Adaptive Deterministic Vibration Control of a Piezo-Actuated Active–Passive Isolation Structure
Abstract
1. Introduction
2. Analysis of a Piezo-Actuated Active–Passive Isolation Structure
2.1. Piezo-Actuated Active–Passive Isolation Structure Layout
2.2. Adaptive Active Vibration Control System Formulation
3. Design of Adaptive Active Vibration Controller
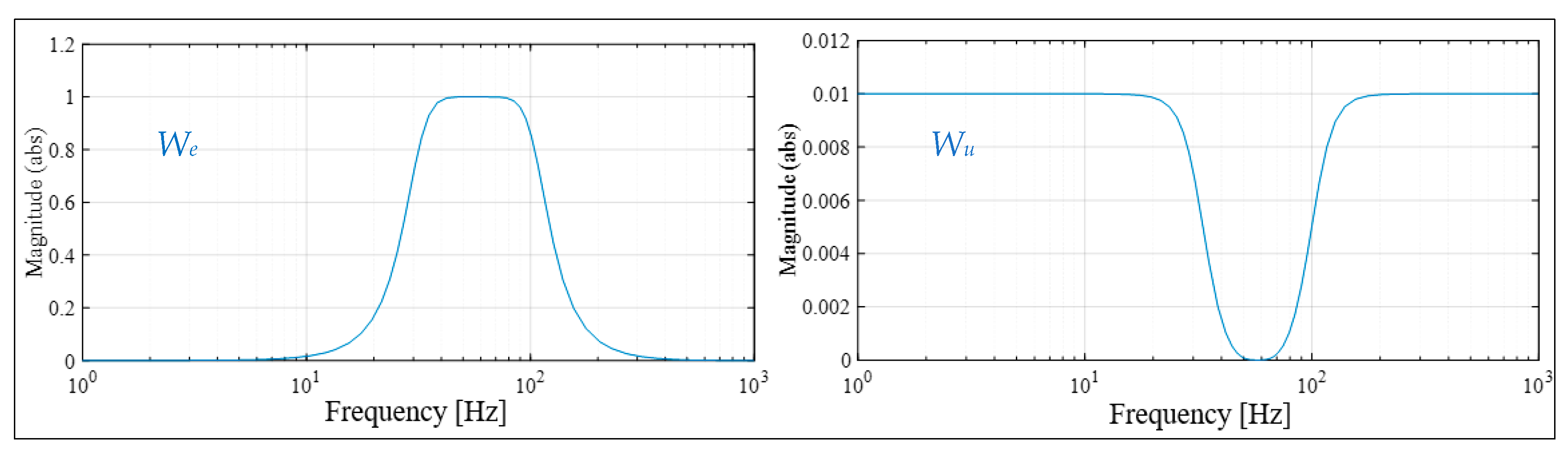
3.1. Design of the Inner-Loop Central Controller
3.2. Youla Parameterization of the Inner-Loop Central Controller
3.3. Adaptation Algorithm
4. Experiment
4.1. Description of the Experimental System
4.2. Test Results of H∞ Control
4.3. Analysis of Experimental Results
- Vibration transmissibility of the piezo-actuated active–passive isolation structure
- 2.
- Deterministic residual vibration suppression
- Case one: deterministic disturbance at three different frequencies
- Case two: deterministic disturbance of step changes in frequencies
5. Conclusions
Author Contributions
Funding
Institutional Review Board Statement
Informed Consent Statement
Data Availability Statement
Conflicts of Interest
References
- Inamori, T.; Wang, J.; Saisutjarit, P.; Nakasuka, S. Jitter reduction of a reaction wheel by management of angular momentum using magnetic torquers in nano-and micro-satellites. Adv. Space Res. 2013, 52, 222–231. [Google Scholar] [CrossRef]
- Liu, C.; Jing, X.; Daley, S.; Li, F. Recent advances in micro-vibration isolation. Mech. Syst. Signal. Pr. 2015, 56–57, 55–80. [Google Scholar] [CrossRef]
- Pisculli, A.; Gasbarri, P. A minimum state multibody/FEM approach for modeling flexible orbiting space systems. Acta Astronaut. 2015, 110, 324–340. [Google Scholar] [CrossRef]
- Zhou, W.-Y.; Aglietti, G.S.; Zhang, Z. Modelling and testing of a soft suspension design for a reaction/momentum wheel assembly. J. Sound Vib. 2011, 330, 4596–4610. [Google Scholar] [CrossRef]
- Zhang, Z.; Aglietti, G.S.; Zhou, W. Microvibrations induced by a cantilevered wheel assembly with a soft-suspension system. AIAA J. 2011, 49, 1067–1079. [Google Scholar] [CrossRef]
- Sands, T. Optimization provenance of whiplash compensation for flexible space robotics. Aerospace 2019, 6, 93. [Google Scholar] [CrossRef]
- Kamesh, D.; Pandiyan, R.; Ghosal, A. Modeling, design and analysis of low frequency platform for attenuating micro-vibration in spacecraft. J. Sound Vib. 2010, 329, 3431–3450. [Google Scholar] [CrossRef]
- Rivin, E. Passive Vibration Isolation; ASME Press: New York, NY, USA, 2003. [Google Scholar]
- Wang, C.; Xie, X.; Chen, Y.; Zhang, Z. Investigation on active vibration isolation of a Stewart platform with piezoelectric actuators. J. Sound Vib. 2016, 383, 1–19. [Google Scholar] [CrossRef]
- Geng, Z.J.; Haynes, L.S. Six degree-of-freedom active vibration control using the Stewart platforms. IEEE Trans. Control Syst. Technol. 1994, 2, 45–53. [Google Scholar] [CrossRef]
- Elliott, S.J.; Sutton, T.J. Performance of feedforward and feedback systems for active control. IEEE Trans. Speech Audio Process. 1996, 4, 214–223. [Google Scholar] [CrossRef]
- Liu, J.X.; Chen, X.F.; Yang, L.D.; Gao, J.W.; Zhang, X.W. Analysis and compensation of reference frequency mismatch in multiple-frequency feedforward active noise and vibration control system. J. Sound Vib. 2017, 409, 145–164. [Google Scholar] [CrossRef]
- Xie, L.; Qiu, Z.; Zhang, X. Analysis and experiments of adaptive feedforward and combined vibration control system with variable step size and reference filter. Aerosp. Sci. Technol. 2017, 61, 109–120. [Google Scholar] [CrossRef]
- Ma, X.; Wang, L.; Xu, J. Active vibration control of rib stiffened plate by using decentralized velocity feedback controllers with inertial actuators. Appl. Sci. 2019, 9, 3188. [Google Scholar] [CrossRef]
- Qian, F.; Wu, Z.; Zhang, M.; Wang, T.; Wang, Y.; Yue, T. Youla parameterized adaptive vibration control against deterministic and band-limited random signals. Mech. Syst. Signal. Pr. 2019, 134, 106359. [Google Scholar] [CrossRef]
- Thenozhi, S.; Yu, W. Stability analysis of active vibration control of building structures using PD/PID control. Eng. Struct. 2014, 81, 208–218. [Google Scholar] [CrossRef]
- Montazeri, A.; Poshtan, J.; Yousefikoma, A. Design and analysis of robust minimax LQG controller for an experimental beam considering spill-over effect. IEEE Trans. Control Syst. Technol. 2011, 19, 1251–1259. [Google Scholar] [CrossRef]
- Song, C.S.; Xiao, Y.; Yu, C.C.; Xu, W.; Zhang, J.G. H-infinity active control of frequency-varying disturbances in a main engine on the floating raft vibration isolation system. J. Low Freq. Noise Vib. Act. Control 2018, 37, 199–215. [Google Scholar] [CrossRef]
- Wu, J.L. A simultaneous mixed LQR/H-infinity control approach to the design of reliable active suspension controllers. Asian J. Control 2017, 19, 415–427. [Google Scholar] [CrossRef]
- Skogestad, S.; Postlethwaite, I. Multivariable Feedback Control.: Analysis and Design; John Wiley & Sons, Inc.: Hoboken, NJ, USA, 2005. [Google Scholar]
- Ohishi, K. A new servo method in mechatronics. Trans. Jpn. Soc. Electr. Eng. 1987, 107, 83–86. [Google Scholar]
- Francis, B.A.; Sebakhy, O.A.; Wonham, W.M. Synthesis of multivariable regulators: The internal model principle. Appl. Math. Opt. 1974, 1, 64–86. [Google Scholar] [CrossRef]
- Chen, W.H.; Yang, J.; Guo, L.; Li, S.H. Disturbance-observer-based control and related methods-an overview. IEEE Trans. Ind. Electron. 2016, 63, 1083–1095. [Google Scholar] [CrossRef]
- Cai, K.W.; Deng, Z.Q.; Peng, C.; Li, K.X. Suppression of harmonic vibration in magnetically suspended centrifugal compressor using zero-phase odd-harmonic repetitive controller. IEEE Trans. Ind. Electron. 2019, 67, 7789–7797. [Google Scholar] [CrossRef]
- Mahtout, I.; Navas, F.; Milanes, V.; Nashashibi, F. Advances in Youla-Kucera parametrization: A review. Annu. Rev. Control. 2020, 49, 81–94. [Google Scholar] [CrossRef]
- Landau, I.D. On the use of Youla–Kucera parametrisation in adaptive active noise and vibration control—A review. Int. J. Control 2020, 93, 204–216. [Google Scholar] [CrossRef]
- Amara, F.B.; Kabamba, P.T.; Ulsoy, A.G. Adaptive sinusoidal disturbance rejection in linear discrete-time systems—Part II: Experiments. J. Dyn. Syst. Meas. Control 1999, 121, 655–659. [Google Scholar] [CrossRef]
- Wu, Z.; Zhang, M.; Chen, Z.; Wang, P. Youla parameterized adaptive vibration suppression with adaptive notch filter for unknown multiple narrow band disturbances. J. Vib. Control 2019, 25, 685–694. [Google Scholar] [CrossRef]
- Preumont, A.; Dufour, J.; Malekian, C. Active damping by a local force feedback with piezoelectric actuators. J. Guid. Control Dynam. 1992, 15, 390–395. [Google Scholar] [CrossRef]
- Hanieh, A.A.; Preumont, A.; Loix, N. Piezoelectric Stewart platform for general purpose active damping interface and precision control. In Proceedings of the European Space Mechanisms and Tribology Symposium, Liège, Belgium, 19–21 September 2001. [Google Scholar]
- Chen, T.; Francis, B.A. Optimal Sampled-Data Control. Systems; Springer: London, UK, 1995. [Google Scholar]
- Wu, Z.; Amara, F.B. Adaptive regulation in bimodal linear systems. Int. J. Robust Nonlinear Control 2010, 20, 59–83. [Google Scholar] [CrossRef]
- Landau, I.D.; Lozano, R.; Msaad, M.; Karimi, A. Adaptive Control: Algorithms, Analysis and Applications; Springer: London, UK, 2011. [Google Scholar]
- Rad, H.K.; Salarieh, H.; Alasty, A.; Vatankhah, R. Boundary control of flexible satellite vibration in planar motion. J. Sound Vib. 2018, 432, 549–568. [Google Scholar] [CrossRef]
- Urbikain, G.; Lopez de Lacalle, L.N.; Campa, F.J.; Fernandez, A.; Elias, A. Stability prediction in straight turning of a flexible workpiece by collocation method. Int. J. Mach. Tools Manuf. 2012, 54–55, 73–81. [Google Scholar] [CrossRef]

















| Controller State | Case One | Case Two | ||
|---|---|---|---|---|
| [35-70-105] Hz | [60–65] Hz | [40–55] Hz | [55–60] Hz | |
| On () | 0.0077 V | 0.0061 V | 0.0081 V | 0.0089 V |
| Off () | 0.1000 V | 0.0860 V | 0.0690 V | 0.1014 V |
| 20lg(On/ Off) | –22.27 dB | –22.98 dB | –18.61 dB | –21.13 dB |
Publisher’s Note: MDPI stays neutral with regard to jurisdictional claims in published maps and institutional affiliations. |
© 2021 by the authors. Licensee MDPI, Basel, Switzerland. This article is an open access article distributed under the terms and conditions of the Creative Commons Attribution (CC BY) license (https://creativecommons.org/licenses/by/4.0/).
Share and Cite
Li, F.; Yuan, S.; Qian, F.; Wu, Z.; Pu, H.; Wang, M.; Ding, J.; Sun, Y. Adaptive Deterministic Vibration Control of a Piezo-Actuated Active–Passive Isolation Structure. Appl. Sci. 2021, 11, 3338. https://doi.org/10.3390/app11083338
Li F, Yuan S, Qian F, Wu Z, Pu H, Wang M, Ding J, Sun Y. Adaptive Deterministic Vibration Control of a Piezo-Actuated Active–Passive Isolation Structure. Applied Sciences. 2021; 11(8):3338. https://doi.org/10.3390/app11083338
Chicago/Turabian StyleLi, Feng, Shujin Yuan, Fanfan Qian, Zhizheng Wu, Huayan Pu, Min Wang, Jiheng Ding, and Yi Sun. 2021. "Adaptive Deterministic Vibration Control of a Piezo-Actuated Active–Passive Isolation Structure" Applied Sciences 11, no. 8: 3338. https://doi.org/10.3390/app11083338
APA StyleLi, F., Yuan, S., Qian, F., Wu, Z., Pu, H., Wang, M., Ding, J., & Sun, Y. (2021). Adaptive Deterministic Vibration Control of a Piezo-Actuated Active–Passive Isolation Structure. Applied Sciences, 11(8), 3338. https://doi.org/10.3390/app11083338

