Abstract
Using two different methods, a previously developed elliptic blending model (the original model) is modified for sensitization to streamline curvature. One method involves modifying the dissipation term in the turbulent dissipation equation, while the other constructs a new formulation for the turbulent kinetic energy production term based on an explicit algebraic stress model. The capabilities of the proposed models are evaluated by applying them to three flows with curved surfaces; namely, the two-dimensional (2D) infinite serpentine passage flow, the 2D U-turn duct flow, and the 2D periodic hill flow. The model with rotation and curvature correction (the model) is also used for comparison. The computed results are compared with the relevant direct numerical simulation, experimental, and large eddy simulation data from the literature. It is found that the two proposed models significantly improve upon the original model. Compared with the model, the two proposed models produce better results in the 2D infinite serpentine passage flow and the 2D periodic hill flow. The proposed models are similarly competitive with the model in the 2D U-turn duct flow.
1. Introduction
Turbulence is a ubiquitous phenomenon in nature, and, as such, determining and understanding turbulence is important in many industrial applications. Computational fluid dynamics is a useful tool for understanding turbulence. Even though computational power has grown rapidly in recent decades, at present, the Reynolds-averaged Navier–Stokes (RANS) method is still the mainstream in industrial applications, as the computing resources required for turbulence-resolved approaches—such as direct numerical simulation (DNS), large eddy simulation (LES), and hybrid LES-RANS approaches—are still unaffordable.
Some widely used RANS approaches are based on linear eddy viscosity models (LEVMs). However, conventional LEVMs generally have a serious weakness: they have no capability of capturing the streamline curvature effect, which may play an important role in some industrial applications. To enable the LEVMs to have the ability to capture the effect of streamline curvature, these turbulence models need to be modified and corrected. Much progress has been made since researchers started focusing on this issue. Due to space limitations, only some representative research results are described here.
Successful streamline curvature corrections to turbulence models can be divided into different types, including corrections for turbulent kinetic energy production term, corrections in the formulation of turbulent viscosity, corrections for turbulent dissipation, and so on. Spalart and Shur [1] have proposed an efficient approach in which a curvature function is introduced to correct the turbulence production term. This approach was first applied to the one-equation Spalart–Allmaras (S-A) turbulence model. Numerical tests showed that the modified S-A model was more accurate than the original S-A model [1,2]. Based on this work [1], Smirnov and Menter [3] have successfully sensitized the shear stress transport (SST) model to rotation and curvature. Zhao et al. [4] have introduced Spalart and Shur’s correction to the standard model. The modified model was applied to calculate the cavitating cloud flows, and good results were obtained. To avoid calculating the Lagrangian derivative of the strain rate tensor—which may introduce instability due to the second-order derivatives of velocity—Zhang and Yang [5] constructed a simpler curvature correction function, using the Richardson number to replace the factor accounting for the streamline curvature effects. Their results showed that the modified model not only can predict the curvature effect as accurately as the original model but also is stable and efficient.
Pettersson Reif et al. [6] have developed a bifurcation approach for the v2-f turbulence model. The constant in the formulation of the turbulent viscosity was replaced by a functional expression, which accounts for the rotation and streamline curvature effects. This bifurcation approach has been applied in the model by Toh and Ng [7]. Based on the anisotropy tensor developed by Gatski and Speziale [8] for an explicit algebraic stress model, York et al. [9] have designed a new eddy viscosity formulation to correct the streamline curvature and rotation effect and successfully applied it to the model. Dhakal and Walters [10] have introduced the eddy viscosity formulation of York et al. [9] into the model and validated its accuracy. Yin et al. [11] have improved upon the formulation of York et al. [9] by incorporating an exact calculation of the Spalart–Shur tensor, for which an approximation was used in the formulation of York et al. [9].
After having re-defined the Richardson number and proposed a new curvature correction function, Hellsten [12] sensitized the model to streamline curvature effects by modifying the dissipation term in the ω-equation. Zhang et al. [13] extended the realizable model to account for the effects of streamline curvature and system rotation. The coefficients in the ε-equation and the damping function for eddy viscosity were modified based on the Richardson number defined by Hellsten [12].
For more detailed descriptions of the solutions related to the effects of streamline curvature and rotation, interested readers may refer to the review articles [14,15].
The purpose of this study is to extend an elliptic blending model (the original model)—which has been shown to perform well in several turbulent flows ranging from a two-dimensional (2D) channel to an impinging jet—in order to sensitize it to streamline curvature effect. Two methods are introduced, and their performances are assessed concerning typical benchmarks.
The turbulence modeling and its corrections for streamline curvature are briefly described in the following section. Then, the performance of the models is assessed through three typical flow configurations: 2D infinite serpentine passage flow, 2D U-turn duct flow, and flow over the 2D periodic hill. Our conclusions are presented in the final section.
2. Turbulence Modeling
The set of transport equations for the proposed models is as follows:
Compared with the original model, the curvature sensitization functions F1 and F2 are introduced in the proposed models. For more information about the original model, please refer to Yang et al. [16].
Two methods for sensitization of the original model to streamline the curvature effect are provided in this paper. The first one (hereafter denoted as the Model) is based on the work of Hellsten [12]. In this method, F1 = 1 and the other sensitization function, F2, is introduced to modify the dissipation term of the ω-equation. It is described as follows:
where and is the Richardson number, defined as
where and are the magnitudes of the vorticity tensor and shear strain tensor, respectively.
It can be seen that, for canonical flows such as the channel flow and the flat plate turbulent boundary layer flow, where and , this model has scant impact.
The second method (hereafter denoted as the Model) starts from the explicit algebraic stress model of Gatski and Speziale [8]. After linearizing and transforming from the ε- to the ω-form using the relation the regularized anisotropy tensor becomes
where
and
The shear strain tensor and vorticity tensor are
The production of turbulent kinetic energy, , is given as
Using Equation (7), this becomes
where .
From convertional LEVMs, the production of turbulent kinetic energy () is given by
If we define
then Equation (13) becomes
In the model, the production of turbulent kinetic energy is calculated by Equation (16). This means that all terms in the equations of the original model should be multiplied by the function F1. At the same time, F2 = 1.
Gatski and Speziale [8] provided three sets of coefficients for their model. The set used in the present work is as follows:
where
It should be emphasized that, in the original model, Kato and Launder’s correction [17] was used for ; namely, . However, in the present work, Equation (14) is used for , as it was found that this produces better results.
In the model, all coefficients are the same as those in the original model; however, in the model, some coefficients need to be re-tuned to ensure the model works well for canonical flows. Based on our tests of three simple flows, i.e., the 2D fully developed turbulent channel flow, 2D flat plate turbulent boundary layer flow, and 2D asymmetry diffuser flow [16], it was found that similar results to the original model can be obtained by modifying only two coefficients. Specifically, the value of in the cross-diffusion term (the term in the ω-equation) changes from 0.52 to 0.45, and the value of in the definition of the turbulent length scale changes from 79 to 88.
All computations were performed on the ANSYS Fluent (version 17.0) platform. In all test cases, the original model and the model with rotation and curvature correction [3] (denoted as the model) were used for comparison. The original model and the two new models proposed in the present work were implemented using the user-defined function (UDF) functionality, while the model is an in-built model and could be used directly.
A steady-state solver with a pressure-based coupled algorithm was chosen to solve the transport equations, where the second-order upwind scheme was used for spatial discretization, a second-order scheme was used for pressure interpolation, and the least squares cell-based method was used for the evaluation of gradients and derivatives.
At solid walls, the no-slip condition was applied. Specifically, for the original model and the two proposed models, , k = 0, φ = 0, α = 0, and [16]. In the model, an automatic near-wall treatment method was used [18]. The inlet and outlet were considered problem-dependent and will be stated for each case later. Based on experience, the first grid point adjacent to the wall should match the condition of y+ < 1, to ensure grid-insensitive solutions. In addition, to reasonably limit the number of meshes and save computing resources, a successive ratio mesh was used in the vertical direction of the wall.
3. Results
The performance of the proposed models for streamline curvature sensitization was assessed by computing three flow configurations with large streamline curvature, which present challenges for conventional RANS models. Specifically, we considered the 2D infinite serpentine passage flow, the 2D U-turn duct flow, and the 2D periodic hill flow. The predictions were compared with the relevant DNS, experimental, and LES data. To demonstrate the advantages of the proposed models more convincingly, the results of the original model and the model are incorporated for comparison.
3.1. 2D Infinite Serpentine Passage Flow
The 2D flow in an infinite serpentine passage is a severe test for conventional LEVMs, as it is characterized by a large streamline curvature. Therefore, it has been used by various researchers for assessing the performance of turbulence models [19,20,21]; in particular, the steady case in the DNS of Laskowski and Durbin [22] has been widely used as a reference.
The computational model, which was constructed according to the three-dimensional (3D) model used by Laskowski and Durbin [22], is shown in Figure 1. The boundary conditions are also illustrated. The Reynolds number (Re) of the flow (based on the passage height H and the bulk velocity at inlet, Ub) was 5600. The flow is periodic, such that a periodic boundary condition was applied at the inlet and outlet. The mass flow rate was specified according to the requirement of Re. A grid-dependence test was performed using different resolution meshes, and, finally, the total number of mesh cells was selected as 330,000, which was fine enough to obtain grid-independent results.
Figure 1.
Computational model of the 2D infinite serpentine passage flow.
The velocity magnitude contours predicted by different turbulence models are plotted in Figure 2. It is clear that both the original model and the model overpredicted the re-circulation region downstream of the bends. The velocity distributions predicted by the two new models proposed in the present paper were very close.
Figure 2.
The velocity magnitude contours predicted by different turbulence models for the 2D infinite serpentine passage flow.
To illustrate the velocity distribution more quantitatively, the velocity profiles along different transverse lines (l1, l2, l3, and l4, as shown in Figure 1) are shown in Figure 3. It can be observed that the two proposed models successfully predicted the velocity profiles at all locations. However, at l1 and l2, the original model underpredicted the velocity near the outer concave wall, but strongly overpredicted the velocity near the inner convex wall. In contrast, at l3 and l4, the original model overpredicted the velocity near the concave wall, but underpredicted the velocity near the convex wall. This model predicted higher re-circulation downstream of the bend (Figure 3c), and a significant flow recovery delay was observed (Figure 3d). The velocity predicted by the model was the worst compared to the other models.

Figure 3.
Comparison of velocity profiles along different transverse lines for the 2D infinite serpentine passage flow: (a) l1; (b) l2; (c) l3; and (d) l4.
Figure 4 shows the friction coefficient () along the inner and outer walls near bend 1. To facilitate the analysis, an arc coordinate (s) was used, as shown in Figure 1. In the first half of the inner wall (), the predicted by the four models were similar and agreed with the DNS results well. However, in the latter part (), the predicted by the four models differed dramatically. The predictions of the and models were similar and agreed well with the DNS data. The original model and the model delayed the recovery of the significantly. For along the outer wall, the predictions of the four models displayed obvious differences, even in the first half of the wall. Therefore, the results obtained from the two proposed models were better.
Figure 4.
Comparison of friction coefficient distribution along the inner (a) and outer (b) walls.
The performance of the turbulence models concerning predicting the re-circulation can also be illustrated using the separation and re-attachment points, as well as the re-circulation length, which are listed in Table 1. It shows that all models predicted the separation point earlier and the re-attachment point later. The original model and the model enlarged the re-circulation region dramatically; however, the two proposed models in the present paper obtained significantly improved results.
Table 1.
The separation point (Sep.), re-attachment point (Reatt.), and the re-circulation length (Len.), in the 2D infinite serpentine passage flow.
It can be seen that, for the 2D infinite serpentine passage flow, compared with DNS data, the model provided the best results in terms of the velocity profile, the friction coefficient, and the length of the re-circulation zone. The model also improved the results significantly. These results demonstrate that, compared with the original model, the two proposed models in the present paper work well for this flow. The two proposed models showed good sensitivity to streamline curvature and successfully predicted turbulence augmentation near the concave wall and turbulence suppression near the convex wall, but the original model did not. In the region near the concave wall, generally . For the model, the Richardson number is negative, so that , the turbulence is enhanced due to reduction of turbulent dissipation. For the model, the production of turbulent kinetic energy (Equation (13)) increases, leading to turbulence enhancement. In the region near the convex wall, the opposite situation happens.
Because the turbulence near the convex wall is suppressed, the re-circulation zone becomes shorter. A notable phenomenon was that the predictions of the model were the worst. This result is strange, as this model has been shown to have a good ability for flows with strong streamline curvature by Smirnov and Menter [3]. The reason for the observed result is not clear, and further research is needed for clarification.
3.2. 2D U-Turn Duct Flow
The 2D U-turn duct flow is another good benchmark for assessing the performance of conventional LEVMs under strong streamline curvature, which has been used by many researchers [2,3,5,10,16]. The experimental measurements of Monson et al. [23] have been widely used as reference.
The computational model was the same as Smirnov and Menter [3], as shown in Figure 5, in which the boundary conditions are also provided. At the inlet, we specified fully developed quantity profiles (, k, ω, φ and α), which were obtained from preliminary computations of the fully developed turbulent flow in a plane channel at the same Re using the relevant turbulence models. At the outlet, the static pressure was set to be equal to zero. The Re (based on the channel height H and the bulk velocity at the inlet Ub) was 100,000. The total number of mesh cells was 345,000. By doubling the number of nodes in each direction and finding that the difference in the quantity was negligibly small (i.e., less than 1%), we found that this number of meshes was sufficient for obtaining a grid-independent solution.
Figure 5.
Computational model of the 2D U-turn duct flow.
Figure 6 shows the velocity magnitude contours and streamlines predicted by the different turbulence models. Intuitively, the main difference occurred at the flow separation region behind the bend. The separation region predicted by the model was the largest. Meanwhile, the separation regions predicted by the two proposed models were similar, with both being smaller than that predicted by the original model.
Figure 6.
The velocity magnitude contours predicted by different turbulence models for the 2D U-turn duct flow.
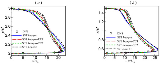
Figure 7 depicts the streamwise velocity profiles along the transverse lines near the bend. To facilitate the analysis, an arc coordinate (s), defined along the center-line of the duct, was used (as shown in Figure 5). At the beginning of the bend (, Figure 7a), the velocity profiles predicted by all turbulence models agreed well with the experimental data. At , as shown in Figure 7b, in the region near the outer concave wall, the original model underpredicted the results. The three other models still underestimated the velocity relative to the experimental results but showed improvements compared to the original model. At , as shown in Figure 7c, the results of all models were not very different. Among them, the velocity predicted by the model was closer to the experimental data. At , as shown in Figure 7d, the model yielded the worst velocity profile. Moreover, the results predicted by the two proposed models were better than those of the original model.
Figure 7.
Comparison of velocity profiles along different transverse lines for the 2D U-turn duct flow: (a) ; (b) ; (c) ; and (d) .
Figure 8 shows the turbulent kinetic energy profiles along the transverse lines near the bend. At the locations and , both the original model and the model suppressed the turbulent kinetic energy near the outer concave wall, while the two proposed models predicted augmentation to varying degrees. Among them, the prediction of the model was the best. However, although the model predicted better turbulent kinetic energy, the improvement in velocity prediction was limited. The reason is that this model also predicts higher turbulent dissipation.
Figure 8.
Comparison of turbulent kinetics along different transverse lines for the 2D U-turn duct flow: (a) , and (b) .
The distributions of the friction coefficients () along the inner and outer walls are depicted in Figure 9. The along the inner wall, predicted by the different turbulence models, varied little. The recovery of downstream in the re-circulation region is significantly delayed. Along the outer wall, the different turbulence models predicted differently. The original model underpredicted while the model overpredicted the peak of . The peaks predicted by the two proposed models were similar and agreed well with the experimental data.
Figure 9.
Comparison of friction coefficient distribution along the (a) inner and (b) outer walls.
Overall, for the 2D U-turn duct flow, the three models with streamline curvature correction provided some improvements. However, it is difficult to determine which performed the best. For example, considering the velocity profile , the result of the model was the best; meanwhile, for the velocity profile , the result of the model was not good as those of the two proposed models. It should be noted that the results yielded by the model in this paper were very different from those reported in Smirnov and Menter [3]. The reasons for this phenomenon may be multi-faceted. For example, the different calculation methods for the second derivative, the different treatment methods for wall boundary conditions, and the different computational platforms. The specific reason should be determined in future research.
3.3. 2D Periodic Hill Flow
The 2D periodic hill flow is also a popular benchmark for assessing turbulence models [24,25,26,27]. The LES results of Frohlich et al. [28] have been widely used as a reference. The computational model was constructed based on the LES mentioned above and is illustrated in Figure 10. The boundary conditions are also shown. The Re (based on the hill height and the bulk velocity at inlet) was 10,595. The total number of mesh cells was 60,800, which was large enough to obtain a grid-independent solution. At the inlet and outlet, a periodic boundary condition was applied. The mass flow rate was specified according to the requirement of Re.
Figure 10.
Computational model of the 2D periodic hill flow.
The velocity magnitude contours and streamlines predicted by the different turbulence models are presented in Figure 11, while the x-direction velocity profiles at different transverse lines are shown in Figure 12. It is easy to see that both the original model and the model predicted excessively large re-circulation zones, while the two proposed models significantly reduced the re-circulation zones. Notably, the model yielded the smallest re-circulation zone. The velocity profiles obtained with the two proposed models agreed excellently with the LES at all locations. The original model and the model predicted higher peak velocities due to the larger re-circulation zone.
Figure 11.
Velocity magnitude contours predicted by different turbulence models.
Figure 12.
Comparison of velocity profiles at different transverse lines.
Figure 13 depicts the friction coefficient () along the bottom wall, and Table 2 lists the locations of the separation point, re-attachment point, and the length of the re-circulation zone. It is evident that the predicted by the model was in excellent agreement with the LES data. The model also yielded good . The original model and the model predicted similar , which significantly deviated from the LES result. The separation point was predicted by the original model slightly later, but the re-attachment point was predicted much later, leading to a much larger re-circulation region. Although the two proposed models also predicted the separation point slightly later, they improved the re-attachment point location strongly, leading to an accurately predicted length of the re-circulation region. The separation point yielded by the model was very close to LES, but the re-attachment point was strongly delayed.
Figure 13.
Comparison of friction coefficients along the bottom wall.
Table 2.
The separation point (Sep.), re-attachment point (Reatt.), and the re-circulation length (Len.), in the 2D periodic hill flow.
In summary, the model gave the best results for the 2D periodic hill flow, though the also predicted good results. The original model failed to predict the accurate re-circulation zone behind the hill, demonstrating that streamline curvature correction plays an important role. Although streamline curvature correction was introduced into the model, it did not significantly improve the results, indicating that the model is unsuitable for this flow.
4. Conclusions
A previously developed elliptic blending RANS model was improved by introducing streamline curvature correction. Two approaches were adopted, one of which involved modifying the dissipation term in the ω-equation, while the other modified the turbulent kinetic energy production term based on Gatski and Speziale’s explicit algebraic stress model [8]. The two proposed models were assessed using three flows with strongly curved surfaces: The 2D infinite serpentine passage flow, the 2D U-turn duct flow, and the 2D periodic hill flow. The predictions were compared with DNS, experimental, and LES results from the literature. The results computed using the original model and the model were also provided as reference. The following conclusions were drawn:
(1) In the 2D infinite serpentine passage flow, the two proposed models produced improved results in terms of the velocity, friction coefficient, and re-circulation length, while the results obtained by the model were the best. Notably, the model was not capable of obtaining correct results: its predictions were even worse than those of the original model.
(2) Compared to the original model, the two proposed models and the model all had positive effects on the 2D U-turn duct flow. The velocity, turbulent kinetic energy, and friction were slightly improved.
(3) In the 2D periodic hill flow, the two proposed models significantly improved upon the results of the original model. They effectively shortened the re-circulation zone and predicted the velocity, friction coefficient, and re-circulation zone more accurately. Again, the predictions by the model were poor.
All cases used to assess the performance of the proposed models in the present paper are 2D. Actually, the model can be used for 3D flows since the Richardson number is generally suited for arbitrary 3D flows. However, the situation is different for the model. The regularized anisotropy tensor used (Equation (7)) is only valid for 2D flows, which would cause the model to only work well with 2D flows. Fortunately, an anisotropy tensor suited for 3D flows had been derived [29]. Although this 3D anisotropy tensor is complex, extending the model to 3D flows becomes possible, which will be investigated in future work.
Author Contributions
Conceptualization, X.Y. and L.Y.; methodology, X.Y. and Z.L.; software, X.Y. and Z.L.; validation, L.Y. and Z.L.; writing—original draft preparation, X.Y.; writing—review and editing, L.Y. All authors have read and agreed to the published version of the manuscript.
Funding
This research was funded by the National Key R&D Program of China (Grant No. 2018YFB2100901) and the Natural Science Foundation of Shenzhen, China (Grant No. 20200814105851001).
Institutional Review Board Statement
Not applicable.
Informed Consent Statement
Not applicable.
Data Availability Statement
Not applicable.
Conflicts of Interest
The authors declare no conflict of interest.
References
- Spalart, P.R.; Shur, M. On the sensitization of turbulence models to rotation and curvature. Aerosp. Sci. Technol. 1997, 1, 297–302. [Google Scholar] [CrossRef]
- Shur, M.L.; Strelets, M.K.; Travin, A.K.; Spalart, P.R. Turbulence Modeling in Rotating and Curved Channels: Assessing the Spalart-Shur Correction. AIAA J. 2000, 38, 784–792. [Google Scholar] [CrossRef]
- Smirnov, P.E.; Menter, F.R. Sensitization of the SST Turbulence Model to Rotation and Curvature by Applying the Spalart–Shur Correction Term. J. Turbomach. 2009, 131, 041010. [Google Scholar] [CrossRef]
- Zhao, Y.; Wang, G.; Huang, B. A curvature correction turbulent model for computations of cloud cavitating flows. Eng. Comput. 2016, 33, 202–216. [Google Scholar] [CrossRef]
- Zhang, Q.; Yang, Y. A new simpler rotation/curvature correction method for Spalart–Allmaras turbulence model. Chin. J. Aeronaut. 2013, 26, 326–333. [Google Scholar] [CrossRef]
- Pettersson Reif, B.A.; Durbin, P.A.; Ooi, A. Modeling rotational effects in eddy-viscosity closures. Int. J. Heat Fluid Flow 1999, 20, 563–573. [Google Scholar] [CrossRef]
- Toh, Y.H.; Ng, B.F. Eddy viscosity modeling around curved boundaries through bifurcation approach and theory of rotating turbulence. Phys. Fluids 2021, 33, 075118. [Google Scholar] [CrossRef]
- Gatski, T.B.; Speziale, C.G. On explicit algebraic stress models for complex turbulent flows. J. Fluid Mech. 1993, 254, 59–78. [Google Scholar] [CrossRef]
- York, W.D.; Walters, D.K.; Leylek, J.H. A simple and robust linear eddy-viscosity formulation for curved and rotating flows. Int. J. Numer. Methods Heat Fluid Flow 2009, 19, 745–776. [Google Scholar] [CrossRef]
- Dhakal, T.P.; Walters, D.K. Curvature and Rotation Sensitive Variants of the K-Omega SST Turbulence Model. In Proceedings of the ASME 2009 Fluids Engineering Division Summer Meeting, Vail, CO, USA, 2–6 August 2009. [Google Scholar] [CrossRef]
- Yin, J.-L.; Wang, D.-Z.; Wu, Y.-L.; Walters, D.K. A Modified k-ε Model for Computation of Flows with Large Streamline Curvature. Adv. Mech. Eng. 2015, 5, 592420. [Google Scholar] [CrossRef]
- Hellsten, A. Some improvements in Menter’s k-omega SST turbulence model. In Proceedings of the 29th AIAA Fluid Dynamics Conference, Albuquerque, NM, USA, 15–18 June 1997. [Google Scholar] [CrossRef]
- Zhang, Y.; Chen, G.; Xu, J. An Eddy-Viscosity Model Sensitized to Curvature and Wall-Roughness Effects for Reynolds-Averaged Closure. J. Fluids Eng. 2020, 142, 041503. [Google Scholar] [CrossRef]
- Durbin, P. Review: Adapting Scalar Turbulence Closure Models for Rotation and Curvature. J. Fluids Eng. 2011, 133, 061205. [Google Scholar] [CrossRef]
- Huang, X.; Yang, W.; Li, Y.; Qiu, B.; Guo, Q.; Zhuqing, L. Review on the sensitization of turbulence models to rotation/curvature and the application to rotating machinery. Appl. Math. Comput. 2019, 341, 46–69. [Google Scholar] [CrossRef]
- Yang, X.L.; Liu, Y.; Yang, L. A shear stress transport incorporated elliptic blending turbulence model applied to near-wall, separated and impinging jet flows and heat transfer. Comput. Math. Appl. 2020, 79, 3257–3271. [Google Scholar] [CrossRef]
- Kato, M. The modeling of turbulent flow around stationary and vibrating square cylinders. In Proceedings of the Ninth Symposium on “Turbulent Shear Flows”, Kyoto, Japan, 16–18 August 1993. [Google Scholar]
- Menter, F.; Ferreira, J.C.; Esch, T.; Konno, B. The SST Turbulence Model with Improved Wall Treatment for Heat Transfer Predictions in Gas Turbines. In Proceedings of the International Gas Turbine Congress 2003, Tokyo, Japan, 2–7 November 2003. [Google Scholar]
- Arolla, S.K.; Durbin, P.A. Modeling rotation and curvature effects within scalar eddy viscosity model framework. Int. J. Heat Fluid Flow 2013, 39, 78–89. [Google Scholar] [CrossRef][Green Version]
- Zhang, X.; Agarwal, R.K. Applications of a DES Model Based on Wray-Agarwal Turbulence Model with Rotation and Curvature Correction. In Proceedings of the AIAA Scitech 2019 Forum, San Diego, CA, USA, 7–11 January 2019. [Google Scholar] [CrossRef]
- Frey Marioni, Y.; de Toledo Ortiz, E.A.; Cassinelli, A.; Montomoli, F.; Adami, P.; Vazquez, R. A Machine Learning Approach to Improve Turbulence Modelling from DNS Data Using Neural Networks. Int. J. Turbomach. Propuls. Power 2021, 6, 17. [Google Scholar] [CrossRef]
- Laskowski, G.M.; Durbin, P.A. Direct numerical simulations of turbulent flow through a stationary and rotating infinite serpentine passage. Phys. Fluids 2007, 19, 015101. [Google Scholar] [CrossRef]
- Monson, D.; Seegmiller, H.; McConnaughey, P. Comparison of experiment with calculations using curvature-corrected zero and two equation turbulence models for a two-dimensional U-duct. In Proceedings of the 21st Fluid Dynamics, Plasma Dynamics and Lasers Conference, Seattle, WA, USA, 18–20 June 1990. [Google Scholar] [CrossRef]
- Fröhlich, J.; Terzi, D. Hybrid LES/RANS methods for the simulation of turbulent flows. Prog. Aerosp. Sci. 2008, 44, 349–377. [Google Scholar] [CrossRef]
- Menter, F.R.; Egorov, Y. The Scale-Adaptive Simulation Method for Unsteady Turbulent Flow Predictions. Part 1: Theory and Model Description. Flow Turbul. Combust. 2010, 85, 113–138. [Google Scholar] [CrossRef]
- Billard, F.; Revell, A.; Craft, T. Application of recently developed elliptic blending based models to separated flows. Int. J. Heat Fluid Flow 2012, 35, 141–151. [Google Scholar] [CrossRef]
- Jakirlić, S.; Maduta, R. Extending the bounds of ‘steady’ RANS closures: Toward an instability-sensitive Reynolds stress model. Int. J. Heat Fluid Flow 2015, 51, 175–194. [Google Scholar] [CrossRef]
- Fröhlich, J.; Mellen, C.P.; Rodi, W.; Temmerman, L.; Leschziner, M.A. Highly resolved large-eddy simulation of separated flow in a channel with streamwise periodic constrictions. J. Fluid Mech. 2005, 526, 19–66. [Google Scholar] [CrossRef]
- Jongen, T.; Gatski, T.B. General explicit algebraic stress relations and best approximation for three-dimensional flows. Int. J. Eng. Sci. 1998, 36, 739–763. [Google Scholar] [CrossRef]
Publisher’s Note: MDPI stays neutral with regard to jurisdictional claims in published maps and institutional affiliations. |
© 2022 by the authors. Licensee MDPI, Basel, Switzerland. This article is an open access article distributed under the terms and conditions of the Creative Commons Attribution (CC BY) license (https://creativecommons.org/licenses/by/4.0/).