Numerical Study of Wave Effect on Aircraft Water-Landing Performance
Abstract
1. Introduction
2. Computational Method
2.1. Governing Equations and Numerical Schemes
2.2. Wavemaker
2.3. Case Setup of Aircraft Water-Landing Problem
3. Validation of Numerical Model
3.1. Validation of Numerical Wave
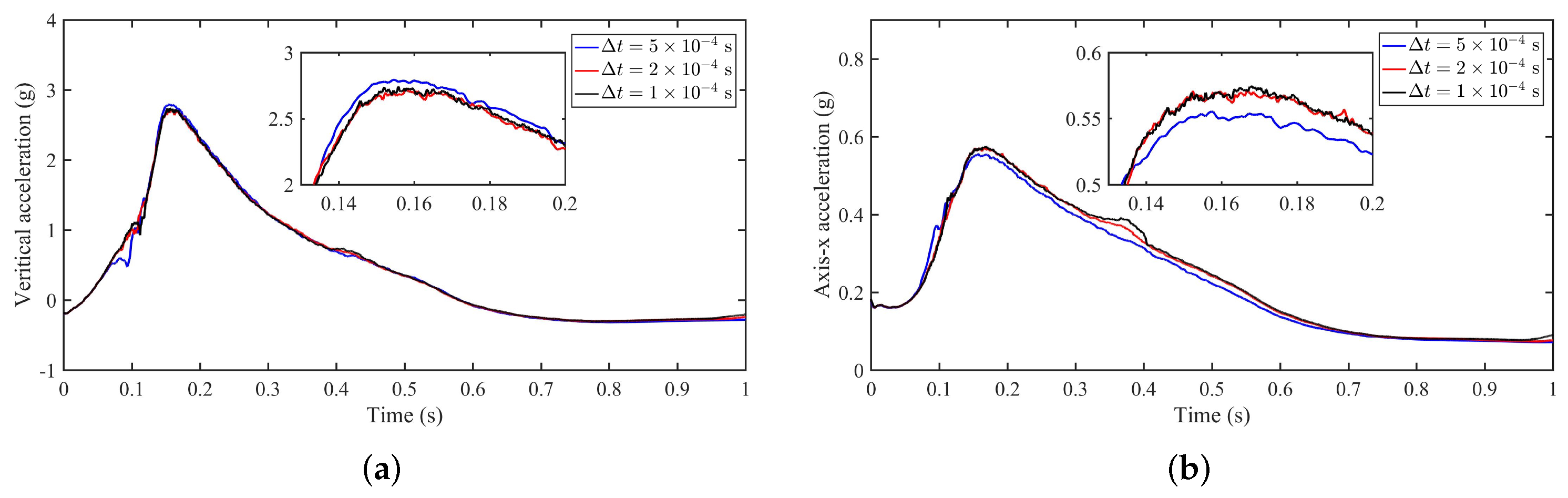
3.2. Mesh and Time Step Size Convergence Studies
4. Results and Discussions
4.1. Calm Water vs. Wave Water
4.1.1. Step Impacting Stage
4.1.2. Fuselage Impacting Stage
4.1.3. Pitch-Up Stage
4.2. Wave Height Effect
5. Conclusions
Author Contributions
Funding
Institutional Review Board Statement
Informed Consent Statement
Data Availability Statement
Acknowledgments
Conflicts of Interest
Abbreviations
| CFD | Computational Fluid Dynamics |
| RANS | Reynolds-averaged Navier–Stokes |
| FVM | Finite Volume Method |
| VOF | Volume of Fluid |
| DFBI | Dynamic Fluid Body Interaction |
| H | wave height |
| L | wave length |
| A | wave amplitude |
| k | wave number |
| T | wave period |
| d | water depth |
| computational domain size in the x, y, z directions | |
| computational cell size in the x, y, z directions | |
| time step of numerical simulation |
References
- Lindenau, O.; Rung, T. Review of Transport Aircraft Ditching accidents. In Proceedings of the 6th International KRASH Users’ Seminar (IKUS6), Stuttgart, Germany, 15–17 June 2009. [Google Scholar]
- Hughes, K.; Vignjevic, R.; Campbell, J.; De Vuyst, T.; Djordjevic, N.; Papagiannis, L. From aerospace to offshore: Bridging the numerical simulation gaps–Simulation advancements for fluid structure interaction problems. Int. J. Impact Eng. 2013, 61, 48–63. [Google Scholar] [CrossRef]
- Iafrati, A.; Grizzi, S.; Olivieri, F. Experimental Investigation of Fluid–Structure Interaction Phenomena during Aircraft Ditching. AIAA J. 2021, 59, 1561–1574. [Google Scholar] [CrossRef]
- Qu, Q.; Liu, C.; Liu, P.; Guo, B.; Agarwal, R.K. Numerical simulation of water-landing performance of a regional aircraft. J. Aircr. 2016, 53, 1680–1689. [Google Scholar] [CrossRef]
- Gretsch, J.; Henry, M.; Jivani, M.; Liwanag, M.; Rogers, A.; Smisko, A.; Wolf, D.; Siddens, A.; Satterwhite, M.; Bayandor, J. A Virtual Aerospace Crashworthiness Modeling Platform: Part I, Substantiation Water Ditching Trials. In Proceedings of the 50th AIAA Aerospace Sciences Meeting Including the New Horizons Forum and Aerospace Exposition, Nashville, TN, USA, 9–12 January 2012. [Google Scholar] [CrossRef]
- Coltman, J.W.; Arndt, S.M. The Naval Aircraft Crash Environment: Aircrew Survivability and Aircraft Structural Response; Technical Report TR-88490; Defense Technical Information Center: Fairfax, VA, USA, 1988.
- Authority, C.A. CAA PAPER 2005/06 Summary Report on Helicopter Ditching and Crashworthiness Research; Technical report; TSO: London, UK, 2005. [Google Scholar]
- Taber, M.; McCabe, J. An examination of survival rates based on external flotation devices: A helicopter ditching review from 1971 to 2005. SAFE J. 2007, 35, 1–6. [Google Scholar]
- Brooks, C.J.; MacDonald, C.V.; Donati, L.; Taber, M.J. Civilian helicopter accidents into water: Analysis of 46 cases, 1979–2006. Aviat. Space Environ. Med. 2008, 79, 935–940. [Google Scholar] [CrossRef]
- Brooks, C.J.; MacDonald, C.V.; Baker, S.P.; Shanahan, D.F.; Haaland, W.L. Helicopter crashes into water: Warning time, final position, and other factors affecting survival. Aviat. Space Environ. Med. 2014, 85, 440–444. [Google Scholar] [CrossRef]
- Seddon, C.M.; Moatamedi, M. Review of water entry with applications to aerospace structures. Int. J. Impact Eng. 2006, 32, 1045–1067. [Google Scholar] [CrossRef]
- Hughes, K.; Campbell, J. Helicopter crashworthiness: A chronological review of research related to water impact from 1982 to 2006. J. Am. Helicopter Soc. 2008, 53, 429–441. [Google Scholar] [CrossRef][Green Version]
- Ortiz, R.; Portemont, G.; Charles, J.L.; Sobry, J.F. Assesment of explicit FE capabilities for full scale coupled fluid/structure aircraft ditching simulation. In Proceedings of the ICAS 2002 Congress, Toronto, ON, Canada, 8–13 September 2002. [Google Scholar]
- Pentecote, N.; Vigliotti, A. Crashworthiness of helicopters on water: Test and simulation of a full-scale WG30 impacting on water. Int. J. Crashworthiness 2006, 8, 559–572. [Google Scholar] [CrossRef]
- Jackson, K.E.; Fuchs, Y.T. Comparison of ALE and SPH simulations of vertical drop tests of a composite fuselage section into water. In Proceedings of the 10th International LS-DYNA Users Conference, Dearborn, MI, USA, 8–10 June 2008. [Google Scholar]
- Siemann, M.N.; Langrand, B. Coupled Fluid-Structure ComputationalMethods for AircraftDitching Simulation: Comparison ofALE-FE and SPH-FE Approaches. Comput. Struct. 2017, 188, 95–108. [Google Scholar] [CrossRef]
- Bisagni, C.; Pigazzini, M.S. Modelling strategies for numerical simulation of aircraft ditching. Int. J. Crashworthiness 2018, 23, 377–394. [Google Scholar] [CrossRef]
- Xiao, T.; Qin, N.; Lu, Z.; Sun, X.; Tong, M.; Wang, Z. Development of a smoothed particle hydrodynamics method and its application to aircraft ditching simulations. Aerosp. Sci. Technol. 2017, 66, 28–43. [Google Scholar] [CrossRef]
- Lu, Z.; Xiao, T.; Li, Z.; Zhang, Z.; Du, S.; Wang, Z. Pitching Angle on Space Capsule Water Landing Using Smooth Particle Hydrodynamic Method. J. Spacecr. Rocket. 2017, 54, 743–754. [Google Scholar] [CrossRef]
- Xiao, T.; Lu, Z.; Deng, S. Effect of Initial Pitching Angle on Helicopter Ditching Characteristics Using Smoothed-Particle-Hydrodynamics Method. J. Aircr. 2021, 58, 167–181. [Google Scholar] [CrossRef]
- Wick, A.; Zink, G.; Ruszkowski, R.; Shih, T. Computational simulation of an unmanned air vehicle impacting water. In Proceedings of the 45th AIAA Aerospace Sciences Meeting and Exhibit, Reno, NV, USA, 8–11 January 2007. [Google Scholar] [CrossRef]
- Streckwall, H.; Lindenau, O.; Bensch, L. Aircraft ditching: A free surface/free motion problem. Arch. Civ. Mech. Eng. 2007, 7, 177–190. [Google Scholar] [CrossRef]
- Guo, B.; Liu, P.; Qu, Q.; Wang, J. Effect of pitch angle on initial stage of a transport airplane ditching. Chin. J. Aeronaut. 2013, 26, 17–26. [Google Scholar] [CrossRef]
- Qu, Q.; Hu, M.; Guo, H.; Liu, P.; Agarwal, R.K. Study of ditching characteristics of transport aircraft by global moving mesh method. J. Aircr. 2015, 52, 1550–1558. [Google Scholar] [CrossRef]
- Woodgate, M.A.; Barakos, G.N.; Scrase, N.; Neville, T. Simulation of helicopter ditching using smoothed particle hydrodynamics. Aerosp. Sci. Technol. 2019, 85, 277–292. [Google Scholar] [CrossRef]
- Feng, S.; Mingzhen, W.; Jiaxu, Z.; Qi, H. Numerical Simulation Method for Wave Surface Landing of Seaplane. IOP Conf. Ser. Mater. Sci. Eng. 2020, 751, 012061. [Google Scholar] [CrossRef]
- Zhao, Y.; Qu, Q.; Liu, P. Numerical Study on the Extreme Impact Load of Wavy-Water Ditching. IOP Conf. Ser. Mater. Sci. Eng. 2020, 816, 012003. [Google Scholar] [CrossRef]
- Xiao, T.; Lu, Y.; Deng, S.; Zhi, H.; Zhu, Z.; Chen, J. Hydrodynamic Characteristics of a Helicopter Ditching on Different Positions of Wavy Water. J. Aircr. 2021, 58, 1094–1105. [Google Scholar] [CrossRef]
- Chen, C.; Sun, T.; Wei, Y.; Wang, C. Computational analysis of compressibility effects on cavity dynamics in high-speed water-entry. Int. J. Nav. Archit. Ocean. Eng. 2019, 11, 495–509. [Google Scholar] [CrossRef]
- Hirt, C.W.; Nichols, B.D. Volume of fluid (VOF) method for the dynamics of free boundaries. J. Comput. Phys. 1981, 39, 201–225. [Google Scholar] [CrossRef]
- CD-adapco, S. STAR CCM+ User Guide Version 12.04; CD-adapco: New York, NY, USA, 2017. [Google Scholar]
- Ohmori, T. Finite-volume simulation of flows about a ship in maneuvering motion. J. Mar. Sci. Technol. 1998, 3, 82–93. [Google Scholar] [CrossRef]
- Elhanafi, A.; Fleming, A.; Leong, Z.; Macfarlane, G. Effect of RANS-based turbulence models on nonlinear wave generation in a two-phase numerical wave tank. Prog. Comput. Fluid Dyn. 2017, 17, 141–158. [Google Scholar] [CrossRef]
- Craik, A.D. The origins of water wave theory. Annu. Rev. Fluid Mech. 2004, 36, 1–28. [Google Scholar] [CrossRef]
- Larsen, J.; Dancy, H. Open boundaries in short wave simulations—A new approach. Coast. Eng. 1983, 7, 285–297. [Google Scholar] [CrossRef]
- Choi, J.; Yoon, S.B. Numerical simulations using momentum source wave-maker applied to RANS equation model. Coast. Eng. 2009, 56, 1043–1060. [Google Scholar] [CrossRef]
- Peric, R.; Abdel-Maksoud, M. Reliable damping of free-surface waves in numerical simulations. Ship Technol. Res. 2016, 63, 1–13. [Google Scholar] [CrossRef]
- Massel, S.R. Ocean Waves Breaking and Marine Aerosol Fluxes; Chapter Wave Breaking Criteria and Probability of Breaking; Springer Science and Business Media: Berlin/Heidelberg, Germany, 2007; Volume 38, pp. 121–155. [Google Scholar]
- Dean, R.G.; Dalrymple, R.A. Water Wave Mechanics for Engineers and Scientists; World Scientific Publishing Company: Singapore, 1991; Volume 2, pp. 64–65. [Google Scholar]
- Jin, Y.; Zhi, H.; Lu, Y.; Wu, B.; Xiao, T.; Tong, M. Numerical Simulation of Three Dimensional Tank Impacting on Wavy Water. In Proceedings of the AIAA Aviation 2019 Forum, Dallas, TX, USA, 17–21 June 2019. [Google Scholar] [CrossRef]
- Lu, Y.; Xiao, T.; Chen, J.; Tong, M.; Liu, F.; Zhu, Z. Numerical Simulation of Helicopter Ditching on Wavy Water. In Proceedings of the AIAA Aviation 2019 Forum, Dallas, TX, USA, 17–21 June 2019. [Google Scholar] [CrossRef]
- Chen, J.; Xiao, T.; Shen, L.; Lu, Y.; Tong, M. Numerical Wave Simulation and Investigation of Air-wave-aircraft Interactions. In Proceedings of the AIAA Aviation 2019 Forum, Dallas, TX, USA, 17–21 June 2019. [Google Scholar] [CrossRef]
- Siemann, M.; Groenenboom, P. Pressure evaluation at arbitrary locations in SPH water impact simulations. In PARTICLES III: Proceedings of the III International Conference on Particle-Based Methods: Fundamentals and Applications: Stuttgart, Germany, 18–20 September 2013; CIMNE: Barcelona, Spain, 2013; pp. 961–974. [Google Scholar]



















| Grid Resolution | x, mm | y, mm | z, mm | Total Cell Number, Million |
|---|---|---|---|---|
| Coarse | 1000 | 1000 | 100 | 8.8 |
| Medium | 500 | 500 | 50 | 18.4 |
| Fine | 250 | 250 | 25 | 28.7 |
| Mesh | t, s | Courant Number |
|---|---|---|
| Medium | 0.1284 | |
| Medium | 0.2562 | |
| Medium | 0.6425 |
Publisher’s Note: MDPI stays neutral with regard to jurisdictional claims in published maps and institutional affiliations. |
© 2022 by the authors. Licensee MDPI, Basel, Switzerland. This article is an open access article distributed under the terms and conditions of the Creative Commons Attribution (CC BY) license (https://creativecommons.org/licenses/by/4.0/).
Share and Cite
Chen, J.; Xiao, T.; Wang, M.; Lu, Y.; Tong, M. Numerical Study of Wave Effect on Aircraft Water-Landing Performance. Appl. Sci. 2022, 12, 2561. https://doi.org/10.3390/app12052561
Chen J, Xiao T, Wang M, Lu Y, Tong M. Numerical Study of Wave Effect on Aircraft Water-Landing Performance. Applied Sciences. 2022; 12(5):2561. https://doi.org/10.3390/app12052561
Chicago/Turabian StyleChen, Jichang, Tianhang Xiao, Mingzhen Wang, Yujin Lu, and Mingbo Tong. 2022. "Numerical Study of Wave Effect on Aircraft Water-Landing Performance" Applied Sciences 12, no. 5: 2561. https://doi.org/10.3390/app12052561
APA StyleChen, J., Xiao, T., Wang, M., Lu, Y., & Tong, M. (2022). Numerical Study of Wave Effect on Aircraft Water-Landing Performance. Applied Sciences, 12(5), 2561. https://doi.org/10.3390/app12052561

