CFD and Energy Loss Model Analysis of High-Speed Centrifugal Pump with Low Specific Speed
Abstract
1. Introduction
2. CFD Simulations and Energy Loss Model
2.1. Structural Parameters of Pump
2.2. CFD Simulations
2.3. Empirical Correlations for Ordinary Pumps
2.4. Energy Loss Model for High-Speed Centrifugal Pumps
3. Results and Discussion
3.1. Comparison of Simulation Results with Experimental Data
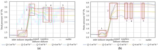
3.2. Flow Field Analysis of the High-Speed Centrifugal Pump
3.3. Loss Analysis Based on ELM/CFD Method
4. Conclusions
- ELM/CFD can better predict the performance of the high-speed centrifugal pump with the low specific speed. Comparing the experimental results with the calculated results, it is found that the results of ELM/CFD are more consistent with the experimental values, with the relative deviation of pump head and efficiency less than 2% and 5% under 50% to 185% design flowrate, respectively.
- Under different flowrates, the variations of the pressure in the high-speed centrifugal pump along the streamline are the same, but the amplitude is quite different. As the flowrate increases, the low-pressure area expands and the minimum static pressure decreases. Meanwhile, the reflux phenomenon at the junction of the hydraulic components alleviates.
- ELM/CFD can accurately analyze the optimization direction of the pump. As for the high-speed centrifugal water pump with the low specific speed, the factors in restricting the efficiency of the pump under smaller flowrates are the hydraulic loss and volume loss of the impeller, and the centrifugal pump under large flowrates could be optimized by reducing the hydraulic loss of the subsequent channel.
Author Contributions
Funding
Institutional Review Board Statement
Informed Consent Statement
Data Availability Statement
Conflicts of Interest
References
- Shah, S.R.; Jain, S.V.; Patel, R.N.; Lakhera, V.J. CFD for centrifugal pumps: A review of the state-of-the-art. Procedia Eng. 2013, 51, 715–720. [Google Scholar] [CrossRef]
- Zhang, Y.; Zhu, Z.; Li, W. Experiments on transient performance of a low specific speed centrifugal pump with open impeller. Proc. Inst. Mech. Eng. Part A J. Power Energy 2016, 230, 648–659. [Google Scholar] [CrossRef]
- Kurokawa, J.; Matsumoto, K.; Matsui, J.; Kitahora, T. Performances of Centrifugal Pumps of Very Low Specific Speed. In Proceedings of the 19th IAHR Symposium on Hydraulic Machinery and Cavitation, Singapore, 9–11 September 1998; Volume 2, pp. 833–842. [Google Scholar]
- Matsumoto, K.; Kurokawa, J.; Matsui, J.; Imamura, H. Performance Improvement and Peculiar Behavior of Disk Friction and Leakage in Very Low Specific-Speed Pumps. In Proceedings of the 20th IAHR Symposium on Hydraulic Machinery and Systems, Charlotte, NC, USA, 6–9 August 1999; Volume 65, pp. 4027–4032. [Google Scholar]
- Schneider, S.; Veres, J.; Hah, C.; Nerone, A.; Cunningham, C.; Kraft, T.; Tavernelli, P.; Fraser, B. Satellite Propellant Pump Research. In Proceedings of the 41st AIAA/ASME/SAE/ASEE Joint Propulsion Conference & Exhibit, Tucson, Arizona, 10–13 July 2005. [Google Scholar]
- Choi, Y.D.; Kurokawa, J.; Matsui, J. Performance and Internal Flow Characteristics of a Very Low Specific Speed Centrifugal Pump. ASME J. Fluids Eng. 2006, 128, 341–349. [Google Scholar] [CrossRef]
- Choi, Y.D.; Nishino, K.; Kurokawa, J.; Matsui, J. PIV measurement of internal flow characteristics of very low specific speed semi-open impeller. Exp. Fluids 2004, 37, 617–630. [Google Scholar] [CrossRef]
- Tan, L.; Cao, S.; Wang, Y.; Zhu, B. Direct and inverse iterative design method for centrifugal pump impellers. Proc. Inst. Mech. Eng. Part A J. Power Energy 2012, 226, 764–775. [Google Scholar] [CrossRef]
- Mohammed, H.S.; Abdus, S.; Shakhawat, H. Centrifugal pump performance enhancement: Effect of splitter blade and optimization. Proc. Inst. Mech. Eng. Part A J. Power Energy 2021, 236, 391–402. [Google Scholar]
- Zeng, G.; Li, Q.; Wu, P.; Qian, B.; Huang, B.; Li, S.; Wu, D. Investigation of the impact of splitter blades on a low specific speed pump for fluid-induced vibration. J. Mech. Sci. Technol. 2020, 34, 2883–2893. [Google Scholar] [CrossRef]
- Chabannes, L.; Štefan, D.; Rudolf, P. Effect of Splitter Blades on Performances of a Very Low Specific Speed Pump. Energies 2021, 14, 3785. [Google Scholar] [CrossRef]
- Liu, Z.; Yukawa, T.; Miyagawa, K.; Fahimi, T.; Tahani, M. Characteristics and internal flow of a low specific speed pump used as a turbine. IOP Conf. Ser. Earth Environ. Sci. 2019, 240, 042007. [Google Scholar] [CrossRef]
- Cui, B.; Zhu, Z.; Zhang, J.; Chen, Y. The flow simulation and experimental study of low-specific-speed high-speed complex centrifugal impellers. Chin. J. Chem. Eng. 2006, 14, 435–441. [Google Scholar] [CrossRef]
- Yang, J.; Zhang, R. Calculation method of the increasing coefficients for low specific speed centrifugal pump. J. Mech. Eng. 2005, 4, 203–205. [Google Scholar] [CrossRef]
- Stirling, T.E.; Wilson, G. A theoretically based CAD method for mixed flow pumps. In Proceedings of the Eighth Technical Conference of the British Pump Manufacturers Association on Pumps—The Heart of the Matter, Cambridge, UK, 29–31 March 1983. [Google Scholar]
- Fan, B.; Liang, Z.; Fan, R.; Chen, S. Numerical Study on Entropy Generation of the Multi-Stage Centrifugal Pump. Entropy 2022, 24, 923. [Google Scholar] [CrossRef]
- Yang, X.; Tian, D.; Si, Q.; Liao, M.; He, J.; He, X.; Liu, Z. Flow Loss Analysis and Optimal Design of a Diving Tubular Pump. Machines 2022, 10, 175. [Google Scholar] [CrossRef]
- Omar, A.K.; Abdelkrim, K.; Abdelkrim, L. Prediction of centrifugal pump performance using energy loss analysis. J. Mech. Eng. 2017, 15, 210–221. [Google Scholar]
- Del Rio, A.; Casartelli, E.; Mangani, L.; Roos, D. Assessment of advanced RANS turbulence models for the stability analysis of low specific speed pump-turbines. IOP Conf. Ser. Earth Environ. Sci. 2021, 774, 012020. [Google Scholar] [CrossRef]
- Lin, X.; Zhang, B.; Zhang, M.; Zhao, Y.; Lai, T.; Chen, L.; Xue, R. Influence of Internal Flow on the Performance of High-Speed Centrifugal Pumps with a Fully Sealed Structure. Appl. Sci. 2022, 12, 5263. [Google Scholar] [CrossRef]
- Xue, R.; Cai, Y.; Fang, X.; Chen, L.; Zhang, X.; Hou, T. Optimization study on a novel high-speed oil-free centrifugal water pump with hydrodynamic bearings. Appl. Sci. 2019, 9, 3050. [Google Scholar] [CrossRef]
- Fang, X.; Hou, Y.; Cai, Y.; Chen, L.; Lai, T.; Chen, S. Study on a high-speed oil-free pump with fluid hydrodynamic lubrication. Adv. Mech. Eng. 2020, 12. [Google Scholar] [CrossRef]
- Cho, L.; Lee, S.; Cho, J. Use of CFD Analyses to Predict Disk Friction Loss of Centrifugal Compressor Impellers. Trans. Jpn. Soc. Aeronaut. Space Sci. 2012, 55, 150–156. [Google Scholar] [CrossRef][Green Version]









| Parameters | Symbol | Value | |
|---|---|---|---|
| Semi-open impeller | Number of blades | Z1 | 6 |
| Inlet diameter/mm | D1 | 27.2 | |
| Outlet diameter/mm | D2 | 64.0 | |
| Outlet blade width/mm | b2 | 3.8 | |
| Outlet angle/° | β2 | 20 | |
| Vaned diffuser | Number of blades | Z2 | 7 |
| Inlet diameter/mm | D3 | 65.0 | |
| Outlet diameter/mm | D4 | 82.0 | |
| Outlet angle/° | β3 | 5.8 | |
| Parameters | Uncertainty/% | Measurement Span |
|---|---|---|
| Pressure/MPa | ±0.25 | 0–1.5 |
| Power/kW | ±0.5 | 0–10 |
| Flowrate/m3·h−1 | ±0.5 | 0.5–10 |
| Head/m | ±0.35 | |
| Efficiency/% | ±1.17 |
| Q/m3·h−1 | H/m | P/W | |
|---|---|---|---|
| 5.63 | 16.60 | 804 | 31.62% |
| 5.37 | 18.31 | 801 | 33.38% |
| 4.92 | 20.57 | 788 | 34.92% |
| 4.54 | 22.47 | 774 | 35.83% |
| 3.99 | 24.78 | 749 | 35.89% |
| 3.10 | 27.55 | 696 | 33.40% |
| 2.90 | 28.00 | 693 | 31.89% |
| 2.14 | 29.72 | 645 | 26.81% |
| 1.80 | 30.28 | 620 | 23.90% |
| 1.42 | 30.76 | 596 | 19.94% |
| 0.95 | 31.51 | 578 | 14.09% |
Publisher’s Note: MDPI stays neutral with regard to jurisdictional claims in published maps and institutional affiliations. |
© 2022 by the authors. Licensee MDPI, Basel, Switzerland. This article is an open access article distributed under the terms and conditions of the Creative Commons Attribution (CC BY) license (https://creativecommons.org/licenses/by/4.0/).
Share and Cite
Xue, R.; Lin, X.; Zhang, B.; Zhou, H.; Lai, T.; Hou, Y. CFD and Energy Loss Model Analysis of High-Speed Centrifugal Pump with Low Specific Speed. Appl. Sci. 2022, 12, 7435. https://doi.org/10.3390/app12157435
Xue R, Lin X, Zhang B, Zhou H, Lai T, Hou Y. CFD and Energy Loss Model Analysis of High-Speed Centrifugal Pump with Low Specific Speed. Applied Sciences. 2022; 12(15):7435. https://doi.org/10.3390/app12157435
Chicago/Turabian StyleXue, Rong, Xinyi Lin, Beile Zhang, Hong Zhou, Tianwei Lai, and Yu Hou. 2022. "CFD and Energy Loss Model Analysis of High-Speed Centrifugal Pump with Low Specific Speed" Applied Sciences 12, no. 15: 7435. https://doi.org/10.3390/app12157435
APA StyleXue, R., Lin, X., Zhang, B., Zhou, H., Lai, T., & Hou, Y. (2022). CFD and Energy Loss Model Analysis of High-Speed Centrifugal Pump with Low Specific Speed. Applied Sciences, 12(15), 7435. https://doi.org/10.3390/app12157435

