Variable Rate Independently Recurrent Neural Network (IndRNN) for Action Recognition
Abstract
:1. Introduction
- A variable rate IndRNN model is proposed to solve the problem of varying sampling rates or performing speeds that may exist between different sequences or between training and test (in practice). The model processes inputs of different lengths and extracted with different sampling rates.
- An adaptive learning rate adjustment method is proposed based on the lengths of the sequences that the IndRNN network processes. Different adjustment factors are obtained for different layers with different gradient propagation properties.
2. Related Work
3. Overview of IndRNN
4. Proposed Variable Rate IndRNN
4.1. Variable Rate Sampling Strategy and Network Architecture
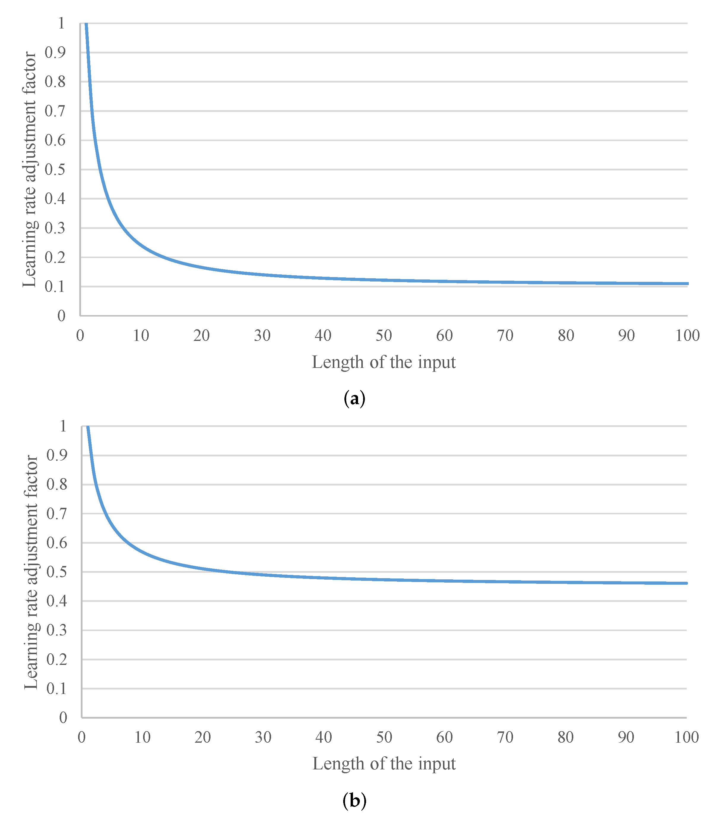
4.2. Learning Rate Adjustment
4.2.1. Learning Rate Adjustment for the First IndRNN Layers
4.2.2. Learning Rate Adjustment for the Last (L-th) IndRNN Layers
4.2.3. Learning Rate Adjustment for the Final FC Layers
5. Experiments
5.1. Results on NTU RGB+D Dataset
5.1.1. Verification of the Effect of Different Sampling Rates
5.1.2. Evaluation of the Proposed Method
5.2. Results on UOW Large Scale Combined (LSC) Dataset
6. Conclusions
Author Contributions
Funding
Institutional Review Board Statement
Informed Consent Statement
Data Availability Statement
Conflicts of Interest
References
- Donahue, J.; Hendricks, L.A.; Guadarrama, S.; Rohrbach, M.; Venugopalan, S.; Saenko, K.; Darrell, T. Long-term recurrent convolutional networks for visual recognition and description. In Proceedings of the IEEE Conference on Computer Vision and Pattern Recognition, Boston, MA, USA, 7–12 June 2015; pp. 2625–2634. [Google Scholar]
- Li, C.; Li, S.; Gao, Y.; Zhang, X.; Li, W. A Two-stream Neural Network for Pose-based Hand Gesture Recognition. IEEE Trans. Cogn. Dev. Syst. 2021, 1–10. [Google Scholar] [CrossRef]
- Yue-Hei Ng, J.; Hausknecht, M.; Vijayanarasimhan, S.; Vinyals, O.; Monga, R.; Toderici, G. Beyond short snippets: Deep networks for video classification. In Proceedings of the IEEE Conference on Computer Vision and Pattern Recognition, Boston, MA, USA, 7–12 June 2015; pp. 4694–4702. [Google Scholar]
- Pigou, L.; van den Oord, A.; Dieleman, S.; Van Herreweghe, M.; Dambre, J. Beyond temporal pooling: Recurrence and temporal convolutions for gesture recognition in video. Int. J. Comput. Vis. 2015, 126, 430–439. [Google Scholar]
- Jain, A.; Zamir, A.R.; Savarese, S.; Saxena, A. Structural-RNN: Deep learning on spatio-temporal graphs. In Proceedings of the IEEE Conference on Computer Vision and Pattern Recognition, Las Vegas, NV, USA, 26 June–1 July 2016; pp. 5308–5317. [Google Scholar]
- Shahroudy, A.; Liu, J.; Ng, T.T.; Wang, G. NTU RGB+ D: A large scale dataset for 3D human activity analysis. In Proceedings of the IEEE Conference on Computer Vision and Pattern Recognition, Las Vegas, NV, USA, 26 June–1 July 2016; pp. 1010–1019. [Google Scholar]
- Liu, J.; Shahroudy, A.; Xu, D.; Wang, G. Spatio-temporal LSTM with trust gates for 3D human action recognition. In European Conference on Computer Vision; Springer: Cham, Switzerland, 2016; pp. 816–833. [Google Scholar]
- Merity, S.; Keskar, N.S.; Socher, R. Regularizing and Optimizing LSTM Language Models. arXiv 2017, arXiv:1708.02182. [Google Scholar]
- Tallec, C.; Ollivier, Y. Unbiasing Truncated Backpropagation Through Time. arXiv 2017, arXiv:1705.08209. [Google Scholar]
- Li, S.; Li, W.; Cook, C.; Zhu, C.; Gao, Y. Independently recurrent neural network (indrnn): Building A longer and deeper RNN. In Proceedings of the IEEE Conference on Computer Vision and Pattern Recognition, Salt Lake City, UT, USA, 18–22 June 2018; pp. 5457–5466. [Google Scholar]
- Li, S.; Li, W.; Cook, C.; Gao, Y. Deep Independently Recurrent Neural Network (IndRNN). arXiv 2019, arXiv:1910.06251. [Google Scholar]
- Zhao, B.; Li, S.; Gao, Y.; Li, C.; Li, W. A Framework of Combining Short-Term Spatial/Frequency Feature Extraction and Long-Term IndRNN for Activity Recognition. Sensors 2020, 20, 6984. [Google Scholar]
- Du, Y.; Wang, W.; Wang, L. Hierarchical recurrent neural network for skeleton based action recognition. In Proceedings of the IEEE Conference on Computer Vision and Pattern Recognition, Boston, MA, USA, 7–12 June 2015; pp. 1110–1118. [Google Scholar]
- Zhang, S.; Liu, X.; Xiao, J. On geometric features for skeleton-based action recognition using multilayer LSTM networks. In Proceedings of the 2017 IEEE Winter Conference on Applications of Computer Vision (WACV), Santa Rosa, CA, USA, 24–31 March 2017; pp. 148–157. [Google Scholar]
- Oreifej, O.; Liu, Z. Hon4d: Histogram of oriented 4d normals for activity recognition from depth sequences. In Proceedings of the IEEE Conference on Computer Vision and Pattern Recognition, Portland, OR, USA, 23–28 June 2013; pp. 716–723. [Google Scholar]
- Ohn-Bar, E.; Trivedi, M. Joint angles similarities and HOG2 for action recognition. In Proceedings of the IEEE Conference on Computer Vision and Pattern Recognition, Portland, OR, USA, 23–28 June 2013; pp. 465–470. [Google Scholar]
- Wang, P.; Li, Z.; Hou, Y.; Li, W. Action recognition based on joint trajectory maps using convolutional neural networks. In Proceedings of the 2016 ACM on Multimedia Conference, Amsterdam, The Netherlands, 15–19 October 2016; ACM: New York, NY, USA, 2016; pp. 102–106. [Google Scholar]
- Ke, Q.; An, S.; Bennamoun, M.; Sohel, F.; Boussaid, F. SkeletonNet: Mining Deep Part Features for 3-D Action Recognition. IEEE Signal Process. Lett. 2017, 24, 731–735. [Google Scholar]
- Kim, T.S.; Reiter, A. Interpretable 3D Human Action Analysis with Temporal Convolutional Networks. arXiv 2017, arXiv:1704.04516. [Google Scholar]
- Yue, J.; Gao, Y.; Li, S.; Hui, Y.; Frederic, D. Global Appearance and Local Coding Distortion based Fusion Framework for CNN based Filtering in Video Coding. IEEE Trans. Broadcast. 2022, 1–13. [Google Scholar] [CrossRef]
- Ke, Q.; Bennamoun, M.; An, S.; Sohel, F.; Boussaid, F. A New Representation of Skeleton Sequences for 3D Action Recognition. arXiv 2017, arXiv:1703.03492. [Google Scholar]
- Li, C.; Hou, Y.; Wang, P.; Li, W. Joint Distance Maps Based Action Recognition With Convolutional Neural Networks. IEEE Signal Process. Lett. 2017, 24, 624–628. [Google Scholar]
- Cao, C.; Zhang, Y.; Zhang, C.; Lu, H. Body Joint Guided 3-D Deep Convolutional Descriptors for Action Recognition. IEEE Trans. Cybern. 2018, 48, 1095–1108. [Google Scholar]
- Li, C.; Cui, Z.; Zheng, W.; Xu, C.; Ji, R.; Yang, J. Action-Attending Graphic Neural Network. IEEE Trans. Image Process. 2018, 27, 3657–3670. [Google Scholar]
- Liu, Z.; Zhang, H.; Chen, Z.; Wang, Z.; Ouyang, W. Disentangling and Unifying Graph Convolutions for Skeleton-Based Action Recognition. In Proceedings of the IEEE/CVF Conference on Computer Vision and Pattern Recognition (CVPR), Seattle, WA, USA, 13–19 June 2020; pp. 140–149. [Google Scholar]
- Chen, Y.; Zhang, Z.; Yuan, C.; Li, B.; Deng, Y.; Hu, W. Channel-wise Topology Refinement Graph Convolution for Skeleton-Based Action Recognition. arXiv 2021, arXiv:2107.12213. [Google Scholar]
- Veeriah, V.; Zhuang, N.; Qi, G.J. Differential recurrent neural networks for action recognition. In Proceedings of the IEEE International Conference on Computer Vision, Santiago, Chile, 7–13 December 2015; pp. 4041–4049. [Google Scholar]
- Zhang, C.; Li, S.; Ye, M.; Zhu, C.; Li, X. Learning Various Length Dependence by Dual Recurrent Neural Networks. Neurocomputing 2021, 466, 1–15. [Google Scholar]
- Liu, J.; Wang, G.; Hu, P.; Duan, L.Y.; Kot, A.C. Global context-aware attention lstm networks for 3d action recognition. In Proceedings of the IEEE Conference on Computer Vision and Pattern Recognition, Honolulu, HI, USA, 21–26 July 2017; pp. 1647–1656. [Google Scholar]
- Song, S.; Lan, C.; Xing, J.; Zeng, W.; Liu, J. An End-to-End Spatio-Temporal Attention Model for Human Action Recognition from Skeleton Data. In Proceedings of the AAAI Conference on Artificial Intelligence 2017, San Francisco, CA, USA, 4–9 February 2017; pp. 4263–4270. [Google Scholar]
- Gao, Y.; Li, C.; Li, S.; Cai, X.; Ye, M.; Yuan, H. A Deep Attention Model for Action Recognition from Skeleton Data. Appl. Sci. 2022, 12, 2006. [Google Scholar] [CrossRef]
- Zhu, W.; Lan, C.; Xing, J.; Zeng, W.; Li, Y.; Shen, L.; Xie, X. Co-Occurrence Feature Learning for Skeleton Based Action Recognition Using Regularized Deep LSTM Networks. In Proceedings of the AAAI Conference on Artificial Intelligence 2016, Phoenix, AZ, USA, 12–17 February 2016; Volume 2, p. 8. [Google Scholar]
- Goyal, P.; Dollár, P.; Girshick, R.; Noordhuis, P.; Wesolowski, L.; Kyrola, A.; Tulloch, A.; Jia, Y.; He, K. Accurate, large minibatch SGD: Training imagenet in 1 hour. arXiv 2017, arXiv:1706.02677. [Google Scholar]
- Zhang, J.; Li, W.; Wang, P.; Ogunbona, P.; Liu, S.; Tang, C. A large scale rgb-d dataset for action recognition. In Proceedings of the International Workshop on Understanding Human Activities through 3D Sensors, Cancun, Mexico, 4 December 2016; Springer: Berlin/Heidelberg, Germany, 2016; pp. 101–114. [Google Scholar]
- Kingma, D.P.; Ba, J. Adam: A method for stochastic optimization. arXiv 2014, arXiv:1412.6980. [Google Scholar]
- Huang, Z.; Wan, C.; Probst, T.; Van Gool, L. Deep learning on lie groups for skeleton-based action recognition. arXiv 2016, arXiv:1612.05877. [Google Scholar]
- Liu, M.; Liu, H.; Chen, C. Enhanced skeleton visualization for view invariant human action recognition. Pattern Recognit. 2017, 68, 346–362. [Google Scholar]
- Baradel, F.; Wolf, C.; Mille, J. Pose-conditioned Spatio-Temporal Attention for Human Action Recognition. arXiv 2017, arXiv:1703.10106. [Google Scholar]
- Li, W.; Zhang, Z.; Liu, Z. Action recognition based on a bag of 3d points. In Proceedings of the 2010 IEEE Computer Society Conference on Computer Vision and Pattern Recognition-Workshops, San Francisco, CA, USA, 13–18 June 2010; pp. 9–14. [Google Scholar]
- Xia, L.; Chen, C.C.; Aggarwal, J.K. View invariant human action recognition using histograms of 3d joints. In Proceedings of the 2012 IEEE Computer Society Conference on Computer Vision and Pattern Recognition Workshops, Providence, RI, USA, 16–21 June 2012; pp. 20–27. [Google Scholar]
- Wang, J.; Liu, Z.; Wu, Y.; Yuan, J. Mining actionlet ensemble for action recognition with depth cameras. In Proceedings of the 2012 IEEE Conference on Computer Vision and Pattern Recognition, Providence, RI, USA, 16–21 June 2012; pp. 1290–1297. [Google Scholar]
- Yang, X.; Tian, Y. Super normal vector for activity recognition using depth sequences. In Proceedings of the IEEE Conference on Computer Vision and Pattern Recognition, Columbus, OH, USA, 23–28 June 2014; pp. 804–811. [Google Scholar]
- Sung, J.; Ponce, C.; Selman, B.; Saxena, A. Human Activity Detection from RGBD Images. Plan Act. Intent Recognit. 2011, 64. [Google Scholar]
- Bloom, V.; Makris, D.; Argyriou, V. G3d: A gaming action dataset and real time action recognition evaluation framework. In Proceedings of the 2012 IEEE Computer Society Conference on Computer Vision and Pattern Recognition Workshops, Providence, RI, USA, 16–21 June 2012; pp. 7–12. [Google Scholar]
- Ni, B.; Wang, G.; Moulin, P. Rgbd-hudaact: A color-depth video database for human daily activity recognition. In Proceedings of the 2011 IEEE International Conference on Computer Vision Workshops (ICCV Workshops), Barcelona, Spain, 6–13 November 2011; pp. 1147–1153. [Google Scholar]
- Chen, C.; Jafari, R.; Kehtarnavaz, N. Utd-mhad: A multimodal dataset for human action recognition utilizing a depth camera and a wearable inertial sensor. In Proceedings of the 2015 IEEE International Conference on Image Processing (ICIP), Quebec City, QC, Canada, 27–30 September 2015; pp. 168–172. [Google Scholar]





| Method | CS | CV |
|---|---|---|
| Baseline IndRNN | 81.55% | 87.12% |
| Baseline IndRNN Test with 2× rate | 63.5% | 66.65% |
| Variable Rate IndRNN | 79.52% | 88.00% |
| Variable Rate IndRNN Test with 2× rate | 79.04% | 88.31% |
| Method | CS | CV |
|---|---|---|
| Deep learning on Lie Group [36] | 61.37% | 66.95% |
| JTM + CNN [17] | 73.40% | 75.20% |
| Res-TCN [19] | 74.30% | 83.10% |
| SkeletonNet (CNN) [18] | 75.94% | 81.16% |
| JDM + CNN [22] | 76.20% | 82.30% |
| Clips + CNN + MTLN [21] | 79.57% | 84.83% |
| Enhanced Visualization + CNN [37] | 80.03% | 87.21% |
| 1 Layer RNN [6] | 56.02% | 60.24% |
| 2 Layer RNN [6] | 56.29% | 64.09% |
| 1 Layer LSTM [6] | 59.14% | 66.81% |
| 2 Layer LSTM [6] | 60.09% | 67.29% |
| 1 Layer PLSTM [6] | 62.05% | 69.40% |
| 2 Layer PLSTM [6] | 62.93% | 70.27% |
| JL_d + RNN [14] | 70.26% | 82.39% |
| STA-LSTM [30] | 73.40% | 81.20% |
| ST-LSTM + Trust Gate [7] | 69.20% | 77.70% |
| Pose conditioned STA-LSTM [38] | 77.10% | 84.50% |
| IndRNN [10] | 81.80% | 87.97% |
| Proposed | 84.32% | 89.71% |
Publisher’s Note: MDPI stays neutral with regard to jurisdictional claims in published maps and institutional affiliations. |
© 2022 by the authors. Licensee MDPI, Basel, Switzerland. This article is an open access article distributed under the terms and conditions of the Creative Commons Attribution (CC BY) license (https://creativecommons.org/licenses/by/4.0/).
Share and Cite
Gao, Y.; Li, C.; Li, S.; Cai, X.; Ye, M.; Yuan, H. Variable Rate Independently Recurrent Neural Network (IndRNN) for Action Recognition. Appl. Sci. 2022, 12, 3281. https://doi.org/10.3390/app12073281
Gao Y, Li C, Li S, Cai X, Ye M, Yuan H. Variable Rate Independently Recurrent Neural Network (IndRNN) for Action Recognition. Applied Sciences. 2022; 12(7):3281. https://doi.org/10.3390/app12073281
Chicago/Turabian StyleGao, Yanbo, Chuankun Li, Shuai Li, Xun Cai, Mao Ye, and Hui Yuan. 2022. "Variable Rate Independently Recurrent Neural Network (IndRNN) for Action Recognition" Applied Sciences 12, no. 7: 3281. https://doi.org/10.3390/app12073281
APA StyleGao, Y., Li, C., Li, S., Cai, X., Ye, M., & Yuan, H. (2022). Variable Rate Independently Recurrent Neural Network (IndRNN) for Action Recognition. Applied Sciences, 12(7), 3281. https://doi.org/10.3390/app12073281

