Effect of Co-Encapsulated Natural Antioxidants with Modified Starch on the Oxidative Stability of β-Carotene Loaded within Nanoemulsions
Abstract
1. Introduction
2. Materials and Methods
2.1. Materials
2.2. Preparation of Nanoemulsion
2.3. Measurement of Mean Particle Size (MPS), Zeta-Potential (ZP), and Polydispersity Index (PDI)
2.4. Storage Stability of Vitamin-Loaded Nanoemulsions
2.4.1. Measurement of Peroxide Value (POV)
2.4.2. Measurement of Thiobarbituric Acid Reactive Substances (TBARS)
2.4.3. Measurement of BC by HPLC
2.4.4. Measurement of VE by HPLC
2.5. Statistical Analysis
3. Results and Discussion
3.1. Physiochemical Stability of Vitamin-Loaded Nanoemulsions
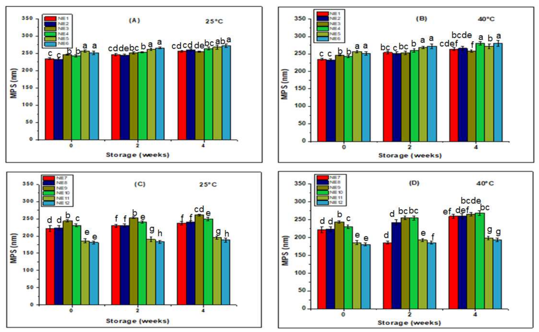
3.1.1. MPS, ZP, and PDI of BC- and VE-Loaded Nanoemulsions
3.1.2. Impact of Storage Conditions on Vitamin-Loaded Nanoemulsions
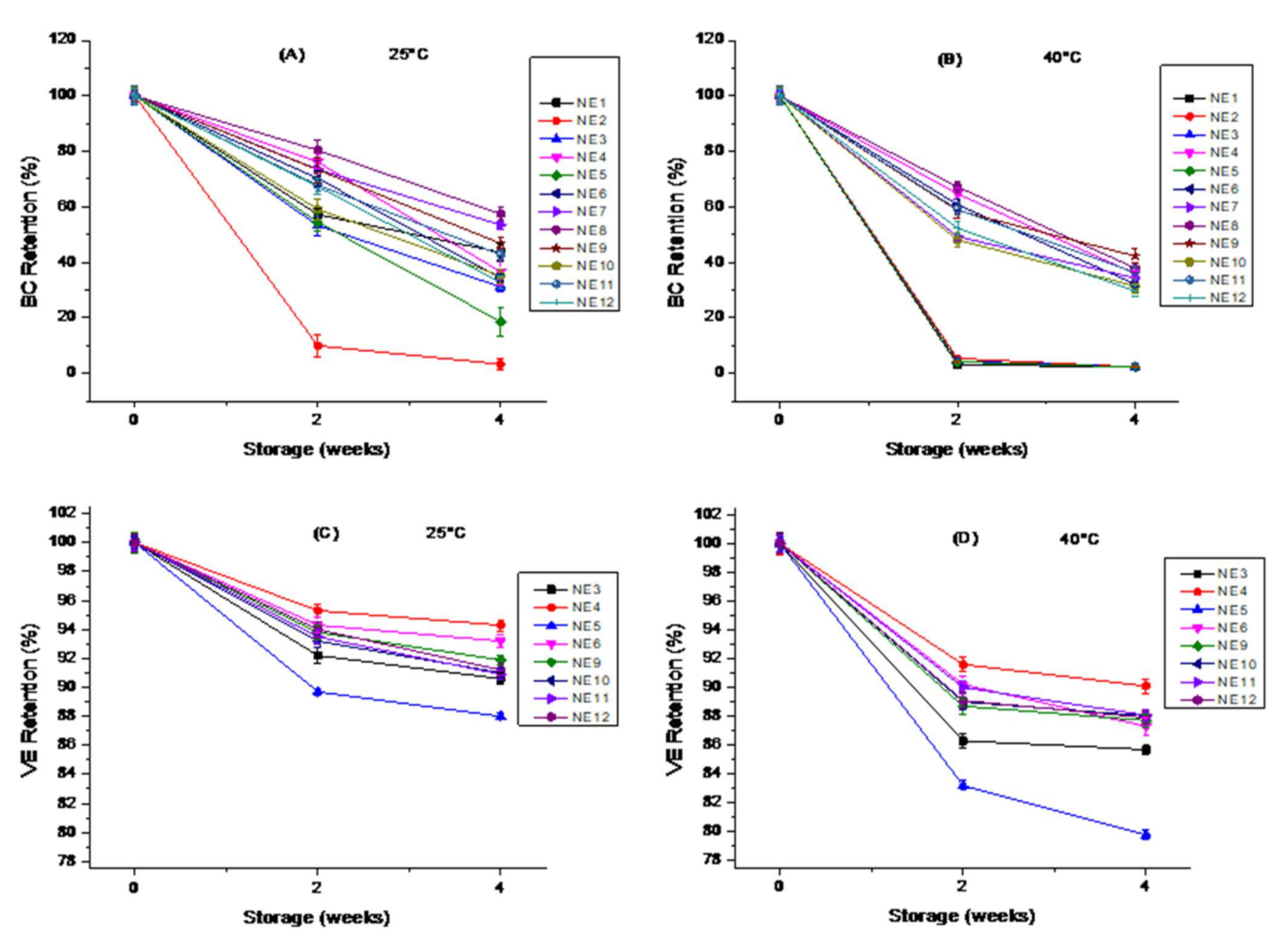
3.1.3. Oxidative Stability of Vitamin-Loaded Nanoemulsions
3.1.4. Storage Stability of Vitamin-Loaded Nanoemulsions
3.2. Effect of Cinnamaldehyde (CIN) on the Physiochemical Stability of Vitamin-Loaded Nanoemulsions
3.2.1. Impact of Loading Cinnamaldehyde on the Size and Z-Potential of VE-Loaded Nanoemulsions
3.2.2. Impact of Storage Conditions on MPS of BC-, VE-, and CIN-Loaded Nanoemulsions
3.2.3. Impact of Loading of CIN on Oxidative Stability of BC- and VE-Loaded Nanoemulsions and Bare Carrier Oils
3.2.4. Impact of CIN Loading on Retention of BC and VE
4. Conclusions
Author Contributions
Funding
Institutional Review Board Statement
Informed Consent Statement
Data Availability Statement
Conflicts of Interest
References
- Shehzad, Q.; Rehman, A.; Jafari, S.M.; Zuo, M.; Khan, M.A.; Ali, A.; Khan, S.; Karim, A.; Usman, M.; Hussain, A. Improving the Oxidative Stability of Fish Oil Nanoemulsions by co-Encapsulation with Curcumin and Resveratrol. Colloids Surf. B Biointerfaces 2021, 199, 111481. [Google Scholar] [CrossRef] [PubMed]
- Comunian, T.; Babazadeh, A.; Rehman, A.; Shaddel, R.; Akbari-Alavijeh, S.; Boostani, S.; Jafari, S. Protection and Controlled Release of Vitamin C by Different Micro/Nanocarriers. Crit. Rev. Food Sci. Nutr. 2020, 1–22. [Google Scholar] [CrossRef] [PubMed]
- Batool, M.; Kauser, S.; Nadeem, H.R.; Perveen, R.; Irfan, S.; Siddiqa, A.; Shafique, B.; Zahra, S.M.; Waseem, M.; Khalid, W.; et al. A Critical Review on Alpha Tocopherol: Sources, RDA and Health Benefits. J. Appl. Pharm. 2020, 12, 39–56. [Google Scholar] [CrossRef]
- Song, H.Y.; Moon, T.W.; Choi, S.J. Impact of Antioxidant on the Stability of β-Carotene in Model Beverage Emulsions: Role of Emulsion Interfacial Membrane. Food Chem. 2019, 279, 194–201. [Google Scholar] [CrossRef]
- Fang, Z.; Xu, X.; Cheng, H.; Li, J.; Liang, L. Comparison of Whey Protein Particles and Emulsions for the Encapsulation and Protection of α-Tocopherol. J. Food Eng. 2019, 247, 56–63. [Google Scholar] [CrossRef]
- Rehman, A.; Tong, Q.; Jafari, S.M.; Assadpour, E.; Shehzad, Q.; Aadil, R.M.; Iqbal, M.W.; Rashed, M.M.; Mushtaq, B.S.; Ashraf, W. Carotenoid-Loaded Nanocarriers: A Comprehensive Review. Adv. Colloid Interface Sci. 2020, 275, 102048. [Google Scholar] [CrossRef] [PubMed]
- Katouzian, I.; Jafari, S.M. Nano-Encapsulation as a Promising Approach for Targeted Delivery and Controlled Release of Vitamins. Trends Food Sci. Technol. 2016, 53, 34–48. [Google Scholar] [CrossRef]
- Khan, S.; Rehman, A.; Shah, H.; Aadil, R.M.; Ali, A.; Shehzad, Q.; Ashraf, W.; Yang, F.; Karim, A.; Khaliq, A. Fish Protein and Its Derivatives: The Novel Applications, Bioactivities, and Their Functional Significance in Food Products. Food Rev. Int. 2020, 1–28. [Google Scholar] [CrossRef]
- Rehman, A.; Jafari, S.M.; Tong, Q.; Karim, A.; Mahdi, A.A.; Iqbal, M.W.; Aadil, R.M.; Ali, A.; Manzoor, M.F. Role of Peppermint Oil in Improving the Oxidative Stability and Antioxidant Capacity of Borage Seed Oil-Loaded Nanoemulsions Fabricated by Modified Starch. Int. J. Biol. Macromol. 2020, 153, 697–707. [Google Scholar] [CrossRef]
- Nejadmansouri, M.; Hosseini, S.M.H.; Niakosari, M.; Yousefi, G.H.; Golmakani, M.T. Physicochemical Properties and Oxidative Stability of Fish Oil Nanoemulsions as Affected by Hydrophilic Lipophilic Balance, Surfactant to Oil Ratio and Storage Temperature. Colloids Surf. A Physicochem. Eng. Asp. 2016, 506, 821–832. [Google Scholar] [CrossRef]
- Salvia-Trujillo, L.; Decker, E.A.; McClements, D.J. Influence of an Anionic Polysaccharide on the Physical and Oxidative Stability of Omega-3 Nanoemulsions: Antioxidant Effects of Alginate. Food Hydrocoll. 2016, 52, 690–698. [Google Scholar] [CrossRef]
- Rashidinejad, A.; Bahrami, A.; Rehman, A.; Rezaei, A.; Babazadeh, A.; Singh, H.; Jafari, S.M. Co-Encapsulation of Probiotics with Prebiotics and Their Application in Functional/Synbiotic Dairy Products. Crit. Rev. Food Sci. Nutr. 2020, 1–25. [Google Scholar]
- Rehman, A.; Jafari, S.M.; Tong, Q.; Riaz, T.; Assadpour, E.; Aadil, R.M.; Niazi, S.; Khan, I.M.; Shehzad, Q.; Ali, A.; et al. Drug Nanodelivery Systems Based on Natural Polysaccharides against Different Diseases. Adv. Colloid Interface Sci. 2020, 284, 102251. [Google Scholar] [CrossRef]
- Qian, C.; Decker, E.A.; Xiao, H.; McClements, D.J. Physical and Chemical Stability of β-Carotene-Enriched Nanoemulsions: Influence of pH, Ionic Strength, Temperature, and Emulsifier Type. Food Chem. 2012, 132, 1221–1229. [Google Scholar] [CrossRef] [PubMed]
- Rehman, A.; Tong, Q.; Shehzad, Q.; Aadil, R.M.; Khan, I.M.; Riaz, T.; Jafari, S.M. Rheological Analysis of Solid-Like Nanoencapsulated Food Ingredients by Rheometers. In Characterization of Nanoencapsulated Food Ingredien; Elsevier: Amsterdam, The Netherlands, 2020; pp. 547–583. [Google Scholar]
- Garavand, F.; Cacciotti, I.; Vahedikia, N.; Rehman, A.; Tarhan, Ö.; Akbari-Alavijeh, S.; Shaddel, R.; Rashidinejad, A.; Nejatian, M.; Jafarzadeh, S.; et al. A Comprehensive Review on the Nanocomposites Loaded with Chitosan Nanoparticles for Food Packaging. Crit. Rev. Food Sci. Nutr. 2020, 1–34. [Google Scholar] [CrossRef]
- Rehman, A.; Jafari, S.M.; Aadil, R.M.; Assadpour, E.; Randhawa, M.A.; Mahmood, S. Development of Active Food Packaging Via Incorporation of Biopolymeric Nanocarriers Containing Essential Oils. Trends Food Sci. Technol. 2020, 101, 106–121. [Google Scholar] [CrossRef]
- Chaiyasit, W.; McClements, D.J.; Decker, E.A. The Relationship between the Physicochemical Properties of Antioxidants and Their Ability to Inhibit Lipid Oxidation in Bulk Oil and Oil-in-Water Emulsions. J. Agric. Food Chem. 2005, 53, 4982–4988. [Google Scholar] [CrossRef]
- Serfert, Y.; Drusch, S.; Schwarz, K. Chemical Stabilisation of Oils Rich in Long-Chain Polyunsaturated Fatty Acids during Homogenisation, Microencapsulation and Storage. Food Chem. 2009, 113, 1106–1112. [Google Scholar] [CrossRef]
- Nadeem, M.; Ghaffar, A.; Hashim, M.M.; Murtaza, M.A.; Ranjha, M.M.A.N.; Mehmood, A.; Riaz, M.N. Sonication and Microwave Processing of Phalsa Drink: A Synergistic Approach. Int. J. Fruit Sci. 2021, 21, 993–1007. [Google Scholar] [CrossRef]
- Ranjha, M.M.A.N.; Amjad, S.; Ashraf, S.; Khawar, L.; Safdar, M.N.; Jabbar, S.; Nadeem, M.; Mahmood, S.; Murtaza, M.A. Extraction of Polyphenols from Apple and Pomegranate Peels Employing Different Extraction Techniques for the Development of Functional Date Bars. Int. J. Fruit Sci. 2020, 20, S1201–S1221. [Google Scholar] [CrossRef]
- Ranjha, M.M.A.N.; Irfan, S.; Lorenzo, J.M.; Shafique, B.; Kanwal, R.; Pateiro, M.; Arshad, R.N.; Wang, L.; Nayik, G.A.; Roobab, U.; et al. Sonication, a Potential Technique for Extraction of Phytoconstituents: A Systematic Review. Processes 2021, 9, 1406. [Google Scholar] [CrossRef]
- Ranjha, M.M.A.N.; Kanwal, R.; Shafique, B.; Arshad, R.N.; Irfan, S.; Kieliszek, M.; Kowalczewski, P.Ł.; Irfan, M.; Khalid, M.Z.; Roobab, U.; et al. A Critical Review on Pulsed Electric Field: A Novel Technology for the Extraction of Phytoconstituents. Molecules 2021, 26, 4893. [Google Scholar] [CrossRef]
- Nadeem, H.R.; Akhtar, S.; Ismail, T.; Sestili, P.; Lorenzo, J.M.; Ranjha, M.M.A.N.; Jooste, L.; Hano, C.; Aadil, R.M. Heterocyclic Aromatic Amines in Meat: Formation, Isolation, Risk Assessment, and Inhibitory Effect of Plant Extracts. Foods 2021, 10, 1466. [Google Scholar] [CrossRef]
- Ranjha, M.M.A.N.; Irfan, S.; Nadeem, M.; Mahmood, S. A Comprehensive Review on Nutritional Value, Medicinal Uses, and Processing of Banana. Food Rev. Int. 2020, 1–27. [Google Scholar] [CrossRef]
- Ranjha, M.M.A.N.; Shafique, B.; Wang, L.; Irfan, S.; Safdar, M.N.; Murtaza, M.A.; Nadeem, M.; Mahmood, S.; Mueen-ud-Din, G.; Nadeem, H.R. A Comprehensive Review on Phytochemistry, Bioactivity and Medicinal Value of Bioactive Compounds of Pomegranate (Punica granatum). Adv. Tradit. Med. 2021, 1–21. [Google Scholar] [CrossRef]
- Faikoh, E.N.; Hong, Y.-H.; Hu, S.-Y. Liposome-Encapsulated Cinnamaldehyde Enhances Zebrafish (Danio rerio) Immunity and Survival when Challenged with Vibrio vulnificus and Streptococcus agalactiae. Fish Shellfish. Immunol. 2014, 38, 15–24. [Google Scholar] [CrossRef]
- Muhoza, B.; Xia, S.; Cai, J.; Zhang, X.; Duhoranimana, E.; Su, J. Gelatin and pectin complex coacervates as carriers for cinnamaldehyde: Effect of pectin esterification degree on coacervate formation, and enhanced thermal stability. Food Hydrocoll. 2019, 87, 712–722. [Google Scholar] [CrossRef]
- Liu, Q.; Cui, H.; Muhoza, B.; Duhoranimana, E.; Xia, S.; Hayat, K.; Hussain, S.; Tahir, M.U.; Zhang, X. Fabrication of Low Environment-Sensitive Nanoparticles for Cinnamaldehyde Encapsulation by Heat-Induced Gelation Method. Food Hydrocoll. 2020, 105, 105789. [Google Scholar] [CrossRef]
- Rashed, M.M.; Ghaleb, A.D.; Li, J.; Al-Hashedi, S.A.; Rehman, A. Functional-Characteristics of Zanthoxylum schinifolium (Siebold & Zucc.) Essential Oil Nanoparticles. Ind. Crops Prod. 2021, 161, 113192. [Google Scholar]
- Rehman, A.; Ahmad, T.; Aadil, R.M.; Spotti, M.J.; Bakry, A.M.; Khan, I.M.; Zhao, L.; Riaz, T.; Tong, Q. Pectin Polymers as Wall Materials for the Nano-Encapsulation of Bioactive Compounds. Trends Food Sci. Technol. 2019, 90, 35–46. [Google Scholar] [CrossRef]
- Mohsin, A.; Zaman, W.Q.; Guo, M.; Ahmed, W.; Khan, I.M.; Niazi, S.; Rehman, A.; Hang, H.; Zhuang, Y. Xanthan-Curdlan Nexus for Synthesizing Edible Food Packaging Films. Int. J. Biol. Macromol. 2020, 162, 43–49. [Google Scholar] [CrossRef]
- Ashraf, W.; Latif, A.; Lianfu, Z.; Jian, Z.; Chenqiang, W.; Rehman, A.; Hussain, A.; Siddiquy, M.; Karim, A. Technological Advancement in the Processing of Lycopene: A Review. Food Rev. Int. 2020, 1–27. [Google Scholar] [CrossRef]
- Zhao, L.; Tong, Q.; Wang, H.; Liu, Y.; Xu, J.; Rehman, A. Emulsifying Properties and Structure Characteristics of Octenyl Succinic Anhydride-Modified Pullulans with Different Degree of Substitution. Carbohydr. Polym. 2020, 250, 116844. [Google Scholar] [CrossRef]
- Rashidinejad, A.; Boostani, S.; Babazadeh, A.; Rehman, A.; Rezaei, A.; Akbari, S.; Shaddel, R.; Jafari, S. Opportunities and Challenges for the Nanodelivery of Green Tea Catechins in Functional Foods. Food Res. Int. 2021, 142, 110186. [Google Scholar] [CrossRef] [PubMed]
- Walker, R.M.; Gumus, C.E.; Decker, E.A.; McClements, D.J. Improvements in the Formation and Stability of Fish Oil-in-Water Nanoemulsions Using Carrier Oils: MCT, Thyme Oil, & Lemon Oil. J. Food Eng. 2017, 211, 60–68. [Google Scholar]
- Qiu, C.; Zhao, M.; Decker, E.A.; McClements, D.J. Influence of Protein Type on Oxidation and Digestibility of Fish Oil-in-Water Emulsions: Gliadin, Caseinate, and Whey Protein. Food Chem. 2015, 175, 249–257. [Google Scholar] [CrossRef] [PubMed]
- Yi, J.; Lam, T.I.; Yokoyama, W.; Cheng, L.W.; Zhong, F. Beta-Carotene Encapsulated in Food Protein Nanoparticles Reduces Peroxyl Radical Oxidation in Caco-2 Cells. Food Hydrocoll. 2015, 43, 31–40. [Google Scholar] [CrossRef]
- Hategekimana, J.; Masamba, K.G.; Ma, J.; Zhong, F. Encapsulation of Vitamin E: Effect of Physicochemical Properties of Wall Material on Retention and Stability. Carbohydr. Polym. 2015, 124, 172–179. [Google Scholar] [CrossRef] [PubMed]
- Sharif, H.R.; Williams, P.A.; Sharif, M.K.; Khan, M.A.; Majeed, H.; Safdar, W.; Shamoon, M.; Shoaib, M.; Haider, J.; Zhong, F. Influence of OSA-Starch on the Physico Chemical Characteristics of Flax Seed Oil-Eugenol Nanoemulsions. Food Hydrocoll. 2017, 66, 365–377. [Google Scholar] [CrossRef]
- Yang, Y.; McClements, D.J. Encapsulation of Vitamin E in Edible Emulsions Fabricated Using a Natural Surfactant. Food Hydrocoll. 2013, 30, 712–720. [Google Scholar] [CrossRef]
- Abbas, S.; Bashari, M.; Akhtar, W.; Li, W.W.; Zhang, X. Process Optimization of Ultrasound-Assisted Curcumin Nanoemulsions Stabilized by OSA-Modified Starch. Ultrason. Sonochemistry 2014, 21, 1265–1274. [Google Scholar] [CrossRef]
- Bonilla, J.; Atarés, L.; Vargas, M.; Chiralt, A. Effect of Essential Oils and Homogenization Conditions on Properties of Chitosan-Based Films. Food Hydrocoll. 2012, 26, 9–16. [Google Scholar] [CrossRef]
- Liang, R.; Shoemaker, C.F.; Yang, X.; Zhong, F.; Huang, Q. Stability and Bioaccessibility of β-Carotene in Nanoemulsions Stabilized by Modified Starches. J. Agric. Food Chem. 2013, 61, 1249–1257. [Google Scholar] [CrossRef] [PubMed]
- Zhao, X.; Liu, F.; Ma, C.; Yuan, F.; Gao, Y. Effect of Carrier Oils on the Physicochemical Properties of Orange Oil Beverage Emulsions. Food Res. Int. 2015, 74, 260–268. [Google Scholar] [CrossRef]
- Nagy, K.; Kerrihard, A.L.; Beggio, M.; Craft, B.D.; Pegg, R.B. Modeling the Impact of Residual Fat-Soluble Vitamin (FSV) Contents on the Oxidative Stability of Commercially Refined Vegetable Oils. Food Res. Int. 2016, 84, 26–32. [Google Scholar] [CrossRef]
- Sánchez, M.d.R.H.; Cuvelier, M.-E.; Turchiuli, C. Effect of α-Tocopherol on Oxidative Stability of Oil during Spray Drying and Storage of Dried Emulsions. Food Res. Int. 2016, 88, 32–41. [Google Scholar] [CrossRef]
- Poyato, C.; Navarro-Blasco, I.; Calvo, M.I.; Cavero, R.Y.; Astiasarán, I.; Ansorena, D. Oxidative Stability of O/W and W/O/W Emulsions: Effect of Lipid Composition and Antioxidant Polarity. Food Res. Int. 2013, 51, 132–140. [Google Scholar] [CrossRef]
- Shahidi, F.; Zhong, Y. Revisiting the Polar Paradox Theory: A Critical Overview. J. Agric. Food Chem. 2011, 59, 3499–3504. [Google Scholar] [CrossRef] [PubMed]
- Jacobsen, C.; Let, M.B.; Nielsen, N.S.; Meyer, A.S. Antioxidant Strategies for Preventing Oxidative Flavour Deterioration of Foods Enriched with n-3 Polyunsaturated Lipids: A Comparative Evaluation. Trends Food Sci. Technol. 2008, 19, 76–93. [Google Scholar] [CrossRef]
- Carocho, M.; Ferreira, I.C. A Review on Antioxidants, Prooxidants and Related Controversy: Natural and Synthetic Compounds, Screening and Analysis Methodologies and Future Perspectives. Food Chem. Toxicol. 2013, 51, 15–25. [Google Scholar] [CrossRef]
- Bakır, T.; Sönmezoğlu, İ.; İmer, F.; Apak, R. Polar Paradox Revisited: Analogous Pairs of Hydrophilic and Lipophilic Antioxidants in Linoleic Acid Emulsion Containing Cu (II). J. Sci. Food Agric. 2013, 93, 2478–2485. [Google Scholar] [CrossRef]
- Liu, Y.; Hou, Z.; Yang, J.; Gao, Y. Effects of Antioxidants on the Stability of β-Carotene in O/W Emulsions Stabilized by Gum Arabic. J. Food Sci. Technol. 2015, 52, 3300–3311. [Google Scholar] [CrossRef][Green Version]
- Hategekimana, J.; Chamba, M.V.; Shoemaker, C.F.; Majeed, H.; Zhong, F. Vitamin E Nanoemulsions by Emulsion Phase Inversion: Effect of Environmental Stress and Long-Term Storage on Stability and Degradation in Different Carrier Oil Types. Colloids Surf. A Physicochem. Eng. Asp. 2015, 483, 70–80. [Google Scholar] [CrossRef]
- Matalanis, A.; Decker, E.A.; McClements, D.J. Inhibition of Lipid Oxidation by Encapsulation of Emulsion Droplets within Hydrogel Microspheres. Food Chem. 2012, 132, 766–772. [Google Scholar] [CrossRef]
- Majeed, H.; Liu, F.; Hategekimana, J.; Sharif, H.R.; Qi, J.; Ali, B.; Bian, Y.-Y.; Ma, J.; Yokoyama, W.; Zhong, F. Bactericidal Action Mechanism of Negatively Charged Food Grade Clove Oil Nanoemulsions. Food Chem. 2016, 197, 75–83. [Google Scholar] [CrossRef] [PubMed]
- Laguerre, M.; Bayrasy, C.; Panya, A.; Weiss, J.; McClements, D.J.; Lecomte, J.; Decker, E.A.; Villeneuve, P. What Makes Good Antioxidants in Lipid-Based Systems? The next Theories beyond the Polar Paradox. Crit. Rev. Food Sci. Nutr. 2015, 55, 183–201. [Google Scholar] [CrossRef] [PubMed]
- Berton, C.; Ropers, M.-H.; Bertrand, D.; Viau, M.; Genot, C. Oxidative Stability of Oil-in-Water Emulsions Sabilised with Protein or Surfactant Emulsifiers in Various Oxidation Conditions. Food Chem. 2012, 131, 1360–1369. [Google Scholar] [CrossRef]
- Kargar, M.; Spyropoulos, F.; Norton, I.T. Microstructural Design to Reduce Lipid Oxidation in Oil-Inwater Emulsions. Procedia Food Sci. 2011, 1, 104–108. [Google Scholar] [CrossRef]
- Wang, B.; Vongsvivut, J.; Adhikari, B.; Barrow, C.J. Microencapsulation of Tuna Oil Fortified with the Multiple Lipophilic Ingredients Vitamins A, D3, E, K2, Curcumin and Coenzyme Q10. J. Funct. Foods 2015, 19, 893–901. [Google Scholar] [CrossRef]
- Qian, C.; Decker, E.A.; Xiao, H.; McClements, D.J. Nanoemulsion Delivery Systems: Influence of Carrier Oil on β-Carotene Bioaccessibility. Food Chem. 2012, 135, 1440–1447. [Google Scholar] [CrossRef]
- Mao, L.; Xu, D.; Yang, J.; Yuan, F.; Gao, Y.; Zhao, J. Effects of Small and Large Molecule Emulsifiers on the Characteristics of β-Carotene Nanoemulsions Prepared by High Pressure Homogenization. Food Technol. Biotechnol. 2009, 47, 336–342. [Google Scholar]
- Yi, J.; Li, Y.; Zhong, F.; Yokoyama, W. The Physicochemical Stability and In Vitro Bioaccessibility of Beta-Carotene in Oil-In-water Sodium Caseinate Emulsions. Food Hydrocoll. 2014, 35, 19–27. [Google Scholar] [CrossRef]




| Nanoemulsions Sample Codes | Emulsifier Type | Oil Type | Bioactive Type | MPS (nm) | ZP (mV) | PDI |
|---|---|---|---|---|---|---|
| NE1 | PGU | TFO | BC (0.2%) | 235 ± 2.23 c | −38.2 ± 1.34 | 0.162 ± 0.023 |
| NE2 | PGU | MCT | BC (0.2%) | 233 ± 1.42 c | −33.6 ± 0.45 | 0.134 ± 0.009 |
| NE3 | PGU | TFO | BC (0.2%) + VE (2%) | 246 ± 3.12 b | −38.4 ± 0.76 | 0.129 ± 0.049 |
| NE4 | PGU | MCT | BC (0.2%) + VE (2%) | 243 ± 1.45 b | −35.6 ± 0.54 | 0.112 ± 0.045 |
| NE5 | PGU | TFO | BC (0.2%) + VE (3%) | 257 ± 4.67 a | −33.9 ± 0.32 | 0.147 ± 0.078 |
| NE6 | PGU | MCT | BC (0.2%) + VE (3%) | 252 ± 3.22 a | −33.1 ± 0.92 | 0.103 ± 0.035 |
| NE7 | PGU | TFO | BC (0.2%) + CIN (1%) | 222 ± 4.34 d | −35.1 ± 0.07 | 0.132 ± 0.003 |
| NE8 | PGU | MCT | BC (0.2%) + CIN (1%) | 224 ± 5.87 d | −33.7 ± 0.65 | 0.092 ± 0.075 |
| NE9 | PGU | TFO | BC (0.2%) + VE (2%) + CIN (1%) | 244 ± 3.12 b | −31.3 ± 0.34 | 0.083 ± 0.062 |
| NE10 | PGU | MCT | BC (0.2%) + VE (2%) + CIN (1%) | 232 ± 4.89 c | −29.7 ± 0.89 | 0.010 ± 0.013 |
| NE11 | TW-80 | TFO | BC (0.2%) + VE (2%) + CIN (1%) | 186 ± 3.41 e | N/D | 0.012 ± 0.062 |
| NE12 | TW-80 | MCT | BC (0.2%) + VE (2%) + CIN (1%) | 181 ±1.38 e | N/D | 0.014 ± 0.061 |
Publisher’s Note: MDPI stays neutral with regard to jurisdictional claims in published maps and institutional affiliations. |
© 2022 by the authors. Licensee MDPI, Basel, Switzerland. This article is an open access article distributed under the terms and conditions of the Creative Commons Attribution (CC BY) license (https://creativecommons.org/licenses/by/4.0/).
Share and Cite
Ali, A.; Rehman, A.; Jafari, S.M.; Ranjha, M.M.A.N.; Shehzad, Q.; Shahbaz, H.M.; Khan, S.; Usman, M.; Kowalczewski, P.Ł.; Jarzębski, M.; et al. Effect of Co-Encapsulated Natural Antioxidants with Modified Starch on the Oxidative Stability of β-Carotene Loaded within Nanoemulsions. Appl. Sci. 2022, 12, 1070. https://doi.org/10.3390/app12031070
Ali A, Rehman A, Jafari SM, Ranjha MMAN, Shehzad Q, Shahbaz HM, Khan S, Usman M, Kowalczewski PŁ, Jarzębski M, et al. Effect of Co-Encapsulated Natural Antioxidants with Modified Starch on the Oxidative Stability of β-Carotene Loaded within Nanoemulsions. Applied Sciences. 2022; 12(3):1070. https://doi.org/10.3390/app12031070
Chicago/Turabian StyleAli, Ahmad, Abdur Rehman, Seid Mahdi Jafari, Muhammad Modassar Ali Nawaz Ranjha, Qayyum Shehzad, Hafiz Muhammad Shahbaz, Sohail Khan, Muhammad Usman, Przemysław Łukasz Kowalczewski, Maciej Jarzębski, and et al. 2022. "Effect of Co-Encapsulated Natural Antioxidants with Modified Starch on the Oxidative Stability of β-Carotene Loaded within Nanoemulsions" Applied Sciences 12, no. 3: 1070. https://doi.org/10.3390/app12031070
APA StyleAli, A., Rehman, A., Jafari, S. M., Ranjha, M. M. A. N., Shehzad, Q., Shahbaz, H. M., Khan, S., Usman, M., Kowalczewski, P. Ł., Jarzębski, M., & Xia, W. (2022). Effect of Co-Encapsulated Natural Antioxidants with Modified Starch on the Oxidative Stability of β-Carotene Loaded within Nanoemulsions. Applied Sciences, 12(3), 1070. https://doi.org/10.3390/app12031070

