Effect of Yeast Assimilable Nitrogen Content on Fermentation Kinetics, Wine Chemical Composition and Sensory Character in the Production of Assyrtiko Wines
Abstract
1. Introduction
2. Materials and Methods
2.1. Microorganisms and Growing Conditions
2.2. Vinification
2.3. Chemical Analysis of Must and Wines
2.4. Sensory Analysis
2.5. Statistical Analysis
3. Results & Discussion
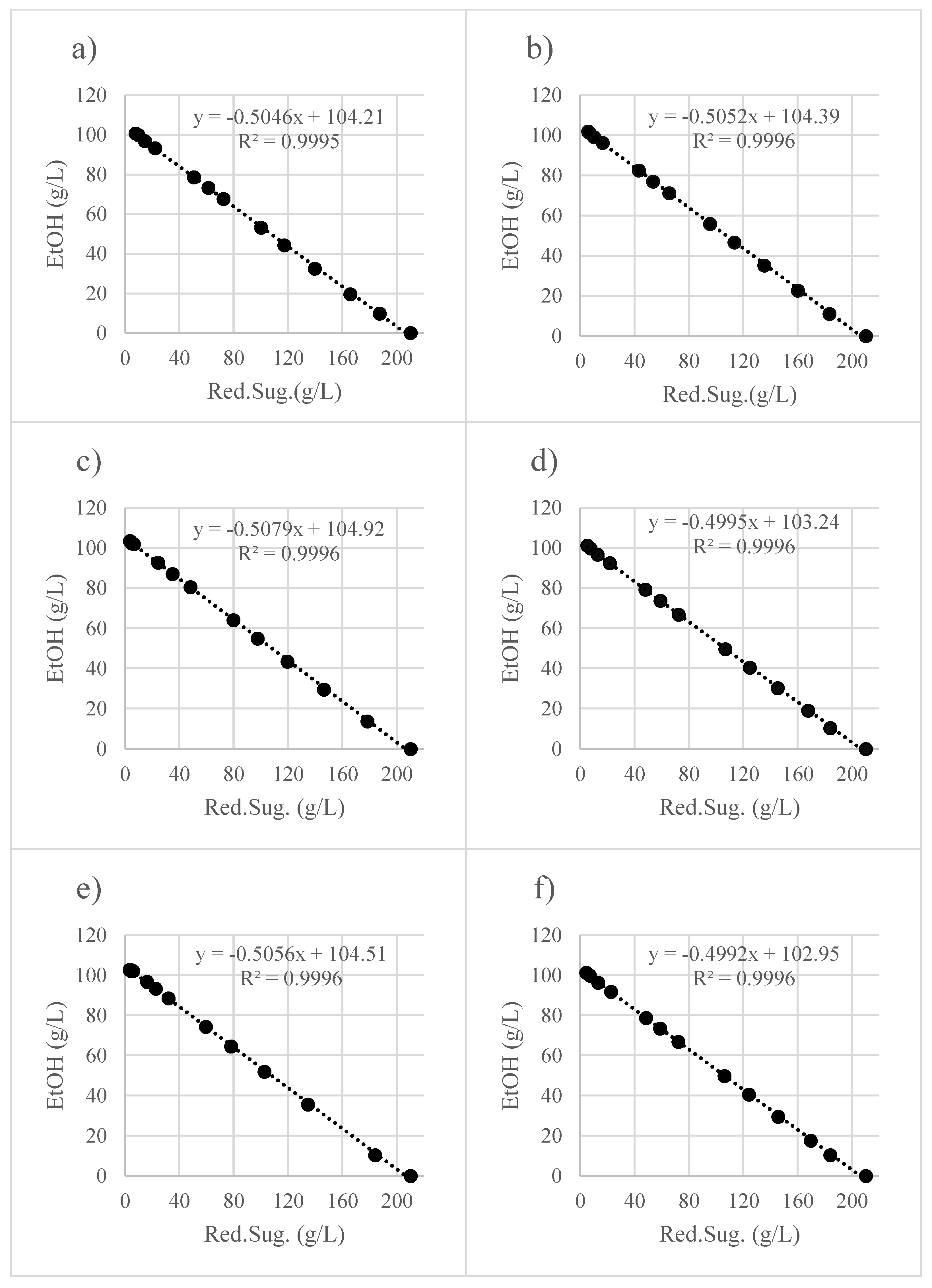
3.1. Effect of YAN Content on Fermentation Kinetics
3.2. Total Acidity and Production of Secondary Metabolites
3.3. Volatile Composition
3.4. Sensory Analysis
4. Conclusions
Author Contributions
Funding
Institutional Review Board Statement
Informed Consent Statement
Data Availability Statement
Acknowledgments
Conflicts of Interest
References
- Rabadán, A. Consumer attitudes towards technological innovation in a traditional food product: The case of wine. Foods 2021, 10, 1363. [Google Scholar] [CrossRef] [PubMed]
- Deroover, K.; Siegrist, M.; Brain, K.; McIntyre, J.; Bucher, T. A scoping review on consumer behaviour related to wine and health. Trends Food Sci. Technol. 2021, 112, 559–580. [Google Scholar] [CrossRef]
- Capitello, R.; Agnoli, L.; Charters, S.; Begalli, D. Labelling environmental and terroir attributes: Young Italian consumers’ wine preferences. J. Clean. Prod. 2021, 304, 126991. [Google Scholar] [CrossRef]
- Terpou, A.; Ganatsios, V.; Kanellaki, M.; Koutinas, A.A. Entrapped psychrotolerant yeast cells within pine sawdust for low temperature wine making: Impact on wine quality. Microorganisms 2020, 8, 764. [Google Scholar] [CrossRef]
- Su, Y.; Macías, L.G.; Heras, J.M.; Querol, A.; Guillamón, J.M. Phenotypic and genomic differences among S. cerevisiae strains in nitrogen requirements during wine fermentations. Food Microbiol. 2021, 96, 103685. [Google Scholar] [CrossRef]
- Wiles, A.M.; Cai, H.; Naider, F.; Becker, J.M. Nutrient regulation of oligopeptide transport in Saccharomyces cerevisiae. Microbiology 2006, 152, 3133–3145. [Google Scholar] [CrossRef]
- Verdenal, T.; Dienes-Nagy, Á.; Spangenberg, J.E.; Zufferey, V.; Spring, J.-L.; Viret, O.; Marin-Carbonne, J.; van Leeuwen, C. Understanding and managing nitrogen nutrition in grapevine: A review. OENO One 2021, 55, 1–43. [Google Scholar] [CrossRef]
- Gobert, A.; Tourdot-Maréchal, R.; Sparrow, C.; Morge, C.; Alexandre, H. Influence of nitrogen status in wine alcoholic fermentation. Food Microbiol. 2019, 83, 71–85. [Google Scholar] [CrossRef]
- Belda, I.; Gobbi, A.; Ruiz, J.; de Celis, M.; Ortiz-Álvarez, R.; Acedo, A.; Santos, A. 3.32—Microbiomics to define wine terroir. In Comprehensive Foodomics; Cifuentes, A., Ed.; Elsevier: Oxford, UK, 2021; pp. 438–451. [Google Scholar]
- Bely, M.; Rinaldi, A.; Dubourdieu, D. Influence of assimilable nitrogen on volatile acidity production by Saccharomyces cerevisiae during high sugar fermentation. J. Biosci. Bioeng. 2003, 96, 507–512. [Google Scholar] [CrossRef]
- Lytra, G.; Miot-Sertier, C.; Moine, V.; Coulon, J.; Barbe, J.-C. Influence of must yeast-assimilable nitrogen content on fruity aroma variation during malolactic fermentation in red wine. Food Res. Int. 2020, 135, 109294. [Google Scholar] [CrossRef]
- Vilanova, M.; Siebert, T.E.; Varela, C.; Pretorius, I.S.; Henschke, P.A. Effect of ammonium nitrogen supplementation of grape juice on wine volatiles and non-volatiles composition of the aromatic grape variety Albariño. Food Chem. 2012, 133, 124–131. [Google Scholar] [CrossRef]
- Rollero, S.; Bloem, A.; Brand, J.; Ortiz-Julien, A.; Camarasa, C.; Divol, B. Nitrogen metabolism in three non-conventional wine yeast species: A tool to modulate wine aroma profiles. Food Microbiol. 2021, 94, 103650. [Google Scholar] [CrossRef] [PubMed]
- Vilanova, M.; Pretorius, I.S.; Henschke, P.A. Chapter 58—Influence of diammonium phosphate addition to fermentation on wine biologicals. In Processing and Impact on Active Components in Food; Preedy, V., Ed.; Academic Press: San Diego, CA, USA, 2015; pp. 483–491. [Google Scholar]
- Tzamourani, A.P.; Di Napoli, E.; Paramithiotis, S.; Oikonomou-Petrovits, G.; Panagiotidis, S.; Panagou, E.Z. Microbiological and physicochemical characterisation of green table olives of Halkidiki and Conservolea varieties processed by the Spanish method on industrial scale. Int. J. Food Sci. Technol. 2021, 56, 3845–3857. [Google Scholar] [CrossRef]
- Terpou, A.; Dimopoulou, M.; Belka, A.; Kallithraka, S.; Nychas, G.-J.E.; Papanikolaou, S. Effect of myclobutanil pesticide on the physiological behavior of two newly isolated saccharomyces cerevisiae strains during very-high-gravity alcoholic fermentation. Microorganisms 2019, 7, 666. [Google Scholar] [CrossRef] [PubMed]
- Dukes, B.C.; Butzke, C.E. Rapid determination of primary amino acids in grape juice using an o-Phthaldialdehyde/N-Acetyl-L-cysteine spectrophotometric assay. Am. J. Enol. Vitic. 1998, 49, 125–134. [Google Scholar]
- Petropoulos, S.; Kanellopoulou, A.; Paraskevopoulos, I.; Kotseridis, Y.; Kallithraka, S. Characterization of grape and wine proanthocyanidins of Agiorgitiko (Vitis vinifera L. cv.) cultivar grown in different regions of Nemea. J. Food Compos. Anal. 2017, 63, 98–110. [Google Scholar] [CrossRef]
- International Organisation of Vine and Wine. Compendium of International Methods of Wine and Must Analysis; OIV: Paris, France, 2020. [Google Scholar]
- Aerny, J. Composés azotés des moûts et vins. Rev. Suisse Vitic. Arboric. Hortic. 1996, 28, 161–165. [Google Scholar]
- Plioni, I.; Bekatorou, A.; Terpou, A.; Mallouchos, A.; Plessas, S.; Koutinas, A.; Katechaki, E. Vinegar production from corinthian currants finishing side-stream: Development and comparison of methods based on immobilized acetic acid Bacteria. Foods 2021, 10, 3133. [Google Scholar] [CrossRef]
- Plioni, I.; Bekatorou, A.; Mallouchos, A.; Kandylis, P.; Chiou, A.; Panagopoulou, E.A.; Dede, V.; Styliara, P. Corinthian currants finishing side-stream: Chemical characterization, volatilome, and valorisation through wine and baker’s yeast production-technoeconomic evaluation. Food Chem. 2021, 342, 128161. [Google Scholar] [CrossRef]
- Thuillier, B.; Valentin, D.; Marchal, R.; Dacremont, C. Pivot© profile: A new descriptive method based on free description. Food Qual. Prefer. 2015, 42, 66–77. [Google Scholar] [CrossRef]
- Walker, G.M.; Stewart, G.G. Saccharomyces cerevisiae in the Production of fermented beverages. Beverages 2016, 2, 30. [Google Scholar] [CrossRef]
- Liszkowska, W.; Berlowska, J. Yeast fermentation at low temperatures: Adaptation to changing environmental conditions and formation of volatile compounds. Molecules 2021, 26, 1035. [Google Scholar] [CrossRef] [PubMed]
- Orlowski, J.H.; Barford, J.P. The mechanism of uptake of multiple sugars by Saccharomyces cerevisiae in batch culture under fully aerobic conditions. Appl. Microbiol. Biotechnol. 1987, 25, 459–463. [Google Scholar] [CrossRef]
- Palma, M.; Madeira, S.C.; Mendes-Ferreira, A.; Sá-Correia, I. Impact of assimilable nitrogen availability in glucose uptake kinetics in Saccharomyces cerevisiae during alcoholic fermentation. Microb. Cell Factories 2012, 11, 99. [Google Scholar] [CrossRef] [PubMed]
- Martínez-Moreno, R.; Morales, P.; Gonzalez, R.; Mas, A.; Beltran, G. Biomass production and alcoholic fermentation performance of Saccharomyces cerevisiae as a function of nitrogen source. FEMS Yeast Res. 2012, 12, 477–485. [Google Scholar] [CrossRef]
- Camarasa, C.; Grivet, J.-P.; Dequin, S. Investigation by 13C-NMR and tricarboxylic acid (TCA) deletion mutant analysis of pathways for succinate formation in Saccharomyces cerevisiae during anaerobic fermentation. Microbiology 2003, 149, 2669–2678. [Google Scholar] [CrossRef]
- Dunlop, P.C.; Roon, R.J.; Even, H.L. Utilization of D-asparagine by Saccharomyces cerevisiae. J. Bacteriol. 1976, 125, 999–1004. [Google Scholar] [CrossRef]
- Noree, C.; Sirinonthanawech, N.; Wilhelm, J.E. Saccharomyces cerevisiae ASN1 and ASN2 are asparagine synthetase paralogs that have diverged in their ability to polymerize in response to nutrient stress. Sci. Rep. 2019, 9, 278. [Google Scholar] [CrossRef]
- Schreve, J.L.; Sin, J.K.; Garrett, J.M. The Saccharomyces cerevisiae YCC5 (YCL025c) gene encodes an amino acid permease, Agp1, which transports asparagine and glutamine. J. Bacteriol. 1998, 180, 2556–2559. [Google Scholar] [CrossRef]
- Fairbairn, S.; McKinnon, A.; Musarurwa, H.T.; Ferreira, A.C.; Bauer, F.F. The impact of single amino acids on growth and volatile aroma production by Saccharomyces cerevisiae Strains. Front. Microbiol. 2017, 8, 2554. [Google Scholar] [CrossRef]
- Martínez-Rodríguez, A.J.; Polo, M.C. Characterization of the nitrogen compounds released during yeast autolysis in a model wine system. J. Agric. Food Chem. 2000, 48, 1081–1085. [Google Scholar] [CrossRef] [PubMed]
- Salmon, J.-M.; Barre, P. Improvement of nitrogen assimilation and fermentation kinetics under enological conditions by derepression of alternative nitrogen-assimilatory pathways in an industrial Saccharomyces cerevisiae strain. Appl. Environ. Microbiol. 1998, 64, 3831–3837. [Google Scholar] [CrossRef] [PubMed]
- Martin, O.; Brandriss, M.C.; Schneider, G.; Bakalinsky, A.T. Improved anaerobic use of arginine by Saccharomyces cerevisiae. Appl. Environ. Microbiol. 2003, 69, 1623–1628. [Google Scholar] [CrossRef][Green Version]
- Nishimura, A.; Tanahashi, R.; Takagi, H. The yeast α-arrestin Art3 is a key regulator for arginine-induced endocytosis of the high-affinity proline transporter Put4. Biochem. Biophys. Res. Commun. 2020, 531, 416–421. [Google Scholar] [CrossRef] [PubMed]
- Benito, S.; Palomero, F.; Morata, A.; Calderón, F.; Palmero, D.; Suárez-Lepe, J.A. Physiological features of Schizosaccharomyces pombe of interest in making of white wines. Eur. Food Res. Technol. 2013, 236, 29–36. [Google Scholar] [CrossRef]
- Del Mónaco, S.; Barda, N.; Rubio, N.; Caballero, A. Selection and characterization of a Patagonian Pichia kudriavzevii for wine deacidification. J. Appl. Microbiol. 2014, 117, 451–464. [Google Scholar] [CrossRef]
- Redzepovic, S.; Orlic, S.; Majdak, A.; Kozina, B.; Volschenk, H.; Viljoen-Bloom, M. Differential malic acid degradation by selected strains of Saccharomyces during alcoholic fermentation. Int. J. Food Microbiol. 2003, 83, 49–61. [Google Scholar] [CrossRef]
- Kechagia, D.; Paraskevopoulos, Y.; Symeou, E.; Galiotou-Panayotou, M.; Kotseridis, Y. Influence of prefermentative treatments to the major volatile compounds of Assyrtiko wines. J. Agric. Food Chem. 2008, 56, 4555–4563. [Google Scholar] [CrossRef]
- Romano, P.; Suzzi, G.; Turbanti, L.; Polsinelli, M. Acetaldehyde production in Saccharomyces cerevisiae wine yeasts. FEMS Microbiol. Lett. 1994, 118, 213–218. [Google Scholar] [CrossRef]
- Giannattasio, S.; Guaragnella, N.; Ždralević, M.; Marra, E. Molecular mechanisms of Saccharomyces cerevisiae stress adaptation and programmed cell death in response to acetic acid. Front. Microbiol. 2013, 4, 33. [Google Scholar] [CrossRef]
- Mira, N.P.; Becker, J.D.; Sá-Correia, I. Genomic expression program involving the Haa1p-regulon in Saccharomyces cerevisiae response to acetic acid. OMICS A J. Integr. Biol. 2010, 14, 587–601. [Google Scholar] [CrossRef] [PubMed]
- Vilanova, M.; Ugliano, M.; Varela, C.; Siebert, T.; Pretorius, I.S.; Henschke, P.A. Assimilable nitrogen utilisation and production of volatile and non-volatile compounds in chemically defined medium by Saccharomyces cerevisiae wine yeasts. Appl. Microbiol. Biotechnol. 2007, 77, 145–157. [Google Scholar] [CrossRef]
- Yanniotis, S.; Kotseridis, G.; Orfanidou, A.; Petraki, A. Effect of ethanol, dry extract and glycerol on the viscosity of wine. J. Food Eng. 2007, 81, 399–403. [Google Scholar] [CrossRef]
- Brandberg, T.; Gustafsson, L.; Franzén, C.J. The impact of severe nitrogen limitation and microaerobic conditions on extended continuous cultivations of Saccharomyces cerevisiae with cell recirculation. Enzym. Microb. Technol. 2007, 40, 585–593. [Google Scholar] [CrossRef]
- Benito, Á.; Calderón, F.; Palomero, F.; Benito, S. Quality and composition of Airén wines fermented by sequential inoculation of Lachancea thermotolerans and Saccharomyces cerevisiae. Food Technol. Biotechnol. 2016, 54, 135–144. [Google Scholar] [CrossRef]
- Englezos, V.; Rantsiou, K.; Cravero, F.; Torchio, F.; Ortiz-Julien, A.; Gerbi, V.; Rolle, L.; Cocolin, L. Starmerella bacillaris and Saccharomyces cerevisiae mixed fermentations to reduce ethanol content in wine. Appl. Microbiol. Biotechnol. 2016, 100, 5515–5526. [Google Scholar] [CrossRef]
- Loira, I.; Morata, A.; Comuzzo, P.; Callejo, M.J.; González, C.; Calderón, F.; Suárez-Lepe, J.A. Use of Schizosaccharomyces pombe and Torulaspora delbrueckii strains in mixed and sequential fermentations to improve red wine sensory quality. Food Res. Int. 2015, 76, 325–333. [Google Scholar] [CrossRef]
- Zhang, L.; Tang, Y.; Guo, Z.-P.; Ding, Z.-Y.; Shi, G.-Y. Improving the ethanol yield by reducing glycerol formation using cofactor regulation in Saccharomyces cerevisiae. Biotechnol. Lett. 2011, 33, 1375–1380. [Google Scholar] [CrossRef] [PubMed]
- Scanes, K.; Hohrnann, S.; Prior, B. Glycerol production by the yeast Saccharomyces cerevisiae and its relevance to wine. S. Afr. J. Enol. Vitic. 1998, 19, 17–24. [Google Scholar] [CrossRef]
- Clement, T.; Perez, M.; Mouret, J.R.; Sanchez, I.; Sablayrolles, J.M.; Camarasa, C. Metabolic responses of Saccharomyces cerevisiae to valine and ammonium pulses during four-stage continuous wine fermentations. Appl. Environ. Microbiol. 2013, 79, 2749–2758. [Google Scholar] [CrossRef] [PubMed]
- Derrick, S.; Large, P.J. Activities of the enzymes of the Ehrlich pathway and formation of branched-chain alcohols in Saccharomyces cerevisiae and Candida utilis grown in continuous culture on valine or ammonium as sole nitrogen source. J. Gen. Microbiol. 1993, 139, 2783–2792. [Google Scholar] [CrossRef] [PubMed]
- Carrau, F.M.; Medina, K.; Farina, L.; Boido, E.; Henschke, P.A.; Dellacassa, E. Production of fermentation aroma compounds by Saccharomyces cerevisiae wine yeasts: Effects of yeast assimilable nitrogen on two model strains. FEMS Yeast Res. 2008, 8, 1196–1207. [Google Scholar] [CrossRef] [PubMed]
- Saerens, S.M.G.; Delvaux, F.R.; Verstrepen, K.J.; Thevelein, J.M. Production and biological function of volatile esters in Saccharomyces cerevisiae. Microb. Biotechnol. 2010, 3, 165–177. [Google Scholar] [CrossRef] [PubMed]
- Gobert, A.; Tourdot-Maréchal, R.; Morge, C.; Sparrow, C.; Liu, Y.; Quintanilla-Casas, B.; Vichi, S.; Alexandre, H. Non-Saccharomyces Yeasts Nitrogen Source Preferences: Impact on Sequential Fermentation and Wine Volatile Compounds Profile. Front. Microbiol. 2017, 8, 2175. [Google Scholar] [CrossRef] [PubMed]
- Müller, N.; Rauhut, D. Recent developments on the origin and nature of reductive sulfurous off-odours in wine. Fermentation 2018, 4, 62. [Google Scholar] [CrossRef]
- Furdíková, K.; MakyŠová, K.; Špánik, I. Effect of indigenous S. cerevisiae strains on higher alcohols, volatile acids and esters in wine. Czech J. Food Sci. 2017, 35, 131–142. [Google Scholar] [CrossRef]
- Noordeloos, S.; Nagel, C.W. Effect of Sugar on Acid Perception in Wine. Am. J. Enol. Vitic. 1972, 23, 139–143. [Google Scholar]
- Barnes, G.; Hansen, W.J.; Holcomb, C.L.; Rine, J. Asparagine-linked glycosylation in Saccharomyces cerevisiae: Genetic analysis of an early step. Mol. Cell. Biol. 1984, 4, 2381–2388. [Google Scholar] [CrossRef]








| Time (min) | 0–12 | 12–17 | 17–19 | 19–31 | 31–31.5 | 31.5–35 |
| Eluent A (%) | 100 | 97 | 0 | 0 | 100 | 100 |
| Eluent B (%) | 0 | 3 | 100 | 100 | 0 | 0 |
| Commercial | Sa | Sb | Commercial | Sa | Sb | |
|---|---|---|---|---|---|---|
| YAN | 150 mg N/L | 250 mg N/L | ||||
| 4-Hydroxy-Proline | 2.05 ± 0.39 a | 1.54 ± 0.31 a | 1.92 ± 0.39 a | 1.20 ± 0.00 a | 2.00 ± 0.79 a | 2.02 ± 0.41 a |
| Proline | 92.93 ± 5.20 ab | 101.34 ± 0.25 ab | 91.82 ± 0.80 ab | 104.74 ± 0.00 a | 97.95 ± 3.99 ab | 87.79 ± 2.49 ab |
| Phenylalanine | 0.76 ± 0.29 a | 0.19 ± 0.02 a | 2.02 ± 0.26 a | 1.07 ± 0.04 a | 1.00 ± 0.10 a | 0.80 ± 0.00 a |
| Tyrosine | 0.05 ± 0.01 a | 0.54 ± 0.05 a | 0.24 ± 0.02 a | 0.77 ± 0.01 a | 0.30 ± 0.03 a | 0.12 ± 0.00 a |
| Aspartic acid | 1.33 ± 0.10 a | 2.41 ± 0.53 a | 1.95 ± 0.3 a | 3.57 ± 0.00 a | 2.45 ± 0.50 a | 1.73 ± 0.30 a |
| Glutamic acid | 0.95 ± 0.08 b | 0.24 ± 0.00 b | 3.02 ± 0.84 ab | 5.46 ± 0.04 ab | 5.54 ± 0.19 ab | 9.26 ± 0.65 a |
| Isoleucine | 0.54 ± 0.04 a | 0.26 ± 0.03 a | 0.00 ± 0.00 a | 0.52 ± 0.01 a | 0.04 ± 0.00 a | 0.00 ± 0.00 a |
| Tryptophane | 0.19 ± 0.01 a | 0.30 ± 0.00 a | 0.09 ± 0.01 a | 0.04 ± 0.01 a | 0.10 ± 0.00 a | 0.25 ± 0.09 a |
| Threonine | 2.51 ± 0.01 a | 1.73 ± 0.05 a | 1.18 ± 0.07 a | 1.26 ± 0.00 a | 0.61 ± 0.06 a | 0.94 ± 0.03 a |
| Leucine | 0.57 ± 0.03 b | 0.21 ± 0.02 b | 0.13 ± 0.01 b | 2.46 ± 0.00 a | 0.43 ± 0.02 b | 0.55 ± 0.04 b |
| Valine | 1.38 ± 0.02 ab | 0.98 ± 0.04 ab | 0.45 ± 0.02 ab | 1.50 ± 0.07 a | 0.48 ± 0.07 ab | 0.30 ± 0.01 b |
| Serine | 1.11 ± 0.03 c | 1.24 ± 0.03 c | 0.95 ± 0.05 c | 1.43 ± 0.03 bc | 2.23 ± 0.02 a | 1.94 ± 0.00 ab |
| Glutamine | 22.37 ± 0.51 ab | 68.30 ± 0.25 ab | 8.85 ± 0.31 b | 22.87 ± 0.00 a | 50.66 ± 0.20 ab | 7.43 ± 0.00 b |
| Alanine | 17.72 ± 0.73 ab | 33.58 ± 0.44 ab | 4.87 ± 0.31 b | 44.93 ± 0.00 a | 12.45 ± 0.52 b | 15.86 ± 0.00 ab |
| Asparagine | 1.33 ± 0.28 bc | 0.56 ± 0.27 c | 0.27 ± 0.07 c | 10.34 ± 0.00 a | 2.45 ± 0.32 b | 0.74 ± 0.00 c |
| Glycine | 2.84 ± 0.40 bc | 2.49 ± 0.10 c | 4.25 ± 0.17 ab | 5.41 ± 0.30 a | 5.54 ± 0.44 a | 5.04 ± 0.00 a |
| Cysteine | 12.63 ± 0.06 a | 12.64 ± 0.08 a | 12.56 ± 0.01 a | 12.54 ± 0.00 a | 12.58 ± 0.03 a | 12.60 ± 0.06 a |
| Histidine | 1.72 ± 0.34 a | 1.77 ± 0.29 a | 1.25 ± 0.23 a | 2.01 ± 0.08 a | 1.93 ± 0.44 a | 1.75 ± 0.00 a |
| Lysine | 12.73 ± 0.30 a | 12.89 ± 0.46 a | 13.47 ± 1.01 a | 15.19 ± 0.00 a | 12.91 ± 0.49 a | 13.08 ± 0.28 a |
| Arginine | 1.54 ± 0.63 c | 6.35 ± 0.45 b | 2.53 ± 0.31 c | 9.18 ± 0.00 a | 5.99 ± 0.96 b | 2.22 ± 0.22 c |
| Total | 191.24 ± 5.22 | 263.48 ± 7.63 | 165.77 ± 3.01 | 360.08 ± 0.11 | 231.59 ± 6.71 | 178.38 ± 6.08 |
| Must | Commercial | Sa | Sb | ||||
|---|---|---|---|---|---|---|---|
| YAΝ (mg/L) | 80 | 150 | 250 | 150 | 250 | 150 | 250 |
| EtOH % (v/v) | 0.00 ± 0.00 | 12.76 ± 0.12 a | 12.91 ± 0.01 a | 13.10 ± 0.08 a | 13.00 ± 0.00 a | 12.82 ± 0.00 a | 12.81 ± 0.17 a |
| pH | 3.15 ± 0.01 | 3.13 ± 0.01 a | 3.14 ± 0.00 a | 3.09 ± 0.01 b | 3.09 ± 0.01 b | 2.98 ± 0.00 c | 3.00 ± 0.01 c |
| Total Acidity (g tartaric acid/L) | 5.21 ± 0.03 | 7.84 ± 0.03 b | 7.68 ± 0.02 b | 7.39 ± 0.03 c | 7.50 ± 0.03 c | 8.67 ± 0.02 a | 8.56 ± 0.06 a |
| Volatile Acidity (g acetic acid/L) | 0.30 ± 0.01 | 0.53 ± 0.02 a | 0.53 ± 0.00 a | 0.37 ± 0.01 b | 0.40 ± 0.01 b | 0.31 ± 0.01 c | 0.32 ± 0.02 c |
| Residual Sugar (g/L) | 210.05 ± 2.1 | 5.05 ± 1.9 a | 3.95 ± 0.3 a | 3.70 ± 1.4 a | 3.65 ± 0.4 a | 3.65 ± 0.2 a | 4.35 ± 1.3 a |
| Glycerol (g/L) | 0.00 ± 0.00 | 6.25 ± 0.15 abc | 6.00 ± 0.00 bcd | 5.75 ± 0.15 cd | 5.55 ± 0.05 d | 6.75 ± 0.15 a | 6.50 ± 0.00 ab |
| Tartaric (g/L) | 6.75 ± 0.1 | 5.4 ± 0.1 abc | 5.2 ± 0.0 c | 5.3 ± 0.1 bc | 5.3 ± 0.0 bc | 5.6 ± 0.1 a | 5.5 ± 0.1 ab |
| Citric (mg/L) | 720 ± 0.0 | 180.0 ± 0.0 b | 185.0 ± 0.0 b | 190.0 ± 0.0 b | 170.0 ± 0.0 b | 365.0 ± 0.0 a | 385.0± 0.0 a |
Publisher’s Note: MDPI stays neutral with regard to jurisdictional claims in published maps and institutional affiliations. |
© 2022 by the authors. Licensee MDPI, Basel, Switzerland. This article is an open access article distributed under the terms and conditions of the Creative Commons Attribution (CC BY) license (https://creativecommons.org/licenses/by/4.0/).
Share and Cite
Christofi, S.; Papanikolaou, S.; Dimopoulou, M.; Terpou, A.; Cioroiu, I.B.; Cotea, V.; Kallithraka, S. Effect of Yeast Assimilable Nitrogen Content on Fermentation Kinetics, Wine Chemical Composition and Sensory Character in the Production of Assyrtiko Wines. Appl. Sci. 2022, 12, 1405. https://doi.org/10.3390/app12031405
Christofi S, Papanikolaou S, Dimopoulou M, Terpou A, Cioroiu IB, Cotea V, Kallithraka S. Effect of Yeast Assimilable Nitrogen Content on Fermentation Kinetics, Wine Chemical Composition and Sensory Character in the Production of Assyrtiko Wines. Applied Sciences. 2022; 12(3):1405. https://doi.org/10.3390/app12031405
Chicago/Turabian StyleChristofi, Stefania, Seraphim Papanikolaou, Maria Dimopoulou, Antonia Terpou, Ionel Bogdan Cioroiu, Valeriu Cotea, and Stamatina Kallithraka. 2022. "Effect of Yeast Assimilable Nitrogen Content on Fermentation Kinetics, Wine Chemical Composition and Sensory Character in the Production of Assyrtiko Wines" Applied Sciences 12, no. 3: 1405. https://doi.org/10.3390/app12031405
APA StyleChristofi, S., Papanikolaou, S., Dimopoulou, M., Terpou, A., Cioroiu, I. B., Cotea, V., & Kallithraka, S. (2022). Effect of Yeast Assimilable Nitrogen Content on Fermentation Kinetics, Wine Chemical Composition and Sensory Character in the Production of Assyrtiko Wines. Applied Sciences, 12(3), 1405. https://doi.org/10.3390/app12031405

