Analysis of Acoustic Emission Energy from Reinforced Concrete Sewage Pipeline under Full-Scale Loading Test
Abstract
:1. Introduction
2. Experimental System
2.1. Loading System
2.2. Pipeline Specimen
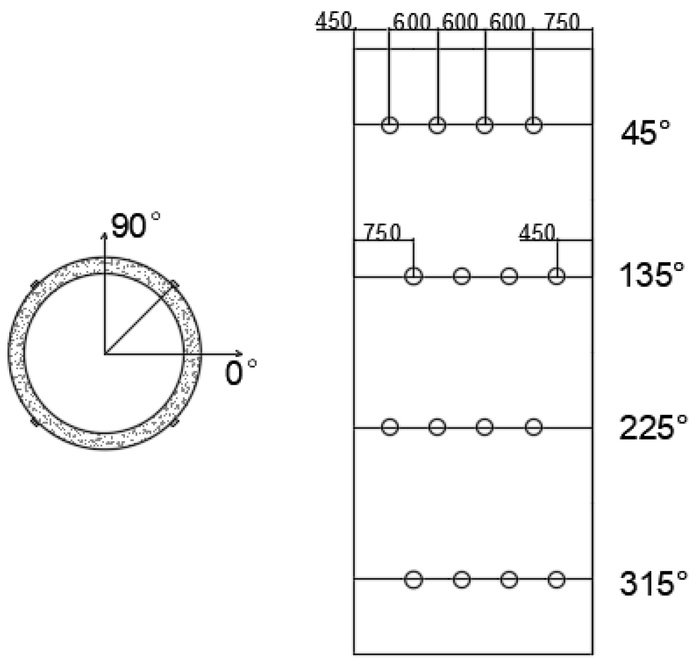
2.3. AE Monitoring System
2.4. Data Acquisition System
3. Full-Scale Loading Test
3.1. Experimental Procedure
- (1)
- After placing the pipe specimens, alignment and leveling were carried out by laser level to prevent the pipe from tipping under the load during the loading process.
- (2)
- The AE sensor was arranged on the surface of the sample, and the contact zone between the sensor and the amplifier was coated with the coupling agent. The AE sensor was arranged on the surface of the sample, and the contact zone between the sensor and the sample was coated with a coupling agent to reduce the attenuation of the AE signal.
- (3)
- After confirming that the sensor lines were connected correctly, the sampling frequency of the AE collector was set to 3 MHz, the MTS actuator was started, and the AE data collected simultaneously.
- (4)
- Loading and data acquisition were stopped simultaneously when transverse through cracks appeared in the pipe specimen, and the experiment was ended.
3.2. Mechanical Characteristics of the Pipe Load
4. AE Signal Analysis and Application
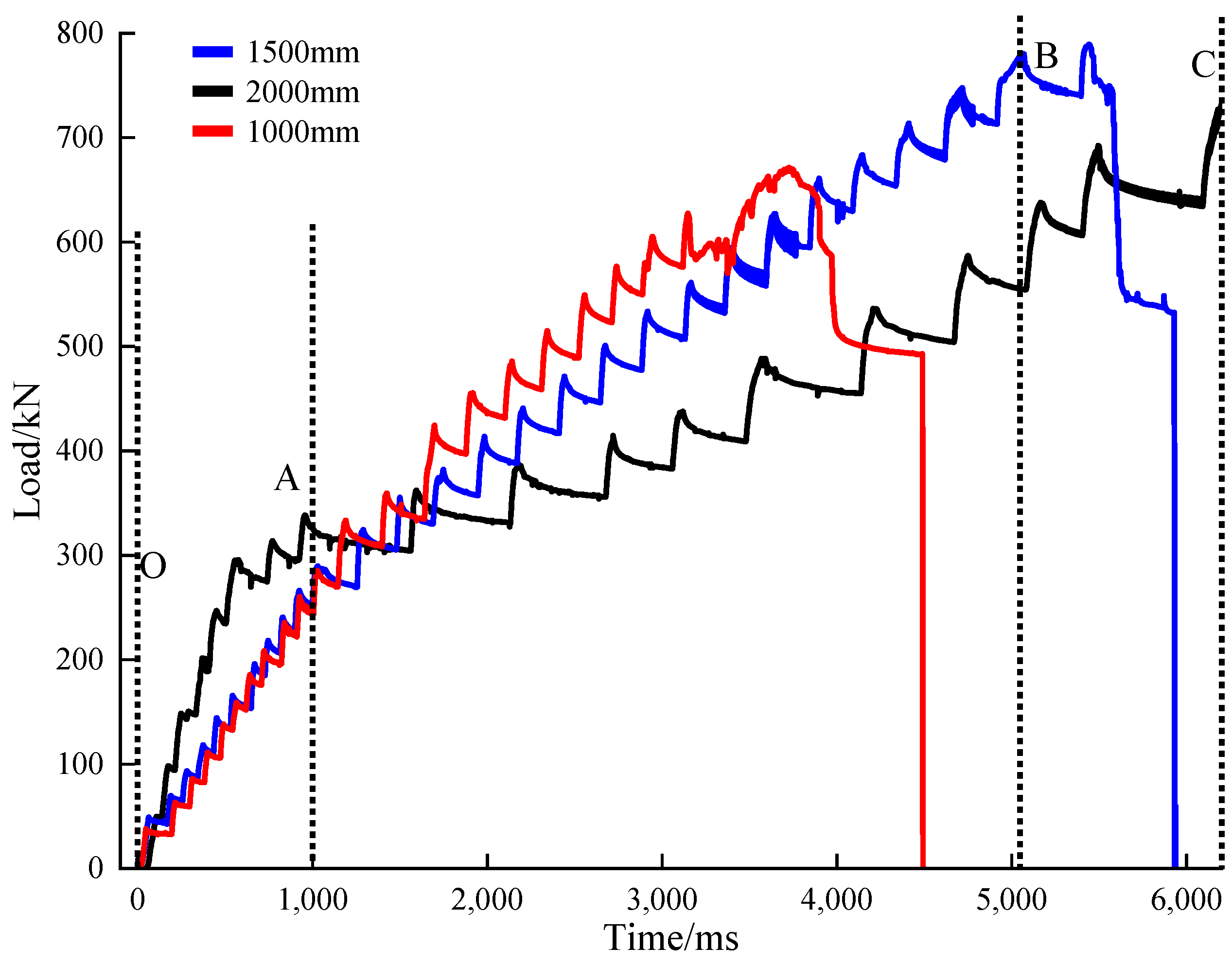
4.1. AE Energy Evolution during the Loading Process
4.2. AE Energy Release in the Process of Stress Change
4.3. AE Energy Parameters for Pipeline Damage Identification
5. Conclusions
- (1)
- Reinforced concrete sewage pipe will produce different AE signal characteristics in the different loading processes. The loading can be divided into three stages. In the online elastic compression stage (OA stage), the concrete undergoes elastic deformation with less structural failure, while the AE signal is relatively calm. In the plastic damage stage (AB stage), the cracks sprout and expand, and the number of AE activities triggered by internal structural damage increases significantly; AE energy increases with the increase of the damage degree. In the residual strength stage (BC stage), the AE signal and cumulative energy rise sharply when the load reaches the damage load, and then gradually decrease.
- (2)
- The generation of the AE signal during the loading process is closely related to the changes in the loading state of the pipe; the generation of the AE signal is not related to the size of the load it is subjected to, but the change in load (stress) is the direct cause of the generation of the AE signal. In the loading stage (the amount of load/stress change), the AE signal appears, the cumulative AE energy curve begins to rise, and in the load retention stage (load/stress change is 0), the AE activity enters a quiet period, the AE signal energy drops to 0, the cumulative AE signal energy stops rising to maintain a stable state.
- (3)
- AE energy and cumulative AE energy can be used as effective monitoring indicators to characterize the loading stage and damage level of full-size pipes, and AE energy and cumulative AE energy vary with the stresses applied to the pipe. The correlation analysis of the load variation ΔF, the accumulated AE energy ∑E, and the single AE energy maximum Emax during the plastic damage phase shows that there is a positive correlation between any two indicators, and the correlation coefficients are greater than 0.9, which is a strong correlation.
- (4)
- The AF/RA index can effectively characterize the loading state and the damage degree of the pipeline. The value of AF/RA gradually increases when the main damage is approaching, and then starts to decrease after the main damage occurs, showing the characteristics of “double peaks”. The appearance of the first peak corresponds to the appearance of the crack load, and the second “peak” appears when the load reaches the damage load. The appearance of the two peaks corresponds to the change of the loading phase of the pipeline, and the occurrence of the major damage.
6. Discussion
Author Contributions
Funding
Institutional Review Board Statement
Informed Consent Statement
Data Availability Statement
Conflicts of Interest
References
- Fang, H.Y.; Li, B.; Wang, F.M.; Wang, Y.K.; Cui, C. The mechanical behaviour of drainage pipeline under traffic load before and after polymer grouting trenchless repairing. Tunn. Undergr. Space Technol. 2018, 74, 185–194. [Google Scholar] [CrossRef]
- Xu, M.; Shen, D.W.; Rakitin, B. The longitudinal response of buried large-diameter reinforced concrete pipeline with gasketed bell-and-spigot joints subjected to traffic loading. Tunn. Undergr. Space Technol. 2017, 64, 117–132. [Google Scholar] [CrossRef]
- Meesawasd, N.; Boonyasiriwat, C.; Kongnuan, S.; Chamchod, F. Finite element modeling for stress analysis of a buried pipeline under soil and traffic loads. In Proceedings of the 2016 IEEE International Conference on Industrial Engineering and Engineering Management (IEEM), Bali, Indonesia, 4–7 December 2016; pp. 4–7. [Google Scholar]
- Fang, H.Y.; Yang, K.J.; Li, B.; Tan, P.L.; Wang, F.; Du, X.M. Experimental and Numerical Study on Mechanical Analysis of Buried Corroded Concrete Pipes under Static Traffic Loads. Appl. Sci. 2019, 9, 5002. [Google Scholar] [CrossRef]
- Zhang, C.; Zhu, J.; Huang, M.; Yu, J. Winkler load-transfer analysis for pipelines subjected to surface load. Comput. Geotech. 2019, 111, 147–156. [Google Scholar] [CrossRef]
- Ma, Y.; Li, S.; Wu, Y.; Wang, D.; Liu, M. Acoustic emission testing method for the sleeve grouting compactness of fabricated structure. Constr. Build. Mater. 2019, 221, 800–810. [Google Scholar] [CrossRef]
- Li, S.L.; Shi, H.S.; Wu, G.M.; Wang, D.W. Application of Acoustic Emission Technique to Crack Detection of Concrete Hollow Slab Bridges. Bridge Constr. 2017, 47, 83–88. [Google Scholar]
- Zheng, Y.; Wang, S.; Zhang, P.; Xu, T.; Zhuo, J. Application of Nondestructive Testing Technology in Quality Evaluation of Plain Concrete and RC Structures in Bridge Engineering: A Review. Buildings 2022, 12, 843. [Google Scholar] [CrossRef]
- Hong, X.B.; Liu, Y.; Lin, X.H.; Luo, Z.Q.; He, Z.W. Nonlinear Ultrasonic Detection Method for Delamination Damage of Lined Anti-Corrosion Pipes Using PZT Transducers. Appl. Sci. 2018, 8, 2240. [Google Scholar] [CrossRef]
- Ma, G.F.; Du, Q.J. Structural health evaluation of the prestressed concrete using advanced acoustic emission (AE) parameters. Constr. Build. Mater. 2020, 250, 118860. [Google Scholar] [CrossRef]
- Hassani, S.; Mousavi, M.; Sharif-Khodaei, Z. Smart bridge monitoring. In The Rise of Smart Cities; Elsevier: Amsterdam, The Netherlands, 2022; pp. 343–372. [Google Scholar]
- Verstrynge, E.; Lacidogna, G.; Accornero, F.; Tomor, A. A review on acoustic emission monitoring for damage detection in masonry structures. Constr. Build. Mater. 2021, 268, 121089. [Google Scholar] [CrossRef]
- De Santis, S.; Tomor, A.K. Laboratory and field studies on the use of acoustic emission for masonry bridges. NDT E Int. 2013, 55, 64–74. [Google Scholar] [CrossRef]
- Shigeishi, M.; Colombo, S.; Broughton, K.J.; Rutledge, H.; Batchelor, A.J.; Forde, M.C. Acoustic emission to assess and monitor the integrity of bridges. Constr. Build. Mater. 2001, 15, 35–49. [Google Scholar] [CrossRef]
- Calabrese, L.; Campanella, G.; Proverbio, E. Noise removal by cluster analysis after long time AE corrosion monitoring of steel reinforcement in concrete. Constr. Build. Mater. 2012, 34, 362–371. [Google Scholar] [CrossRef]
- Alexakis, H.; Liu, H.; DeJong, M.J. Damage identification of brick masonry under cyclic loading based on acoustic emissions. Eng. Struct. 2020, 221, 110945. [Google Scholar] [CrossRef]
- Das, A.K.; Suthar, D.; Leung, C.K.Y. Machine learning based crack mode classification from unlabeled acoustic emission waveform features. Cem. Concr. Res. 2019, 121, 42–57. [Google Scholar] [CrossRef]
- Du, K.; Liu, M.H.; Yang, C.Z.; Tao, M.; Feng, F.K.; Wang, S.F. Mechanical and Acoustic Emission (AE) Characteristics of Rocks under Biaxial Confinements. Appl. Sci. 2021, 11, 769. [Google Scholar] [CrossRef]
- Du, F.Z.; Li, D.S.; Li, Y.Y. Fracture Mechanism and Damage Evaluation of FRP/Steel-Concrete Hybrid Girder Using Acoustic Emission Technique. J. Mater. Civ. Eng. 2019, 31, 04019111. [Google Scholar] [CrossRef]
- Han, Q.H.; Yang, G.; Xu, J.; Fu, Z.W.; Lacidogna, G.; Carpinteri, A. Acoustic emission data analyses based on crumb rubber concrete beam bending tests. Eng. Fract. Mech. 2019, 210, 189–202. [Google Scholar] [CrossRef]
- Hou, Z.Q.; Li, C.H.; Song, Z.Y.; Xiao, Y.G.; Qiao, C.; Wang, Y. Investigation on Acoustic Emission Kaiser Effect and Frequency Spectrum Characteristics of Rock Joints Subjected to Multilevel Cyclic Shear Loads. Geofluids 2021, 2021, 5569525. [Google Scholar] [CrossRef]
- Li, J.S.; Lian, S.L.; Huang, Y.S.; Wang, C.L. Study on Crack Classification Criterion and Failure Evaluation Index of Red Sandstone Based on Acoustic Emission Parameter Analysis. Sustainability 2022, 14, 5143. [Google Scholar] [CrossRef]
- Liu, X.L.; Liu, Z.; Li, X.B.; Gong, F.Q.; Du, K. Experimental study on the effect of strain rate on rock acoustic emission characteristics. Int. J. Rock Mech. Min. Sci. 2020, 133, 104420. [Google Scholar] [CrossRef]
- Niu, Y.; Zhou, X.P.; Berto, F. Evaluation of fracture mode classification in flawed red sandstone under uniaxial compression. Theor. Appl. Fract. Mech. 2020, 107, 102528. [Google Scholar] [CrossRef]
- Lv, H.; Peng, K.; Shang, X.-Y.; Wang, Y.-Q.; Liu, Z.-P. Experimental research on the mechanical and acoustic emission properties of layered sandstone during tensile failure. Theor. Appl. Fract. Mech. 2022, 118, 103225. [Google Scholar] [CrossRef]
- Sharma, G.; Sharma, S.; Sharma, S.K. Monitoring structural behaviour of concrete beams reinforced with steel and GFRP bars using acoustic emission and digital image correlation techniques. Struct. Infrastruct. Eng. 2022, 18, 167–182. [Google Scholar] [CrossRef]
- Shi, D.D.; Chen, X.D.; Zhang, J.H.; Cheng, X.Y.; Li, W.T.; Shi, Z.X.; Wu, C.G. Experimental Study on Post-peak Cyclic Characteristics of Self-compacting Concrete Combined with AE and DIC Technique. J. Adv. Concr. Technol. 2020, 18, 386–395. [Google Scholar] [CrossRef]
- Tra, V.; Kim, J.Y.; Jeong, I.; Kim, J.M. An Acoustic Emission Technique for Crack Modes Classification in Concrete Structures. Sustainability 2020, 12, 6724. [Google Scholar] [CrossRef]
- Wang, C.Y.; Chang, X.K.; Liu, Y.L. Experimental Study on Fracture Patterns and Crack Propagation of Sandstone Based on Acoustic Emission. Adv. Civ. Eng. 2021, 2021, 8847158. [Google Scholar] [CrossRef]
- Wang, Y.; Meng, H.J.; Long, D.Y. Experimental investigation of fatigue crack propagation in interbedded marble under multilevel cyclic uniaxial compressive loads. Fatigue Fract. Eng. Mater. Struct. 2021, 44, 933–951. [Google Scholar] [CrossRef]
- Xu, J.; Niu, X.L.; Yao, Z.Y. Mechanical properties and acoustic emission data analyses of crumb rubber concrete under biaxial compression stress states. Constr. Build. Mater. 2021, 298, 123778. [Google Scholar] [CrossRef]
- Zaki, A.; Ibrahim, Z. Corrosion assessment of pre-corrosion concrete specimens using acoustic emission technique. J. Eng. Technol. Sci. 2021, 53, 210111. [Google Scholar] [CrossRef]
- Zhang, H.; Wang, Z.Z.; Song, Z.L.; Zhang, Y.Z.; Wang, T.T.; Zhao, W.C. Acoustic emission characteristics of different brittle rocks and its application in brittleness evaluation. Geomech. Geophys. Geo-Energy Geo-Resour. 2021, 7, 48. [Google Scholar] [CrossRef]














| Inner Diameter | Thickness | Outer Diameter | Skeleton Layer Position | Circumferential Reinforcement Bars | Longitudinal Reinforcement | ||||
|---|---|---|---|---|---|---|---|---|---|
| Diameter | Inner Diameter | Number of Rings | Pitch | Diameter | Quantity | ||||
| 1000 | 140 | 1140 | Single | 3 | 321 | 13.3 | 75 | 5 | 3 |
| 1500 | 165 | 1665 | Single | 3 | 321 | 13.3 | 75 | 5 | 3 |
| 2000 | 210 | 2210 | Single | 3 | 321 | 13.2 | 75 | 5 | 3 |
| Specification (mm) | Crack Load (kN) | 80% Crack Load (kN) | 10% Crack Load (kN) | 5% Crack Load (kN) | Failure Load (kN) | 80% Failure Load (kN) | 10% Failure Load (kN) | 5% Failure Load (kN) |
|---|---|---|---|---|---|---|---|---|
| 1000 × 140 × 3000 | 207 | 165 | 20 | 10 | 300 | 240 | 30 | 15 |
| 1500 × 165 × 3000 | 300 | 240 | 30 | 15 | 450 | 360 | 45 | 22 |
| 2000 × 210 × 3000 | 402 | 321 | 40 | 20 | 600 | 480 | 60 | 30 |
Publisher’s Note: MDPI stays neutral with regard to jurisdictional claims in published maps and institutional affiliations. |
© 2022 by the authors. Licensee MDPI, Basel, Switzerland. This article is an open access article distributed under the terms and conditions of the Creative Commons Attribution (CC BY) license (https://creativecommons.org/licenses/by/4.0/).
Share and Cite
Li, P.; Zhang, W.; Ye, Z.; Wang, Y.; Yang, S.; Wang, L. Analysis of Acoustic Emission Energy from Reinforced Concrete Sewage Pipeline under Full-Scale Loading Test. Appl. Sci. 2022, 12, 8624. https://doi.org/10.3390/app12178624
Li P, Zhang W, Ye Z, Wang Y, Yang S, Wang L. Analysis of Acoustic Emission Energy from Reinforced Concrete Sewage Pipeline under Full-Scale Loading Test. Applied Sciences. 2022; 12(17):8624. https://doi.org/10.3390/app12178624
Chicago/Turabian StyleLi, Pengpeng, Weidong Zhang, Zhoujing Ye, Yajian Wang, Songli Yang, and Linbing Wang. 2022. "Analysis of Acoustic Emission Energy from Reinforced Concrete Sewage Pipeline under Full-Scale Loading Test" Applied Sciences 12, no. 17: 8624. https://doi.org/10.3390/app12178624
APA StyleLi, P., Zhang, W., Ye, Z., Wang, Y., Yang, S., & Wang, L. (2022). Analysis of Acoustic Emission Energy from Reinforced Concrete Sewage Pipeline under Full-Scale Loading Test. Applied Sciences, 12(17), 8624. https://doi.org/10.3390/app12178624

