The Effect of Immobilizing Agents on Zn and Cu Availability for Plants in Relation to Their Potential Health Risks
Abstract
:1. Introduction
2. Materials and Methods
2.1. Experiment Description
2.2. Analysis of Plant and Soil
2.3. Statistical Analysis
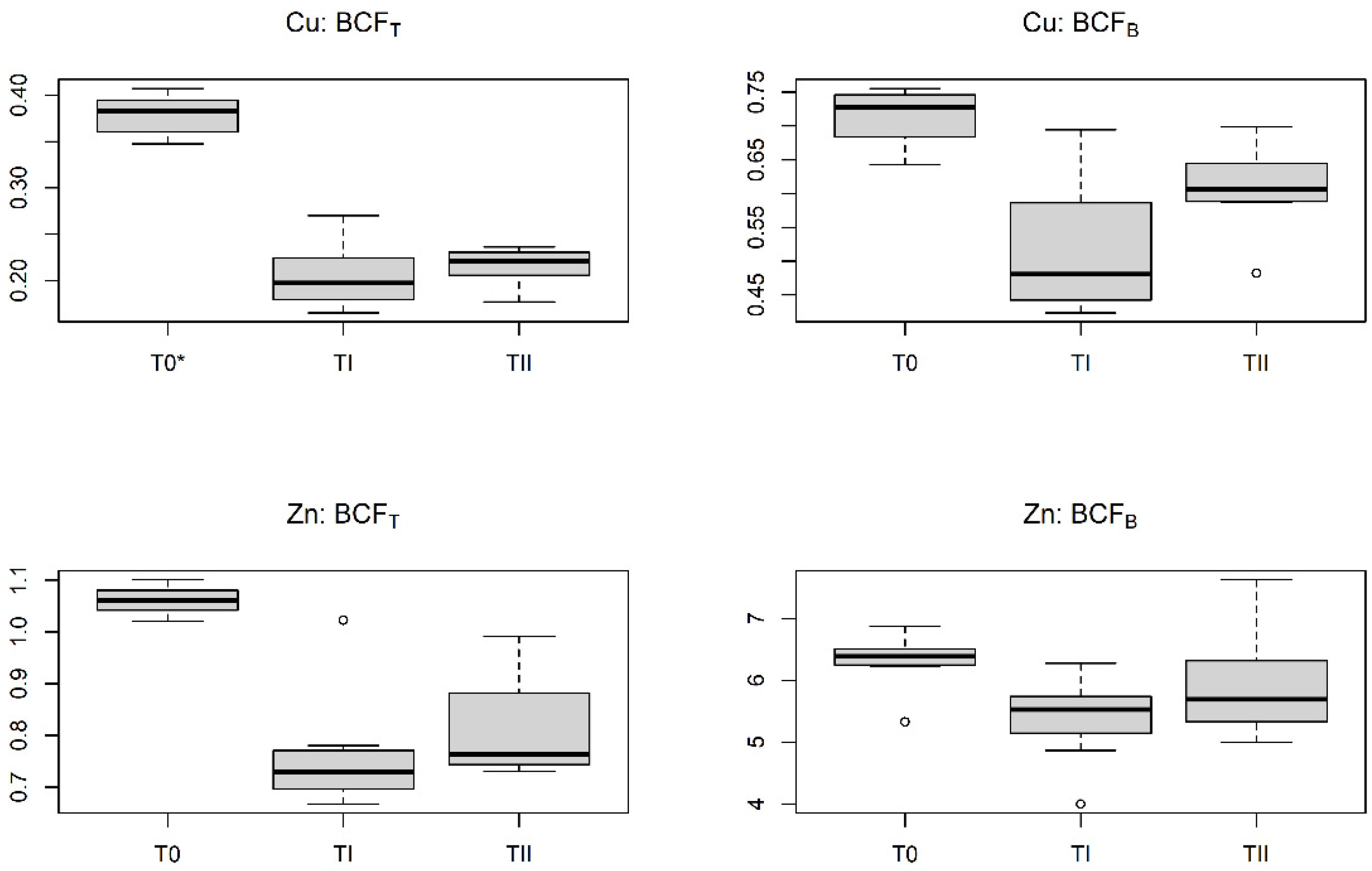
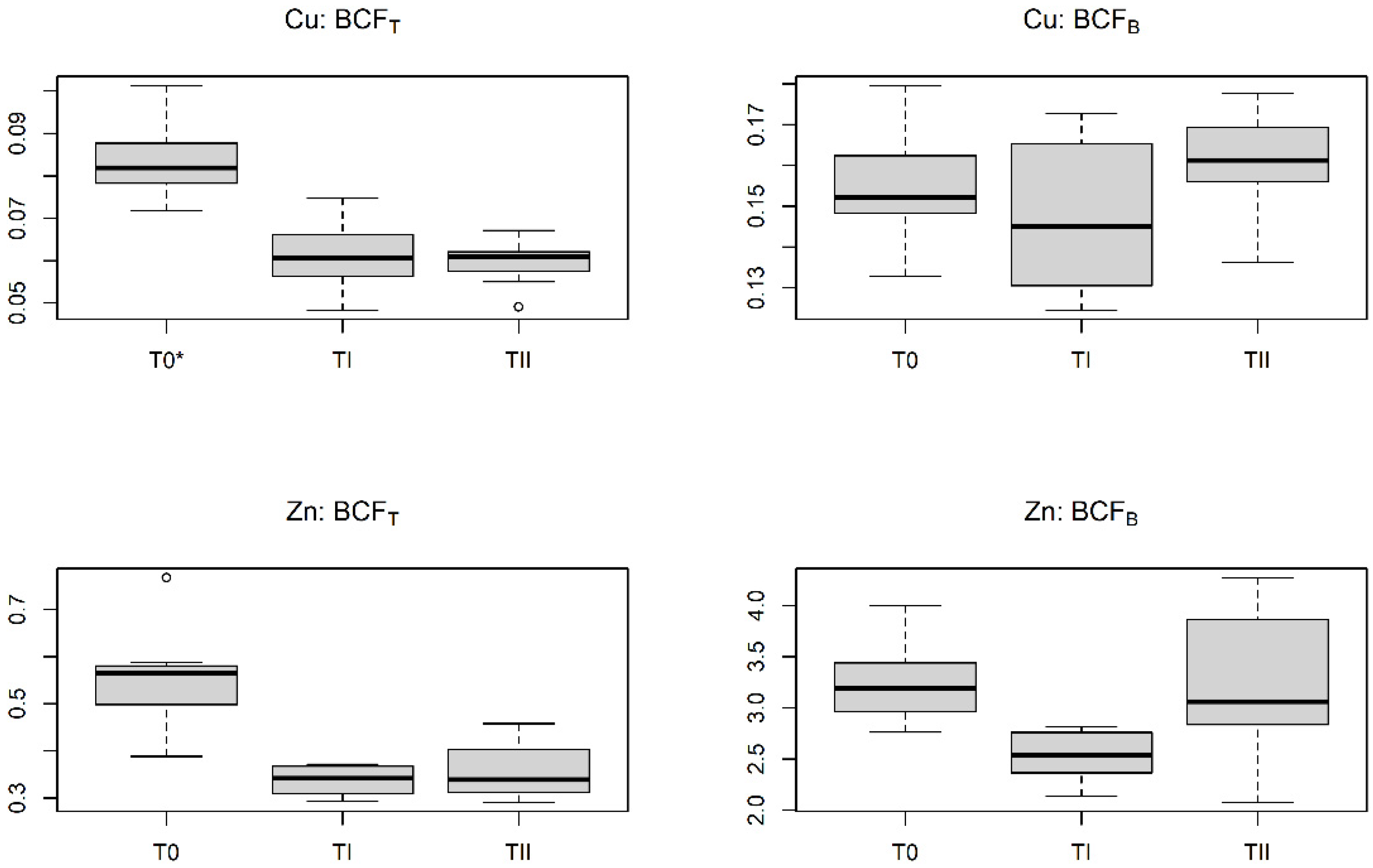
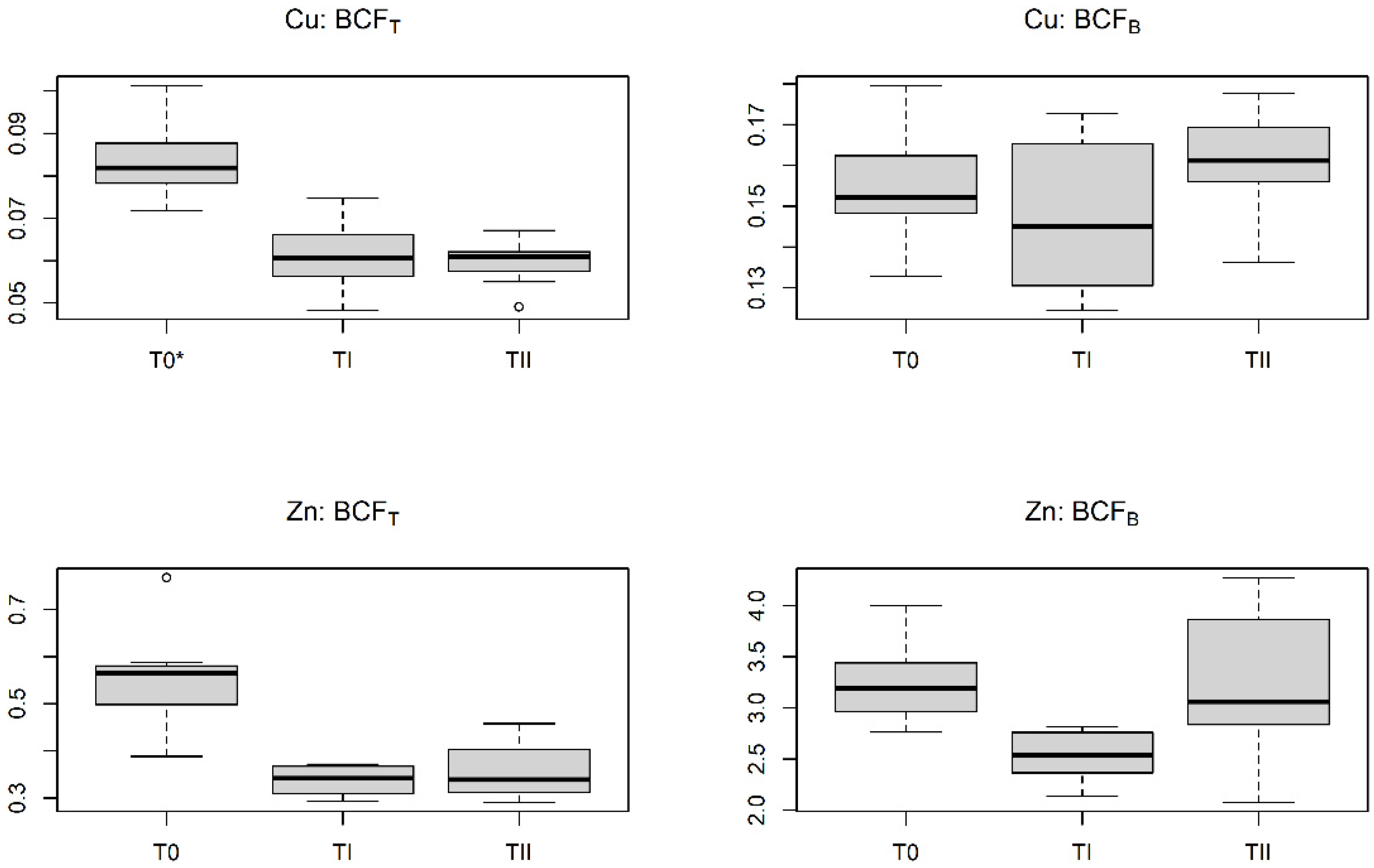
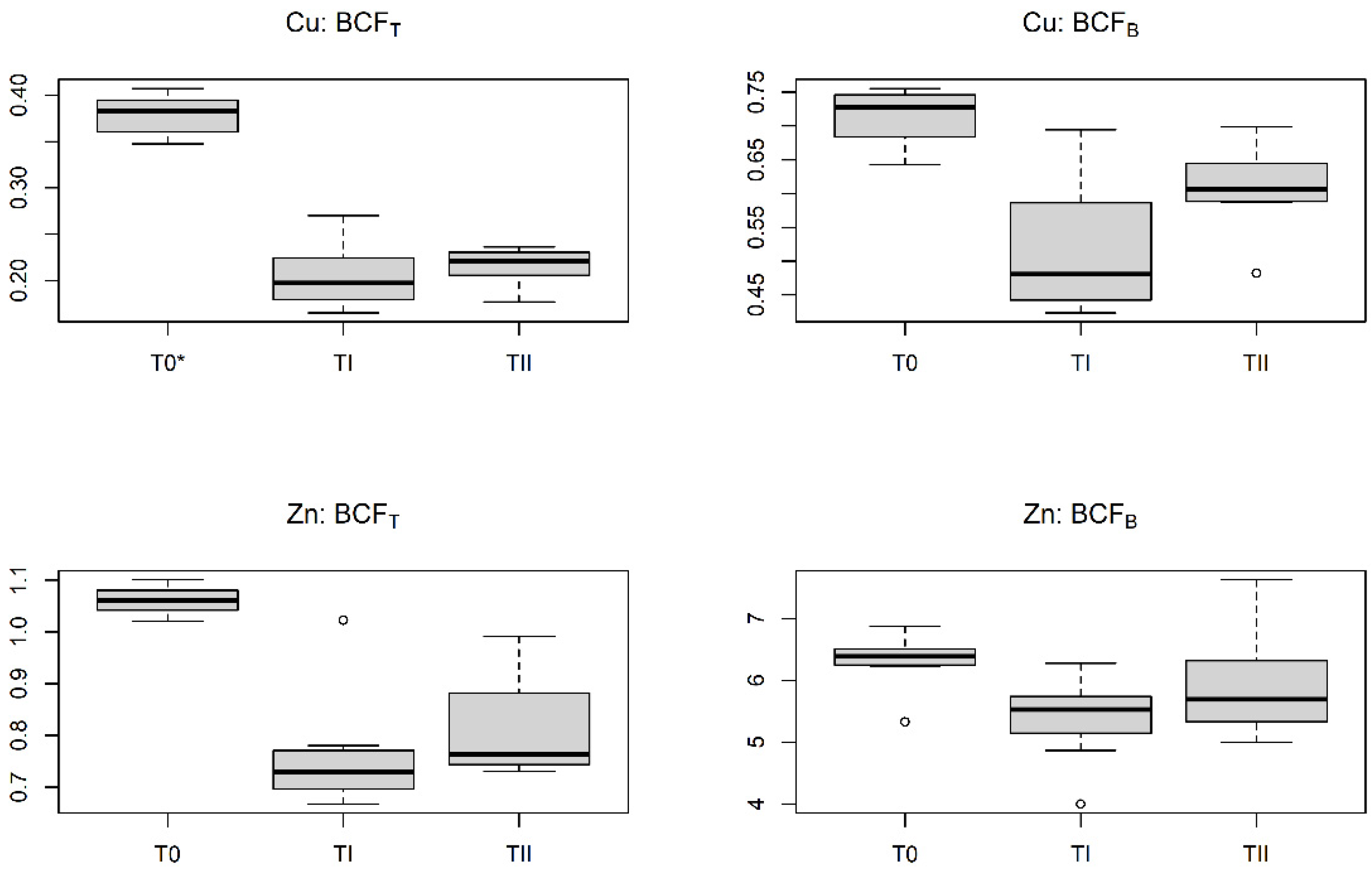
3. Results
3.1. Camelina
3.2. Oat
4. Discussion
4.1. Effect of Immobilizing Agents on Bioconcentration Factors (BCF)
4.2. Effect of Immobilizing Agents on Estimated Daily Intake (EDI) and Health Risk Index (HRI)
5. Conclusions
Author Contributions
Funding
Institutional Review Board Statement
Informed Consent Statement
Data Availability Statement
Conflicts of Interest
References
- Hou, D.; O’Connor, D.; Igalavithana, A.D.; Alessi, D.S.; Luo, J.; Tsang, D.C.W.; Sparks, D.L.; Yamauchi, Y.; Rinklebe, J.; Ok, Y.S. Metal contamination and bioremediation of agricultural soils for food safety and sustainability. Nat. Rev. Earth Environ. 2020, 1, 366–381. [Google Scholar] [CrossRef]
- Kumar, V.; Pandita, S.; Sharma, A.; Bakshi, P.; Sharna, P.; Karaouzas, I.; Bhardwaj, R.; Thukral, A.K.; Cerda, A. Ecological and human health risks appraisal of metal(loid)s in agricultural soils: A review. Geol. Ecol. Landsc. 2021, 5, 173–185. [Google Scholar] [CrossRef] [Green Version]
- Nag, R.; O’Rourke, S.M.; Cummins, E. Risk factors and assessment strategies for the evaluation of human or environmental risk from metal(loid)s—A focus on Ireland. Sci. Total Environ. 2022, 802, 149839. [Google Scholar] [CrossRef]
- Gupta, N.; Yadav, K.K.; Kumar, V.; Kumar, V.; Chadd, R.P.; Kumar, A. Trace elements in soil-vegetables interface: Translocation, bioaccumulation, toxicity and amelioration-a review. Sci. Total Environ. 2019, 651, 2927–2942. [Google Scholar] [CrossRef] [PubMed]
- COM (2012) 46. Thematic Strategy for Soil Protection. Available online: https://ec.europa.eu/environment/soil/three_en.htm (accessed on 2 April 2022).
- Liu, L.; Li, W.; Song, W.; Guo, M. Remediation techniques for heavy metal—Contaminated soils: Principles and applicability. Sci. Total Environ. 2018, 633, 206–219. [Google Scholar] [CrossRef] [PubMed]
- Awasthi, M.K.; Wang, Q.; Chen, H.; Liu, T.; Awasthi, S.K.; Duan, Y.; Varjani, S.; Pandey, A.; Zhang, Z. Role of compost biochar amendment on the (im)mobilization of cadmium and zinc for Chinese cabbage (Brassica Rapa L.) from contaminated soil. J. Soil Sediments 2019, 19, 3883–3897. [Google Scholar] [CrossRef]
- Selvi, A.; Rajasekar, A.; Theerthagiri, J.; Ananthaselvam, A.; Sathishkumar, K.; Madhavan, J.; Rahman, P.K.S.M. Integrated remediation processes towards heavy metals removal/recovery from various environments—A review. Front. Environ. Sci. 2019, 7, 66. [Google Scholar] [CrossRef] [Green Version]
- Chen, H.; Awasthi, S.K.; Liu, T.; Duan, Y.; Zhang, Z.; Awasthi, M. Compost biochar application to contaminated soil reduces the (im)mobilization and phytoavaialbility of lead and copper. J. Chem. Technol. Biotechnol. 2020, 95, 408–417. [Google Scholar] [CrossRef]
- Park, J.H.; Lamb, D.; Paneerselvam, P.; Choppala, G.; Bolan, N.; Chung, J.W. Role of organic amendments on enhanced bioremediation of heavy metal(loi) contaminated soils. J. Hazard. Mater. 2011, 185, 549–574. [Google Scholar] [CrossRef]
- Jakubus, M.; Bakinowska, E.; Tatuśko, N. Compost utilisation in a heavy metal immobilisation process evaluated by bioconcentration factors. J. Elem. 2019, 24, 1291–1307. [Google Scholar] [CrossRef]
- Raja, R.; Pal, S. Remediation of heavy metal contaminated soils by solidification/stabilization with fly ash, quicklime and blast furnance slag. J. Indian Chem. Soc. 2019, 96, 481–486. [Google Scholar]
- Jakubus, M.; Graczyk, M. The Effect of Compost and Fly Ash Treatment of Contaminated Soil on the Immobilisation and Bioavailability of Lead. Agronomy 2021, 11, 1188. [Google Scholar] [CrossRef]
- Jakubus, M.; Graczyk, M. Availability of nickel in soil evaluated by various chemical extractants and plant accumulation. Agronomy 2020, 10, 1805. [Google Scholar] [CrossRef]
- Wang, F.; Zhang, S.; Cheng, P.; Zhang, S.; Sun, Y. Effects of soil amendments on heavy metal immobilization and accumulation by maize grown in a multiple—Metal-contaminated soil and their potential for safe crop production. Toxics 2020, 8, 102. [Google Scholar] [CrossRef] [PubMed]
- Kim, R.-Y.; Yoon, J.-K.; Kim, T.-S.; Yang, J.E.; Owens, G.; Kim, K.-R. Bioavaialability of heavy metals in soils: Definitions and practical implementation—A critical review. Environ. Geochem. Health 2015, 37, 1041–1061. [Google Scholar] [CrossRef] [PubMed]
- PN_ISO 14870:2007; Soil Quality—Extraction of Trace Elements by Buffered DTPA Solution. International Organization for Standardization: Genève, Switzerland, 1995.
- Diatta, J.; Andrzejewska, A.; Rafalowicz, T. Reactivity, exchangeability and solubility of Cu, Zn and Cd in various soil materials: Concepts and evaluation. Eurasian Soil Sci. 2019, 52, 853–864. [Google Scholar] [CrossRef]
- Rai, P.K.; Lee, S.S.; Zhan, M.; Tsang, Y.F.; Kim, K.-H. Heavy metals in food crops. Health, risk, fate, mechanism and management. Environ. Int. 2019, 125, 365–385. [Google Scholar] [CrossRef] [PubMed]
- Latif, A.; Bilal, M.; Asghar, W.; Azeem, M.; Ahmad, M.I.; Abbas, A.; Ahmad, M.Z.; Shahzad, T. Heavy metal accumulation in vegetables and assessment of their potential health risk. J. Environ. Anal. Chem. 2018, 5, 1000234. [Google Scholar] [CrossRef]
- WRB (World Reference Base for Soil Resources). Update, World Soil Resources Reports, 106; FAO: Rome, Italy, 2015. [Google Scholar]
- Directive 86/278/EWG. Available online: https://eur-lex.europa.eu/legal-content/EN/TXT/?uri=celex%3A31986L0278 (accessed on 2 April 2022).
- Ostrowska, A.; Gawliński, S.; Szczubialka, Z. Methods for Analysis and Evaluation of Soil and Plant Properties, 1st ed.; IOŚ Warszawa: Warszawa, Poland, 1991; pp. 158–167. (In Polish) [Google Scholar]
- ISO 11466; Soil Quality-Extraction of Trace Elements Soluble in Aqua Regia. International Organization of Standardization: Genève, Switzerland, 1995.
- US-EPA. Supplementary Guidance for Conducting Health Risk assessment of Chemical Mixtures. EPA/630/R-00/002. 2000. Available online: https://ordspub.epa.gov/ords/eims/eimscomm.getfile?p_download_id=4486 (accessed on 18 June 2022).
- WHO. Food Safety Issue. GEMS/FOOD. Regional Diets. Food Safety Department WHO. 2003. Available online: https://apps.who.int/iris/handle/10665/42833 (accessed on 2 April 2022).
- Jan, F.A.; Ishaq, M.; Khan, S.; Ihsanullah, I.; Schakirullah, H. A comparative study of human health risks via consumption of food crops grown on wastewater irrigated soil (Peshawar) and relatively clean water irrigated soil (lower Dir). J. Hazard. Mater. 2010, 179, 612–621. [Google Scholar] [CrossRef]
- US-EPA. Research and Development. Verified Reference Doses (RfDs) of the U.S. EPA. 1986. Available online: https://nepis.epa.gov/Exe/ZyPDF.cgi/9100QTLV.PDF?Dockey=9100QTLV.PDF (accessed on 18 June 2022).
- Vanisree, C.R.; Sankhla, M.S.; Singh, P.; Jadhav, E.B.; Verma, R.K.; Awasthi, K.K.; Awasthi, G.; Naga, V. Heavy metal contamination of food crops: Transportation via food chain, human consumption, toxicity and management strategies. In Environmental Impact and Remediation of Heavy Metals; Salek, H., Hassam, A., Eds.; IntechOpen: London, UK, 2022. [Google Scholar] [CrossRef]
- Contin, M.; Miho, L.; Pellegrini, E.; Gjoka, F.; Shkurta, E. Effects of natural zeolites on ryegrass growth and bioavailability of Cd, Ni, Pb and Zn in an Albanian contaminated soil. J. Soil. Sediments 2019, 19, 4052–4062. [Google Scholar] [CrossRef]
- Zhu, Q.H.; Huang, D.Y.; Liu, S.L.; Luo, Z.C.; Zhu, H.H.; Zhou, B.; Lei, M.; Rao, Z.X.; Cao, X.L. Assessment of single extraction methods for evaluating the immobilization effect of amendments on cadmium in contaminated acidic paddy soil. Plant Soil Environ. 2012, 58, 98–103. [Google Scholar] [CrossRef] [Green Version]
- Boim, A.G.F.; Melo, L.C.A.; Moreno, F.N.; Alleoni, L.R.F. Bioconcentration factors and the risk concentrations of potentially toxic elements in garden soils. J. Environ. Manag. 2016, 170, 21–27. [Google Scholar] [CrossRef] [PubMed]
- Gautam, M.; Pandey, D.; Agrawal, M. Phytoremediation of metals using lemongrass (Cymbopogon citratus (D.C.) stapf.) grown under different levels of red mud in soil amended with bio-wastes. Int. J. Phytoremediat. 2017, 19, 555–562. [Google Scholar] [CrossRef] [PubMed] [Green Version]
- Lu, Y.; Li, X.; He, M.; Zeng, F.; Li, X. Accumulation of heavy metals in native plants growing on mining-influenced sites in Jinchang: A typical industrial city (China). Environ. Earth Sci. 2017, 76, 446–461. [Google Scholar] [CrossRef]
- Hu, B.; Ja, X.; Hu, J.; Xu, D.; Xia, F.; Li, Y. Assessment of heavy metal pollution and health risks in the soil—plant—human system in the Yangtze River Delta, China. Int. J. Environ. Res. Public Health 2017, 14, 1042. [Google Scholar] [CrossRef] [Green Version]
- Guo, G.; Zhang, D.; Wang, Y. Probabilistic human health risk assessment of heavy metal intake via vegetable consumption around Pb/Zn smelters in southwest China. Int. J. Environ. Res. Public Health 2019, 16, 3267. [Google Scholar] [CrossRef] [Green Version]
- Leblebeci, Z.; Kar, M. Heavy metals accumulation in vegetables irrigated with different water sources and their human daily intake in Nevsehir. J. Agric. Sci. Technol. 2018, 20, 401–415. [Google Scholar]
- Zhang, J.; Yang, R.; Chen, R.; Peng, Y.; Wen, X.; Gao, L. Accumulation of heavy metals in tea leaves and potential health risk assessment: A case study from Puan Country, Guizhou Province, China. Int. J. Environ. Res. Public Health 2018, 15, 133. [Google Scholar] [CrossRef] [Green Version]
- Luo, P.; Xiao, X.; Han, X.; Ma, Y.; Sun, X.; Jiang, J.; Wang, H. Application of different single extraction procedures for assessing the bioavailability of heavy metal(loid)s in soils from overlapped areas of farmland and coal resources. Environ. Sci. Pollut. Res. 2019, 26, 14932–14942. [Google Scholar] [CrossRef]
- Sultana, M.S.; Rana, S.; Yamazaki, S.; Aono, T.; Yosida, S. Health risk assessment from carcinogenic and non-carcinogenic heavy metal exposures from vegetables and fruits of Bangladesh. Cogent Environ. Sci. 2017, 3, 1291107. [Google Scholar] [CrossRef]
- Amer, M.M.; Sabry, B.A.; Marrez, D.A.; Hathout, A.S.; Fouzy, A.S.M. Exposure assessment of heavy metal residues in some Egyptian fruits. Toxicol. Rep. 2019, 6, 538–543. [Google Scholar] [CrossRef] [PubMed]










| Parameter | Soil | Compost | Fly Ash |
|---|---|---|---|
| pH | 7.0 | 6.8 | 13.7 |
| CuTOT (mg·kg−1) | 200 * | 33 | 44 |
| ZnTOT (mg·kg−1) | 100 * | 15 | 20 |
| Cu | |||||||||
| Plant | Total Content | Bioavailable Content | BCFT | BCFB | EDIW | EDIM | HRIW | HRIM | |
| T0–TI | <0.001 * | <0.001 * W | <0.001 * | <0.001 * | 0.002 * W | <0.001 * | <0.001 * | <0.001 * | <0.001 * |
| T0–TII | <0.001 * | <0.001 * | <0.001 * | <0.001 * | 0.002 * W | <0.001 * | <0.001 * | <0.001 * | <0.001 * |
| TI–TII | 0.098 | 0.038 * W | 0.063 | 0.452 | 0.051 | 0.098 | 0.098 | 0.098 | 0.098 |
| Zn | |||||||||
| Plant | Total Content | Bioavailable Content | BCFT | BCFB | EDIW | EDIM | HRIW | HRIM | |
| T0–TI | <0.001 * | 0.077 | 0.016 * | <0.001 * W | 0.006 * | <0.001 * | <0.001 * | <0.001 * | <0.001 * |
| T0–TII | <0.001 * | 0.203 | <0.001 * | <0.001 * W | 0.261 | <0.001 * | <0.001 * | <0.001 * | <0.001 * |
| TI–TII | 0.334 | 0.664 | 0.389 | 0.161 W | 0.197 | 0.334 | 0.334 | 0.334 | 0.334 |
| Cu | |||||||||
| Plant | Total Content | Bioavailable Content | BCFT | BCFB | EDIW | EDIM | HRIW | HRIM | |
| T0–TI | <0.001 * | 0.003 * | <0.001 * | <0.001 * | 0.388 | <0.001 * | <0.001 * | <0.001 * | <0.001 * |
| T0–TII | 0.001 * W | <0.001 * | <0.001 * | <0.001 * | 0.383 | 0.001 * W | 0.001 * W | 0.001 * W | 0.001 * W |
| TI–TII | 0.574 W | 0.075 | 0.116 | 0.682 | 0.122 | 0.574 W | 0.574 W | 0.574 W | 0.574 W |
| Zn | |||||||||
| Plant | Total Content | Bioavailable Content | BCFT | BCFB | EDIW | EDIM | HRIW | HRIM | |
| T0–TI | <0.001 * | 0.009 * | 0.005 * | <0.001 * | <0.001 * | <0.001 * | <0.001 * | <0.001 * | <0.001 * |
| T0–TII | 0.001 * | 0.001 * | <0.001 * | <0.001 * | 0.978 | 0.001 * | 0.001 * | 0.001 * | 0.001 * |
| TI–TII | 0.256 | 0.407 | 0.029 * | 0.439 | 0.023 * | 0.256 | 0.256 | 0.256 | 0.256 |
Publisher’s Note: MDPI stays neutral with regard to jurisdictional claims in published maps and institutional affiliations. |
© 2022 by the authors. Licensee MDPI, Basel, Switzerland. This article is an open access article distributed under the terms and conditions of the Creative Commons Attribution (CC BY) license (https://creativecommons.org/licenses/by/4.0/).
Share and Cite
Jakubus, M.; Bakinowska, E. The Effect of Immobilizing Agents on Zn and Cu Availability for Plants in Relation to Their Potential Health Risks. Appl. Sci. 2022, 12, 6538. https://doi.org/10.3390/app12136538
Jakubus M, Bakinowska E. The Effect of Immobilizing Agents on Zn and Cu Availability for Plants in Relation to Their Potential Health Risks. Applied Sciences. 2022; 12(13):6538. https://doi.org/10.3390/app12136538
Chicago/Turabian StyleJakubus, Monika, and Ewa Bakinowska. 2022. "The Effect of Immobilizing Agents on Zn and Cu Availability for Plants in Relation to Their Potential Health Risks" Applied Sciences 12, no. 13: 6538. https://doi.org/10.3390/app12136538
APA StyleJakubus, M., & Bakinowska, E. (2022). The Effect of Immobilizing Agents on Zn and Cu Availability for Plants in Relation to Their Potential Health Risks. Applied Sciences, 12(13), 6538. https://doi.org/10.3390/app12136538

