One-Dimensional Consolidation of Viscoelastic Soils Incorporating Caputo-Fabrizio Fractional Derivative
Abstract
1. Introduction
2. Fundamental Concept
3. Model Formulation
4. Solution Derivation
5. Verification and Discussion
5.1. Verification against Some Special Cases
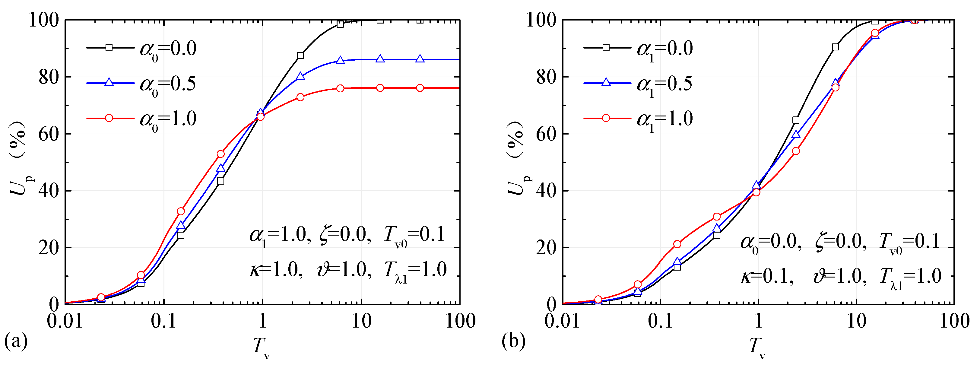
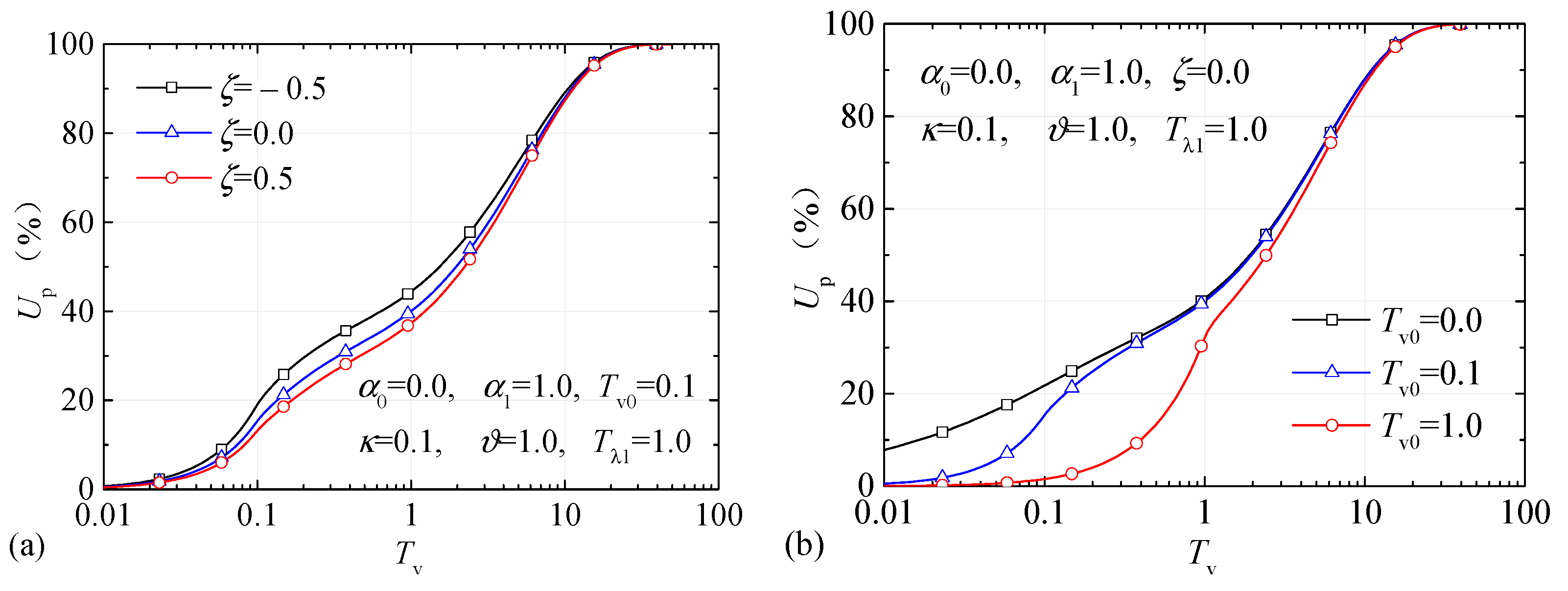
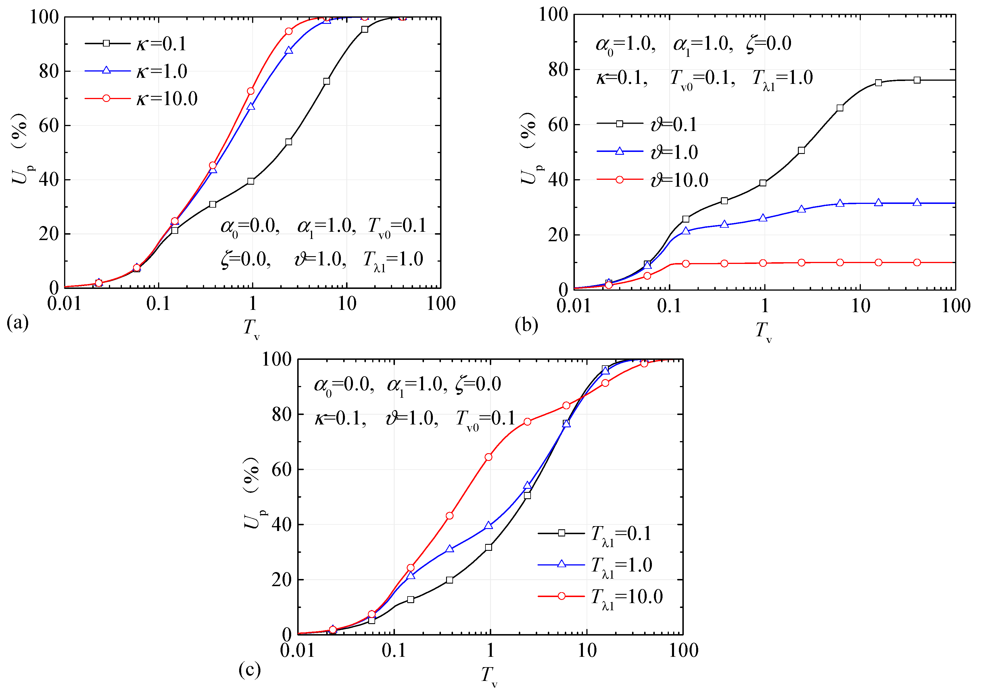
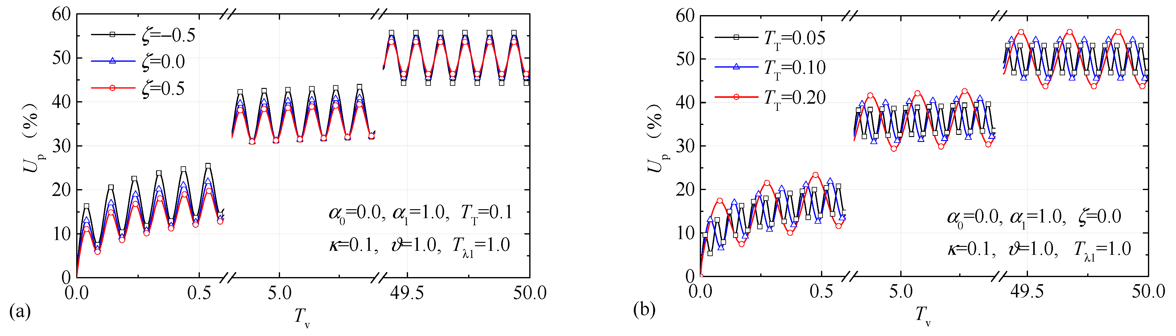
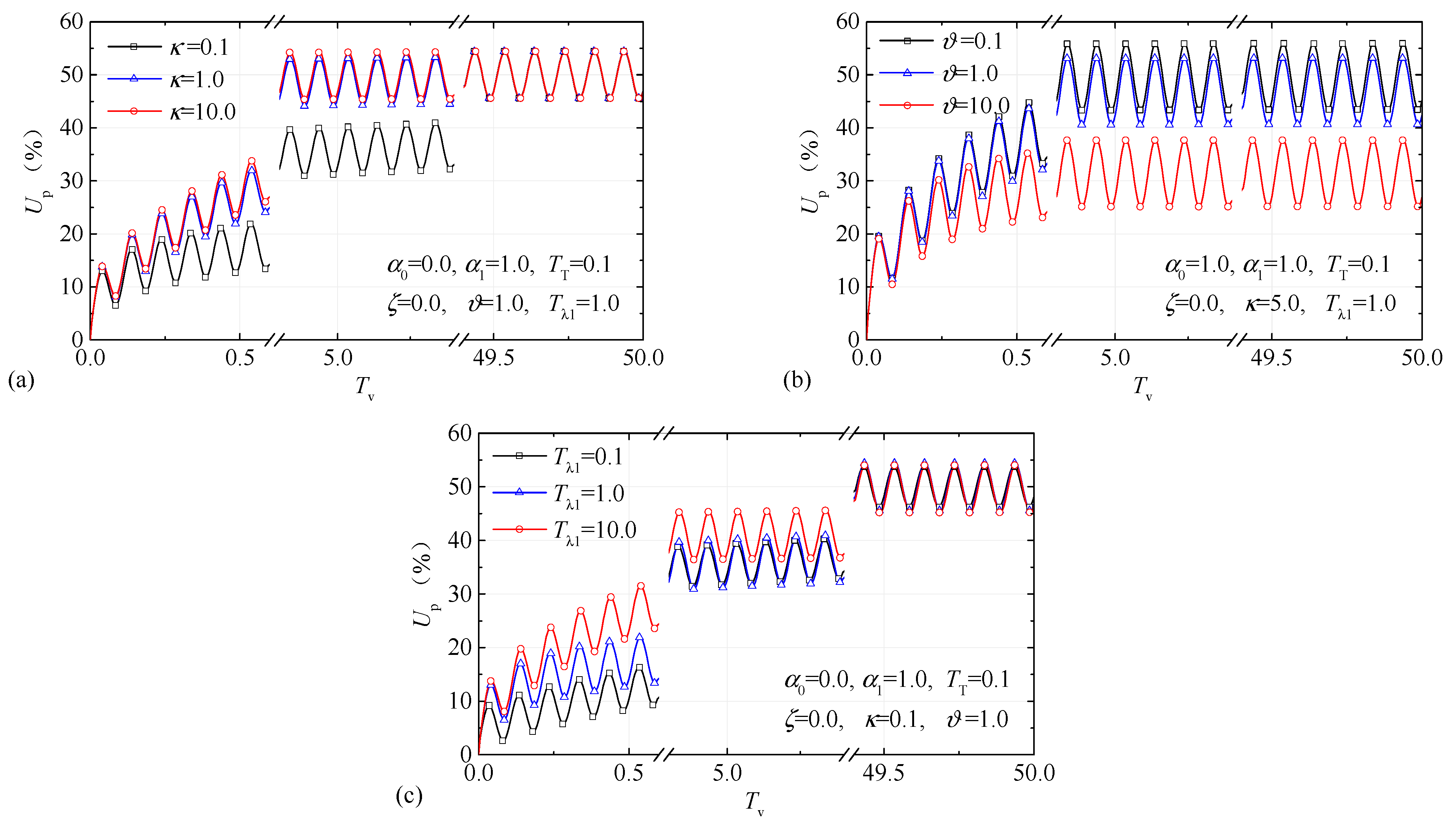
5.2. Discussion about the Consolidation Behavior
6. Conclusions
Author Contributions
Funding
Institutional Review Board Statement
Informed Consent Statement
Data Availability Statement
Conflicts of Interest
References
- Podlubny, I. Fractional Differential Equations; Academic Press: San Diego, CA, USA, 1999. [Google Scholar]
- Koeller, R.C. Application of fractional calculus to the theory of viscoelasticity. J. Appl. Mech. 1984, 51, 299–307. [Google Scholar] [CrossRef]
- Valerio, D.; Machado, J.T.; Kiryakova, V. Some pioneers of the applications of fractional calculus. Fract. Calc. Appl. Anal. 2014, 17, 552–578. [Google Scholar]
- Hei, X.; Chen, W.; Pang, G.; Xiao, R.; Zhang, C. A new visco-elasto-plastic model via time-space fractional derivative. Mech. Time-Depend. Mater. 2018, 22, 129–141. [Google Scholar] [CrossRef]
- Lu, Z.L.; Yu, X.Y. The fractional dynamics of quantum systems. Ann. Phys. 2018, 392, 260–271. [Google Scholar] [CrossRef]
- Khan, A.; Khattar, D.; Agrawal, N. Synchronization of a new fractional order chaotic system. Int. J. Dynam. Control 2018, 6, 1585–1591. [Google Scholar] [CrossRef]
- Zhuravkov, M.A.; Romanova, N.S. Review of methods and approaches for mechanical problem solutions based on fractional calculus. Math. Mech. Solids 2016, 21, 595–620. [Google Scholar] [CrossRef]
- Zhu, H.H.; Zhang, C.C.; Mei, G.X.; Shi, B.; Gao, L. Prediction of one-dimensional compression behavior of Nansha clay using fractional derivatives. Mar. Georesour. Geotechnol. 2016, 35, 688–697. [Google Scholar] [CrossRef]
- Terzaghi, K. Theoretical Soil Mechanics; John Wiley and Sons: New York, NY, USA, 1943. [Google Scholar]
- Schiffman, R.L. Consolidation of soil under time dependent loading and varying permeability. In Highway Research Board Proceeding; Highway Research Board: Washington, DC, USA, 1958; Volume 37, pp. 584–617. [Google Scholar]
- Baligh, M.M.; Levadoux, J.N. Consolidation theory of cyclic loading. J. Geotech. Eng. Div. 1978, 104, 415–431. [Google Scholar]
- Chen, J.Z.; Zhu, X.R.; Xie, K.H.; Pan, Q.Y.; Zeng, G.X. One dimensional consolidation of soft clay under trapezoidal cyclic loading. In Proceedings of the Second International Conference on Soft Soil Engineering, Nanjing, China, 27–30 May 1996; pp. 211–216. [Google Scholar]
- Xie, K.H.; Xie, X.Y.; Li, B.H. Analytical theory for one-dimensional consolidation of clayey soils exhibiting rheological characteristics under time-dependent loading. Int. J. Numer. Anal. Met. Geomech. 2008, 32, 1833–1855. [Google Scholar] [CrossRef]
- Liu, J.C.; Griffiths, D.V. A general solution for 1D consolidation induced by depth- and time-dependent changes in stress. Géotechnique 2015, 65, 66–72. [Google Scholar] [CrossRef]
- Zhu, G.F.; Yin, J.H. Consolidation of soil under depth-dependent ramp load. Can. Geotech. J. 1998, 35, 344–350. [Google Scholar] [CrossRef]
- Lu, M.M.; Xie, K.H.; Wang, S.Y. Consolidation of vertical drain with depth-varying stress induces by multi-stage loading. Comput. Geotech. 2011, 38, 1096–1101. [Google Scholar] [CrossRef]
- Liu, J.C.; Lei, G.H.; Wang, X.D. One-dimensional consolidation of visco-elastic marine clay under depth-varying and time-dependent load. Mar. Georesour. Geotechnol. 2015, 33, 342–352. [Google Scholar] [CrossRef]
- Booker, J.R.; Small, J.C. Finite element analysis of primary and secondary consolidation. Int. J. Solids Struct. 1977, 13, 137–149. [Google Scholar] [CrossRef]
- Cai, Y.Q.; Xu, C.J.; Yuan, H.M. One-dimensional consolidation of layered and visco-elastic soils under arbitrary loading. Appl. Math. Mech. Engl. 2001, 22, 353–360. [Google Scholar] [CrossRef]
- Wang, S.M.; Xia, S.W.; Jiang, J. Study on one-dimensional consolidation behavior of saturated clay under cyclic loading. Rock Soil Mech. 2008, 29, 470–474. [Google Scholar]
- Zhao, W.B. Theory of 1D consolidation of saturated clay modeled with the generalized Voigt model and its application. Chin. J. Geotech. Eng. 1989, 11, 78–85. [Google Scholar]
- Gemant, A. A method of analyzing experimental results obtained from elasto-viscous bodies. J. Appl. Phys. 1936, 7, 311–317. [Google Scholar] [CrossRef]
- Yin, D.S.; Ren, J.J.; He, C.L.; Chen, W. A new rheological model element for geomaterials. Chin. J. Rock Mech. Eng. 2007, 26, 1899–1903. [Google Scholar]
- Yin, D.S.; Wu, H.; Cheng, C.; Chen, Y.Q. Fractional order constitutive model of geomaterials under the condition of triaxial test. Int. J. Numer. Anal. Met. Geomech. 2013, 37, 961–972. [Google Scholar] [CrossRef]
- Wang, L.; Sun, D.A.; Li, P.C.; Xie, Y. Semi-analytical solution for one-dimensional consolidation of fractional derivative viscoelastic saturated soils. Comput. Geotech. 2017, 83, 30–39. [Google Scholar] [CrossRef]
- Atangana, A. On the new fractional derivative and application to nonlinear Fisher’s reaction-diffusion equation. J. Nonlinear Sci. Appl. 2016, 9, 2467–2480. [Google Scholar] [CrossRef]
- Caputo, M.; Fabrizio, M. A new definition of fractional derivative without singular kernel. Progr. Fract. Differ. Appl. 2015, 1, 73–85. [Google Scholar]
- Losada, J.; Nieto, J.J. Properties of a new fractional derivative without singular kernel. Progr. Fract. Differ. Appl. 2015, 1, 87–92. [Google Scholar]










| Fractional Order | Model Types | Stress-Strain Relationships | 
|---|---|---|
| Standard four-element model  | ||
| Standard Merchant model  | where . | |
| Standard Maxwell model  | where . | |
| Linear elastic model  | where . | 
| Case | Solution | Rheological Parameter | Fractional Order | ||||
|---|---|---|---|---|---|---|---|
| (MPa) | (MPa) | (MPa+d) | (MPa+d) | ||||
| I | This study | 12 | 12 | 200 | 200 | 1 | 1 | 
| standard four-element model [13] | 12 | 12 | 200 | 200 | / | / | |
| II | This study | 12 | 12 | 200 | 200 | 0 | 1 | 
| standard Merchant model [20] | 6 * | 12 | / | 200 | / | / | |
| III | This study | 12 | 12 | 200 | 200 | 1 | 0 | 
| standard Maxwell model [13] | 8 * | / | 200 | / | / | / | |
| IV | This study | 12 | 12 | 200 | 200 | 0 | 0 | 
| linear elastic model [9] | 4.8 * | / | / | / | / | / | |
| Publisher’s Note: MDPI stays neutral with regard to jurisdictional claims in published maps and institutional affiliations. | 
© 2021 by the authors. Licensee MDPI, Basel, Switzerland. This article is an open access article distributed under the terms and conditions of the Creative Commons Attribution (CC BY) license (http://creativecommons.org/licenses/by/4.0/).
Share and Cite
Huang, M.; Lv, C.; Zhou, S.; Zhou, S.; Kang, J. One-Dimensional Consolidation of Viscoelastic Soils Incorporating Caputo-Fabrizio Fractional Derivative. Appl. Sci. 2021, 11, 927. https://doi.org/10.3390/app11030927
Huang M, Lv C, Zhou S, Zhou S, Kang J. One-Dimensional Consolidation of Viscoelastic Soils Incorporating Caputo-Fabrizio Fractional Derivative. Applied Sciences. 2021; 11(3):927. https://doi.org/10.3390/app11030927
Chicago/Turabian StyleHuang, Minghua, Chang Lv, Suhua Zhou, Shuaikang Zhou, and Jiatao Kang. 2021. "One-Dimensional Consolidation of Viscoelastic Soils Incorporating Caputo-Fabrizio Fractional Derivative" Applied Sciences 11, no. 3: 927. https://doi.org/10.3390/app11030927
APA StyleHuang, M., Lv, C., Zhou, S., Zhou, S., & Kang, J. (2021). One-Dimensional Consolidation of Viscoelastic Soils Incorporating Caputo-Fabrizio Fractional Derivative. Applied Sciences, 11(3), 927. https://doi.org/10.3390/app11030927
 
        


 
       