.0 a | 60.5 ± 0.4 d |
| UV-C (9.87 mJ/cm2) | 64.1 ± 0.1 a | 63.6 ± 0.0 abc | 64.4 ± 0.2 ab | 64.0 ± 0.1 ab | 60.0 ± 3.8 a | 61.7 ± 0.1 cd | 61.6 ± 0.4 c | 55.9 ± 0.7 e |
| UV-C (15.13 mJ/cm2) | 63.2 ± 0.4 a | 63.6 ± 0.2 abc | 64.1 ± 0.1 ab | 62.6 ± 0.4 abc | 62.0 ± 1.1 a | 60.9 ± 0.1 cd | 61.5 ± 0.1 c | 57.3 ± 0.1 e |
| UV-C (31.78 mJ/cm2) | 62.8 ± 0.4 a | 62.6 ± 0.0 bcd | 63.3 ± 0.0 b | 63.3 ± 0.1 bc | 60.9 ± 2.1 a | 61.0 ± 0.2 d | 61.1 ± 0.1 c | 56.6 ± 0.3 e |
| HTST (80 °C) | 60.7 ± 0.3 a | 63.8 ± 0.2 ab | 63.6 ± 0.2 b | 62.5 ± 0.6 c | N/A | N/A | N/A | N/A |
| UHT (130 °C) | N/A | N/A | N/A | N/A | 45.7 ± 2.0 b | 47.0 ± 1.5 e | 48.4 ± 0.8 d | 46.4 ± 0.1 f |
| Treatment | ΔE: Compared to Untreated Juice | |||||||
| pH 3.6 | pH 7 | |||||||
| Day 0 | Day 5 | Day 10 | Day 20 | Day 0 | Day 5 | Day 10 | Day 20 | |
| Untreated juice (Control) | N/A | N/A | N/A | N/A | N/A | N/A | N/A | N/A |
| UV-C (9.87 mJ/cm2) | 2.0 ± 0.5 c | 2.4 ± 0.0 e | 2.04 ± 0.3 c | 3.19 ± 0.1 d | 3.6 ± 0.2 c | 6.6 ± 0.1 c | 11.8 ± 0.0 b | 23.1 ± 0.6 b |
| UV-C (15.13 mJ/cm2) | 2.8 ± 0.0 c | 2.6 ± 0.1 e | 2.03 ± 0.0 c | 3.09 ± 0.2 d | 3.6 ± 0.1 c | 6.6 ± 0.1 c | 12.3 ± 0.0 b | 20.0 ± 0.2 c |
| UV-C (31.78 mJ/cm2) | 3.4 ± 0.6 c | 3.4 ± 0.1 d | 2.79 ± 0.0 c | 3.19 ± 0.1 d | 4.0 ± 0.2 bc | 7.3 ± 0.1 b | 10.7 ± 0.0 b | 21.7 ± 0.3 bc |
| HTST (80 °C) | 6.4 ± 0.1 b | 1.7 ± 0.2 f | 1.80 ± 0.1 c | 3.19 ± 0.2 d | N/A | N/A | N/A | N/A |
| UHT (130 °C) | N/A | N/A | N/A | N/A | 37.4 ± 1.7 a | 35.6 ± 0.0 a | 29.5 ± 1.7 a | 29.9 ± 1.3 a |
| Treatment | ΔE: Compared to Untreated Juice, day 0 | |||||||
| pH 3.6 | pH 7 | |||||||
| Day 0 | Day 5 | Day 10 | Day 20 | Day 0 | Day 5 | Day 10 | Day 20 | |
| Untreated juice (Control) | N/A | 1.4 ± 0.5 e | 1.5 ± 0.1 d | 1.5 ± 0.2 f | N/A | 2.0 ± 0.0 de | 3.8 ± 0.2 c | 4.4 ± 0.0 d |
| UV-C (9.87 mJ/cm2) | 2.0 ± 0.5 c | 1.8 ± 0.1 de | 3.0 ± 0.3 cd | 4.4 ± 0.0 d | 3.6 ± 0.2 c | 4.6 ± 0.1 b | 8.4 ± 0.1 b | 19.8 ± 0.6 b |
| UV-C (15.13 mJ/cm2) | 2.8 ± 0.0 c | 2.2 ± 0.2 cde | 3.0 ± 0.1 cd | 4.2 ± 0.1 de | 3.6 ± 0.1 c | 4.7 ± 0.1 b | 8.8 ± 0.0 b | 16.5 ± 0.0 c |
| UV-C (31.78 mJ/cm2) | 3.4 ± 0.6 c | 3.1 ± 0.3 c | 3.4 ± 0.3 cd | 4.1 ± 0.0 de | 4.0 ± 0.2 bc | 5.3 ± 0.1 b | 7.4 ± 0.0 b | 18.4 ± 0.2 b |
| HTST (80 °C) | 6.4 ± 0.1 b | 2.4 ± 0.2 cd | 2.4 ± 0.2 cd | 2.8 ± 0.1 ef | N/A | N/A | N/A | N/A |
| UHT (130 °C) | N/A | N/A | N/A | N/A | 37.4 ± 1.7 a | 33.7 ± 0.0 a | 27.2 ± 1.7 a | 27.7 ± 1.0 a |
Publisher’s Note: MDPI stays neutral with regard to jurisdictional claims in published maps and institutional affiliations. |
© 2022 by the authors. Licensee MDPI, Basel, Switzerland. This article is an open access article distributed under the terms and conditions of the Creative Commons Attribution (CC BY) license (https://creativecommons.org/licenses/by/4.0/).
Share and Cite
Mesta-Vicuña, G.; Quintero-Ramos, A.; Meléndez-Pizarro, C.O.; Galicia-García, T.; Sánchez-Madrigal, M.Á.; Delgado, E.; Ruiz-Gutiérrez, M.G. Physical, Chemical and Microbiological Properties during Storage of Red Prickly Pear Juice Processed by a Continuous Flow UV-C System. Appl. Sci. 2022, 12, 3488. https://doi.org/10.3390/app12073488
Mesta-Vicuña G, Quintero-Ramos A, Meléndez-Pizarro CO, Galicia-García T, Sánchez-Madrigal MÁ, Delgado E, Ruiz-Gutiérrez MG. Physical, Chemical and Microbiological Properties during Storage of Red Prickly Pear Juice Processed by a Continuous Flow UV-C System. Applied Sciences. 2022; 12(7):3488. https://doi.org/10.3390/app12073488
Chicago/Turabian StyleMesta-Vicuña, Gabriela, Armando Quintero-Ramos, Carmen Oralia Meléndez-Pizarro, Tomás Galicia-García, Miguel Ángel Sánchez-Madrigal, Efrén Delgado, and Martha Graciela Ruiz-Gutiérrez. 2022. "Physical, Chemical and Microbiological Properties during Storage of Red Prickly Pear Juice Processed by a Continuous Flow UV-C System" Applied Sciences 12, no. 7: 3488. https://doi.org/10.3390/app12073488
APA StyleMesta-Vicuña, G., Quintero-Ramos, A., Meléndez-Pizarro, C. O., Galicia-García, T., Sánchez-Madrigal, M. Á., Delgado, E., & Ruiz-Gutiérrez, M. G. (2022). Physical, Chemical and Microbiological Properties during Storage of Red Prickly Pear Juice Processed by a Continuous Flow UV-C System. Applied Sciences, 12(7), 3488. https://doi.org/10.3390/app12073488

