Nutritional, Antioxidant, Sensory, Energetic, and Electrical Properties of Enriched Pasta
Abstract
1. Introduction
2. Materials and Methods
3. Results
3.1. Nutritional Composition
3.2. Antioxidant Activity
3.3. Sensory Analysis
3.4. Calorific Value of Pasta Samples
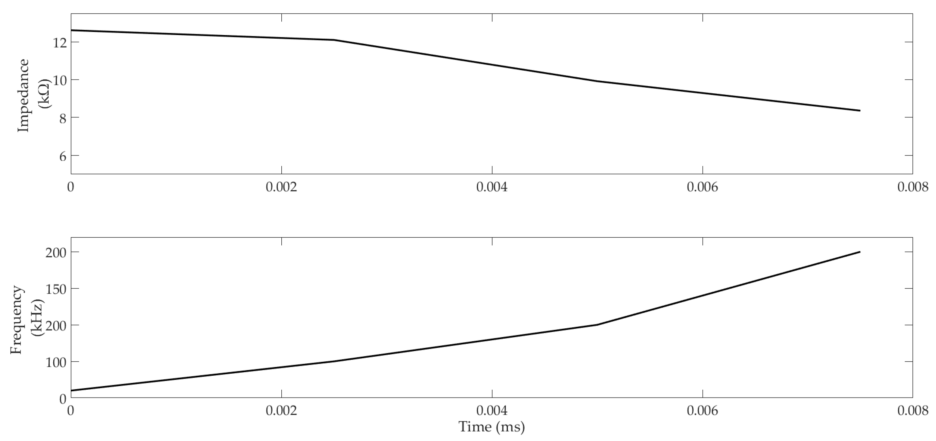
3.5. Electrical Properties of Pasta Samples
4. Discussion
5. Conclusions
Author Contributions
Funding
Institutional Review Board Statement
Informed Consent Statement
Data Availability Statement
Acknowledgments
Conflicts of Interest
References
- Rahman, M.S. (Ed.) Food Properties: An Overview. In Food Properties Handbook, 2nd ed.; CRC Press, Taylor & Francis Group: Boca Raton, FL, USA, 2009; pp. 1–9. [Google Scholar]
- El Khaled, D.; Castellano, N.N.; Gázquez, J.A.; Perea-Moreno, A.-J.; Manzano-Agugliaro, F. Dielectric Spectroscopy in Biomaterials: Agrophysics. Materials 2016, 9, 310. [Google Scholar] [CrossRef] [PubMed]
- Biernacka, B.; Dziki, D.; Gawlik-Dziki, U. Pasta Enriched with Dried and Powdered Leek: Physicochemical Properties and Changes during Cooking. Molecules 2022, 27, 4495. [Google Scholar] [CrossRef] [PubMed]
- Zarzycki, P.; Sykut-Domańska, E.; Sobota, A.; Teterycz, D.; Krawęcka, A.; Blicharz-Kania, A.; Andrejko, D.; Zdybel, B. Flaxseed Enriched Pasta—Chemical Composition and Cooking Quality. Foods 2020, 9, 404. [Google Scholar] [CrossRef] [PubMed]
- Dziki, D. Current Trends in Enrichment of Wheat Pasta: Quality, Nutritional Value and Antioxidant Properties. Processes 2021, 9, 1280. [Google Scholar] [CrossRef]
- Susiloningsih, E.K.B.; Sarofa, U.; Sholihah, F.I. Antioxidant Activity and Sensory Properties Carrot (Daucus carrota) Soyghurt. MATEC Web Conf. 2016, 58, 01002. [Google Scholar] [CrossRef]
- Repajić, M.; Cegledi, E.; Zorić, Z.; Pedisić, S.; Garofulić, I.E.; Radman, S.; Palčić, I.; Dragović-Uzelac, V. Bioactive Compounds in Wild Nettle (Urtica dioica L.) Leaves and Stalks: Polyphenols and Pigments upon Seasonal and Habitat Variations. Foods 2021, 10, 190. [Google Scholar] [CrossRef] [PubMed]
- Imenšek, N.; Kristl, J.; Šumanjak, T.K.; Ivančič, A. Antioxidant activity of elderberry fruits during maturation. Agriculture 2021, 11, 555. [Google Scholar] [CrossRef]
- Basu, P. Chapter 14—Analytical Techniques. In Biomass Gasification, Pyrolysis and Torrefaction, 3rd ed.; Prabir, B., Ed.; Academic Press: Cambridge, MA, USA, 2018; pp. 479–495. [Google Scholar] [CrossRef]
- Ghouri, N.; Clifton, P.; Craigie, A.M.; Anderson, A.S.; Christensen, P.; Waters, L.; Williams, C.; Coco, G.L.; Ricciardelli, L.A. Consequences and comorbidities associated with obesity. Adv. Nutr. Diet. Obes. 2017, 39–84. [Google Scholar] [CrossRef]
- Massah, J.; Nomanfar, P.; Soufi, M.D.; Vakilian, K.A. Electrical properties measurement: A nondestructive method to determine the quality of bread doughs during fermentation. J. Cereal Sci. 2022, 107, 103530. [Google Scholar] [CrossRef]
- Alam, S.S.; Bharti, D.; Pradhan, B.K.; Sahu, D.; Dhal, S.; Kim, N.M.; Jarzębski, M.; Pal, K. Analysis of the Physical and Structure Characteristics of Reformulated Pizza Bread. Foods 2022, 11, 1979. [Google Scholar] [CrossRef] [PubMed]
- Ramasamy, A.; Muniyasamy, S.; Čep, R.; Elangovan, M. Identification of Fibre Content in Edible Flours Using Microwave Dielectric Cell: Concise Review and Experimental Insights. Materials 2022, 15, 5643. [Google Scholar] [CrossRef] [PubMed]
- Guo, W.; Tiwari, G.; Tang, J.; Wang, S. Frequency, moisture and temperature-dependent dielectric properties of chickpea flour. Biosyst. Eng. 2008, 101, 217–224. [Google Scholar] [CrossRef]
- Łuczycka, D.; Czubaszek, A.; Fujarczuk, M.; Pruski, K. Dielectric properties of wheat flour mixed with oat meal. Int. Agrophys. 2013, 27, 175–180. [Google Scholar] [CrossRef]
- Movahhed, S.; Chenarbon, H.A.; Darabi, F. Assessment of storage time on dielectric constant, physicochemical and rheological properties of two wheat cultivars (Pishtaz and Hamon). J. Food Meas. Charact. 2020, 15, 210–218. [Google Scholar] [CrossRef]
- Banti, M. Review on Electrical Conductivity in Food, the Case in Fruits and Vegetables. World J. Food Sci. Technol. 2020, 4, 80–89. [Google Scholar] [CrossRef]
- Zhang, C.; Su, Y.; Wu, Y.; Li, H.; Zhou, Y.; Xing, D. Comparison on the nutrient plunder capacity of Orychophragmus violaceus and Brassica napus L. based on electrophysiological information. Horticulturae 2021, 7, 206. [Google Scholar] [CrossRef]
- Khaled, A.Y.; Aziz, S.A.; Bejo, S.K.; Nawi, N.M.; Abu Seman, I. Artificial intelligence for spectral classification to identify the basal stem rot disease in oil palm using dielectric spectroscopy measurements. Trop. Plant Pathol. 2021, 47, 140–151. [Google Scholar] [CrossRef]
- American Association of Cereal Chemists. AACC Methods, Methods 08-01, 44-05A, 46-13, 54-20, 8th ed.; American Association of Cereal Chemists: St. Paul, MN, USA, 1996; pp. 200–210. [Google Scholar]
- Sánchés-Moreno, C.; Larrauri, A.; Saura-Calixto, F. A procedure to measure the antioxidant efficiency of polyphenols. J. Sci. Food Agric. 1998, 76, 270–276. [Google Scholar] [CrossRef]
- Singleton, V.L.; Rossi, J.A. Colorimetry of total phenolics with phosphomolybdic-phosphotungstic acid reagents. Am. J. Enol. Vitic. 1965, 16, 144–158. [Google Scholar]
- Polska, F. The Polish Pharmaceutical Society. Available online: http://www.ptfarm.pl/?pid=1&language=en (accessed on 5 February 2021).
- Lichtenthaler, H.K.; Wellburn, A.R. Determinations of total carotenoids and chlorophylls a and b of leaf extracts in different solvents. Biochem. Soc. Trans. 1983, 11, 591–592. [Google Scholar] [CrossRef]
- Fuleki, T.; Francis, F.J. Quantitative methods for anthocyanins. Determination of total anthocyanin and degradation index for cranberry juice. J. Food Sci. 1966, 33, 78–83. [Google Scholar] [CrossRef]
- Lee, J.; Durst, R.W.; Wrolstad, R.E.; Wrolstad, R.E. Determination of Total Monomeric Anthocyanin Pigment Content of Fruit Juices, Beverages, Natural Colorants, and Wines by the pH Differential Method: Collaborative Study. J. Assoc. Off. Anal. Chem. 2005, 88, 1269–1278. [Google Scholar] [CrossRef]
- STN 56 0053; Determination of Vitamin A and Its Provitamins. ÚNN: Praha, Czech Republic, 1986.
- SAS. Users Guide; Version 9.2; SAS/STAT (r) SAS Institute Inc.: Cary, NC, USA, 2009. [Google Scholar]
- Flatt, J.P.; Trembley, A. Energy expenditure and substrate oxidation. In Hanbook of Obesity; Bray, G.A., Bouchard, C., Jamens, J.P.T., Eds.; Marcel Dekker: New York, NY, USA, 1997; pp. 513–537. [Google Scholar]
- Isermann, R.; Münchhof, M. Identification of Dynamic Systems; Springer: Berlin, Germany, 2011; 705p. [Google Scholar]
- Fikar, M.; Mikeš, J. Identification of Systems; STU Bratislava: Bratislava, Slovakia, 1999; 114p. [Google Scholar]
- Domínguez, R.; Zhang, L.; Rocchetti, G.; Lucini, L.; Pateiro, M.; Munekata, P.E.S.; Lorenzo, J.M. Elderberry (Sambucus nigra L.) as potential source of antioxidants. Characterization, optimization of extraction parameters and bioactive properties. Food Chem. 2020, 330, 127266. [Google Scholar] [CrossRef] [PubMed]
- Filip, S.; Vidrih, R. Amino acid composition of protein-enriched dried pasta: Is it suitable for a low-carbohydrate diet? Food Technol. Biotechnol. 2015, 53, 298–306. [Google Scholar] [CrossRef]
- Otles, S.; Yalcin, B. Phenolic Compounds Analysis of Root, Stalk, and Leaves of Nettle. Sci. World J. 2012, 2012, 564367. [Google Scholar] [CrossRef]
- Ma, T.; Tian, C.; Luo, J.; Zhou, R.; Sun, X.; Ma, J. Influence of technical processing units on polyphenols and antioxidant capacity of carrot (Daucus carrota L.) juice. Food Chem. 2013, 141, 1637–1644. [Google Scholar] [CrossRef] [PubMed]
- Sule, S.; Oneh, A.J.; Agba, I.M. Effect of carrot powder incorporation on the quality of pasta. MOJ Food Proc. Technol. 2019, 7, 99–103. [Google Scholar]
- Różyło, R.; Wójcik, M.; Dziki, D.; Biernacka, B.; Cacak-Pietrzak, G.; Gawłowski, S.; Zdybel, A. Freeze-dried elderberry and chokeberry as natural colorants for gluten-free wafer sheets. Int. Agrophys. 2019, 33, 217–225. [Google Scholar] [CrossRef]
- Komolka, P.; Gorecka, D.; Szymandera-Buszka, K.; Jedrusek-Golinska, A.; Dziedzic, K.; Waszkowiak, K. Sensory qualities of pastry products enriched with dietary fibre and polyphenolic substances. Acta Sci. Pol. Technol. Aliement. 2016, 15, 161–170. [Google Scholar] [CrossRef] [PubMed]
- Alemayehu, D.; Desse, G.; Abegaz, K.; Berhanu-desalegn, B.; Getahun, D. Proximate, mineral composition and sensory acceptability of homemade noodles from stinging nettle (Urtica simensis) leaves and wheat flour blends. Int. J. Food Sci. Nutr. Eng. 2016, 6, 55–61. [Google Scholar]
- Almeida, M.M.B.; de Sousa, P.H.M.; Arriaga, Â.M.C.; do Prado, G.M.; Magalhães, C.E.; Maia, G.A.; de Lemos, T.L.G. Bioactive compounds and antioxidant activity of fresh exotic fruits from north eastern. Brazil Food. Res. 2011, 44, 2155–2159. [Google Scholar] [CrossRef]
- Piekara, A.; Krzywonos, M.; Pstrowska, K. Lollipop supplements-nutrient-dense foods or sweets in disguise? J. Food Compos. Anal. 2020, 88, 103436. [Google Scholar] [CrossRef]
- Nelson, S. Dielectric Properties of Agricultural Materials and Their Applications, 1st ed.; Academic Press, Elsevier: Cambridge, MA, USA, 2015; 292p. [Google Scholar]








| Pasta | DMC [%] | CP [%] | AC [%] | FC [%] |
|---|---|---|---|---|
| Control | 92.76 ± 1.58 a | 10.71 ± 1.03 a | 0.93 ± 0.05 c | 0.13 ± 0.01 c |
| With nettle | 92.54 ± 1.21 a | 11.46 ± 0.99 a | 1.25 ± 0.11 a | 0.33 ± 0.11 c |
| With carrot | 92.78 ± 1.03 a | 10.94 ± 1.09 a | 1.10 ± 0.03 b | 0.73 ± 0.21 b |
| With elderberry | 92.76 ± 1.58 a | 10.37 ± 1.15 a | 1.10 ± 0.01 b | 1.33 ± 0.25 a |
| Parameter (mg/g) | Control Pasta | Pasta with Nettle | Pasta with Carrot | Pasta with Elderberry |
|---|---|---|---|---|
| Aspartic acid (Asp) | 9.41 ± 1.23 b | 11.97 ± 1.44 a | 8.03 ± 1.01 b | 8.60 ± 1.01 b |
| Threonine (Thr) | 3.32 ± 0.75 a | 3.60 ± 0.66 a | 3.23 ± 0.13 a | 3.03 ± 0.66 a |
| Serine (Ser) | 5.98 ± 0.33 ab | 6.46 ± 1.05 a | 5.65 ± 0.22 b | 5.32 ± 0.28 ab |
| Glutamic acid (Glu) | 29.94 ± 1.78 a | 31.47 ± 2.25 a | 28.90 ± 1.85 a | 28.29 ± 1.31 a |
| Proline (Pro) | 10.03 ± 0.49 a | 11.38 ± 1.09 a | 10.55 ± 1.74 a | 11.55 ± 1.11 a |
| Glycine (Gly) | 3.84 ± 0.22 ab | 4.14 ± 0.14 a | 3.54 ± 0.33 ab | 3.40 ± 0.21 b |
| Alanine (Ala) | 3.50 ± 0.13 b | 4.09 ± 0.19 a | 3.39 ± 0.22 b | 3.34 ± 0.19 b |
| Valine (Val) | 3.89 ± 0.28 b | 4.57 ± 0.22 a | 3.85 ± 0.13 b | 3.66 ± 0.13 b |
| Isoleucine (Ile) | 3.21 ± 0.45 ab | 3.64 ± 0.23 ab | 3.25 ± 0.21 | 2.92 ± 0.25 b |
| Leucine (Leu) | 7.56 ± 1.22 a | 8.22 ± 0.98 a | 7.42 ± 0.78 a | 6.84 ± 1.12 a |
| Tyrosine (Tyr) | 3.75 ± 0.33 b | 4.25 ± 0.17 a | 3.59 ± 0.16 b | 3.51 ± 0.12 b |
| Phenylalanine (Phe) | 5.69 ± 1.02 a | 6.11 ± 0.21 a | 5.66 ± 0.24 a | 5.14 ± 0.44 a |
| Histidine (His) | 2.58 ± 0.11 a | 2.63 ± 0.11 a | 2.44 ± 0.29 a | 2.28 ± 0.12 b |
| Lysine (Lys) | 3.23 ± 0.14 b | 3.59 ± 0.12 a | 3.11 ± 0.11 b | 2.84 ± 0.11 c |
| Arginine (Arg) | 5.66 ± 1.05 a | 5.51 ± 0.44 a | 4.92 ± 0.97 a | 4,56 ± 0.25 a |
| Pasta | DPPH (mg TEAC/g) | TPC (mg GAE/g) | TPAC (mg CAE/g) |
|---|---|---|---|
| Control | 0.36 ± 0.03 c | 0.65 ± 0.03 b | 0.58 ± 0.10 c |
| With nettle | 0.54 ± 0.04 a | 1.23 ± 0.09 a | 0.74 ± 0.05 bc |
| With carrot | 0.46 ± 0.01 b | 0.67 ± 0.11 b | 0.78 ± 0.08 b |
| With elderberry | 0.56 ± 0.03 a | 1.28 ± 0.04 a | 0.98 ± 0.12 a |
| Pasta | Carotenoids (mg/g) | Chlorophylls (mg/g) | Anthocyanins (mg/g) |
|---|---|---|---|
| Control | n.d. | n.d. | n.d. |
| With nettle | n.d. | 0.81 ± 0.05 | n.d. |
| With carrot | 4. 01 ± 0.87 | n.d | n.d |
| With elderberry | n.d. | n.d. | 0.09 ± 0.01 |
| Sample | m (g) | GCV (J/g) | Standard Error (J/g) |
|---|---|---|---|
| control | 0.86–0.89 | 17,053–17,065 | 9 |
| with nettle | 0.70–0.86 | 16,650–16,803 | 39 |
| with carrot | 0.65–0.76 | 16,484–16,957 | 150 |
| with elderberry | 0.63–0.70 | 17,074–17,209 | 31 |
| Pasta | A | B | C | D | E | R2 (%) | |
|---|---|---|---|---|---|---|---|
| Z (kΩ) | control | 7754 | 7.59 | 88.50 | |||
| nettle | 99.99 | ||||||
| carrot | 3824 | 1214 | 99.99 | ||||
| elderberry | 99.99 | ||||||
| ρ (kΩ·m) | control | 689 | 1823 | 90.60 | |||
| nettle | 235.7 | 94.87 | |||||
| carrot | 179.7 | 90.45 | |||||
| elderberry | 452.3 | 96.89 |
| Sample | fZ (kHz) | fρ (kHz) |
|---|---|---|
| control | 32.12 | 13.59 |
| with nettle | 22.23 | 1.64 |
| with carrot | 4.59 | 109.66 |
| with elderberry | 10.14 | 60.51 |
| Sample | Z (kΩ) | δZ (%) | ρ (kΩ·m) | δρ (%) |
|---|---|---|---|---|
| control | 12854.114 | - | 312.440 | - |
| nettle | 11918.586 | −7.278 | 475.447 | 52.172 |
| carrot | 6483.345 | −49.562 | 9.715 | −96.891 |
| elderberry | 1693.924 | −86.822 | 2.938 | −99,060 |
Publisher’s Note: MDPI stays neutral with regard to jurisdictional claims in published maps and institutional affiliations. |
© 2022 by the authors. Licensee MDPI, Basel, Switzerland. This article is an open access article distributed under the terms and conditions of the Creative Commons Attribution (CC BY) license (https://creativecommons.org/licenses/by/4.0/).
Share and Cite
Hlaváčová, Z.; Madola, V.; Ivanišová, E.; Kunecová, D.; Gálik, B.; Hlaváč, P.; Božiková, M.; Vozárová, V. Nutritional, Antioxidant, Sensory, Energetic, and Electrical Properties of Enriched Pasta. Appl. Sci. 2022, 12, 12672. https://doi.org/10.3390/app122412672
Hlaváčová Z, Madola V, Ivanišová E, Kunecová D, Gálik B, Hlaváč P, Božiková M, Vozárová V. Nutritional, Antioxidant, Sensory, Energetic, and Electrical Properties of Enriched Pasta. Applied Sciences. 2022; 12(24):12672. https://doi.org/10.3390/app122412672
Chicago/Turabian StyleHlaváčová, Zuzana, Vladimír Madola, Eva Ivanišová, Daniela Kunecová, Branislav Gálik, Peter Hlaváč, Monika Božiková, and Vlasta Vozárová. 2022. "Nutritional, Antioxidant, Sensory, Energetic, and Electrical Properties of Enriched Pasta" Applied Sciences 12, no. 24: 12672. https://doi.org/10.3390/app122412672
APA StyleHlaváčová, Z., Madola, V., Ivanišová, E., Kunecová, D., Gálik, B., Hlaváč, P., Božiková, M., & Vozárová, V. (2022). Nutritional, Antioxidant, Sensory, Energetic, and Electrical Properties of Enriched Pasta. Applied Sciences, 12(24), 12672. https://doi.org/10.3390/app122412672

