Laboratory Assessment and In-Field Monitoring of Macro-Encapsulated Phase Change Materials for Building Envelope Applications
Abstract
1. Introduction
- microencapsulation, which consists in packing the PCM materials into capsules which can range in size from less than 1 μm to around 300 μm [10];
- macro encapsulation, which involves encapsulating PCMs in any type of container, such as tubes, spheres or panels, capsule stripes, or aluminum profiles, which are usually larger than 1 cm.
2. Materials and Methods
2.1. Laboratory Analysis
2.1.1. Materials and Instrument
- Infinite RTM 21 (sample X), characterized by a phase change temperature of ~21 °C
- Infinite RTM 23 (sample Y), characterized by a phase change temperature of ~23 °C
- Infinite RTM 25 (sample Z), characterized by a phase change temperature of ~25 °C
- Equivalent thermal conductivity (solid and liquid phase)
- Heat capacity
- Enthalpy variation as a function of temperature
- Latent heat capacity
2.1.2. Measured Thermal Properties
- 7.5 °C before the melting test (heating test)
- 40 °C before the solidification test (cooling test)
2.2. In-Field Test Room Analysis
2.2.1. Experimental Set-Up
- Cell A: Reference without any PCM
- Cell B: PCM Infinite RTM 23 (PCM Type “Y”)
- Cell C: PCM Infinite RTM 21 (PCM Type “X”)
- The internal surface temperature, measured by means of the thermocouples (Tsi)
- The heat fluxes, calculated as the mean value between the two heat flux sensor plates installed on the internal side of the roof (HF1, HF2)
- The temperatures reached by the PCM layer, calculated as the average between the two-thermocouples on the upper and the lower sides of the layer (Ts4, Ts5)
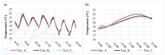
- The mean radiant temperature (Tmr) of a sphere in the center of the indoor environment, calculated using (Equation (5)):
2.2.2. Monitoring Period and Performed Tests
- Test_1 (7–13 October): mechanical ventilation system switched ON from 7:00 am to 8:00 am. The air change rate (ACH) was ~4.5 [L/h]. This condition was intended to simulate opening the windows during the morning to cool down the buildings through airing.
- Test_2 (16–21 October): ventilation OFF and just air infiltration with the outdoors (an airtight taping system was applied to minimize infiltration from the outdoor environment, therefore minimizing the ACH).
3. Results and Discussion
3.1. Laboratory Test Results
3.1.1. Equivalent Thermal Conductivity
3.1.2. Enthalpy vs. Temperature
- During the melting phase (gray line), the melting process starts at ~19 °C, reaches its maximum value between 23 °C and 25 °C and ends at 25 °C.
- The solidification phase (black line) is concentrated over the 21–20 °C range, thus corresponding to its partial enthalpy peak.
- The hysteresis phenomena are quite evident, with a difference of about 4 °C between the temperature at which the PCM is fully melted and the temperature at which solidification begins.
- During the melting phase (gray line), the melting process starts at ~23 °C, reaches its maximum value between 24 °C and 27 °C and ends at 28 °C.
- The solidification phase (black line) is concentrated over the 25–23 °C range, thus corresponding to its maximum enthalpy variation.
- The hysteresis phenomena are still quite evident with a difference of about 2.5 °C between the temperature at which the PCM is fully melted (~27.5 °C) and the temperature at which solidification begins (~25 °C). However, the hysteresis is smaller than in the PCM X case.
- During the melting phase (gray line), the transition starts at 24 °C and ends at 28 °C, with the peak at ~28 °C.
- During the solidification phase (black line), the transition phenomena start at 26 °C and end at 24 °C.
- The hysteresis phenomena are quite evident with a difference of about 2 °C between the temperature at which the PCM is fully melted (~28 °C) and the temperature at which solidification begins (~26 °C).
3.1.3. Equivalent Enthalpy and Latent Enthalpy
- The maximum difference between the three PCMs is 39% (melting test) and 51% (solidification test).
- PCM X (PCM 21) shows the lowest latent enthalpy. This can be explained by considering that the PCM shows the lowest enthalpy (h) and the highest specific heat (cp) in fully melted/fully solid PCMs, which is directly linked to the sensible heat capacity.
- PCM Y (PCM 23) and PCM Z (PCM 25) show similar heat capacity values. However, a significant difference in the latent enthalpy (h,lat) is observed (PCM Y shows a value that is about 51% higher than PCM Z).
3.2. In-Field Measurements Results
3.2.1. Boundary Conditions
3.2.2. Test_1
- Surface temperatures (Ts)
- Heat flux (HF_m)
- PCM temperature (T_PCM)
- Mean radiant temperature (Tmr)
- a heat flux reduction of ~40% (from 9.4 W/m2 to 5.6 W/m2) can be achieved in the daily peak values, if Infinite RTM 23 (PCM Y) is applied (Room B).
- a heat flux reduction of ~48% (from 9.4 W/m2 to 4.9 W/m2) can be achieved in the daily peak values, if Infinite RTM 21 (PCMX) is applied (Room C).
- Infinite RTM 23 (Room B) showed a temperature variation of between 16.8 °C (8:00) and 23 °C (16:30), with an amplitude of 6.2 °C.
- Infinite RTM 21 (Room C) showed a temperature variation of between 18.2 °C (8:00 am) and 21.5 °C (17:00 pm), with an amplitude of 3.2 °C.
3.2.3. Test_2
- Surface temperatures (Ts)
- Heat flux (HF_m)
- PCM temperature (T_PCM)
- Mean radiant temperature (Tmr)
- a heat flux reduction of ~20% (from 8.5 W/m2 to 6.8 W/m2) can be achieved in the daily peak values if Infinite RTM 23 is applied (Room B).
- a heat flux reduction of ~47% (from 8.5 W/m2 to 4.5 W/m2) can be achieved in the daily peak values if Infinite RTM 21 is applied (Room C).
- Infinite RTM 23 (Room B) shows a temperature variation of between 14.8 °C (8:00) and 21.4 °C (16:30), with an amplitude of 6.6 °C.
- Infinite RTM 21 (Room C) shows a temperature variation of between 15.5 °C (8:00 am) and 20.7 °C (17:00 pm), with an amplitude of 5.2 °C.
4. Conclusions
- PCM Infinite RTM 21 (room C) always shows a higher potential for reducing the peak heat gains (up to 47–48% for both monitoring periods) and a reduction in the internal surface temperature of the roof of up to 1.5 °C.
- PCM Infinite RTM 23 (room B) shows a lower peak heat gain reduction (about 20–40%, depending on the monitoring period) and reductions in the internal surface temperature of the roof of ~1.2 °C (test period #1) and ~0.6 °C (test period #2).
Author Contributions
Funding
Acknowledgments
Conflicts of Interest
References
- Kalnæs, S.E.; Jelle, B.P. Phase Change Materials and Products for Building Applications: A State-of-the-Art Review and Future Research Opportunities. Energy Build. 2015, 94, 150–176. [Google Scholar] [CrossRef]
- Dutil, Y.; Rousse, D.; Lassue, S.; Zalewski, L.; Joulin, A.; Virgone, J.; Kuznik, F.; Johannes, K.; Dumas, J.-P.; Bédécarrats, J.-P.; et al. Modeling Phase Change Materials Behavior in Building Applications: Comments on Material Characterization and Model Validation. Renew. Energy 2014, 61, 132–135. [Google Scholar] [CrossRef]
- Junaid, M.F.; Rehman, Z.; Čekon, M.; Čurpek, J.; Farooq, R.; Cui, H.; Khan, I. Inorganic Phase Change Materials in Thermal Energy Storage: A Review on Perspectives and Technological Advances in Building Applications. Energy Build. 2021, 252, 111443. [Google Scholar] [CrossRef]
- Luo, C.; Xu, L.; Ji, J.; Liao, M.; Sun, D. Experimental Study of a Modified Solar Phase Change Material Storage Wall System. Energy 2017, 128, 224–231. [Google Scholar] [CrossRef]
- Serale, G.; Fiorentini, M.; Capozzoli, A.; Cooper, P.; Perino, M. Formulation of a Model Predictive Control Algorithm to Enhance the Performance of a Latent Heat Solar Thermal System. Energy Convers. Manag. 2018, 173, 438–449. [Google Scholar] [CrossRef]
- Zhu, N.; Li, S.; Hu, P.; Lei, F.; Deng, R. Numerical Investigations on Performance of Phase Change Material Trombe Wall in Building. Energy 2019, 187, 116057. [Google Scholar] [CrossRef]
- Sawadogo, M.; Duquesne, M.; Belarbi, R.; Hamami, A.E.A.; Godin, A. Review on the Integration of Phase Change Materials in Building Envelopes for Passive Latent Heat Storage. Appl. Sci. 2021, 11, 9305. [Google Scholar] [CrossRef]
- Ostry, M.; Charvat, P. Materials for Advanced Heat Storage in Buildings. Procedia Eng. 2013, 57, 837–843. [Google Scholar] [CrossRef]
- Cabeza, L.F.; Castell, A.; Barreneche, C.; de Gracia, A.; Fernández, A.I. Materials Used as PCM in Thermal Energy Storage in Buildings: A Review. Renew. Sustain. Energy Rev. 2011, 15, 1675–1695. [Google Scholar] [CrossRef]
- Konuklu, Y.; Ostry, M.; Paksoy, H.O.; Charvat, P. Review on Using Microencapsulated Phase Change Materials (PCM) in Building Applications. Energy Build. 2015, 106, 134–155. [Google Scholar] [CrossRef]
- Kośny, J. PCM-Enhanced Building Components; Engineering Materials and Processes; Springer International Publishing: Cham, Switzerland, 2015; ISBN 978-3-319-14285-2. [Google Scholar]
- Bečkovský, D.; Ostrý, M.; Kalábová, T.; Tichomirov, V. Thermal Stability of Attic Spaces with Integrated PCMs during the Climatic Year. AMR 2013, 649, 175–178. [Google Scholar] [CrossRef]
- Charvat, P.; Mauder, T.; Ostry, M. Simulation of latent-heat thermal storage integrated with room structures. Mater. Tehnol. 2012, 46, 239–242. [Google Scholar]
- Purohit, B.K.; Sistla, V.S. Inorganic Salt Hydrate for Thermal Energy Storage Application: A Review. Energy Storage 2021, 3, e212. [Google Scholar] [CrossRef]
- Fantucci, S.; Serra, V. Investigating the Performance of Reflective Insulation and Low Emissivity Paints for the Energy Retrofit of Roof Attics. Energy Build. 2019, 182, 300–310. [Google Scholar] [CrossRef]
- Elarga, H.; Fantucci, S.; Serra, V.; Zecchin, R.; Benini, E. Experimental and Numerical Analyses on Thermal Performance of Different Typologies of PCMs Integrated in the Roof Space. Energy Build. 2017, 150, 546–557. [Google Scholar] [CrossRef]
- Pasupathy, A.; Velraj, R. Effect of Double Layer Phase Change Material in Building Roof for Year Round Thermal Management. Energy Build. 2008, 40, 193–203. [Google Scholar] [CrossRef]
- Alqallaf, H.J.; Alawadhi, E.M. Concrete Roof with Cylindrical Holes Containing PCM to Reduce the Heat Gain. Energy Build. 2013, 61, 73–80. [Google Scholar] [CrossRef]
- Boobalakrishnan, P.; Manoj Kumar, P.; Balaji, G.; Jenaris, D.S.; Kaarthik, S.; Jaya Prakash Babu, M.; Karthhik, K. Thermal Management of Metal Roof Building Using Phase Change Material (PCM). Mater. Today Proc. 2021, 47, 5052–5058. [Google Scholar] [CrossRef]
- Al-Yasiri, Q.; Szabó, M. Experimental Investigation of Phase Change Material (PCM) Incorporated Composite Flat Roof for Energy-Saving under Iraq Hot Climate Conditions; AIP Publishing: Samawa, Iraq, 2021; p. 080015. [Google Scholar]
- Thongtha, A.; Janyoosuk, K.; Mano, C. Integration of Phase Change Material into Fiber Cement Roof for Reduction of Heat Accumulation in Buildings. ScienceAsia 2021, 47S, 83. [Google Scholar] [CrossRef]
- ASTM E793-06; Standard Test Method for Enthalpies of Fusion and Crystallization by Differential Scanning Calorimetry. 2018. Available online: https://www.astm.org/e0793-06r18.html (accessed on 23 November 2021).
- Biswas, K.; Shukla, Y.; Desjarlais, A.; Rawal, R. Thermal Characterization of Full-Scale PCM Products and Numerical Simulations, Including Hysteresis, to Evaluate Energy Impacts in an Envelope Application. Appl. Therm. Eng. 2018, 138, 501–512. [Google Scholar] [CrossRef]
- Shukla, N.; Kosny, J. DHFMA Method for Dynamic Thermal Property Measurement of PCM-Integrated Building Materials. Curr. Sustain. Renew. Energy Rep. 2015, 2, 41–46. [Google Scholar] [CrossRef]
- Ruuska, T.; Vinha, J.; Kivioja, H. Measuring Thermal Conductivity and Specific Heat Capacity Values of Inhomogeneous Materials with a Heat Flow Meter Apparatus. J. Build. Eng. 2017, 9, 135–141. [Google Scholar] [CrossRef]
- Tleoubaev, A.; Brzezinski, A. Title: Thermal Diffusivity and Volumetric Specific Heat Measurements Using Heat Flow Meter Instruments for Thermal Conductivity 29 Thermal Expansion 17 Conference. Therm. Expans. 2007, 17, 10. [Google Scholar]
- Fantucci, S.; Goia, F.; Perino, M.; Serra, V. Sinusoidal Response Measurement Procedure for the Thermal Performance Assessment of PCM by Means of Dynamic Heat Flow Meter Apparatus. Energy Build. 2019, 183, 297–310. [Google Scholar] [CrossRef]
- ASTM C1784:2020; Standard Test Method for Using a Heat Flow Meter Apparatus for Measuring Thermal Storage Properties of Phase Change Materials and Products. ASTM International: West Conshohocken, PA, USA, 2020.
- Insolcorp. Available online: Https://Insolcorp.Com/ (accessed on 23 November 2021).
- EN 12664:2001; Thermal Performance of Building Materials and Products. Determination of Thermal Resistance by Means of Guarded Hot Plate and Heat Flow Meter Methods—Dry and Moist Products of Medium and Low Thermal Resistance. CEN European Committee for Standardization: Bruxelle, Belgium, 2001.
- Lane, G.A. Low Temperature Heat Storage with Phase Change Materials. Null 1980, 1, 155–168. [Google Scholar] [CrossRef]
- Kenisarin, M.; Mahkamov, K. Salt Hydrates as Latent Heat Storage Materials:Thermophysical Properties and Costs. Solar Energy Mater. Solar Cells 2016, 145, 255–286. [Google Scholar] [CrossRef]
- Farid, M.M.; Khudhair, A.M.; Razack, S.A.K.; Al-Hallaj, S. A Review on Phase Change Energy Storage: Materials and Applications. Energy Convers. Manag. 2004, 45, 1597–1615. [Google Scholar] [CrossRef]
- Gschwander, S.; Lazaro, A.; Cabeza, L.F.; Günther, E.; Fois, M.; Chui, J. Development of a Test Standard for PCM and TCM Characterization-Part 1: Characterization of Phase Change Materials; IEA Solar Heating and Cooling Programme; International Energy Agency: Paris, France, 2011. [Google Scholar]
















| Value | Unit | |
|---|---|---|
| Size | 555 × 546 | [mm2] |
| Thickness (s) | ~6.9 | [mm] |
| Weight (M) | ~1.45 | [kg] |
| Surface Mass (SM) | ~4.8 | [kg/m2] |
| Volume (V) | ~2091 | [cm3] |
| Nominal melting temperature | 21 (X), 23 (Y), 25 (Z) | [°C] |
| PCM Type | Test | Heat Flux Direction | Tup [°C] | Tlow [°C] | ΔT [°C] | Taverage [°C] |
|---|---|---|---|---|---|---|
| X | Test 1 (solid) | upward | 10 | 20 | 10 | 15 |
| downward | 20 | 10 | 10 | 15 | ||
| Test 2 (liquid) | upward | 26 | 36 | 10 | 31 | |
| downward | 36 | 26 | 10 | 31 | ||
| Y | Test 1 (solid) | upward | 14 | 24 | 10 | 19 |
| downward | 24 | 14 | 10 | 19 | ||
| Test 2 (liquid) | upward | 30 | 40 | 10 | 35 | |
| downward | 40 | 30 | 10 | 35 | ||
| Z | Test 1 (solid) | upward | 14 | 24 | 10 | 19 |
| downward | 24 | 14 | 10 | 19 | ||
| Test 2 (liquid) | upward | 30 | 40 | 10 | 35 | |
| downward | 40 | 30 | 10 | 35 |
| PCM Type | Test | Number of Set Points | Initial | Final | Taverage [°C] | |||
|---|---|---|---|---|---|---|---|---|
| T1 [°C] | T2 [°C] | T1 [°C] | T2 [°C] | Initial | Final | |||
| X | Melting | 17 | 15.5 | 16.5 | 31.5 | 32.5 | 16 | 32 |
| Solidification | 17 | 32.5 | 31.5 | 16.5 | 15.5 | 32 | 16 | |
| Y | Melting | 17 | 15.5 | 16.5 | 31.5 | 32.5 | 16 | 32 |
| Solidification | 17 | 32.5 | 31.5 | 16.5 | 15.5 | 32 | 16 | |
| C | Melting | 17 | 15.5 | 16.5 | 31.5 | 32.5 | 16 | 32 |
| Solidification | 17 | 32.5 | 31.5 | 16.5 | 15.5 | 32 | 16 | |
| Material | Cell A | Cell B | Cell C | |
|---|---|---|---|---|
| 1 | Clay tiles | 30 mm | 30 mm | 30 mm |
| 2 | Slightly ventilated air cavity | 70 mm | 70 mm | 70 mm |
| 3 | Extruded Polystyrene (XPS) | 50 mm | 50 mm | 50 mm |
| 4 | PCM | no PCM | ~7 mm (Infinite RTM 23, PCM Type“Y”) | ~7 mm (Infinite RTM 21, PCM Type “X”) |
| 5 | Gypsum board | 12.5 mm | 12.5 mm | 12.5 mm |
| Surface | View Factors [-] |
|---|---|
| Wall-Left | 0.311 |
| Wall-Right | 0.311 |
| Wall-Front | 0.087 |
| Door | 0.108 |
| Floor | 0.087 |
| Ceiling | 0.096 |
| Test_1 | Test_2 | ||
|---|---|---|---|
| Period | - | 7–13 October | 16–21 October |
| Internal loads | [internal LED lamp 19 W] | ON (6:00–20:00) | ON (6:00–20:00) |
| Ventilation | Schedule | ON (7:00–8:00) | OFF (00:00–24:00) |
| Ventilation rate (ACH) | ~4.5 [L/h] | - |
| PCM Type | Test | Heat Flux Direction | Tup [°C] | Tlow [°C] | Tavg [°C] | λeq [W/mK] | λeq_avg [W/mK] |
|---|---|---|---|---|---|---|---|
| X | Test 1 (solid) | upward | 10 | 20 | 15 | 0.176 ± 0.004 | 0.176 ± 0.004 |
| downward | 20 | 10 | 15 | 0.175 ± 0.004 | |||
| Test 2 (liquid) | upward | 26 | 36 | 31 | 0.186 ± 0.005 | 0.186 ± 0.005 | |
| downward | 36 | 26 | 31 | 0.186 ± 0.005 | |||
| Y | Test 1 (solid) | upward | 14 | 24 | 19 | 0.221 ± 0.005 | 0.220 ± 0.005 |
| downward | 24 | 14 | 19 | 0.219 ± 0.005 | |||
| Test 2 (liquid) | upward | 30 | 40 | 35 | 0.209 ± 0.005 | 0.209 ± 0.005 | |
| downward | 40 | 30 | 35 | 0.208 ± 0.005 | |||
| Z | Test 1 (solid) | upward | 14 | 24 | 19 | 0.153 ± 0.008 | 0.150 ± 0.008 |
| downward | 24 | 14 | 19 | 0.146 ± 0.008 | |||
| Test 2 (liquid) | upward | 30 | 40 | 35 | 0.191 ± 0.012 | 0.193 ± 0.012 | |
| downward | 40 | 30 | 35 | 0.195 ± 0.012 |
| PCM Type | Test | Type | cp [kJ/kgK] | hA [kJ/m2] | hA,lat [kJ/m2] | h [kJ/kg] | h,lat [kJ/kg] |
|---|---|---|---|---|---|---|---|
| X | Test 1 | Melting test | 3.6 (melted) | 530 | 218 | 103 | 42 |
| Test 2 | Solidification test | 3.6 (solid) | 444 | 125 | 86 | 24 | |
| Y | Test 1 | Melting test | 2.5 (melted) | 735 | 514 | 143 | 100 |
| Test 2 | Solidification test | 2.9 (solid) | 671 | 419 | 131 | 81 | |
| Z | Test 1 | Melting test | 2.9 (melted) | 596 | 341 | 119 | 71 |
| Test 2 | Solidification test | 3.3 (solid) | 663 | 369 | 126 | 70 |
Publisher’s Note: MDPI stays neutral with regard to jurisdictional claims in published maps and institutional affiliations. |
© 2022 by the authors. Licensee MDPI, Basel, Switzerland. This article is an open access article distributed under the terms and conditions of the Creative Commons Attribution (CC BY) license (https://creativecommons.org/licenses/by/4.0/).
Share and Cite
Fantucci, S.; Autretto, G.; Fenoglio, E.; Sassaroli, E.; Perino, M. Laboratory Assessment and In-Field Monitoring of Macro-Encapsulated Phase Change Materials for Building Envelope Applications. Appl. Sci. 2022, 12, 2054. https://doi.org/10.3390/app12042054
Fantucci S, Autretto G, Fenoglio E, Sassaroli E, Perino M. Laboratory Assessment and In-Field Monitoring of Macro-Encapsulated Phase Change Materials for Building Envelope Applications. Applied Sciences. 2022; 12(4):2054. https://doi.org/10.3390/app12042054
Chicago/Turabian StyleFantucci, Stefano, Giorgia Autretto, Elisa Fenoglio, Emanuela Sassaroli, and Marco Perino. 2022. "Laboratory Assessment and In-Field Monitoring of Macro-Encapsulated Phase Change Materials for Building Envelope Applications" Applied Sciences 12, no. 4: 2054. https://doi.org/10.3390/app12042054
APA StyleFantucci, S., Autretto, G., Fenoglio, E., Sassaroli, E., & Perino, M. (2022). Laboratory Assessment and In-Field Monitoring of Macro-Encapsulated Phase Change Materials for Building Envelope Applications. Applied Sciences, 12(4), 2054. https://doi.org/10.3390/app12042054

