Influence of Applied Stress on the Ferroelectricity of Thin Zr-Doped HfO2 Films
Abstract
1. Introduction
2. Materials and Methods
3. Results and Discussion
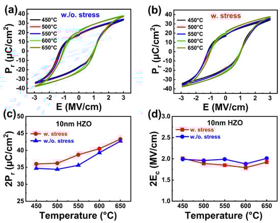
3.1. Ferroelectricity Characterization
3.2. Endurance Characterization
4. Conclusions
Author Contributions
Funding
Institutional Review Board Statement
Informed Consent Statement
Data Availability Statement
Acknowledgments
Conflicts of Interest
References
- Böscke, T.S.; Müller, J.; Bräuhaus, D.; Schröder, U.; Böttger, U. Ferroelectricity in hafnium oxide thin films. Appl. Phys. Lett. Sept. 2011, 99, 102903. [Google Scholar] [CrossRef]
- Salahuddin, S.; Datta, S. Use of Negative Capacitance to Provide Voltage Amplification for Low Power Nanoscale Devices. Nano Lett. 2008, 8, 405–410. [Google Scholar] [CrossRef] [PubMed]
- Zhang, Z.; Xu, G.; Zhang, Q.; Hou, Z.; Li, J.; Kong, Z.; Zhang, Y.; Xiang, J.; Xu, Q.; Wu, Z.; et al. FinFET With Improved Subthreshold Swing and Drain Current Using 3-nm Ferroelectric Hf0.5Zr0.5O2. IEEE Electron Device Lett. 2019, 40, 367–370. [Google Scholar] [CrossRef]
- Park, M.H.; Lee, Y.H.; Kim, H.J.; Kim, Y.J.; Moon, T.; Kim, K.D.; Müller, J.; Kersch, A.; Schroeder, U.; Mikolajick, T. Ferroelectricity and Antiferroelectricity of Doped Thin HfO2-Based Films. Adv. Mater. 2015, 27, 1811–1831. [Google Scholar] [CrossRef]
- Cairone, F.; Anandan, P.; Bucolo, M. Nonlinear systems synchronization for modeling two-phase microfluidics flows. Nonlinear Dyn. 2017, 92, 75–84. [Google Scholar] [CrossRef]
- Cairone, F.; Gagliano, S.; Carbone, D.C.; Recca, G.; Bucolo, M. Micro-optofluidic switch realized by 3D printing technology. Microfluid. Nanofluid. 2016, 20, 61. [Google Scholar] [CrossRef]
- Kim, S.J.; Mohan, J.; Summerfelt, S.R.; Kim, J. Ferroelectric Hf0.5Zr0.5O2 Thin Films: A Review of Recent Advances. JOM 2019, 71, 246–255. [Google Scholar] [CrossRef]
- Nakamura, T.; Nakao, Y.; Kamisawa, A.; Takasu, H. Preparation of Pb(Zr,Ti)O3 thin films on electrodes including IrO2. Appl. Phys. Lett. 1994, 65, 1522–1524. [Google Scholar] [CrossRef]
- Zhang, X.; Takahashi, M.; Takeuchi, K.; Sakai, S. 64 kbit Ferroelectric-gate-transistor-integrated NAND flash memory with 7.5 V program and long data retention. Jpn. J. Appl. Phys. 2012, 51, 04DD01. [Google Scholar] [CrossRef]
- Chernikova, A.G.; Kozodaev, M.G.; Negrov, D.V.; Korostylev, E.V.; Park, M.H.; Schroeder, U.; Hwang, C.S.; Markeev, A.M. Improved Ferroelectric Switching Endurance of La-Doped Hf0.5Zr0.5O2 Thin Films. ACS Appl. Mater. Interfaces 2018, 10, 2701–2708. [Google Scholar] [CrossRef]
- Park, M.H.; Lee, Y.H.; Mikolajick, T.; Schroeder, U.; Hwang, C.S. Review and perspective on ferroelectric HfO2-based thin films for memory applications. MRS Commun. 2018, 8, 795–808. [Google Scholar] [CrossRef]
- Buragohain, P.; Richter, C.; Schenk, T.; Lu, H.; Mikolajick, T.; Schroeder, U.; Gruverman, A. Nanoscopic studies of domain structure dynamics in ferroelectric La:HfO2 capacitors. Appl. Phys. Lett. 2018, 112, 222901. [Google Scholar] [CrossRef]
- Pešić, M.; Fengler, F.P.; Larcher, L.; Padovani, A.; Schenk, T.; Grimley, E.D.; Sang, X.; LeBeau, J.M.; Slesazeck, S.; Schroeder, U.; et al. Physical Mechanisms behind the Field-Cycling Behavior of HfO2-Based Ferroelectric Capacitors. Adv. Funct. Mater. 2016, 26, 4601–4612. [Google Scholar] [CrossRef]
- Muller, J.; Polakowski, P.; Muller, S.; Mulaosmanovic, H.; Ocker, J.; Mikolajick, T.; Slesazeck, S.; Flachowsky, S.; Trentzsch, M. High endurance strategies for hafnium oxide based ferroelectric field effect transistor. In Proceedings of the 2016 16th Non-Volatile Memory Technology Symposium (NVMTS), Pittsburgh, PA, USA, 17–19 October 2016; pp. 1–7. [Google Scholar]
- Müller, J.; Schröder, U.; Böscke, T.S.; Müller, I.; Böttger, U.; Wilde, L.; Sundqvist, J.; Lemberger, M.; Kücher, P.; Mikolajick, T.; et al. Ferroelectricity in yttrium-doped hafnium oxide. J. Appl. Phys. 2011, 110, 114113. [Google Scholar] [CrossRef]
- Starschich, S.; Boettger, U. An extensive study of the influence of dopants on the ferroelectric properties of HfO2. J. Mater. Chem. C 2017, 5, 333–338. [Google Scholar] [CrossRef]
- Mueller, S.; Mueller, J.; Singh, A.; Riedel, S.; Sundqvist, J.; Schroeder, U.; Mikolajick, T. Incipient Ferroelectricity in Al-Doped HfO2 Thin Films. Adv. Funct. Mater. 2012, 22, 2412–2417. [Google Scholar] [CrossRef]
- Ali, T.; Polakowski, P.; Riedel, S.; Buttner, T.; Kampfe, T.; Rudolph, M.; Patzold, B.; Seidel, K.; Lohr, D.; Hoffmann, R.; et al. High Endurance Ferroelectric Hafnium Oxide-Based FeFET Memory Without Retention Penalty. IEEE Trans. Electron Devices 2018, 65, 3769–3774. [Google Scholar] [CrossRef]
- Mueller, S.; Müller, J.; Schroeder, U.; Mikolajick, T. Reliability characteristics of Ferroelectric Si:HfO2 thin films for memory applications. IEEE Trans. Device Mater. Rel. 2013, 13, 93–97. [Google Scholar] [CrossRef]
- Hoffmann, M.; Schroeder, U.; Schenk, T.; Shimizu, T.; Funakubo, H.; Sakata, O.; Pohl, D.; Drescher, M.; Adelmann, C.; Materlik, R. Stabilizing the ferroelectric phase in doped hafnium oxide. J. Appl. Phys. 2015, 118, 072006. [Google Scholar] [CrossRef]
- Kozodaev, M.G.; Chernikova, A.G.; Korostylev, E.V.; Park, M.H.; Khakimov, R.R.; Hwang, C.S.; Markeev, A.M. Mitigating wake up effect and improving endurance of ferroelectric HfO2-ZrO2 thin films by careful La-doping. J. Appl. Phys. 2019, 125, 034101. [Google Scholar] [CrossRef]
- Onaya, T.; Nabatame, T.; Sawamoto, N.; Ohi, A.; Ikeda, N.; Chikyow, T.; Ogura, A. Improvement in ferroelectricity of HfxZr1−xO2 thin films using ZrO2 seed layer. Appl. Phys. Express 2017, 10, 081501. [Google Scholar] [CrossRef]
- Chen, K.; Chen, P.; Kao, R.; Lin, Y.; Wu, Y. Impact of Plasma Treatment on Reliability Performance for HfZrOx-Based Metal-Ferroelectric-Metal Capacitors. IEEE Electron. Device Lett. 2018, 39, 87–90. [Google Scholar] [CrossRef]
- Shekhawat, A.; Walters, G.; Chung, C.-C.; Garcia, R.; Liu, Y.; Jones, J.; Nishida, T.; Moghaddam, S. Eect of forming gas furnace annealing on the ferroelectricity and wake-up e ect of Hf0.5Zr0.5O2 thin films. ECS J. Solid State Sci. Technol. 2020, 9, 024011. [Google Scholar] [CrossRef]
- Oh, S.; Song, J.; Yoo, I.K.; Hwang, H. Improved Endurance of HfO2-Based Metal- Ferroelectric-Insulator-Silicon Structure by High-Pressure Hydrogen Annealing. IEEE Electron. Device Lett. 2019, 40, 1092–1095. [Google Scholar] [CrossRef]
- Kim, S.J.; Mohan, J.; Kim, H.S.; Hwang, S.M.; Kim, N.; Jung, Y.C.; Sahota, A.; Kim, K.; Yu, H.-Y.; Cha, P.-R.; et al. A Comprehensive Study on the Effect of TiN Top and Bottom Electrodes on Atomic Layer Deposited Ferroelectric Hf0.5Zr0.5O2 Thin Films. Materials 2020, 13, 2968. [Google Scholar] [CrossRef] [PubMed]
- Cao, R.; Liu, Q.; Liu, M.; Song, B.; Shang, D.; Yang, Y.; Luo, Q.; Wu, S.; Li, Y.; Wang, Y.; et al. Improvement of Endurance in HZO-Based Ferroelectric Capacitor Using Ru Electrode. IEEE Electron. Device Lett. 2019, 40, 1744–1747. [Google Scholar] [CrossRef]
- Wang, J.; Wang, D.; Li, Q.; Zhang, A.; Gao, D.; Guo, M.; Feng, J.; Fan, Z.; Chen, D.; Qin, M.; et al. Excellent Ferro-electric Properties of Hf0.5Zr0.5O2 Thin Films Induced by Al2O3 Dielectric Layer. IEEE Electron. Device Lett. 2019, 40, 1937–1940. [Google Scholar] [CrossRef]
- Ambriz-Vargas, F.; Kolhatkar, G.; Thomas, R.; Nouar, R.; Sarkissian, A.; Gomez-Yáñez, C.; Gauthier, M.A.; Ruediger, A. Tunneling electroresistance effect in a Pt/Hf0.5Zr0.5O2 /Pt structure. Appl. Phys. Lett. 2017, 110, 093106. [Google Scholar] [CrossRef]
- Wang, G.; Xu, Q.; Yang, T.; Luo, J.; Xiang, J.; Xu, J.; Xu, G.; Li, C.; Li, J.; Yan, J.; et al. Application of Atomic Layer Deposition Tungsten (ALD W) as gate filling metal for 22 nm and beyond nodes CMOS technology. ECS Meet. Abstr. 2013, 3, 82. [Google Scholar] [CrossRef]
- Wang, G.; Luo, J.; Liu, J.; Yang, T.; Xu, Y.; Li, J.; Yin, H.; Yan, J.; Zhu, H.; Zhao, C.; et al. pMOSFETs Featuring ALD W Filling Metal Using SiH4 and B2H6 Precursors in 22 nm Node CMOS Technology. Nanoscale Res. Lett. 2017, 12, 1–6. [Google Scholar] [CrossRef]
- Setter, N.; Damjanovic, D.; Eng, L.; Fox, G.; Gevorgian, S.; Hong, S.; Kingon, A.; Kohlstedt, H.; Park, N.Y.; Stephenson, G.B.; et al. Ferroelectric thin films: Review of materials, properties, and applications. J. Appl. Phys. 2006, 100, 051606. [Google Scholar] [CrossRef]
- Lyu, J.; Song, T.; Fina, I.; Sánchez, F. High polarization, endurance and retention in sub-5 nm Hf0.5Zr0.5O2 films. Nanoscale 2020, 12, 11280–11287. [Google Scholar] [CrossRef]





Publisher’s Note: MDPI stays neutral with regard to jurisdictional claims in published maps and institutional affiliations. |
© 2021 by the authors. Licensee MDPI, Basel, Switzerland. This article is an open access article distributed under the terms and conditions of the Creative Commons Attribution (CC BY) license (https://creativecommons.org/licenses/by/4.0/).
Share and Cite
Cai, Y.; Zhang, Q.; Zhang, Z.; Xu, G.; Wu, Z.; Gu, J.; Li, J.; Xiang, J.; Yin, H. Influence of Applied Stress on the Ferroelectricity of Thin Zr-Doped HfO2 Films. Appl. Sci. 2021, 11, 4295. https://doi.org/10.3390/app11094295
Cai Y, Zhang Q, Zhang Z, Xu G, Wu Z, Gu J, Li J, Xiang J, Yin H. Influence of Applied Stress on the Ferroelectricity of Thin Zr-Doped HfO2 Films. Applied Sciences. 2021; 11(9):4295. https://doi.org/10.3390/app11094295
Chicago/Turabian StyleCai, Yuwei, Qingzhu Zhang, Zhaohao Zhang, Gaobo Xu, Zhenhua Wu, Jie Gu, Junjie Li, Jinjuan Xiang, and Huaxiang Yin. 2021. "Influence of Applied Stress on the Ferroelectricity of Thin Zr-Doped HfO2 Films" Applied Sciences 11, no. 9: 4295. https://doi.org/10.3390/app11094295
APA StyleCai, Y., Zhang, Q., Zhang, Z., Xu, G., Wu, Z., Gu, J., Li, J., Xiang, J., & Yin, H. (2021). Influence of Applied Stress on the Ferroelectricity of Thin Zr-Doped HfO2 Films. Applied Sciences, 11(9), 4295. https://doi.org/10.3390/app11094295

