Effect of Mechanical Activation on the Leaching Process of Rare Earth Metal Yttrium in Deep Eutectic Solvents
Abstract
1. Introduction
2. Experimental
2.1. Materials and Methods
2.2. Equipment and Characterization
2.3. Mechanical Activation Operation
2.4. Leaching Experiments
3. Results and Discussion
3.1. The Solubility of Yttrium Carbonate in DESS before and after Mechanical Activation
3.2. SEM Analysis of Yttrium Carbonate before and after Mechanical Activation
3.3. Effect of Mechanical Activation Time on the Leaching Efficiency of Metallic Yttrium
3.4. Effect of Mechanical Activation on the Leaching Process
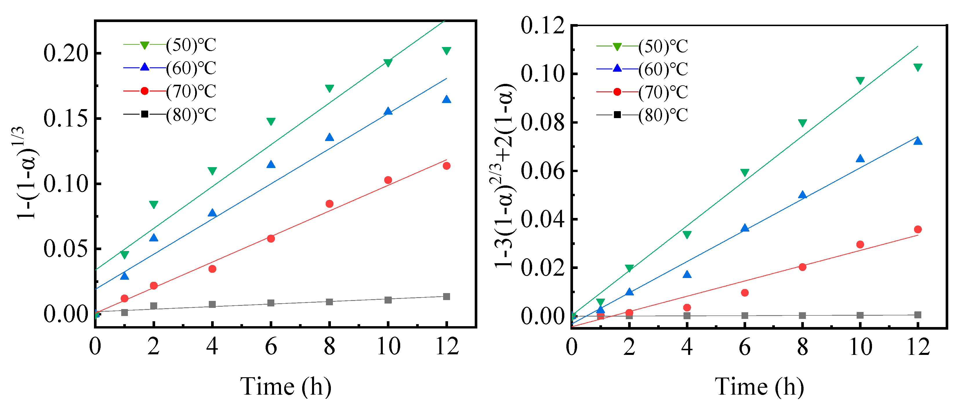
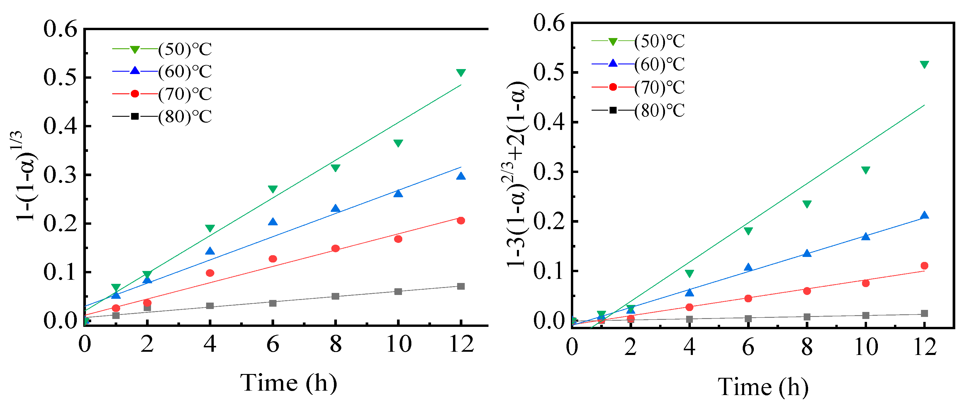
3.5. Effect of Reaction Temperature on the Leaching Process
3.6. Effect of Reaction Time on Leaching Efficiency before and after Mechanical Activation
3.7. Apparent Reaction Activation Energy
4. Conclusions
Author Contributions
Funding
Institutional Review Board Statement
Informed Consent Statement
Data Availability Statement
Conflicts of Interest
References
- Han, K.N.; Kellar, J.J.; Cross, W.M.; Safarzadeh, S. Opportunities and challenges for treating rare-earth elements. Geosystem Eng. 2014, 17, 178–194. [Google Scholar] [CrossRef]
- Chakhmouradian, A.R.; Wall, F.; Anton, R. Rare earth elements: Minerals, mines, magnets (and more). Elements 2012, 8, 333–340. [Google Scholar] [CrossRef]
- Abbott, A.P.; Collins, J.; Dalrymple, I.; Harris, R.; Mistry, R.; Qiu, F. Processing of electric arc furnace dust using deep eutectic solvents. Aust. J. Chem. 2009, 62, 341–347. [Google Scholar] [CrossRef]
- Deniz, T.; Huang, Q.Q. A review of environmental aspect of rare earth element extraction processes and solution purification techniques. Miner. Eng. 2022, 179, 1–19. [Google Scholar]
- Hu, Y.; Cheng, H. Mercury risk from fluorescent lamps in China: Current status and future perspective. Environ. Int. 2012, 44, 141–150. [Google Scholar] [CrossRef] [PubMed]
- Binnemans, K.; Jones, P.T.; Blanpain, B.; Gerven, T.V.; Yang, Y.X.; Walton, A. Recycling of rare earths: A critical review. J. Clean. Prod. 2013, 51, 1–22. [Google Scholar] [CrossRef]
- Innocenzi, V.; De, M.L.; Ferella, F.; Veglio, F. Recovery of yttrium from cathode ray tubes and lamps’ fluorescent powders: Experimental results and economic simulation. Waste Manag. 2013, 33, 2390–2396. [Google Scholar] [CrossRef]
- Safarbali, R.; Yaftian, M.R.; Zamani, A. Solvent extraction-separation of La(III), Eu(III) and Er(III) ions from aqueous chloride medium using carbamoyl-carboxylic acid extractants. J. Rare Earths 2016, 34, 91–98. [Google Scholar] [CrossRef]
- Shimizu, R.; Sawada, K.; Enokida, Y.; Yamamoto, I. Supercritical fluid extraction of rare earth elements from luminescent material in waste fluorescent lamps. J. Supercrit. Fluids 2005, 33, 235–241. [Google Scholar] [CrossRef]
- Liu, Y.F.; Zhang, S.G.; Pan, D.A.; Tian, J.J.; Liu, H.; Wu, M.L. Mechanism and kinetics of the BaMgA110O17: Eu2+ alkaline fusion reaction. J. Rare Earths 2015, 33, 664–670. [Google Scholar] [CrossRef]
- Ou, Z.; Li, I.; Wang, Z. Application of mechanochemistry to metal recovery from second-hand resources: A technical overview. Environ. Sci. Process. Impacts 2015, 17, 1522–1530. [Google Scholar] [CrossRef] [PubMed]
- Hayyan, M.; Hashim, M.A.; Hayyan, A.; Al-Saadi, M.A.; AlNashef, I.M.; Mirghani, M.E.S. Are deep eutectic solvents benign or toxic? Chemosphere 2013, 90, 2193–2195. [Google Scholar] [CrossRef] [PubMed]
- Jenkin, G.R.T.; AL-Bassam, A.Z.M.; Harris, R.C.; Abbott, A.P.; Smith, D.J.; Holwell, D.A.; Chapman, R.J.; Stanley, C.J. The application of deep eutectic solvent ionic liquids for environmentally-friendly dissolution and recovery of precious metals. Miner. Eng. 2016, 87, 18–24. [Google Scholar] [CrossRef]
- Pawar, P.M.; Jarag, K.; Shankarling, G.S. Environmentally benign and energy efficient methodology for condensation: An interesting facet to the classical Perkin reaction. Green Chem. 2011, 13, 2130–2134. [Google Scholar] [CrossRef]
- Abbott, A.P.; Cullis, P.M.; Gibson, M.J.; Harris, R.C.; Raven, E. Extraction of glycerol from biodiesel into a eutectic based ionic liquid. Green Chem. 2007, 9, 868–872. [Google Scholar] [CrossRef]
- Riano, S.; Petranikova, M.; Onghena, B.; Vander, H.T.; Banerjee, D.; Foreman, M.R.S. Separation of rare earths and other valuable metals from deep-eutectic solvents: A new alternative for the recycling of used NdFeB magnets. RSC Adv. 2017, 7, 321–332. [Google Scholar] [CrossRef]
- Zi, W.Y.; Hang, L.; Wai, F.Y.; She, Q.; Esteban, J. Status and advances of deep eutectic solvents for metal separation and recovery. Green Chem. 2022, 24, 1895–1929. [Google Scholar]
- Rodriguez, N.R.; Machiels, L.; Onghena, B. Selective recovery of zinc from goethite residue in the zinc industry using deep-eutectic solvents. RSC Adv. 2020, 10, 7328–7335. [Google Scholar] [CrossRef]
- Li, J.; Michael, H. Mechanical activation of magnesium silicates for mineral carbonation, a review. Miner. Eng. 2018, 128, 69–83. [Google Scholar] [CrossRef]
- He, H.; Cao, J.; Ning, D. Synergistic effect between ultrasound and fierce mechanical activation towards mineral extraction: A case study of ZnO ore. Ultrason. Sonochem. 2018, 48, 163–170. [Google Scholar] [CrossRef]
- Ermolovich, E.A.; Ermolovich, O.V. Effects of mechanical activation on the structural changes and microstructural characteristics of the components of ferruginous quartzite beneficiation tailings. IJMST 2016, 26, 1043–1049. [Google Scholar] [CrossRef]
- Yang, H.Y.; Zhao, S.X.; Wang, G.R.; Zhang, Q.; Jin, N. Mechanical activation modes of chalcopyrite concentrate and relationship between microstructure and leaching efficiency. Hydrometallurgy 2022, 207, 105778. [Google Scholar] [CrossRef]
- Entezari-Zarandi, A.; Larachi, F. Selective dissolution of rare-earth element carbonates in deep eutectic solvents. J. Rare Earths 2019, 5, 528–533. [Google Scholar] [CrossRef]
- Ruß, C.; Köni, B. Low melting mixtures in organic synthesis-an alternative to ionic liquids. Cheminform 2012, 14, 2969–2982. [Google Scholar] [CrossRef]
- Zahiri, A.; Ahmadi, A.; Foroutan, A.A.; Ghadiri, M.A. Improvement of zinc bioleaching from a zinc flotation concentrate using mechanical activation. Miner. Eng. 2021, 163, 17–24. [Google Scholar] [CrossRef]
- Wang, G.R.; Yang, H.Y.; Liu, Y.Y.; Tong, L.L.; Auwalu, A. Study on the mechanical activation of malachite and the leaching of complex copper ore in the Luanshya mining area, Zambia. Int. J. Miner. Metall. Mater. 2020, 27, 292–300. [Google Scholar] [CrossRef]
- Levenspiel, O. Chemical Reaction Engineering, 3rd ed.; John Wiley & Sons: New York, NY, USA, 1999. [Google Scholar]
- He, L.; Ji, W.; Yin, Y.W.; Sun, W.M. Study on alkali mechanical activation for recovering rare earth from waste fluorescent lamps. J. Rare Earths 2018, 36, 108–112. [Google Scholar] [CrossRef]
- Shimakage, K.; Hirai, S.; Seki, M.; Takahashi, T.; Sakuta, Y. Kinetics and mechanisin of hydrochloric acid leaching of rare earth oxide used for a fluorescence substance. Shigen-Soza 1996, 112, 953–958. [Google Scholar] [CrossRef][Green Version]
- Nathália, V.; Carlos, A.; Nogueira, M.F.C.; Pereira, F. Optimization of an innovative approach involving mechanical activation and acid digestion for the extraction of lithium from lepidolite. Int. J. Miner. Metall. Mater. 2018, 25, 11–19. [Google Scholar]










Publisher’s Note: MDPI stays neutral with regard to jurisdictional claims in published maps and institutional affiliations. |
© 2022 by the authors. Licensee MDPI, Basel, Switzerland. This article is an open access article distributed under the terms and conditions of the Creative Commons Attribution (CC BY) license (https://creativecommons.org/licenses/by/4.0/).
Share and Cite
Li, X.; Li, W.; Gao, Y.; Tian, G. Effect of Mechanical Activation on the Leaching Process of Rare Earth Metal Yttrium in Deep Eutectic Solvents. Appl. Sci. 2022, 12, 8253. https://doi.org/10.3390/app12168253
Li X, Li W, Gao Y, Tian G. Effect of Mechanical Activation on the Leaching Process of Rare Earth Metal Yttrium in Deep Eutectic Solvents. Applied Sciences. 2022; 12(16):8253. https://doi.org/10.3390/app12168253
Chicago/Turabian StyleLi, Xiaofen, Wei Li, Yuntao Gao, and Guocai Tian. 2022. "Effect of Mechanical Activation on the Leaching Process of Rare Earth Metal Yttrium in Deep Eutectic Solvents" Applied Sciences 12, no. 16: 8253. https://doi.org/10.3390/app12168253
APA StyleLi, X., Li, W., Gao, Y., & Tian, G. (2022). Effect of Mechanical Activation on the Leaching Process of Rare Earth Metal Yttrium in Deep Eutectic Solvents. Applied Sciences, 12(16), 8253. https://doi.org/10.3390/app12168253

