Network Analysis for Learners’ Concept Maps While Using Mobile Augmented Reality Gaming
Abstract
:1. Introduction
- (i)
- Despite the plethora of studies that apply concept maps in education, how adult users assess MAR games (LBMGs in particular) with concept maps has hitherto never been examined or explored. Nor has learning how to play location-based MAR games been examined by using methods of network analysis.
- (ii)
- Constructivism in education in MAR games has poorly investigated so far.
- (iii)
- Networks have never been used to explore the interplay among concepts and sub-concepts as they result from content analysis (not only in education but in general).
- (iv)
- The role of constructivism in education using MAR/LBMGs has been poorly examined.
- (i)
- What are the most important views and attitudes that adult learners have toward Ingress?
- (ii)
- How do these views differ depending on the user’s age?
- (iii)
- What are the advantages of using networks as models for the analysis of adult learners’ concept maps in education?
2. Materials and Methods
- Q1: How do you feel when you endow the geographical space with personal preferences?
- Q2: Do you think that the game offers opportunities for learning and teaching geography, building on your previous geographical knowledge?
- The first step was the recording of the participants’ responses, after they were trained in the use of Ingress and began using it.
- Their responses were analyzed following methods of content analysis, which is “a research technique for making replicable and valid inferences from texts (or other meaningful matter) to the contexts of their use” [27]. Content analysis as a method necessitates the use of advanced techniques and is independent of the researcher’s personal authority [27]. Six steps are usually followed in content analyses: unitizing, sampling/coding, data reduction, inferring conclusions, and narrating. What results from this phase is a set of concepts and sub-concepts that correspond to each one of the two questions that were asked.
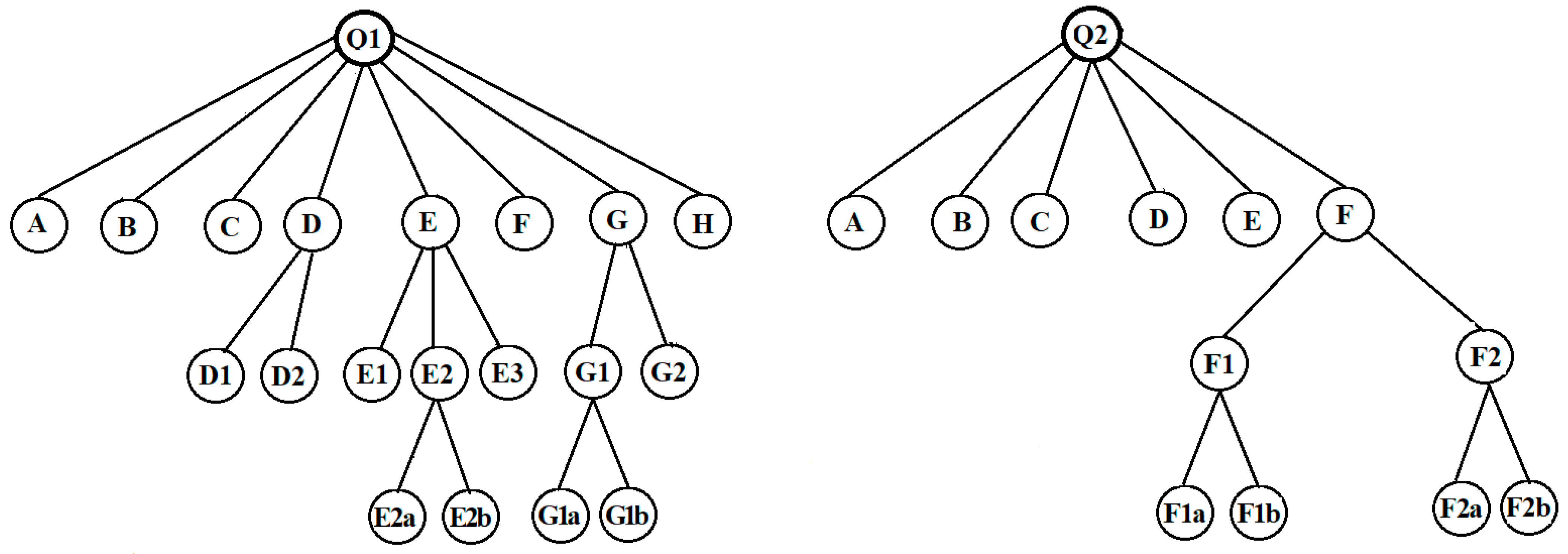
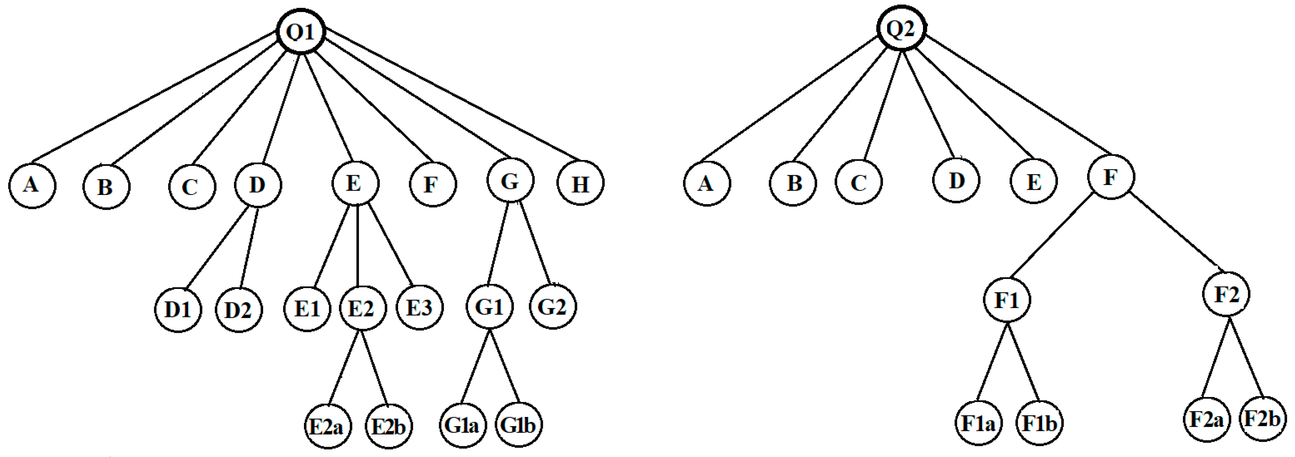
- Once the main concepts were identified from within the participants’ responses, the concepts and their sub-concepts were articulated in tree diagrams, and thus, they become suitable to create networks of concepts.
- The agreements among participants over a given concept or sub-concept were registered and formed the basis for the construction of networks of concepts: the nodes of networks represent the concepts or sub-concepts, and the links between nodes stand for the agreements among participants that some concepts (or sub-concepts) co-occurred in their responses. So, if two nodes are linked, it means the two corresponding concepts emerge together from within the content analysis, as referred to by the same person(s). Reversely, if two nodes are not connected, their concepts have not been mentioned together in any response by any participant.
- The resulting maps help us to explore the context of the participants’ words as well as their associations. Thus, the concept maps can be treated as network data, so methods of social network analysis (SNA) are applicable. For instance, once the networks were created per age and per question (also for all 36 participants), they were put in radial form to identify the central concepts that had the higher degree in the network and examine each node’s information centrality.
3. Results
3.1. Indicative Responses
- (i)
- Age group 20–30
- (ii)
- Age group 30–40
- (iii)
- Age group 40–50
- (iv)
- Age group 50–60
3.2. Content Analysis
3.3. Concept Maps
3.4. Network Representation of Concepts and Sub-Concepts
3.5. Network Analysis
3.5.1. Node Centrality Analysis
3.5.2. Information Centrality of Concepts
4. Discussion
- -
- The use of SNA to model concept maps opens up excellent opportunities to create visualizations of concepts and their inter-relationships.
- -
- Quantitative aspects of SNA analysis (i.e., by using radial centrality and information centrality) provide suitable mechanisms to measure internal relationships in concept maps (in addition to visual inspection) that would not otherwise be visible (or even perceptible) at all.
- -
- Using SNA enabled the classification of users’ responses with respect to their interaction with the game and therefore was a fruitful approach for education that involves MAR games
- -
- Furthermore, with this method, it is shown how texts derived from interviews or from responses to open questions by different individuals can be analyzed both qualitatively and quantitatively with SNA.
5. Conclusions
Author Contributions
Funding
Institutional Review Board Statement
Informed Consent Statement
Conflicts of Interest
References
- Lee, C.J.; Hsu, Y. Sustainable education using augmented reality in vocational certification courses. Sustainability 2021, 13, 6434. [Google Scholar] [CrossRef]
- Lin, H.C.K.; Lin, Y.H.; Wang, T.H.; Su, L.K.; Huang, Y.M. Effects of incorporating augmented reality into a board game for high school students’ learning motivation and acceptance in health education. Sustainability 2021, 13, 3333. [Google Scholar] [CrossRef]
- Spallazzo, D.; Mariani, I. Location-Based Mobile Games: Design Perspectives; Springer: Cham, Switzerland, 2018. [Google Scholar]
- Schito, J.; Sailer, C.; Kiefer, P. Bridging the gap between location-based games and teaching. In AGILE 2015 Workshop on Geogames and Geoplay; ETH Zürich: Zürich, Switzerland, 2015. [Google Scholar]
- Naismith, L.; Lonsdale, P.; Vavoula, G.N.; Sharples, M. Mobile Technologies and Learning. University of Leicester. Futurelab Literature Review Series, Report No 11. 2004. Available online: http://www.futurelab.org.uk/resources/publications-reports-articles/literature-reviews/Literature-Review203 (accessed on 23 October 2021).
- Kukulska-Hulme, A.; Sharples, M.; Milrad, M.; Arnedillo-Sánchez, I.; Vavoula, G. Innovation in mobile learning: A European perspective. Int. J. Mob. Blended Learn. (IJMBL) 2009, 1, 13–35. [Google Scholar] [CrossRef]
- Lave, J.; Wenger, E. Situated Learning: Legitimate Peripheral Participation; Cambridge University Press: Cambridge, UK, 1991. [Google Scholar]
- Klopfer, E. Augmented Learning: Research and Design of Mobile Educational Games; MIT Press: Cambridge, MA, USA, 2008. [Google Scholar]
- Huizenga, J.; Admiraal, W.; Akkerman, S.; Ten Dam, G. Learning history by playing a mobile city game. In Proceedings of the 1st European Conference on Game-Based Learning (ECGBL), Paisley, UK, 25–26 October 2007; pp. 127–134. [Google Scholar]
- Prensky, M. Fun, play and games: What makes games engaging. Digit. Game-Based Learn. 2001, 5, 5–31. [Google Scholar]
- Liu, T.Y.; Chu, Y.L. Using ubiquitous games in an English listening and speaking course: Impact on learning outcomes and motivation. Comput. Educ. 2010, 55, 630–643. [Google Scholar] [CrossRef]
- Avouris, N.M.; Yiannoutsou, N. A review of mobile location-based games for learning across physical and virtual spaces. J. Univ. Comput. Sci. 2012, 18, 2120–2142. [Google Scholar]
- Alnuaim, A.; Caleb-Solly, P.; Perry, C. Enhancing student learning of human-computer interaction using a contextual mobile application. In Proceedings of the 2016 SAI Computing Conference (SAI), London, UK, 13–15 July 2016; pp. 952–959. [Google Scholar]
- Hung, P.H.; Hwang, G.J.; Lee, Y.H.; Su, I.H. A cognitive component analysis approach for developing game-based spatial learning tools. Comput. Educ. 2012, 59, 762–773. [Google Scholar] [CrossRef]
- Slussareff, M.; Boháčková, P. Students as game designers vs. ‘just’players: Comparison of two different approaches to location-based games implementation into school curricula. Digit. Educ. Rev. 2016, 29, 284–297. [Google Scholar]
- Hwang, G.J.; Wu, P.H.; Chen, C.C.; Tu, N.T. Effects of an augmented reality-based educational game on students’ learning achievements and attitudes in real-world observations. Interact. Learn. Environ. 2016, 24, 1895–1906. [Google Scholar] [CrossRef]
- Bressler, D.M.; Oltman, J.; Vallera, F.L. Inside, outside, and off-site: Social constructivism in mobile games. In Handbook of Research on Mobile Technology, Constructivism, and Meaningful Learning; IGI Global: Hershey, PA, USA, 2018; pp. 1–22. [Google Scholar]
- Barma, S.; Daniel, S.; Bacon, N.; Gingras, M.A.; Fortin, M. Observation and analysis of a classroom teaching and learning practice based on augmented reality and serious games on mobile platforms. Int. J. Serious Games 2015, 2. [Google Scholar] [CrossRef]
- Koutromanos, G.; Styliaras, G. “The buildings speak about our city”: A location based augmented reality game. In Proceedings of the 2015 6th International Conference on Information, Intelligence, Systems and Applications (IISA), Kerkira, Greece, 6–8 July 2015; pp. 1–6. [Google Scholar]
- Novak, J.D. Learning, Creating and Using Knowledge: Concept Maps as Facilitative Tools in Schools and Corporations; Lawrence Erlbaum Associates: Mahwah, NJ, USA, 1998. [Google Scholar]
- Novak, J.D.; Gowin, D.B.; Bob, G.D. Learning How to Learn; Cambridge University Press: Cambridge, UK, 1984. [Google Scholar]
- McLinden, D. Concept maps as network data: Analysis of a concept map using the methods of social network analysis. Eval. Program. Plann. 2013, 36, 40–48. [Google Scholar] [CrossRef]
- Cross, J.E.; Dickmann, E.; Newman-Gonchar, R.; Fagan, J.M. Using mixed-method design and network analysis to measure development of interagency collaboration. Am. J. Eval. 2009, 30, 310–329. [Google Scholar] [CrossRef]
- Penuel, W.R.; Sussex, W.; Korbak, C.; Hoadley, C. Investigating the potential of using social network analysis in educational evaluation. Am. J. Eval. 2006, 27, 437–451. [Google Scholar] [CrossRef]
- Vygotsky, L.S. Mind in Society: The Development of Higher Psychological Processes; Harvard University Press: Cambridge, MA, USA, 1980. [Google Scholar]
- Bruner, J. The Culture of Education; Harvard University Press: Cambridge, MA, USA, 1996. [Google Scholar]
- Krippendorff, K. Reliability in content analysis: Some common misconceptions and recommendations. Hum. Commun. Res. 2004, 30, 411–433. [Google Scholar] [CrossRef]
- Stephenson, K.; Zelen, M. Rethinking centrality: Methods and examples. Soc. Netw. 1989, 11, 1–37. [Google Scholar] [CrossRef]
- Enesco, H.E. RNA and memory: A re-evaluation of present data. Can. Psychiatr. Assoc. J. 1967, 12, 29–34. [Google Scholar] [CrossRef] [PubMed] [Green Version]
- Weerasinghe, M.; Quigley, A.; Ducasse, J.; Pucihar, K.Č.; Kljun, M. Educational augmented reality games. In Augmented Reality Games II; Springer: Cham, Switzerland, 2019; pp. 3–32. [Google Scholar]
- Huang, H.M. Toward constructivism for adult learners in online learning environments. Br. J. Educ. Technol. 2002, 33, 27–37. [Google Scholar] [CrossRef]
- Isha, A.; Rani, E.O. Comparative analysis of the discussion and constructivism methods of teaching adult learners in adult education. J. Educ. Pract. 2011, 2, 6–9. [Google Scholar]
- Ference, P.R.; Vockell, E.L. Adult learning characteristics and effective software instruction. Educ. Technol. 1994, 34, 25–31. [Google Scholar]
- Price, A. Constructivism: Theory and Application. 2002. Available online: http//trackstar.Hprtec.Org/main/display.Php3Trackid=12128 (accessed on 23 October 2021).
- Brown, J.S.; Collins, A.; Duguid, P. Situated cognition and the culture of learning. Educ. Res. 1989, 18, 32–42. [Google Scholar] [CrossRef]
- Anderson, J.R.; Reder, L.M.; Simon, H.A. Situated learning and education. Educ. Res. 1996, 25, 5–11. [Google Scholar] [CrossRef]
- Moore, K. A situated approach to urban play: The role of local knowledge in playing Ingress. In The Refereed Conference Proceedings of the Annual Conference of the Digital Games Research Association of Australia; 2015; Available online: https://www.academia.edu/13296463/A_Situated_Approach_to_Urban_Play_The_Role_of_Local_Knowledge_in_Playing_Ingress (accessed on 23 October 2021).
- Hoskins, C.N.; Mariano, C. Research in Nursing and Health: Understanding and Using Quantitative and Qualitative Methods; Springer: Berlin/Heidelberg, Germany, 2004; Volume 23. [Google Scholar]
- Polit, D.F.; Beck, C.T. Nursing Research: Principles and Methods; Lippincott Williams & Wilkins: Philadelphia, PA, USA, 2004. [Google Scholar]
- Weber, R.P. Basic Content Analysis; Sage: London, UK, 1990. [Google Scholar]
- Backman, K.; Kyngäs, H. Challenges of the grounded theory approach to a novice researcher. Hoitotiede 1998, 10, 263–270. [Google Scholar] [CrossRef]
- Dey, I. Qualitative Data Analysis: A User Friendly Guide for Social Scientists; Routledge: London, UK, 2003. [Google Scholar]
- Daley, B.J. Using concept maps in qualitative research. In Proceedings of the First International Conference on Concept Mapping, Pamplona, Spain, 14–17 September 2004. [Google Scholar]
- Taddicken, M. The ‘privacy paradox’in the social web: The impact of privacy concerns, individual characteristics, and the perceived social relevance on different forms of self-disclosure. J. Comput. Mediat. Commun. 2014, 19, 248–273. [Google Scholar] [CrossRef]
- Malik, A.; Hiekkanen, K.; Hussain, Z.; Hamari, J.; Johri, A. How players across gender and age experience Pokémon Go? Univ. Access Inf. Soc. 2020, 19, 799–812. [Google Scholar] [CrossRef] [Green Version]
- Przybylski, A.K. Electronic gaming and psychosocial adjustment. Pediatrics 2014, 134, e716–e722. [Google Scholar] [CrossRef] [Green Version]
- Ferguson, C.J.; Donnellan, M.B. Are associations between “sexist” video games and decreased empathy toward women robust? A reanalysis of Gabbiadini et al. 2016. J. Youth Adolesc. 2017, 46, 2446–2459. [Google Scholar] [CrossRef] [PubMed]
- Madrigal-Pana, J.; Gómez-Figueroa, J.; Moncada-Jiménez, J. Adult perception toward videogames and physical activity using Pokémon Go. Games Health J. 2019, 8, 227–235. [Google Scholar] [CrossRef]
- Sdravopoulou, K.; Muñoz Gonzalez, J.M.; Hidalgo-Ariza, M.D. Assessment of a location-based mobile augmented-reality game by adult users with the ARCS model. Appl. Sci. 2021, 11, 6448. [Google Scholar] [CrossRef]
- Sdravopoulou, K.; Muñoz González, J.M.; Hidalgo-Ariza, M.D. Educating αdults with a location-based augmented reality game: A content analysis approach. Mathematics 2021, 9, 2071. [Google Scholar] [CrossRef]







| Ages | Participants | Mean Age | Standard Deviation |
|---|---|---|---|
| 20–30 | 9 | 24.4 | 3.216 |
| 30–40 | 9 | 33.0 | 2.260 |
| 40–50 | 9 | 43.3 | 1.885 |
| 50–60 | 9 | 54.0 | 2.867 |
| Concepts | Sub-Concepts (Level 1) | Sub-Concepts (Level 2) | Description |
|---|---|---|---|
| A | They are content because they contribute to the achievement of a goal of wider significance (the conquest of portals), which highlights a particular ideology (Resistance or Enlightenment). | ||
| B | They appreciate that the MAR game gives them an opportunity to conquer space by conquering portals. | ||
| C | They value that the MAR game gives them the chance to leave their own personal footprint on the real geographic space (even by using an alias). | ||
| D | They are pleased to feel they “possess” part of the geographic space, either considered as a personal possession or as a communal one. | ||
| D1 | They feel the geographic space they played in belongs to them personally. | ||
| D2 | They feel the geographic space they played in belongs to their team. | ||
| E | They feel nostalgic. | ||
| E1 | They feel nostalgic for the streets they walked through while trying to reach the portals. | ||
| E2 | They feel nostalgic for the stops they made at various points in the streets. | ||
| E2a | They feel nostalgic for the stops they made at landmarks (statues, fountains, squares, etc.). | ||
| E2b | They feel nostalgic for other points where they wandered before reaching the portals they conquered. | ||
| E3 | They feel nostalgic for thinking and planning the way they followed to the portals. | ||
| F | They are enthusiastic that each portal expresses their team’s ideology. | ||
| G | They consider portals as personal creations and, more specifically, as: | ||
| G1 | Confirmation of an identity (either as Resistance or Enlightenment) | ||
| G1a | Personal | ||
| G1b | Or as part of the team | ||
| G2 | Or as part of oneself with which they identify themselves. | ||
| H | They feel acquainted with the streets they walked through while searching for the portals. |
| Concepts | Sub-Concepts (Level 1) | Sub-Concepts (Level 2) | Description |
|---|---|---|---|
| A | The participant considers augmented reality technology as useful for teaching and learning geography. | ||
| B | The participant suggests that the texts the game offers to the user are well suited to serve geographical education. | ||
| C | The participant holds the view that geography can be taught outdoors and the game Ingress contributes to this kind of education. | ||
| D | The participant considers that teaching geography with the aid of Ingress can be generalized to all levels of education. | ||
| E | The participant’s perception is that Ingress is also useful for geographical education because it links geography with everyday life. | ||
| F | The participant believes that the game Ingress offers entirely new opportunities for education in geography, compared with his/her previous experiences of how they were taught geography in the past, and this evokes pleasant or unpleasant memories, specifically: | ||
| F1 | Pleasant memories which might be attributed to… | ||
| F1a | the fact that they liked the geography class while at school, or | ||
| F1b | the fact that they had had a good geography teacher at school. | ||
| F2 | Unpleasant memories which might be attributed to… | ||
| F2a | unsuitable or even bad teaching methods of teaching geography at school; or | ||
| F2b | an unsuitable/bad geography teacher at school. |
| Questions | Age Group | ||||
|---|---|---|---|---|---|
| 20–30 | 30–40 | 40–50 | 50–60 | All | |
| Q1 | - | C = 1.601 | E2a = 1.721 | E2a = 3.428, E2b = 3.428, E3 = 3.428, G2 = 3.428 | G2 = 3.573 |
| Q2 | A = 1.789 | A = 2.965 | A = 3.621, B = 3.621 | A = 2.845 | A = 4.197, B = 4.197 |
Publisher’s Note: MDPI stays neutral with regard to jurisdictional claims in published maps and institutional affiliations. |
© 2021 by the authors. Licensee MDPI, Basel, Switzerland. This article is an open access article distributed under the terms and conditions of the Creative Commons Attribution (CC BY) license (https://creativecommons.org/licenses/by/4.0/).
Share and Cite
Sdravopoulou, K.; Muñoz González, J.M.; Hidalgo-Ariza, M.D. Network Analysis for Learners’ Concept Maps While Using Mobile Augmented Reality Gaming. Appl. Sci. 2021, 11, 9929. https://doi.org/10.3390/app11219929
Sdravopoulou K, Muñoz González JM, Hidalgo-Ariza MD. Network Analysis for Learners’ Concept Maps While Using Mobile Augmented Reality Gaming. Applied Sciences. 2021; 11(21):9929. https://doi.org/10.3390/app11219929
Chicago/Turabian StyleSdravopoulou, Konstantina, Juan Manuel Muñoz González, and María Dolores Hidalgo-Ariza. 2021. "Network Analysis for Learners’ Concept Maps While Using Mobile Augmented Reality Gaming" Applied Sciences 11, no. 21: 9929. https://doi.org/10.3390/app11219929
APA StyleSdravopoulou, K., Muñoz González, J. M., & Hidalgo-Ariza, M. D. (2021). Network Analysis for Learners’ Concept Maps While Using Mobile Augmented Reality Gaming. Applied Sciences, 11(21), 9929. https://doi.org/10.3390/app11219929

