Traffic Flow Prediction Method Based on Seasonal Characteristics and SARIMA-NAR Model
Abstract
:1. Introduction
2. Methods
2.1. SARIMA Model
2.2. NAR Dynamic Neural Network
2.3. SARIMA-NAR Model
- Method of combining linear and nonlinear components
- The method of MSE weight combination
3. Case Analysis
3.1. The Prediction of the SARIMA Model
3.1.1. The Stationarization of Series
3.1.2. The Determination of Model Parameters
3.2. The Prediction of the NAR Model
3.2.1. Series Normalization
3.2.2. The Establishment of the NAR Model
3.3. Analysis of Forecast Results
4. Discussion
4.1. Comparison of Multiple Models
4.2. Performance of Prediction Model under the Influence of the Epidemic
5. Conclusions
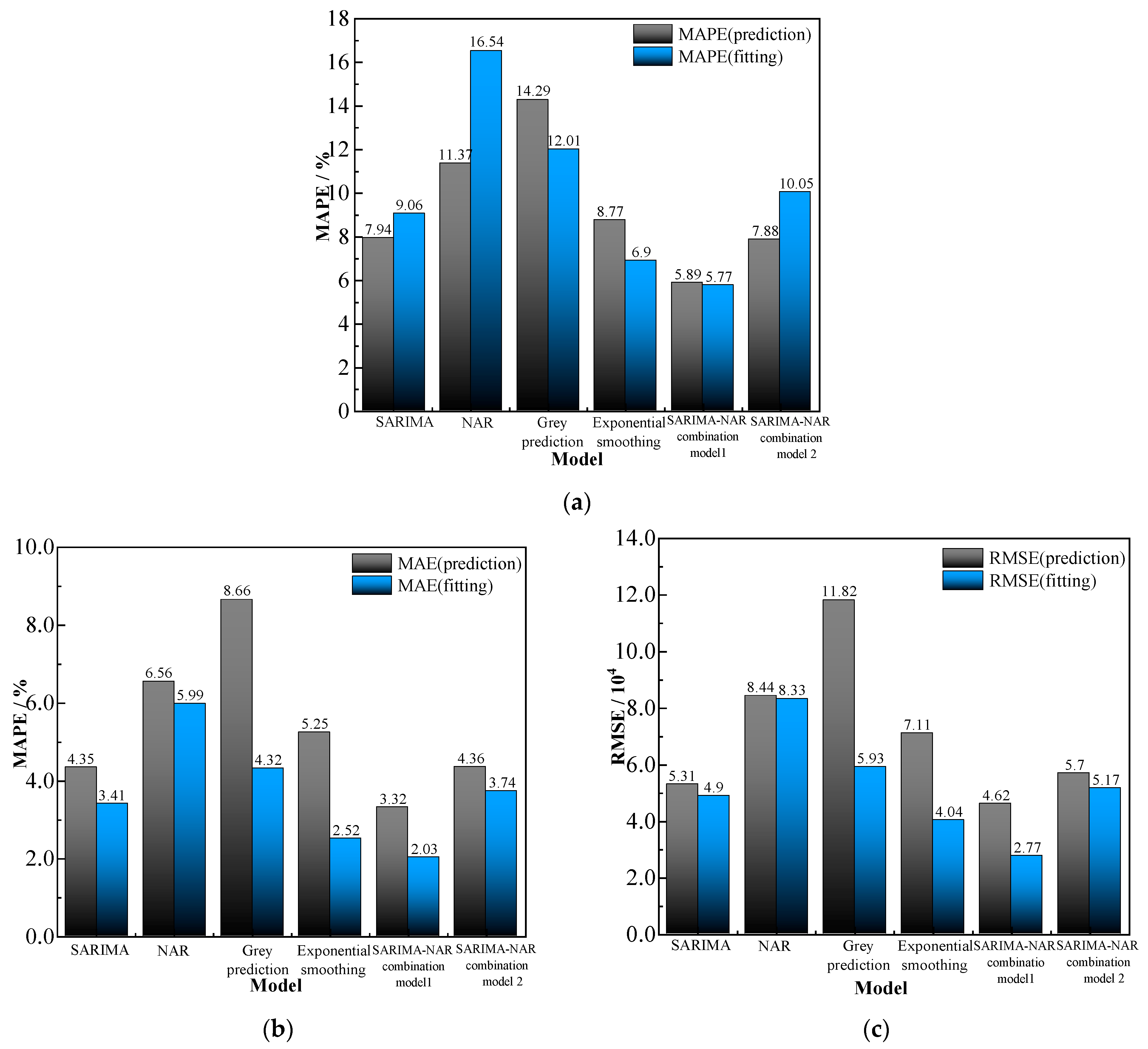
- The SARIMA–NAR combination model 1 is superior to the SARIMA, NAR, and commonly used non-combination models, such as grey prediction and exponential smoothing models, have fewer errors than the SARIMA–NAR combination model 2. In the SARIMA–NAR combination model 2 using the MSE weight combination method, the predicted MAPE is smaller than other common non-combination models. However, it has a mediocre performance in evaluating other indicators.
- The time series of traffic flow has obvious seasonal characteristics. The SARIMA–NAR combination model has low requirements for data information and fewer restriction. In addition, the prediction results are highly effective and accurate, and the prediction process is more convenient and efficient.
- The SARIMA–NAR combination model can adapt to the fluctuations in traffic flow under the influence of the epidemic, and the model prediction has a high accuracy rate, especially the SARIMA–NAR combination model 1.
- The SARIMA–NAR combination model 1 and combination model 2 have different prediction characteristics. Further, based on the improved weight combination method, the advantages of these two combination models can be combined to realize the fusion prediction of the linear and nonlinear component combination method and the MSE weight combination method.
Author Contributions
Funding
Data Availability Statement
Conflicts of Interest
References
- Macioszek, E.; Kurek, A. Extracting Road Traffic Volume in the City before and during covid-19 through Video Remote Sensing. Remote Sens. 2021, 13, 2329. [Google Scholar] [CrossRef]
- de Souza, D.G.B.; dos Santos, E.A.; Alves Junior, F.T.; Nascimento, M.C.V. On Comparing Cross-Validated Forecasting Models with a Novel Fuzzy-TOPSIS Metric: A COVID-19 Case Study. Sustainability 2021, 13, 13599. [Google Scholar] [CrossRef]
- Ko, E.; Ahn, J.; Kim, E.Y. 3D Markov Process for Traffic Flow Prediction in Real-Time. Sensors 2016, 16, 147. [Google Scholar] [CrossRef] [PubMed] [Green Version]
- Yao, R.; Zhang, W.; Zhang, D. Period Division-Based Markov Models for Short-Term Traffic Flow Prediction. IEEE Access 2020, 8, 178345–178359. [Google Scholar] [CrossRef]
- Ma, C.; Tan, L.; Xu, X. Short-term traffic flow prediction based on genetic artificial neural network and exponential smoothing. Promet-Traffic Transp. 2020, 32, 747–760. [Google Scholar] [CrossRef]
- Tang, J.; Zeng, J.; Wang, Y.; Yuan, H.; Liu, F.; Huang, H. Traffic flow prediction on urban road network based on License Plate Recognition data: Combining attention-LSTM with Genetic Algorithm. Transp. A Transp. Sci. 2021, 17, 1217–1243. [Google Scholar] [CrossRef]
- Hou, Q.; Leng, J.; Ma, G.; Liu, W.; Cheng, Y. An adaptive hybrid model for short-term urban traffic flow prediction. Phys. A-Stat. Mech. Its Appl. 2019, 527. [Google Scholar] [CrossRef]
- Zhang, W.; Yu, Y.; Qi, Y.; Shu, F.; Wang, Y. Short-term traffic flow prediction based on spatio-temporal analysis and CNN deep learning. Transp. A-Transp. Sci. 2019, 15, 1688–1711. [Google Scholar] [CrossRef]
- Peng, H.; Wang, H.; Du, B.; Bhuiyan, M.Z.A.; Ma, H.; Liu, J.; Wang, L.; Yang, Z.; Du, L.; Wang, S.; et al. Spatial temporal incidence dynamic graph neural networks for traffic flow forecasting. Inf. Sci. 2020, 521, 277–290. [Google Scholar] [CrossRef]
- Wang, X.; Xu, L. Wavelet-based short-term forecasting with improved threshold recognition for urban expressway traffic conditions. IET Intell. Transp. Syst. 2018, 12, 463–473. [Google Scholar] [CrossRef]
- Mao, S.; Xiao, X. Short-Term Traffic Flow Grey Forecasting Model GM(1,1 vertical bar tan(k-tau)p, sin(k-tau)p) of Single-Cross-Section and Its Particle Swarm Optimization. J. Grey Syst. 2010, 22, 383–394. [Google Scholar]
- Zhan, W.; Lu, Q.; Shang, Y. Prediction of Traffic Volume in Highway Tunnel Group Region Based on Grey Markov Model. In Proceedings of the 4th International Conference on Manufacturing Science and Engineering (ICMSE 2013), Dalian, China, 30–31 March 2013. [Google Scholar]
- Wang, C.; Ye, Z. Traffic flow forecasting based on a hybrid model. J. Intell. Transp. Syst. 2016, 20, 428–437. [Google Scholar] [CrossRef]
- Shahriari, S.; Ghasri, M.; Sisson, S.A.; Rashidi, T. Ensemble of ARIMA: Combining parametric and bootstrapping technique for traffic flow prediction. Transp. A-Transp. Sci. 2020, 16, 1552–1573. [Google Scholar] [CrossRef]
- Lippi, M.; Bertini, M.; Frasconi, P. Short-Term Traffic Flow Forecasting: An Experimental Comparison of Time-Series Analysis and Supervised Learning. IEEE Trans. Intell. Transp. Syst. 2013, 14, 871–882. [Google Scholar] [CrossRef]
- Zhang, L.; Alharbe, N.R.; Luo, G.; Yao, Z.; Li, Y. A Hybrid Forecasting Framework Based on Support Vector Regression with a Modified Genetic Algorithm and a Random Forest for Traffic Flow Prediction. Tsinghua Sci. Technol. 2018, 23, 479–492. [Google Scholar] [CrossRef]
- Zhang, Y.-G.; Tang, J.; He, Z.-Y.; Tan, J.; Li, C. A novel displacement prediction method using gated recurrent unit model with time series analysis in the Erdaohe landslide. Nat. Hazards 2021, 105, 783–813. [Google Scholar] [CrossRef]
- Yao, R.; Zhang, W.; Zha, L. Hybrid Methods for Short-Term Traffic Flow Prediction Based on ARIMA-GARCH Model and Wavelet Neural Network. J. Transp. Eng. Part A-Syst. 2020, 146, 04020086. [Google Scholar] [CrossRef]
- Yasdi, R. Prediction of road traffic using a neural network approach. Neural Comput. Appl. 1999, 8, 135–142. [Google Scholar] [CrossRef]
- Yang, Y.; Zheng, H.; Zhang, R. Prediction and Analysis of Aircraft Failure Rate Based on SARIMA Model. In Proceedings of the 2nd IEEE International Conference on Computational Intelligence and Applications (ICCIA), Beijing, China, 8–11 September 2017; pp. 567–571. [Google Scholar]
- Song, Z.; Guo, Y.; Wu, Y.; Ma, J. Short-term traffic speed prediction under different data collection time intervals using a SARIMA-SDGM hybrid prediction model. PLoS ONE 2019, 14, e0218626. [Google Scholar] [CrossRef] [PubMed]
- Zhang, Y.; Xie, Y.; Zhang, Y.; Qiu, J.; Wu, S. The adoption of deep neural network (DNN) to the prediction of soil liquefaction based on shear wave velocity. Bull. Eng. Geol. Environ. 2021, 80, 5053–5060. [Google Scholar] [CrossRef]
- Chen, X.; Cai, X.; Liang, J.; Liu, Q. Ensemble Learning Multiple LSSVR With Improved Harmony Search Algorithm for Short-Term Traffic Flow Forecasting. IEEE Access 2018, 6, 9347–9357. [Google Scholar] [CrossRef]
- Xu, X.; Jin, X.; Xiao, D.; Ma, C.; Wong, S.C. A hybrid autoregressive fractionally integrated moving average and nonlinear autoregressive neural network model for short-term traffic flow prediction. J. Intell. Transp. Syst. 2021, 1–18. [Google Scholar] [CrossRef]
- Sharifi, J.; Saeednia, N. Neuro-Fuzzy Modeling of Data Singular Spectrum Decomposition and Traffic Flow Prediction. Iran. J. Sci. Technol. -Trans. Electr. Eng. 2020, 44, 519–535. [Google Scholar] [CrossRef]
- Duan, H.; Liu, Y.; Wang, D.; He, L.; Xiao, X. Prediction of a multi-mode coupling model based on traffic flow tensor data. J. Intell. Fuzzy Syst. 2019, 36, 1691–1703. [Google Scholar] [CrossRef]
- Xia, D.; Zhang, M.; Yan, X.; Bai, Y.; Zheng, Y.; Li, Y.; Li, H. A distributed WND-LSTM model on MapReduce for short-term traffic flow prediction. Neural Comput. Appl. 2021, 33, 2393–2410. [Google Scholar] [CrossRef]
- Zhao, F.; Zeng, G.-Q.; Lu, K.-D. EnLSTM-WPEO: Short-Term Traffic Flow Prediction by Ensemble LSTM, NNCT Weight Integration, and Population Extremal Optimization. IEEE Trans. Veh. Technol. 2020, 69, 101–113. [Google Scholar] [CrossRef]
- Wang, Y.; Zhao, L.; Li, S.; Wen, X.; Xiong, Y. Short Term Traffic Flow Prediction of Urban Road Using Time Varying Filtering Based Empirical Mode Decomposition. Appl. Sci. 2020, 10, 2038. [Google Scholar] [CrossRef] [Green Version]
- Lu, W.; Rui, Y.; Yi, Z.; Ran, B.; Gu, Y. A Hybrid Model for Lane-Level Traffic Flow Forecasting Based on Complete Ensemble Empirical Mode Decomposition and Extreme Gradient Boosting. IEEE Access 2020, 8, 42042–42054. [Google Scholar] [CrossRef]
- Li, Y.; Chai, S.; Ma, Z.; Wang, G. A Hybrid Deep Learning Framework for Long-Term Traffic Flow Prediction. IEEE Access 2021, 9, 11264–11271. [Google Scholar] [CrossRef]
- Zhao, L.; Song, Y.; Zhang, C.; Liu, Y.; Wang, P.; Lin, T.; Deng, M.; Li, H. T-GCN: A Temporal Graph Convolutional Network for Traffic Prediction. IEEE Trans. Intell. Transp. Syst. 2020, 21, 3848–3858. [Google Scholar] [CrossRef] [Green Version]
- Vijayalakshmi, B.; Ramar, K.; Jhanjhi, N.Z.; Verma, S.; Kaliappan, M.; Vijayalakshmi, K.; Vimal, S.; Kavita; Ghosh, U. An attention-based deep learning model for traffic flow prediction using spatiotemporal features towards sustainable smart city. Int. J. Commun. Syst. 2021, 34, e4609. [Google Scholar] [CrossRef]
- Li, R.; Hu, Y.; Liang, Q. T2F-LSTM Method for Long-Term Traffic Volume Prediction. IEEE Trans. Fuzzy Syst. 2020, 28, 3256–3264. [Google Scholar] [CrossRef]
- Li, Z.; Zheng, Z.; Washington, S. Short-Term Traffic Flow Forecasting: A Component-Wise Gradient Boosting Approach With Hierarchical Reconciliation. IEEE Trans. Intell. Transp. Syst. 2020, 21, 5060–5072. [Google Scholar] [CrossRef]
- Mohammad, K.F.; Rajiv, G. ARIMA and NAR based prediction model for time series analysis of COVID-19 cases in India. J. Saf. Sci. Resil. 2020, 1, 12–18. [Google Scholar]
- Wu, W.; An, S.; Guo, J.; Guan, P.; Ren, Y.; Xia, L.; Zhou, B. Application of nonlinear autoregressive neural network in predicting incidence tendency of hemorrhagic fever with renal syndrome. Zhonghua Liu Xing Bing Xue Za Zhi = Zhonghua Liuxingbingxue Zazhi 2015, 36, 1394–1396. [Google Scholar]
- Rege, A.; Obradovic, Z.; Asadi, N.; Parker, E.; Pandit, R.; Masceri, N.; Singer, B. Predicting Adversarial Cyber-Intrusion Stages Using Autoregressive Neural Networks. IEEE Intell. Syst. 2018, 33, 29–39. [Google Scholar] [CrossRef]
- Li, Z.; Hayashibe, M.; Zhang, Q.; Guiraud, D.; Japan, I.R.S.o. FES-Induced Muscular Torque Prediction with Evoked EMG Synthesized by NARX-Type Recurrent Neural Network. In Proceedings of the 2012 IEEE/Rsj International Conference on Intelligent Robots and Systems, Algarve, Portugal, 7–12 October 2012; pp. 2198–2203. [Google Scholar]
- Xie, H.; Tang, H.; Liao, Y.-H. Time series prediction based on NARX neural networks: An advanced approach. In Proceedings of the International Conference on Machine Learning and Cybernetics 2009, Dalian, China, 13–16 August 2006; pp. 1275–1279. [Google Scholar]
- Chenxia, X.; Zilong, W.; Ng, J.C.Y. Hybrid Model Based on Wavelet Decomposition for Electricity Consumption Prediction. J. Donghua Univ. 2019, 36, 77–87. [Google Scholar] [CrossRef]
- Ordonez, C.; Sanchez Lasheras, F.; Roca-Pardinas, J.; de Cos Juez, F.J. A hybrid ARIMA-SVM model for the study of the remaining useful life of aircraft engines. J. Comput. Appl. Math. 2019, 346, 184–191. [Google Scholar] [CrossRef]
- Wang, X.; Xu, L.; Chen, K. Data-Driven Short-Term Forecasting for Urban Road Network Traffic Based on Data Processing and LSTM-RNN. Arab. J. Sci. Eng. 2019, 44, 3043–3060. [Google Scholar] [CrossRef]
- Wang, K.W.; Deng, C.; Li, J.P.; Zhang, Y.Y.; Li, X.Y.; Wu, M.C. Hybrid methodology for tuberculosis incidence time-series forecasting based on ARIMA and a NAR neural network. Epidemiol. Infect. 2017, 145, 1118–1129. [Google Scholar] [CrossRef] [Green Version]
- Valle dos Santos, R.d.O.; Vellasco, M.M.B.R. Neural Expert Weighting: A NEW framework for dynamic forecast combination. Expert Syst. Appl. 2015, 42, 8625–8636. [Google Scholar] [CrossRef]
- Luor, D.-C. A comparative assessment of data standardization on support vector machine for classification problems. Intell. Data Anal. 2015, 19, 529–546. [Google Scholar] [CrossRef]
- Zhao, L.; Wang, Q.; Jin, B.; Ye, C. Short-Term Traffic Flow Intensity Prediction Based on CHS-LSTM. Arab. J. Sci. Eng. 2020, 45, 10845–10857. [Google Scholar] [CrossRef]
- Zhang, Y.G.; Tang, J.; Cheng, Y.; Huang, L.; Guo, F.; Yin, X.; Li, N. Prediction of landslide displacement with dynamic features using intelligent approaches. Int. J. Min. Sci. Technol. 2022, 12, 368–382. [Google Scholar] [CrossRef]












| Combination Method Category | Features | Methodology | Literature Examples |
|---|---|---|---|
| Method of combining linear and nonlinear component | Build predictive models considering linear and nonlinear characteristics of traffic flow | LSSVR with the Gaussian kernel function and the linear kernel function | [23] |
| ARFIMA-NAR | [24] | ||
| SSA-LLNF | [25] | ||
| ARIMA-GARCH | [18] | ||
| Method of assigning weight combinations | Optimize the model by assigning the best weights | ARIMA-WNN | [7] |
| GM(1,1), SGM with wavelet analysis | [26] | ||
| WND-LSTM | [27] | ||
| EnLSTM-WPEO | [28] | ||
| Method of stacking combination after decomposition | Capture different characteristics of traffic flow data through decomposition | TVF-EMD-LSSVM | [29] |
| CEEMDAN-XGBoost | [30] | ||
| W-CNN-LSTM | [31] | ||
| Space–time combination method | Predict traffic flow based on temporal and spatial features | T-GCN | [32] |
| CNN-LSTM | [33] | ||
| T2F-LSTM | [34] |
| Differential Order | t | p | Critical Value | ||
|---|---|---|---|---|---|
| 1% | 5% | 10% | |||
| d = 0, D = 0 | 0.862 | 0.993 | −3.616 | −2.941 | −2.609 |
| d = 1, D = 0 | −3.826 | 0.003 | −3.621 | −2.944 | −2.610 |
| d = 0, D = 1 | −4.802 | ≤0.001 | −3.629 | −2.945 | −2.611 |
| d = 1, D = 1 | −4.874 | ≤0.001 | −3.633 | −2.949 | −2.613 |
| SARIMA (p, 1, q) (P, 1, Q)12 | SARIMA (p, 0, q) (P, 1, Q)12 | ||
|---|---|---|---|
| Model | BIC | Model | BIC |
| SARIMA (0,1,2) (0,1,2)12 | 22.119 | SARIMA (1,0,0) (0,1,0)12 | 22.132 |
| SARIMA (2,1,2) (2,1,1)12 | 22.122 | SARIMA (1,0,0) (1,1,0)12 | 22.141 |
| SARIMA (1,1,1) (0,1,2)12 | 22.124 | SARIMA (1,0,1) (2,1,0)12 | 22.143 |
| SARIMA (1,1,1) (2,1,0)12 | 22.136 | SARIMA (2,0,0) (2,1,0)12 | 22.143 |
| SARIMA (0,1,0) (2,1,1)12 | 22.140 | SARIMA (0,0,2) (2,1,0)12 | 22.162 |
| … | … | … | … |
| SARIMA (1,1,1) (1,1,2)12 | 22.401 | SARIMA (2,0,0) (1,1,2)12 | 22.542 |
| SARIMA (1,1,2) (1,1,2)12 | 22.408 | SARIMA (0,0,2) (1,1,2)12 | 22.568 |
| SARIMA (0,1,0) (1,1,2)12 | 22.413 | SARIMA (2,0,2) (1,1,1)12 | 22.581 |
| SARIMA (2,1,2) (1,1,2)12 | 22.421 | SARIMA (2,0,1) (1,1,2)12 | 22.650 |
| SARIMA (1,1,0) (1,1,2)12 | 22.487 | SARIMA (2,0,2) (1,1,2)12 | 22.717 |
| Model | A | R | ||||||||
|---|---|---|---|---|---|---|---|---|---|---|
| Prediction | Fitting | Prediction | Fitting | Prediction | Fitting | Prediction | Fitting | Prediction | Fitting | |
| SARIMA | 7.94 | 9.06 | 4.35 | 3.41 | 5.31 | 4.90 | 0.90 | 0.87 | 0.82 | 0.82 |
| NAR | 11.37 | 16.54 | 6.56 | 5.99 | 8.44 | 8.33 | 0.85 | 0.77 | 0.53 | 0.59 |
| Grey prediction | 14.29 | 12.01 | 8.66 | 4.32 | 11.82 | 5.93 | 0.79 | 0.83 | −0.29 | 0.69 |
| Exponential smoothing | 8.77 | 6.90 | 5.25 | 2.52 | 7.11 | 4.04 | 0.87 | 0.89 | 0.86 | 0.87 |
| SARIMA–NAR combination model 1 | 5.89 | 5.77 | 3.32 | 2.03 | 4.62 | 2.77 | 0.92 | 0.93 | 0.88 | 0.95 |
| SARIMA–NAR combination model 2 | 7.88 | 10.05 | 4.36 | 3.74 | 5.70 | 5.17 | 0.90 | 0.86 | 0.81 | 0.80 |
| Model | (%) | A | R | |||||||
|---|---|---|---|---|---|---|---|---|---|---|
| Prediction | Fitting | Prediction | Fitting | Prediction | Fitting | Prediction | Fitting | Prediction | Fitting | |
| SARIMA | 12.25 | 9.63 | 6.18 | 4.29 | 7.67 | 6.62 | 0.87 | 0.84 | 0.76 | 0.82 |
| NAR | 13.24 | 12.17 | 7.47 | 4.79 | 9.44 | 6.64 | 0.83 | 0.83 | 0.54 | 0.81 |
| SARIMA–NAR combination model 1 | 8.07 | 8.28 | 4.29 | 3.48 | 5.66 | 5.57 | 0.90 | 0.87 | 0.86 | 0.87 |
| SARIMA–NAR combination model 2 | 10.30 | 9.98 | 5.46 | 4.31 | 7.13 | 6.38 | 0.87 | 0.85 | 0.73 | 0.83 |
Publisher’s Note: MDPI stays neutral with regard to jurisdictional claims in published maps and institutional affiliations. |
© 2022 by the authors. Licensee MDPI, Basel, Switzerland. This article is an open access article distributed under the terms and conditions of the Creative Commons Attribution (CC BY) license (https://creativecommons.org/licenses/by/4.0/).
Share and Cite
Wang, Y.; Jia, R.; Dai, F.; Ye, Y. Traffic Flow Prediction Method Based on Seasonal Characteristics and SARIMA-NAR Model. Appl. Sci. 2022, 12, 2190. https://doi.org/10.3390/app12042190
Wang Y, Jia R, Dai F, Ye Y. Traffic Flow Prediction Method Based on Seasonal Characteristics and SARIMA-NAR Model. Applied Sciences. 2022; 12(4):2190. https://doi.org/10.3390/app12042190
Chicago/Turabian StyleWang, You, Ruxue Jia, Fang Dai, and Yunxia Ye. 2022. "Traffic Flow Prediction Method Based on Seasonal Characteristics and SARIMA-NAR Model" Applied Sciences 12, no. 4: 2190. https://doi.org/10.3390/app12042190
APA StyleWang, Y., Jia, R., Dai, F., & Ye, Y. (2022). Traffic Flow Prediction Method Based on Seasonal Characteristics and SARIMA-NAR Model. Applied Sciences, 12(4), 2190. https://doi.org/10.3390/app12042190

