A Study on the Self-Discharge Behavior of Zinc-Air Batteries with CuO Additives
Abstract
:1. Introduction
2. Experimental
2.1. Materials
2.2. Synthesis and Characterization of Nano CuO
2.3. Preparation of the Zn-Air Cell
2.4. Electrochemical Behavior Test
3. Results and Discussion
3.1. Characterization Synthesized CuO
3.2. Electrochemical Discharge Behaviors
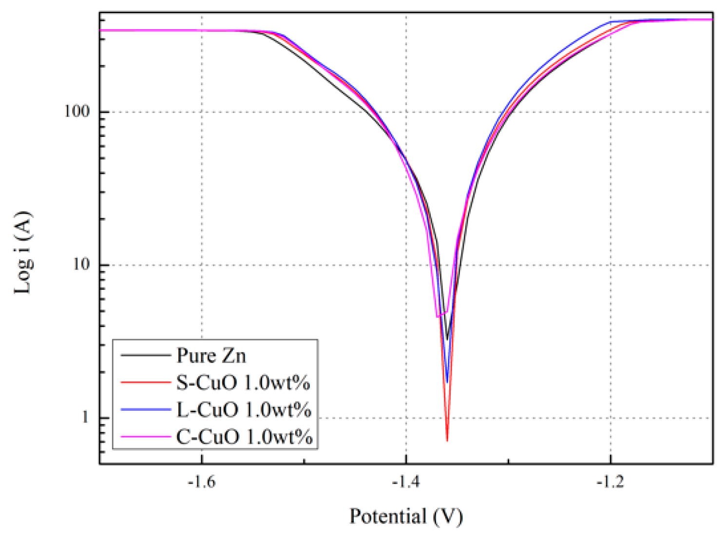
3.3. Tafel Polarization
4. Conclusions
Author Contributions
Funding
Institutional Review Board Statement
Informed Consent Statement
Data Availability Statement
Acknowledgments
Conflicts of Interest
References
- Mao, T.; Zhang, X.; Zhou, B. Modeling and Solving Method for Supporting ‘Vehicle-to-Anything’ EV Charging Mode. Appl. Sci. 2018, 8, 1048. [Google Scholar] [CrossRef] [Green Version]
- Nájera, J.; Santos-Herran, M.; Blanco, M.; Navarro, G.; Torres, J.; Lafoz, M. Battery Energy Storage System Dimensioning for Reducing the Fixed Term of the Electricity Access Rate in Industrial Consumptions. Appl. Sci. 2021, 11, 7395. [Google Scholar] [CrossRef]
- Živčák, J.; Kádárová, J.; Kočišová, M.; Lachvajderová, L.; Puškár, M. Economic Analysis of Potential Secondary Use of Batteries from Electric Vehicles. Appl. Sci. 2021, 11, 3834. [Google Scholar] [CrossRef]
- Li, C.; Li, Q.; Kaneti, Y.V.; Hou, D.; Yamauchi, Y.; Mai, Y. Self-assembly of block copolymers towards mesoporous materials for energy storage and conversion systems. Chem. Soc. Rev. 2020, 49, 4681–4736. [Google Scholar] [CrossRef] [PubMed]
- Sun, Y.; Liu, N.; Cui, Y. Promises and challenges of nanomaterials for lithium-based rechargeable batteries. Nat. Energy 2016, 1, 16071. [Google Scholar] [CrossRef]
- Naoki, N.; Wu, F.; Lee, J.T.; Gleb, Y. Li-ion battery materials: Present and future. Mater. Today 2015, 18, 252–264. [Google Scholar] [CrossRef]
- Wang, Y.; Li, H.; He, P.; Hosono, E.; Zhou, H. Nano active materials for lithium-ion batteries. Nanoscale 2010, 2, 1294–1305. [Google Scholar] [CrossRef]
- Wang, C.; Kaneti, Y.V.; Bando, Y.; Lin, J.; Liu, C.; Li, J.; Yamauchi, Y. Metal–organic framework-derived one-dimensional porous or hollow carbon-based nanofibers for energy storage and conversion. Mater. Horiz. 2018, 5, 394–407. [Google Scholar] [CrossRef] [Green Version]
- Salunkhe, R.R.; Kaneti, Y.V.; Yamauchi, Y. Metal–Organic Framework-Derived Nanoporous Metal Oxides toward Supercapacitor Applications: Progress and Prospects. ACS Nano 2017, 11, 5293–5308. [Google Scholar] [CrossRef] [PubMed]
- Buidin, T.I.C.; Mariasiu, F. Modeling Approach of an Air-Based Battery Thermal Management System for an Electric Vehicle. Appl. Sci. 2021, 11, 7089. [Google Scholar] [CrossRef]
- Ghiji, M.; Edmonds, S.; Moinuddin, K. A Review of Experimental and Numerical Studies of Lithium Ion Battery Fires. Appl. Sci. 2021, 11, 1247. [Google Scholar] [CrossRef]
- Wang, C.; Yu, Y.; Niu, J.; Liu, Y.; Bridges, D.; Liu, X.; Pooran, J.; Zhang, Y.; Hu, A. Recent Progress of Metal–Air Batteries—A Mini Review. Appl. Sci. 2019, 9, 2787. [Google Scholar] [CrossRef] [Green Version]
- Rahman, M.A.; Wang, X.; Wen, C. High Energy Density Metal-Air Batteries: A Review. J. Electrochem. Soc. 2013, 160, A1759–A1771. [Google Scholar] [CrossRef]
- Lee, J.S.; Tai Kim, S.; Cao, R.; Choi, N.S.; Liu, M.; Lee, K.T.; Cho, J. Metal-Air Batteries with High Energy Density: Li–Air versus Zn–Air. Adv. Energy Mater. 2011, 1, 34–50. [Google Scholar] [CrossRef]
- Kraytsberg, A.; Ein-Eli, Y. Review on Li–air batteries—Opportunities, limitations and perspective. J. Power Sources 2011, 196, 886–893. [Google Scholar] [CrossRef]
- Zhang, T.; Tao, Z.; Chen, J. Magnesium–air batteries: From principle to application. Mater. Horiz. 2014, 1, 196–206. [Google Scholar] [CrossRef]
- Chen, X.; Zhou, Z.; Karahan, H.E.; Shao, Q.; Wei, L.; Chen, Y. Recent Advances in Materials and Design of Electrochemically Rechargeable Zinc-Air Batteries. Small 2018, 14, 1801929. [Google Scholar] [CrossRef] [PubMed]
- Li, B.; Quan, J.; Loh, A.; Chai, J.; Chen, Y.; Tan, C.; Ge, X.; Hor, T.A.; Liu, Z.; Zhang, H.; et al. A Robust Hybrid Zn-Battery with Ultra long Cycle Life. Nano Lett. 2017, 17, 156–163. [Google Scholar] [CrossRef] [PubMed]
- Li, Y.; Dai, H. Recent advances in zinc–air batteries. Chem. Soc. Rev. 2014, 43, 5257–5275. [Google Scholar] [CrossRef] [Green Version]
- Janani, G.; Chae, Y.; Surendran, S.; Sim, Y.; Park, W.; Kim, J.K.; Sim, U. Rational Design of Spinel Oxide Nanocomposites with Tailored Electrochemical Oxygen Evolution and Reduction Reactions for ZincAir Batteries. Appl. Sci. 2020, 10, 3165. [Google Scholar] [CrossRef]
- Chen, P.; Zhang, K.; Tang, D.; Liu, W.; Meng, F.; Huang, Q.; Liu, J. Recent Progress in Electrolytes for Zn–Air Batteries. Front. Chem. 2020, 8, 372. [Google Scholar] [CrossRef]
- Jo, Y.N.; Kang, S.H.; Prasanna, K.; Eom, S.W.; Lee, C.W. Shield effect of polyaniline between zinc active material and aqueous electrolyte in zinc-air batteries. Appl. Surf. Sci. 2017, 422, 406–412. [Google Scholar] [CrossRef]
- Lee, J.H.; Hwang, B.Y.; Park, M.S.; Kim, K.T. Improved reversibility of Zn anodes for rechargeable Zn-air batteries by using alkoxide and acetate ions. Electrochim. Acta 2016, 199, 164–171. [Google Scholar] [CrossRef]
- Jo, Y.N.; Santhoshkumar, P.; Prasanna, K.; Vediappan, K.; Lee, C.W. Improving self-discharge and anti-corrosion performance of Zn-air batteries using conductive polymer-coated Zn active materials. Ind. Eng. Chem. Res. 2019, 76, 396–402. [Google Scholar] [CrossRef]
- Martin, A.D.; Zhu, J.H. Effect of Microstructure on the Performance of a Zn-Al Alloy Anode for Zn-Air Battery Application. ECS Electrochem. Lett. 2012, 1, A13. [Google Scholar] [CrossRef]
- Schmid, M.; Willert-Porada, M. Electrochemical behavior of zinc particles with silica based coatings as anode material for zinc air batteries with improved discharge capacity. J. Power Sources 2017, 351, 115–122. [Google Scholar] [CrossRef]
- Xiao, Y.; Shi, J.; Zhao, F.; Zhang, Z.; He, W. Effects of Electrolyte Additives on the Properties of Zinc-Bismuth Electrodes in Zinc-Air Batteries. J. Electrochem. Soc. 2018, 165, A47–A54. [Google Scholar] [CrossRef]
- Lan, C.J.; Chin, T.S.; Lin, P.H.; Wang, T.P.P.; Sebastian, P.J.; Millan, A.; Parkhutik, P.V.; Gamboa, S.A. Zn-Al alloy as a new anode-metal of a zinc-air battery. J. New Mat. Electrochem. Syst. 2016, 9, 27–32. [Google Scholar]
- Kim, Y.J.; Ryu, K.S. The surface-modified effects of Zn anode with CuO in Zn-air batteries. Appl. Surf. Sci. 2019, 480, 912–922. [Google Scholar] [CrossRef]
- Lee, S.M.; Kim, Y.J.; Eom, S.W.; Choi, N.S.; Kim, K.W.; Cho, S.B. Improvement in self-discharge of Zn anode by applying surface modification for Zn-air batteries with high energy density. J. Power Sources 2013, 227, 177–184. [Google Scholar] [CrossRef]
- Kim, H.I.; Shin, H.C. SnO additive for dendritic growth suppression of electrolytic zinc. J. Alloys Compd. 2015, 645, 7–10. [Google Scholar] [CrossRef]
- Park, D.J.; Aremu, E.O.; Ryu, K.S. Bismuth oxide as an excellent anode additive for inhibiting dendrite formation in zinc-air secondary batteries. Appl. Surf. Sci. 2018, 456, 507–514. [Google Scholar] [CrossRef]
- Zhang, Q.; Zhang, K.; Xu, D.; Yang, G.; Huang, H.; Nie, F.; Liu, C.; Yang, S. CuO nanostructures: Synthesis, characterization, growth mechanisms, fundamental properties, and applications. Prog. Mater. Sci. 2014, 60, 208–337. [Google Scholar] [CrossRef]
- Chengn, Z.; Chu, X.; Xu, J.; Zhong, H.; Zhang, L. Synthesis of various CuO nanostructures via a Na3PO4–assisted hydrothermal route in a CuSO4-NaOH aqueous system and their catalytic performances. Ceram. Int. 2016, 42, 3876–3881. [Google Scholar] [CrossRef]
- Subalakshmi, P.; Ganesan, M.; Sivashanmugam, A. Synthesis of 3D architecture CuO micro balls and nano hexagons and its electrochemical capacitive behavior. Mater. Des. 2017, 119, 104–112. [Google Scholar] [CrossRef]
- Lee, Y.S.; Kim, Y.J.; Ryu, K.S. The effects of CuO additives as the dendrite suppression and anti-corrosion of the Zn anode in Zn-air batteries. Ind. Eng. Chem. Res. 2019, 78, 295–302. [Google Scholar] [CrossRef]
- Jo, Y.N.; Kim, H.S.; Prasanna, K.; Ilango, P.R.; Lee, W.J.; Eom, S.W.; Lee, C.W. Effect of Additives on Electrochemical and Corrosion Behavior of Gel Type Electrodes for Zn-Air System. Ind. Eng. Chem. Res. 2014, 53, 17370–17375. [Google Scholar] [CrossRef]
- Xu, L.; Lv, W.; Shi, K.; Xiao, S.; You, C.; He, Y.; Kang, F.; Yang, Q. Holey graphenes as the conductive additives for LiFePO4 batteries with an excellent rate performance. Carbon 2019, 149, 257–262. [Google Scholar] [CrossRef]
- Mohapatra, S.; Shantikumar, V.N.; Santhanagopalan, D.; Rai, A.K. Nanoplate and mulberry-like porous shape of CuO as anode materials for secondary lithium ion battery. Electrochim. Acta 2016, 206, 217–225. [Google Scholar] [CrossRef]
- Wang, C.; Higgins, D.; Wang, F.; Li, D.; Liu, R.; Xia, G.; Li, N.; Li, Q.; Xu, H.; Wu, G. Controlled synthesis of micro/nanostructured CuO anodes for lithium-ion batteries. Nano Energy 2014, 9, 334–344. [Google Scholar] [CrossRef]
- Jo, Y.N.; Prasanna, K.; Kang, S.H.; Ilango, P.R.; Kim, H.S.; Eom, S.W.; Lee, C.W. The effects of mechanical alloying on the self-discharge and corrosion behavior in Zn-air batteries. Ind. Eng. Chem. Res. 2017, 54, 247–252. [Google Scholar] [CrossRef]






| Nanostructure | CuSO4·5H2O | Na3PO4 | 2.0 M NaOH | Hydrothermal Condition | |
|---|---|---|---|---|---|
| Temperature | Time | ||||
| Sphere-like | 0.250 g | 0.3 g | 0.1 mL | 120 °C | 6 h |
| Leaf-like | 0.250 g | 0.3 g | 0.2 mL | ||
| Material | Specific Discharge Capacity (mAh/g) | Capacity Retention Rate (%) | |
|---|---|---|---|
| 1 h Storage | 12 h Storage | ||
| Pure Zn | 476.48 | 390.14 | 81.8% |
| S-CuO 1.0 wt% | 428.8 | 359.42 | 83.8% |
| L-CuO 1.0 wt% | 399.91 | 302.92 | 75.7% |
| C-CuO 1.0 wt% | 420.15 | 328.78 | 78% |
| Material | Ecorr (V) | Icorr (A/cm2) |
|---|---|---|
| Pure Zn | −1.3419 | 0.04326 |
| S-CuO 1.0 wt% | −1.2795 | 0.053 |
| L-CuO 1.0 wt% | −1.3124 | 0.0585 |
| C-CuO 1.0 wt% | −1.2418 | 0.05482 |
Publisher’s Note: MDPI stays neutral with regard to jurisdictional claims in published maps and institutional affiliations. |
© 2021 by the authors. Licensee MDPI, Basel, Switzerland. This article is an open access article distributed under the terms and conditions of the Creative Commons Attribution (CC BY) license (https://creativecommons.org/licenses/by/4.0/).
Share and Cite
Jeong, B.J.; Jo, Y.N. A Study on the Self-Discharge Behavior of Zinc-Air Batteries with CuO Additives. Appl. Sci. 2021, 11, 11675. https://doi.org/10.3390/app112411675
Jeong BJ, Jo YN. A Study on the Self-Discharge Behavior of Zinc-Air Batteries with CuO Additives. Applied Sciences. 2021; 11(24):11675. https://doi.org/10.3390/app112411675
Chicago/Turabian StyleJeong, Byeong Jin, and Yong Nam Jo. 2021. "A Study on the Self-Discharge Behavior of Zinc-Air Batteries with CuO Additives" Applied Sciences 11, no. 24: 11675. https://doi.org/10.3390/app112411675
APA StyleJeong, B. J., & Jo, Y. N. (2021). A Study on the Self-Discharge Behavior of Zinc-Air Batteries with CuO Additives. Applied Sciences, 11(24), 11675. https://doi.org/10.3390/app112411675
